N-Alkanes in Permafrost Peatlands
Abstract
1. Introduction
2. Materials and Methods
2.1. Site Description
2.2. Soil Sampling and Laboratory Analyses
2.3. N-Alkanes’ Indicess
3. Results
3.1. The Temperature Regime of Permafrost Peatlands
3.2. General Physicochemical Characteristics of the Studied Peatlands
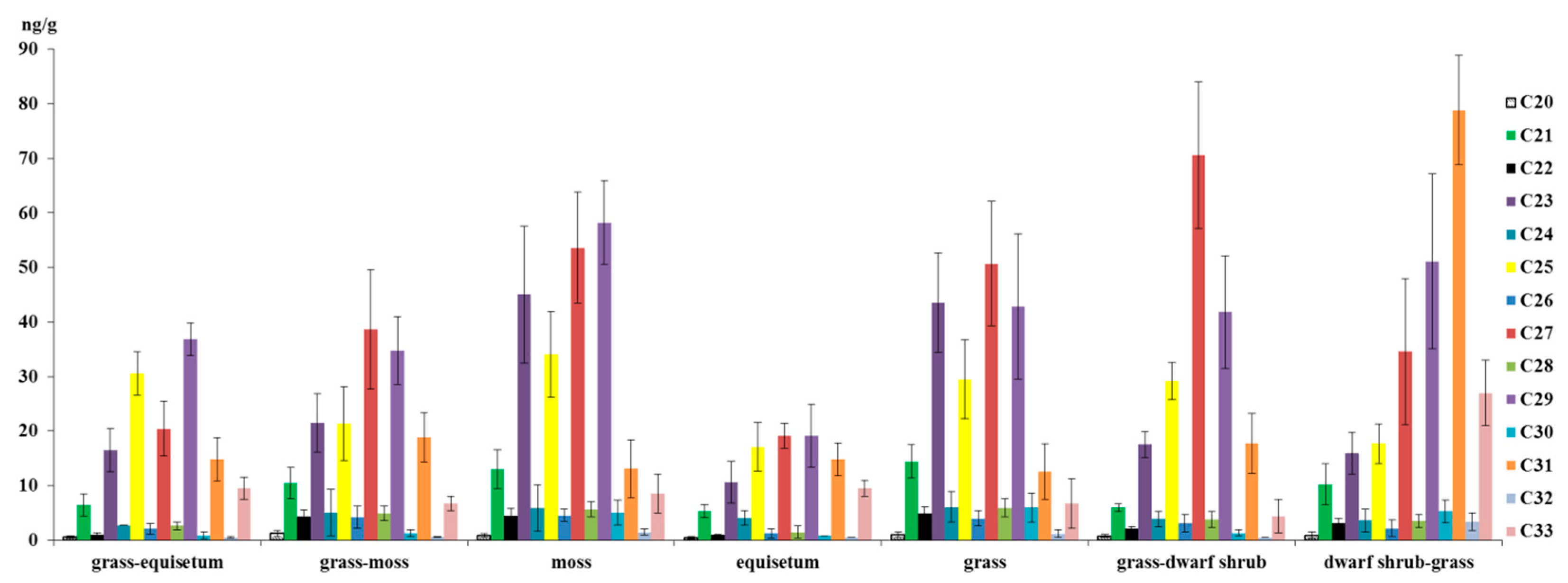
3.3. Concentrations and Distribution of N-Alkanes in Peatlands
3.4. The Relationship Between the N-Alkane Concentrations in the Studied Peatlands
4. Discussion
4.1. Temperature Regime of Permafrost Peatlands During the Holocene
4.2. The Factors of the Non-Uniform Distribution and Very Wide Range of the N-Alkane Concentrations in the Studied Peatlands
5. Conclusions
Author Contributions
Funding
Data Availability Statement
Conflicts of Interest
Correction Statement
References
- Zhao, B.; Zhuang, Q. Nitrogen cycling feedback on carbon dynamics leads to greater CH4 emissions and weaker cooling effect of northern peatlands. Glob. Biogeochem. Cycles 2024, 38, e2023GB007978. [Google Scholar] [CrossRef]
- Hugelius, G.; Loisel, J.; Chadburn, S.; Jackson, R.B.; Jones, M.; MacDonald, G.; Marushchak, M.; Olefeldt, D.; Packalen, M.; Siewert, M.B.; et al. Large stocks of peatland carbon and nitrogen are vulnerable to permafrost thaw. Proc. Natl. Acad. Sci. USA 2020, 117, 20438–20446. [Google Scholar] [CrossRef]
- Heffernan, L.; Cavaco, M.A.; Bhatia, M.P.; Estop-Aragonés, C.; Knorr, K.-H.; Olefeldt, D. High peatland methane emissions following permafrost thaw: Enhanced acetoclastic methanogenesis during early successional stages. Biogeosciences 2022, 19, 3051–3071. [Google Scholar] [CrossRef]
- Holmes, M.E.; Crill, P.M.; Burnett, W.C.; McCalley, C.K.; Wilson, R.M.; Frolking, S.; Chang, K.-Y.; Riley, W.J.; Varner, R.K.; Hodgkins, S.B.; et al. Carbon accumulation, flux, and fate in stordalen mire, a permafrost peatland in transition. Glob. Biogeochem. Cycles 2022, 36, e2021GB007113. [Google Scholar] [CrossRef]
- Harris, L.I.; Richardson, K.; Bona, K.A.; Davidson, S.J.; Finkelstein, S.A.; Garneau, M.; McLaughlin, J.; Nwaishi, F.; Olefeldt, D.; Packalen, M.; et al. The essential carbon service provided by northern peatlands. Front. Ecol. Environ. 2021, 20, 222–230. [Google Scholar] [CrossRef]
- Forster, P.; Ramaswamy, V.; Artaxo, P.; Berntsen, T.; Betts, R.; Fahey, D.W.; Haywood, J.; Lean, J.; Lowe, D.C.; Myhre, G.; et al. Chapter 2. Changes in atmospheric constituents and in radiative forcing. In Climate Change 2007: The Physical Science Basis. Contribution of Working Group I to the Fourth Assessment Report of the Intergovernmental Panel on Climate Change; Solomon, S., Qin, D., Manning, M., Chen, Z., Marquis, M., Averyt, K.B., Tignor, M., Miller, H.L., Eds.; Cambridge University Press: Cambridge, UK, 2007; pp. 130–234. Available online: https://www.ipcc.ch/site/assets/uploads/2018/02/ar4-wg1-chapter2-1.pdf (accessed on 24 September 2024).
