Defense Regulatory Network Associated with circRNA in Rice in Response to Brown Planthopper Infestation
Abstract
1. Introduction
2. Results
2.1. Identification of Circular RNAs in IR56 Rice
2.2. The Distribution and Characterization of circRNAs in Three Libraries
2.3. Analysis of Differentially Expressed (DE) circRNAs Involved in the Response to BPH Infestations of Rice
2.4. Functional Enrichment Analysis on DE circRNAs and Their Functional Annotations
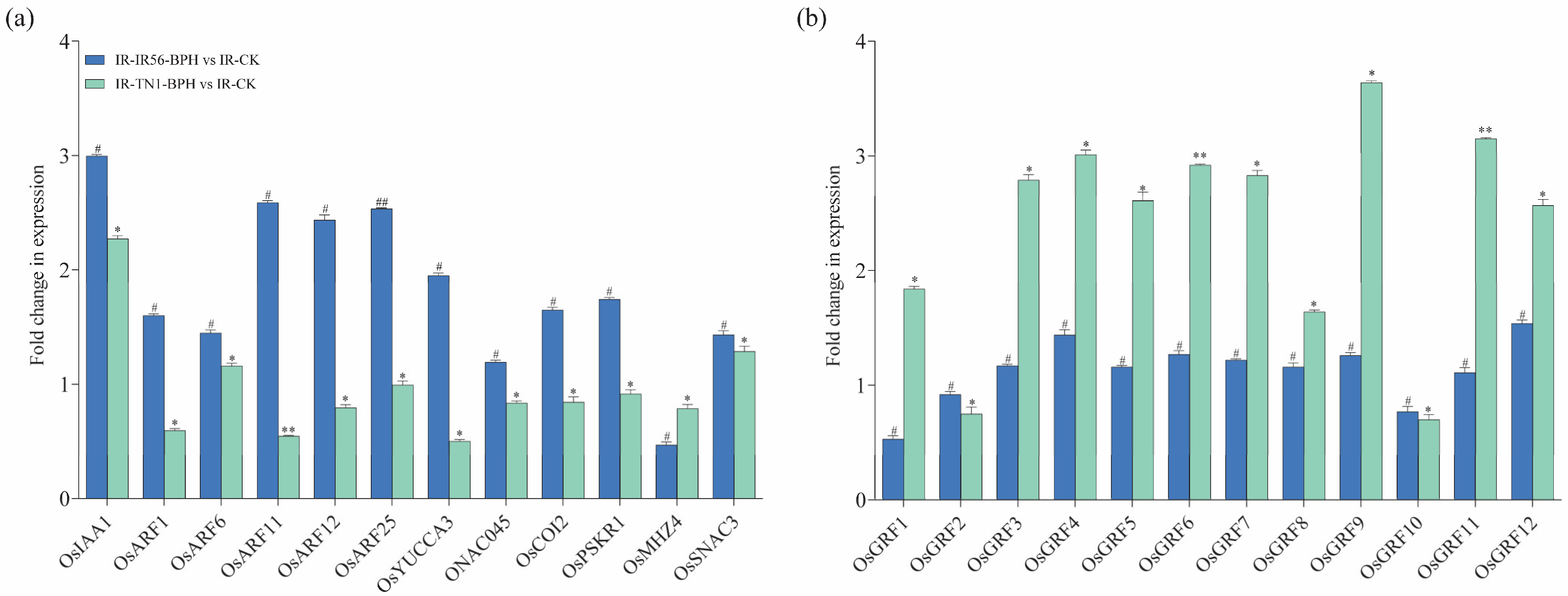
2.5. Display of the BPH-Feeding Response in IR56-Associated circRNAs and Their Putative Parental Genes and Validation of Selected DE miRNAs and Their Targets
2.6. Exploring the Potential Roles of BPH-Feeding Response in IR56-Associated circRNAs
3. Discussion
3.1. Systematic Identification and Characterization Analysis of circRNAs Enhances Understanding of Two Brown Planthopper Populations with Varied Virulence Levels in Rice
3.2. circRNAs Involved in Defense against BPH Infestations in IR56 Rice Probably by Regulating Their Parental Genes
3.3. circRNAs Involved in Phytohormones and Growth-Regulating Factors for BPH Infestations in IR56 Rice Probably by Regulating Their Parental Genes
4. Materials and Methods
4.1. Plant Materials and Growth Conditions
4.2. Insect Materials and Growth Conditions
4.3. BPH Bioassays and Sample Collections
4.4. RNA Isolation and Detection
4.5. Library Construction and Circular RNA Sequencing
4.6. Identification of circRNAs
4.7. Expression Analysis of the Differential circRNAs
4.8. Gene Annotation, GO Analysis, and KEGG Pathway Analysis of circRNAs
4.9. Validation of the Selected DE circRNAs, miRNA, and mRNA Via Quantitative Real-Time PCR (qRT-PCR)
4.10. Metabolomics and Data Analysis
4.11. Statistical Analysis
5. Conclusions
Supplementary Materials
Author Contributions
Funding
Data Availability Statement
Conflicts of Interest
References
- Du, B.; Chen, R.Z.; Guo, J.P.; He, G.C. Current understanding of the genomic, genetic, and molecular control of insect resistance in rice. Mol. Breed. 2020, 40, 24. [Google Scholar] [CrossRef]
- Zheng, X.H.; Zhu, L.L.; He, G.C. Genetic and molecular understanding of host rice resistance and Nilaparvata lugens adaptation. Curr. Opin. Insects Sci. 2021, 45, 14–20. [Google Scholar] [CrossRef]
- Cheng, X.Y.; Zhu, L.L.; He, G.C. Towards understanding of molecular Iinteractions between rice and the brown planthopper. Mol. Plant. 2013, 6, 621–634. [Google Scholar] [CrossRef]
- Li, C.P.; Wu, D.H.; Huang, S.H.; Meng, M.; Shih, H.T.; Lai, M.H.; Chen, L.J.; Jena, K.K.; Hechanova, S.L.; Ke, T.J.; et al. The Bph45 gene confers resistance against brown planthopper in rice by reducing the production of limonene. Int. J. Mol. Sci. 2023, 24, 1798. [Google Scholar] [CrossRef] [PubMed]