- Fewster, R.E.; Morris, P.J.; Swindles, G.T.; Ivanovic, R.F.; Treat, C.C.; Jones, M.C. Holocene vegetation dynamics of circum-Arctic permafrost peatlands. Quat. Sci. Rev. 2023, 307, 108055. [Google Scholar] [CrossRef]
- Levy, P.E.; Burden, A.; Cooper, M.D.A.; Dinsmore, K.J.; Drewer, J.; Evans, C.; Fowler, D.; Gaiawyn, J.; Gray, A.; Jones, S.K.; et al. Methane emissions from soils: Synthesis and analysis of a large UK data set. Glob. Change Biol. 2012, 18, 1657–1669. [Google Scholar] [CrossRef]
- Yu, Z.; Loisel, J.; Turetsky, M.R.; Cai, S.; Zhao, Y.; Frolking, S.; MacDonald, G.M.; Bubier, J.L. Evidence for elevated emissions from high-latitude wetlands contributing to high atmospheric CH4 concentration in the early Holocene. Glob. Biogeochem. Cycles 2013, 27, 131–140. [Google Scholar] [CrossRef]
- Hansen, J.; Sato, M.; Ruedy, R.; Lo, K.; Lea, D.W.; Medina-Elizade, M. Global temperature change. Proc. Natl. Acad. Sci. USA 2006, 103, 14288–14293. [Google Scholar] [CrossRef]
- Bingham, E.M.; McClymont, E.L.; Väliranta, M.; Mauquoy, D.; Roberts, Z.; Chambers, F.M.; Pancost, R.D.; Evershed, R.P. Conservative composition of n-alkane biomarkers in Sphagnum species: Implications for palaeoclimate reconstruction in ombrotrophic peat bogs. Org. Geochem. 2010, 41, 214–220. [Google Scholar] [CrossRef]
- Schellekens, J.; Buurman, P. N-Alkane distributions as palaeoclimatic proxies in ombrotrophic peat: The role of decomposition and dominant vegetation. Geoderma 2011, 164, 112–121. [Google Scholar] [CrossRef]
- Gabov, D.N.; Yakovleva, E.V.; Gruzdev, I.V.; Vasilevich, R.S. Nonspecific organic compounds in permafrost hummocky peatland. IOP Conf. Ser. Earth Environ. Sci. 2021, 862, 012021. [Google Scholar] [CrossRef]
- Thomas, C.L.; Jansen, B.; Czerwiński, S.; Gałka, M.; Knorr, K.-H.; van Loon, E.E.; Egli, M.; Wiesenberg, G.L.B. Comparison of paleobotanical and biomarker records of mountain peatland and forest ecosystem dynamics over the last 2600 years in central Germany. Biogeosciences 2023, 20, 4893–4914. [Google Scholar] [CrossRef]
- Andersson, R. Lipid Biomarkers and Other Geochemical Indicators in Paleoenvironmental Studies of Two Arctic Systems: A Russian Permafrost Peatland and Marine Sediments from Lomonosov Ridge. Ph.D. Thesis, Stockholm University, Stockholm, Sweden, 2012. Available online: https://www.diva-portal.org/smash/get/diva2:462647/FULLTEXT01.pdf (accessed on 24 September 2024).
- Ronkainen, T.; McClymont, E.L.; Tuittila, E.-S.; Väliranta, M. Plant macrofossil and biomarker evidence of fen–bog transition and associated changes in vegetation in two Finnish peatlands. Holocene 2014, 24, 828–841. [Google Scholar] [CrossRef]
- Nichols, J.E.; Booth, R.K.; Jackson, S.T.; Pendall, E.G.; Huang, Y. Paleohydrologic reconstruction based on n-alkane distributions in ombrotrophic peat. Org. Geochem. 2006, 37, 1505–1513. [Google Scholar] [CrossRef]
- Zech, M.; Krause, T.; Meszner, S.; Faust, D. Incorrect when uncorrected: Reconstructing vegetation history using nalkane biomarkers in loess-paleosol sequences—A case study from the Saxonian loess region, Germany. Quat. Int. 2013, 296, 108–116. [Google Scholar] [CrossRef]
- Pastukhov, A.V.; Knoblauch, C.; Yakovleva, E.V.; Kaverin, D.A. Markers of soil organic matter transformation in permafrost peat mounds of northeastern Europe. Eurasian Soil Sci. 2018, 51, 42–53. [Google Scholar] [CrossRef]
- Gabov, D.N.; Yakovleva, E.V.; Vasilevich, R.S.; Gruzdev, I.V. Distribution of n-alkanes in hummocky peatlands of the extreme northern taiga of the European northeast of Russia and their role in paleoclimate reconstruction. Eurasian Soil Sci. 2022, 55, 879–894. [Google Scholar] [CrossRef]
- Ronkainen, T.; McClymont, E.L.; Väliranta, M.; Tuittila, E.-S. The n-alkane and sterol composition of living fen plants as a potential tool for palaeoecological studies. Org. Geochem. 2013, 59, 1–9. [Google Scholar] [CrossRef]
- Jongejans, L.L.; Mangelsdorf, K.; Schirrmeister, L.; Grigoriev, M.N.; Maksimov, G.T.; Biskaborn, B.K.; Grosse, G.; Strauss, J. n-Alkane Characteristics of Thawed Permafrost Deposits Below a Thermokarst Lake on Bykovsky Peninsula, Northeastern Siberia. Front. Environ. Sci. 2020, 8, 118. [Google Scholar] [CrossRef]
- Huang, X.; Wang, C.; Zhang, J.; Wiesenberg, G.L.B.; Zhang, Z.; Xie, S. Comparison of free lipid compositions between roots and leaves of plants in the Dajiuhu Peatland, Central China. Geochem. J. 2011, 45, 365–373. [Google Scholar] [CrossRef]
- Skreczko, S.; Szymczyk, A.; Nadłonek, W. Impacts of vegetation and palaeohydrological changes on the n-alkane composition of a Holocene peat sequence from the Upper Vistula Valley (southern Poland). J. Soils Sediments 2021, 21, 2709–2718. [Google Scholar] [CrossRef]
- Gabov, D.N.; Beznosikov, V.A.; Gruzdev, I.V.; Yakovleva, E.V. Accumulation of n-alkanes and carboxylic acids in peat mounds. Soil Chem. 2017, 50, 1138–1153. [Google Scholar] [CrossRef]
- FGUP. Chapter 2 “Environment (Nature). Ecology”. In National Atlas of Russia; FGUP: Gosgistzentr, Russia, 2004; 495p, Available online: https://nationalatlas.ru/tom2/english_summary.html (accessed on 24 September 2024).