- Tamura, Y.; Hattori, M.; Yoshioka, H.; Yoshioka, M.; Takahashi, A.; Wu, J.; Sentoku, N.; Yasui, H. Map-based cloning and characterization of a brown planthopper resistance gene BPH26 from Oryza sativa L. ssp. indica Cultivar ADR52. Sci. Rep. 2014, 4, 5872. [Google Scholar] [CrossRef] [PubMed]
- Liu, Y.Q.; Wu, H.; Chen, H.; Liu, Y.L.; He, J.; Kang, H.Y.; Sun, Z.G.; Pan, G.; Wang, Q.; Hu, J.L.; et al. A gene cluster encoding lectin receptor kinases confers broad-spectrum and durable insect resistance in rice. Nat. Biotechnol. 2015, 33, 301–306. [Google Scholar] [CrossRef] [PubMed]
- Guo, J.; Xu, C.; Wu, D.; Zhao, Y.; Qiu, Y.; Wang, X.; Ouyang, Y.; Cai, B.; Liu, X.; Jing, S.; et al. Bph6 encodes an exocyst-localized protein and confers broad resistance to planthoppers in rice. Nat. Genet. 2018, 50, 297–306. [Google Scholar] [CrossRef]
- Zhao, Y.; Huang, J.; Wang, Z.; Jing, S.; Wang, Y.; Ouyang, Y.; Cai, B.; Xin, X.F.; Liu, X.; Zhang, C.; et al. Allelic diversity in an NLR gene BPH9 enables rice to combat planthopper variation. Proc. Natl. Acad. Sci. USA 2016, 113, 12850–12855. [Google Scholar] [CrossRef]
- Du, B.; Zhang, W.; Liu, B.; Hu, J.; Wei, Z.; Shi, Z.; He, R.; Zhu, L.; Chen, R.; Han, B.; et al. Identification and characterization of Bph14, a gene conferring resistance to brown planthopper in rice. Proc. Natl. Acad. Sci. USA 2009, 106, 22163–22168. [Google Scholar] [CrossRef]
- Cheng, X.Y.; Wu, Y.; Guo, J.P.; Du, B.; Chen, R.Z.; Zhu, L.L.; He, G.C. A rice lectin receptor-like kinase that is involved in innate immune responses also contributes to seed germination. Plant J. 2013, 76, 687–698. [Google Scholar] [CrossRef]
- Ji, H.; Kim, S.-R.; Kim, Y.-H.; Suh, J.-P.; Park, H.-M.; Sreenivasulu, N.; Misra, G.; Kim, S.-M.; Hechanova, S.L.; Kim, H.; et al. Map-based cloning and characterization of the BPH18 gene from wild rice conferring resistance to brown planthopper (BPH) insect pest. Sci. Rep. 2016, 6, 34376. [Google Scholar] [CrossRef]
- Wang, Y.; Cao, L.M.; Zhang, Y.X.; Cao, C.X.; Liu, F.; Huang, F.K.; Qiu, Y.F.; Li, R.B.; Lou, X.J. Map-based cloning and characterization of BPH29, a B3 domain-containing recessive gene conferring brown planthopper resistance in rice. J. Exp. Bot. 2015, 66, 6035–6045. [Google Scholar] [CrossRef]
- Shi, S.J.; Wang, H.Y.; Nie, L.Y.; Tan, D.; Zhou, C.; Zhang, Q.; Li, Y.; Du, B.; Guo, J.P.; Huang, J.; et al. Bph30 confers resistance to brown planthopper by fortifying sclerenchyma in rice leaf sheaths. Mol. Plant. 2021, 14, 1714–1732. [Google Scholar] [CrossRef] [PubMed]
- Ren, J.S.; Gao, F.Y.; Wu, X.T.; Lu, X.J.; Zeng, L.H.; Lv, J.Q.; Su, X.W.; Luo, H.; Ren, G.J. Bph32, a novel gene encoding an unknown SCR domain-containing protein, confers resistance against the brown planthopper in rice. Sci. Rep. 2016, 6, 37645. [Google Scholar] [CrossRef]
- Muduli, L.; Radhan, S.K.P.; Mishra, A.; Bastia, D.N.; Samal, K.C.; Agrawal, P.K.; Dash, M. Understanding brown planthopper resistance in rice: Genetics, biochemical and molecular breeding approaches. Rice Sci. 2021, 28, 532–546. [Google Scholar] [CrossRef]