- IUSS Working Group WRB. World Reference Base for Soil Resources. International Soil Classification System for Naming Soils and Creating Legends for Soil Maps, 4th ed.; International Union of Soil Sciences (IUSS): Vienna, Austria, 2022; Available online: https://eurasian-soil-portal.info/wp-content/uploads/2022/07/wrb_fourth_edition_2022-3.pdf (accessed on 24 September 2024).
- Brown, J.; Ferrians, O.J., Jr.; Heginbottom, J.A.; Melnikov, E.S. (Eds.) Circum-Arctic Map of Permafrost and Ground-Ice Conditions; U.S. Geological Survey in Cooperation with the Circum-Pacific Council for Energy and Mineral Resources: Washington, DC, USA, 1997; Circum-Pacific Map Series CP-45; Scale 1:10,000,000, 1 Sheet. [Google Scholar] [CrossRef]
- Geocryological Map of Russia and Neighbouring Republics, 1:2,500,000 Scale; Moscow State University, Russian Ministry of Geology: Moscow, Russia, 1999; (In English). [CrossRef]
- Novakovskiy, A.B. Interaction between Excel and statistical package R for ecological data analysis. Vestn. Insituta Biol. Komi NC UrO RAN 2016, 3, 26–33. (In Russian) [Google Scholar] [CrossRef]
- Bray, E.E.; Evans, E.D. Hydrocarbons in non-reservoir-rock source beds. AAPG Bull. 1965, 49, 248–257. Available online: https://archives.datapages.com/data/bulletns/1965-67/data/pg/0049/0003/0200/0248.htm (accessed on 24 September 2024).
- Andersson, R.A.; Meyers, P.A. Effect of climate change on delivery and degradation of lipid biomarkers in a Holocene peat sequence in the eastern European Russian Arctic. Org. Geochem. 2012, 53, 63–72. [Google Scholar] [CrossRef]
- Zheng, Y.; Zhou, W.; Meyers, P.A.; Xie, S. Lipid biomarkers in the Zoigê-Hongyuan peat deposit: Indicators of Holocene climate changes in West China. Org. Geochem. 2007, 38, 1927–1940. [Google Scholar] [CrossRef]
- Rieley, G.; Collier, R.J.; Jones, D.M.; Eglinton, G. The biogeochemistry of Ellesmere Lake, U.K.—I: Source correlation of leaf wax inputs to the sedimentary record. Org. Geochem. 1991, 17, 901–912. [Google Scholar] [CrossRef]
- Poynter, J.; Eglinton, G. Molecular composition of three sediments from Hole 717C. In the Bengal fan. Proc. Ocean Drill. Program Sci. Results 1990, 116, 155–161. [Google Scholar] [CrossRef]
- Routh, J.; Hugelius, G.; Kuhry, P.; Filley, T.; Tillman, P.K.; Becher, M.; Crill, P. Multi-proxy study of soil organic matter dynamics in permafrost peat deposits reveal vulnerability to climate change in the European Russian Arctic. Chem. Geol. 2014, 368, 104–117. [Google Scholar] [CrossRef]
- Ficken, K.J.; Li, B.; Swain, D.L.; Eglinton, G. An n-alkane proxy for the sedimentary input of submerged/floating freshwater aquatic macrophytes. Org. Geochem. 2000, 31, 745–749. [Google Scholar] [CrossRef]
- Andersson, R.A.; Kuhry, P.; Meyers, P.; Zebuhr, Y.; Crill, P.; Morth, M. Impacts of paleohydrological changes on n-alkane biomarker compositions of a Holocene peat sequence in the eastern European Russian Arctic. Org. Geochem. 2011, 42, 1065–1075. [Google Scholar] [CrossRef]
- Kaverin, D.A.; Pastukhov, A.V. Temperature state of soils of peat plateausin the sporadic permafrost area (European northeast of Russia). Earth’s Cryosph. (Kriosf. Zemli) 2018, 22, 42–50. [Google Scholar] [CrossRef]
- Pastukhov, A.V.; Kaverin, D.A. Ecological state of peat plateaus in northeastern European Russia. Russ. J. Ecol. 2016, 47, 125–132. [Google Scholar] [CrossRef]
- Aerts, R.; Verhoeven, T.A.; Whigham, D.F. Plant-mediated controls on nutrient cycling in temperate fens and bogs. Ecology 1999, 80, 2170–2181. [Google Scholar] [CrossRef]
- Grover, S.P.; Butterly, C.R.; Wang, X.; Tang, C. The short-term effects of liming on organic carbon mineralisation in two acidic soils as affected by different rates and application depths of lime. Biol. Fert. Soils 2017, 53, 431–443. [Google Scholar] [CrossRef]
- Loisel, J.; Yu, Z.; Beilman, D.W.; Camill, P.; Alm, J.; Amesbury, M.J.; Anderson, D.; Andersson, S.; Bochicchio, C.; Barber, K.; et al. A database and synthesis of existing data for northern peatland soil properties and Holocene carbon accumulation. Holocene 2014, 24, 1028–1042. [Google Scholar] [CrossRef]
- Biester, H.; Knorr, K.H.; Schellekens, J.; Basler, A.; Hermanns, Y.M. Comparison of different methods to determine the degree of peat decomposition in peat bogs. Biogeosciences 2014, 11, 2691–2707. [Google Scholar] [CrossRef]
- Pastukhov, A.; Kovaleva, V.; Kaverin, D. Microbial Community Structure in Ancient European Arctic Peatlands. Plants 2022, 11, 2704. [Google Scholar] [CrossRef]
- Marushchak, M.E.; Pitkämäki, A.; Koponen, H.; Biasi, C.; Seppälä, M.; Martikainen, P.J. Hot spots for nitrous oxide emissions found in different types of permafrost peatlands. Glob. Change Biol. 2011, 17, 2601–2614. [Google Scholar] [CrossRef]
- Watmough, S.; Gilbert-Parkes, S.; Basiliko, N.; Lamit, L.J.; Lilleskov, E.A.; Andersen, R.; del Aguila-Pasquel, J.; Artz, R.E.; Benscoter, B.W.; Borken, W.; et al. Variation in carbon and nitrogen concentrations among peatland categories at the global scale. PLoS ONE 2022, 17, e0275149. [Google Scholar] [CrossRef] [PubMed]
- Kaverin, D.A.; Pastukhov, A.V.; Lapteva, E.M.; Biasi, C.; Marushchak, M.; Martikainen, P. Morphology and properties of the soils of permafrost peatlands in the southeast of the Bol’shezemel’skaya tundra. Eurasian Soil Sci. 2016, 49, 498–511. [Google Scholar] [CrossRef]
- Pastukhov, A.V.; Marchenko-Vagapova, T.I.; Kaverin, D.A.; Kulizhskii, S.P.; Kuznetsov, O.L.; Panov, V.S. Dynamics of Peat Plateau near the Southern Boundary of the East European Permafrost Zone. Eurasian Soil Sci. 2017, 50, 526–538. [Google Scholar] [CrossRef]
- Pancost, R.D.; Baas, M.; van Geel, B.; SinningheDamsté, J.S. Biomarkers as proxies for plant inputs to peats: An example from a sub-boreal ombotrophic bog. Org. Geochem. 2002, 33, 675–690. [Google Scholar] [CrossRef]
- Vonk, J.E.; Gustafsson, Ö. Calibrating n-alkane Sphagnum proxies in sub-Arctic Scandinavia. Org. Geochem. 2009, 40, 1085–1090. [Google Scholar] [CrossRef]
- Li, G.; Li, L.; Tarozo, R.; Longo, W.M.; Wang, K.J.; Dong, H.; Huang, Y. Microbial production of long-chain n-alkanes: Implication for interpreting sedimentary leaf wax signals. Org. Geochem. 2018, 115, 24–31. [Google Scholar] [CrossRef]
- Hunt, J.M. Petroleum Geochemistry and Geology; W.H. Freeman and Company: San Francisco, CA, USA, 1979; 617p. [Google Scholar] [CrossRef]
- Moore, T.R.; Bubier, J.L.; Bledzki, L. Litter decomposition in temperate peatland ecosystems: The effect of substrate and site. Ecosystems 2007, 10, 949–963. [Google Scholar] [CrossRef]
- Pastukhov, A.; Marchenko-Vagapova, T.; Loiko, S.; Kaverin, D. Vulnerability of the Ancient Permafrost Peatlands in Western Siberia. Plants 2021, 10, 2813. [Google Scholar] [CrossRef]
- Fotiev, S.M. Arctic peatlands of the Yamal-Gydan province of Western Siberia. Earth’s Cryosph. 2017, 21, 75–83. [Google Scholar] [CrossRef]
- Ficken, K.; Barber, K.; Eglington, G. Lipid biomarker, δ13C and plant macrofossil stratigraphy of a Scottish montane peat bog over the last two millennia. Org. Geochem. 1998, 28, 217–237. [Google Scholar] [CrossRef]