- Zheng, Y.; He, J.C.; Lai, F.X.; Sun, Y.Q.; Lin, J.J.; Fu, Q. Virulence characteristics of Nilaparvata lugens (Stål) reared on resistant rice variety IR56. Chin. J. Rice Sci. 2016, 30, 552–558. [Google Scholar]
- Lamers, J.; van der Meer, T.; Testerink, C. How plants sense and respond to stressful environments. Plant Physiol. 2020, 182, 1624–1635. [Google Scholar] [CrossRef] [PubMed]
- Reymond, P. Receptor kinases in plant responses to herbivory. Curr. Opin. Biotechnol. 2021, 70, 143–150. [Google Scholar] [CrossRef]
- Fan, J.B.; Bai, P.F.; Ning, Y.S.; Wang, J.Y.; Shi, X.T.; Xiong, Y.H.; Zhang, K.; He, F.; Zhang, C.Y.; Wang, R.Y.; et al. The monocot-specific receptor-like kinase SDS2 controls cell death and immunity in rice. Cell Host Microbe 2018, 23, 498–510. [Google Scholar] [CrossRef]
- Nanda, S.; Wan, P.J.; Yuan, S.Y.; Lai, F.X.; Wang, W.X.; Fu, Q. Differential responses of OsMPKs in IR56 rice to two BPH populations of different virulence levels. Int. J. Mol. Sci. 2018, 19, 4030. [Google Scholar] [CrossRef]
- Bayraktar, E.; Bayraktar, R.; Oztatlici, H.; Lopez-Berestein, G.; Amero, P.; Rodriguez-Aguayo, C. Targeting miRNAs and other non-coding RNAs as a therapeutic approach: An update. Non-Coding RNA 2023, 9, 27. [Google Scholar] [CrossRef] [PubMed]
- Xue, Y.X.; Muhammad, S.; Yang, J.L.; Wang, X.; Zhao, N.; Qin, B.X.; Qiu, Y.F.; Du, Z.M.; Ulhassan, Z.; Zhou, W.J.; et al. Comparative transcriptome-wide identification and differential expression of genes and lncRNAs in rice near-isogenic line (KW-Bph36-NIL) in response to BPH feeding. Front. Plant Sci. 2023, 13, 1095602. [Google Scholar] [CrossRef] [PubMed]
- Nanda, S.; Yuan, S.Y.; Lai, F.X.; Wang, W.X.; Fu, Q.; Wan, P.J. Identification and analysis of miRNAs in IR56 rice in response to BPH infestations of different virulence levels. Sci. Rep. 2020, 10, 19093. [Google Scholar] [CrossRef] [PubMed]
- Wu, Y.; Lv, W.T.; Hu, L.; Rao, W.W.; Zeng, Y.; Zhu, L.L.; He, Y.Q.; He, G.C. Identification and analysis of brown planthopper-responsive microRNAs in resistant and susceptible rice plants. Sci. Rep. 2017, 7, 8712. [Google Scholar] [CrossRef]
- Ge, Y.F.; Han, J.Y.; Zhou, G.X.; Xu, Y.M.; Ding, Y.; Shi, M.; Guo, C.K.; Wu, G. Silencing of miR156 confers enhanced resistance to brown planthopper in rice. Planta 2018, 248, 813–826. [Google Scholar] [CrossRef]
- Shen, Y.J.; Yang, G.Q.; Miao, X.X.; Shi, Z.Y. OsmiR159 modulate BPH resistance through regulating G-protein γ subunit GS3 gene in rice. Rice 2023, 16, 30. [Google Scholar] [CrossRef]
- Dai, Z.Y.; Tan, J.; Zhou, C.; Yang, X.F.; Yang, F.; Zhang, S.J.; Sun, S.C.; Miao, X.X.; Shi, Z.Y. The OsmiR396-OsGRF8-OsF3H-flavonoid pathway mediates resistance to the brown planthopper in rice (Oryza sativa). Plant Biotechnol. J. 2019, 17, 1657–1669. [Google Scholar] [CrossRef]
- Wu, Y.; Zha, W.J.; Qiu, D.F.; Guo, J.P.; Liu, G.; Li, C.Y.; Wu, B.; Li, S.H.; Chen, J.X.; Hu, L.; et al. Comprehensive identification and characterization of lncRNAs and circRNAs reveal potential brown planthopper-responsive ceRNA networks in rice. Front. Plant Sci. 2023, 14, 1242089. [Google Scholar] [CrossRef]
- Liu, R.Q.; Ma, Y.; Guo, T.; Li, G.L. Identification, biogenesis, function, and mechanism of action of circular RNAs in plants. Plant Commun. 2023, 4, 100430. [Google Scholar] [CrossRef]
- Xu, Y.H.; Ren, Y.Z.; Lin, T.B.; Cui, D.Q. Identification and characterization of CircRNAs involved in the regulation of wheat root length. Biol. Res. 2019, 52, 19. [Google Scholar] [CrossRef]
- Dou, Y.C.; Li, S.J.; Yang, W.L.; Liu, K.; Du, Q.; Ren, G.D.; Yu, B.; Zhang, C. Genome-wide discovery of circular RNAs in the leaf and seedling. Curr. Genom. 2017, 18, 360–365. [Google Scholar] [CrossRef]
- Han, Y.; Li, X.X.; Yan, Y.; Duan, M.H.; Xu, J.H. Identification, characterization, and functional prediction of circular RNAs in maize. Mol. Genet. Genom. 2020, 295, 491–503. [Google Scholar] [CrossRef] [PubMed]
- Zhang, P.; Dai, M.Q. CircRNA: A rising star in plant biology. J. Genet. Genom. 2022, 49, 1081–1092. [Google Scholar] [CrossRef]
- Ye, C.Y.; Chen, L.; Liu, C.; Zhu, Q.H.; Fan, L.J. Widespread noncoding circular RNAs in plants. New Phytol. 2015, 208, 88–95. [Google Scholar] [CrossRef]
- Tian, H.; Wu, Z.; Chen, S.; Ao, K.; Huang, W.; Yaghmaiean, H.; Sun, T.; Xu, F.; Zhang, Y.; Wang, S.; et al. Activation of TIR signalling boosts pattern-triggered immunity. Nature 2021, 598, 500–503. [Google Scholar] [CrossRef] [PubMed]
- Wang, Y.; Xiong, Z.; Li, Q.; Sun, Y.; Jin, J.; Chen, H.; Zou, Y.; Huang, X.; Ding, Y. Circular RNA profiling of the rice photo-thermosensitive genic male sterile line Wuxiang S reveals circRNA involved in the fertility transition. BMC Plant Biol. 2019, 19, 340. [Google Scholar] [CrossRef]
- Fan, J.; Quan, W.L.; Li, G.B.; Hu, X.H.; Wang, Q.; Wang, H.; Li, X.P.; Luo, X.T.; Feng, Q.; Hu, Z.J.; et al. circRNAs Are Involved in the Rice-Magnaporthe oryzae Interaction. Plant Physiol. 2020, 182, 272–286. [Google Scholar] [CrossRef]
- Guo, H.M.; Li, H.C.; Zhou, S.R.; Xue, H.W.; Miao, X.X. Deficiency of mitochondrial outer membrane protein 64 confers rice resistance to both piercing-sucking and chewing insects in rice. J. Integr. Plant Biol. 2020, 62, 1967–1982. [Google Scholar] [CrossRef] [PubMed]
- Lee, H.A.; Yeom, S.I. Plant NB-LRR proteins: Tightly regulated sensors in a complex manner. Brief. Funct. Genom. 2015, 14, 233–242. [Google Scholar] [CrossRef]
- Hashimoto, K.; Saito, M.; Matsuoka, H.; Iida, K.; Iida, H. Functional analysis of a rice putative voltage-dependent Ca2+ channel, OsTPC1, expressed in yeast cells lacking its homologous gene CCH1. Plant Cell Physiol. 2004, 45, 496–500. [Google Scholar] [CrossRef]