- Cranwell, P.A.; Eglinton, G.; Robinson, N. Lipids of aquatic organisms as potential contributors to lacustrine sediments—II. Org. Geochem. 1987, 11, 513–527. [Google Scholar] [CrossRef]
- Shur, Y.; Hinkel, K.M.; Nelson, F.E. The transient layer: Implications for geocryology and climate-change science. Permafr. Periglac. Process. 2005, 16, 5–17. [Google Scholar] [CrossRef]
- Turetsky, M.R. Decomposition and organic matter quality in continental peatlands: The ghosts of permafrost past. Ecosystems 2004, 7, 740–750. [Google Scholar] [CrossRef]
- Jansen, B.; Nierop, K.G.J. Methyl ketones in high altitude Ecuadorian Andosols confirm excellent conservation of plant-specific n-alkane patterns. Org. Geochem. 2009, 40, 61–69. [Google Scholar] [CrossRef]
- Rojo, F. Degradation of alkanes by bacteria. Environ. Microbiol. 2009, 11, 2477–2490. [Google Scholar] [CrossRef]
- Thomas, C.L.; Jansen, B.; Loon, E.E.; Van Wiesenberg, G.L.B. Transformation of n-alkanes from plant to soil: A review. Soil Discuss. 2021, 7, 785–809. [Google Scholar] [CrossRef]
- Keiluweit, M.; Wanzek, T.; Kleber, M.; Nico, P.; Fendorf, S. Anaerobic microsites have an unaccounted role in soil carbon stabilization. Nat. Commun. 2017, 8, 1771. [Google Scholar] [CrossRef] [PubMed]
- Zhou, W.; Zheng, Y.; Meyers, P.A.; Jull, A.J.T.; Xie, S. Postglacial climate-change record in biomarker lipid compositions of the Hani peat sequence, Northeastern China. Earth Planet. Sci. Lett. 2010, 294, 37–46. [Google Scholar] [CrossRef]
- Strel’nikova, E.B.; Russkikh, I.V.; Preis, Y.I. N-alkanes and n-alkan-2-ones as Lipid Biomarkers of High-Moor Peats and Marsh Plants in Western Siberia. Solid Fuel Chem. 2021, 55, 321–331. [Google Scholar] [CrossRef]
- Xie, S.; Nott, C.J.; Avsejs, L.A.; Maddy, D.; Chambers, F.; Evershed, R.P. Molecular and isotopic stratigraphy in an ombotrophic mire for palaeoclimate reconstruction. Geochim. Cosmochim. Acta 2004, 68, 2849–2862. [Google Scholar] [CrossRef]
- Nierop, K.G.J.; Jansen, B. Extensive transformation of organic matter and excellent lipid preservation at the upper, superhumid Guanderapáramo. Geoderma 2009, 151, 357–369. [Google Scholar] [CrossRef]
- Mead, R.; Xu, Y.; Chong, J.; Jaffe, R. Sediment and soil organic matter source assessment as revealed by the molecular distribution and carbon isotopic composition of n-alkanes. Org. Geochem. 2005, 36, 363–370. [Google Scholar] [CrossRef]








Disclaimer/Publisher’s Note: The statements, opinions and data contained in all publications are solely those of the individual author(s) and contributor(s) and not of MDPI and/or the editor(s). MDPI and/or the editor(s) disclaim responsibility for any injury to people or property resulting from any ideas, methods, instructions or products referred to in the content. |
© 2025 by the authors. Licensee MDPI, Basel, Switzerland. This article is an open access article distributed under the terms and conditions of the Creative Commons Attribution (CC BY) license (https://creativecommons.org/licenses/by/4.0/).
Share and Cite
Pastukhov, A.; Kaverin, D.; Loiko, S. N-Alkanes in Permafrost Peatlands. Plants 2025, 14, 449. https://doi.org/10.3390/plants14030449
Pastukhov A, Kaverin D, Loiko S. N-Alkanes in Permafrost Peatlands. Plants. 2025; 14(3):449. https://doi.org/10.3390/plants14030449
Chicago/Turabian StylePastukhov, Alexander, Dmitry Kaverin, and Sergey Loiko. 2025. "N-Alkanes in Permafrost Peatlands" Plants 14, no. 3: 449. https://doi.org/10.3390/plants14030449
APA StylePastukhov, A., Kaverin, D., & Loiko, S. (2025). N-Alkanes in Permafrost Peatlands. Plants, 14(3), 449. https://doi.org/10.3390/plants14030449