- Kurusu, T.; Hamada, H.; Koyano, T.; Kuchitsu, K. Intracellular localization and physiological function of a rice Ca2+-permeable channel OsTPC1. Plant Signal. Behav. 2012, 7, 1428–1430. [Google Scholar] [CrossRef]
- Guo, J.P.; Wang, H.Y.; Guan, W.; Guo, Q.; Wang, J.; Yang, J.; Peng, Y.X.; Shan, J.H.; Gao, M.Y.; Shi, S.J.; et al. A tripartite rheostat controls self-regulated host plant resistance to insects. Nature 2023, 618, 799–807. [Google Scholar] [CrossRef]
- Yamaguchi, K.; Yamada, K.; Ishikawa, K.; Yoshimura, S.; Hayashi, N.; Uchihashi, K.; Ishihama, N.; Kishi-Kaboshi, M.; Takahashi, A.; Tsuge, S.; et al. A Receptor-like Cytoplasmic Kinase Targeted by a Plant Pathogen Effector Is Directly Phosphorylated by the Chitin Receptor and Mediates Rice Immunity. Cell Host Microbe 2013, 13, 347–357. [Google Scholar] [CrossRef]
- Guan, Q.J.; Ma, H.Y.; Wang, Z.J.; Wang, Z.Y.; Bu, Q.Y.; Liu, S.K. A rice LSD1-like-type ZFP gene OsLOL5 enhances saline-alkaline tolerance in transgenic Arabidopsis thaliana, yeast and rice. BMC Genom. 2016, 17, 142. [Google Scholar] [CrossRef]
- Xu, J.; Wang, X.J.; Zu, H.Y.; Zeng, X.; Baldwin, I.T.; Lou, Y.G.; Li, R. Molecular dissection of rice phytohormone signaling involved in resistance to a piercing-sucking herbivore. New Phytol. 2021, 230, 1639–1652. [Google Scholar] [CrossRef]
- Wang, X.J.; Chen, Y.M.; Liu, S.T.; Fu, W.J.; Zhuang, Y.Q.; Xu, J.; Lou, Y.G.; Baldwin, I.T.; Li, R. Functional dissection of rice jasmonate receptors involved in development and defense. New Phytol. 2023, 238, 2144–2158. [Google Scholar] [CrossRef]
- Chen, Y.; Xu, Y.Y.; Luo, W.; Li, W.X.; Chen, N.; Zhang, D.J.; Chong, K. The F-Box protein OsFBK12 targets OsSAMS1 for degradation and affects pleiotropic phenotypes, including leaf senescence, in Rice. Plant Physiol. 2013, 163, 1673–1685. [Google Scholar] [CrossRef] [PubMed]
- Ma, F.L.; Yang, X.F.; Shi, Z.Y.; Miao, X.X. Novel crosstalk between ethylene- and jasmonic acid-pathway responses to a piercing-sucking insect in rice. New Phytol. 2020, 225, 474–487. [Google Scholar] [CrossRef] [PubMed]
- Serra, T.S.; Figueiredo, D.D.; Cordeiro, A.M.; Almeida, D.M.; Lourenco, T.; Abreu, I.A.; Sebastian, A.; Fernandes, L.; Contreras-Moreira, B.; Oliveira, M.M.; et al. OsRMC, a negative regulator of salt stress response in rice, is regulated by two AP2/ERF transcription factors. Plant Mol. Biol. 2013, 82, 439–455. [Google Scholar] [CrossRef] [PubMed]
- Gao, X.Y.; Zhang, J.Q.; Zhang, X.J.; Zhou, J.; Jiang, Z.S.; Huang, P.; Tang, Z.B.; Bao, Y.M.; Cheng, J.P.; Tang, H.J.; et al. Rice qGL3/OsPPKL1 functions with the GSK3/SHAGGY-like kinase OsGSK3 to modulate brassinosteroid signaling. Plant Cell 2019, 31, 1077–1093. [Google Scholar] [CrossRef] [PubMed]
- Pan, G.; Liu, Y.Q.; Ji, L.S.; Zhang, X.; He, J.; Huang, J.; Qiu, Z.Y.; Liu, D.M.; Sun, Z.G.; Xu, T.T.; et al. Brassinosteroids mediate susceptibility to brown planthopper by integrating with the salicylic acid and jasmonic acid pathways in rice. J. Exp. Bot. 2018, 69, 4433–4442. [Google Scholar] [CrossRef]
- Jain, M.; Tyagi, A.K.; Khurana, J.P. Molecular characterization and differential expression of cytokinin-responsive type-A response regulators in rice (Oryza sativa). BMC Plant Biol. 2006, 6, 1. [Google Scholar] [CrossRef] [PubMed]
- Langmead, B.; Trapnell, C.; Pop, M.; Salzberg, S.L. Ultrafast and memory-efficient alignment of short DNA sequences to the human genome. Genome Biol. 2009, 10, R25. [Google Scholar] [CrossRef] [PubMed]
- Memczak, S.; Jens, M.; Elefsinioti, A.; Torti, F.; Krueger, J.; Rybak, A.; Maier, L.; Mackowiak, S.D.; Gregersen, L.H.; Munschauer, M.; et al. Circular RNAs are a large class of animal RNAs with regulatory potency. Nature 2013, 495, 333–338. [Google Scholar] [CrossRef] [PubMed]
- Kim, D.; Landmead, B.; Salzberg, S.L. HISAT: A fast spliced aligner with low memory requirements. Nat. Methods 2015, 12, 357–360. [Google Scholar] [CrossRef] [PubMed]
- Pertea, M.; Kim, D.; Pertea, G.M.; Leek, J.T.; Salzberg, S.L. Transcript-level expression analysis of RNA-seq experiments with HISAT, StringTie and Ballgown. Nat. Protoc. 2016, 11, 1650–1667. [Google Scholar] [CrossRef]
- Wang, L.K.; Feng, Z.X.; Wang, X.; Wang, X.W.; Zhang, X.G. DEGseq: An R package for identifying differentially expressed genes from RNA-seq data. Bioinformatics 2009, 26, 136–138. [Google Scholar] [CrossRef] [PubMed]
- Tong, W.; Yu, J.; Hou, Y.; Li, F.D.; Zhou, Q.Y.; Wei, C.L.; Bennetzen, J.L. Circular RNA architecture and differentiation during leaf bud to young leaf development in tea (Camellia sinensis). Planta 2018, 248, 1417–1429. [Google Scholar] [CrossRef]
- Fahlgren, N.; Howell, M.D.; Kasschau, K.D.; Chapman, E.J.; Sullivan, C.M.; Cumbie, J.S.; Givan, S.A.; Law, T.F.; Grant, S.R.; Dangl, J.L.; et al. High-throughput sequencing of Arabidopsis microRNAs: Evidence for frequent birth and death of MIRNA Genes. PLoS ONE 2007, 2, e219. [Google Scholar] [CrossRef]
- Yu, G.C.; Wang, L.G.; Han, Y.Y.; He, Q.Y. clusterProfiler: An R Package for Comparing Biological Themes Among Gene Clusters. Omics J. Integr. Biol. 2012, 16, 284–287. [Google Scholar] [CrossRef]
- Li, C.Y.; Luo, C.; Zhou, Z.H.; Wang, R.; Ling, F.; Xiao, L.T.; Lin, Y.J.; Chen, H. Gene expression and plant hormone levels in two contrasting rice genotypes responding to brown planthopper infestation. BMC Plant Biol. 2017, 17, 57. [Google Scholar] [CrossRef] [PubMed]
- Ren, G.J.; Fan, X.C.; Liu, T.L.; Wang, S.S.; Zhao, G.H. Genome-wide analysis of differentially expressed profiles of mRNAs, lncRNAs and circRNAs during Cryptosporidium baileyi infection. BMC Genom. 2018, 19, 356. [Google Scholar] [CrossRef] [PubMed]
- Zhong, S.L.; Feng, J.F. CircPrimer 2.0: A software for annotating circRNAs and predicting translation potential of circRNAs. BMC Bioinform. 2022, 23, 215. [Google Scholar] [CrossRef] [PubMed]









| CircRNA ID | Index | Score (>90%) |
|---|---|---|
| novel_circ_0000537_junction_seq | IRES | 0.980183 |
| novel_circ_0000433_junction_seq | IRES | 0.963608 |
| novel_circ_0000830_junction_seq | IRES | 0.959345 |
| novel_circ_0000371_junction_seq | IRES | 0.955022 |
| novel_circ_0000599_junction_seq | IRES | 0.943738 |
| novel_circ_0000521_junction_seq | IRES | 0.942791 |
| novel_circ_0000188_junction_seq | IRES | 0.93967 |
| novel_circ_0000177_junction_seq | IRES | 0.938059 |
| novel_circ_0000371 | IRES | 0.934103 |
| novel_circ_0000446_junction_seq | IRES | 0.932045 |
| novel_circ_0000295_junction_seq | IRES | 0.931279 |
| novel_circ_0000737_junction_seq | IRES | 0.929878 |
| novel_circ_0000462_junction_seq | IRES | 0.928313 |
| novel_circ_0000454_junction_seq | IRES | 0.921373 |
| novel_circ_0000426_junction_seq | IRES | 0.919793 |
| novel_circ_0000294_junction_seq | IRES | 0.91666 |
| novel_circ_0000810_junction_seq | IRES | 0.912211 |
| novel_circ_0000319 | IRES | 0.908003 |
Disclaimer/Publisher’s Note: The statements, opinions and data contained in all publications are solely those of the individual author(s) and contributor(s) and not of MDPI and/or the editor(s). MDPI and/or the editor(s) disclaim responsibility for any injury to people or property resulting from any ideas, methods, instructions or products referred to in the content. |
© 2024 by the authors. Licensee MDPI, Basel, Switzerland. This article is an open access article distributed under the terms and conditions of the Creative Commons Attribution (CC BY) license (https://creativecommons.org/licenses/by/4.0/).
Share and Cite
Yang, H.-H.; Wang, Y.-X.; Xiao, J.; Jia, Y.-F.; Liu, F.; Wang, W.-X.; Wei, Q.; Lai, F.-X.; Fu, Q.; Wan, P.-J. Defense Regulatory Network Associated with circRNA in Rice in Response to Brown Planthopper Infestation. Plants 2024, 13, 373. https://doi.org/10.3390/plants13030373
Yang H-H, Wang Y-X, Xiao J, Jia Y-F, Liu F, Wang W-X, Wei Q, Lai F-X, Fu Q, Wan P-J. Defense Regulatory Network Associated with circRNA in Rice in Response to Brown Planthopper Infestation. Plants. 2024; 13(3):373. https://doi.org/10.3390/plants13030373
Chicago/Turabian StyleYang, Hou-Hong, Ya-Xuan Wang, Jing Xiao, Yi-Fan Jia, Fang Liu, Wei-Xia Wang, Qi Wei, Feng-Xiang Lai, Qiang Fu, and Pin-Jun Wan. 2024. "Defense Regulatory Network Associated with circRNA in Rice in Response to Brown Planthopper Infestation" Plants 13, no. 3: 373. https://doi.org/10.3390/plants13030373
APA StyleYang, H.-H., Wang, Y.-X., Xiao, J., Jia, Y.-F., Liu, F., Wang, W.-X., Wei, Q., Lai, F.-X., Fu, Q., & Wan, P.-J. (2024). Defense Regulatory Network Associated with circRNA in Rice in Response to Brown Planthopper Infestation. Plants, 13(3), 373. https://doi.org/10.3390/plants13030373

