Enhancing Across-Population Genomic Prediction for Maize Hybrids
Abstract
1. Introduction
2. Results
2.1. Within- and Across-Population Prediction
2.2. Optimization of the Training Population
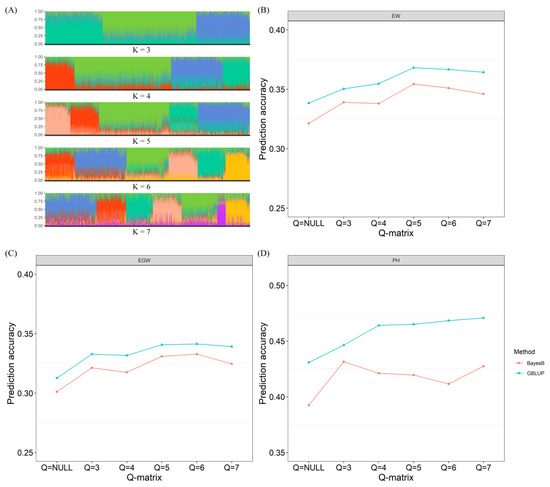
2.3. Population Structure-Based Across-Population Genomic Prediction
3. Discussion
4. Materials and Methods
4.1. Training Population of Maize Hybrids
4.2. Breeding Population of Maize Hybrids
4.3. Genotype Data of Training and Breeding Populations
4.4. Training Population Optimization Methods
4.5. The PSAPGP Strategy
5. Conclusions
Author Contributions
Funding
Data Availability Statement
Conflicts of Interest
References
- Hickey, L.T.; Hafeez, A.N.; Robinson, H.; Jackson, S.A.; Leal-Bertioli, S.C.M.; Tester, M.; Gao, C.X.; Godwin, I.D.; Hayes, B.J.; Wulff, B.B.H. Breeding crops to feed 10 billion. Nat. Biotechnol. 2019, 37, 744–754. [Google Scholar] [CrossRef] [PubMed]
- Meuwissen, T.H.E.; Hayes, B.J.; Goddard, M.E. Prediction of total genetic value using genome-wide dense marker maps. Genetics 2001, 157, 1819–1829. [Google Scholar] [CrossRef] [PubMed]
- Alemu, A.; Åstrand, J.; Montesinos-López, O.A.; Sánchez, J.I.Y.; Fernández-González, J.; Tadesse, W.; Vetukuri, R.R.; Carlsson, A.S.; Ceplitis, A.; Crossa, J.; et al. Genomic selection in plant breeding: Key factors shaping two decades of progress. Mol. Plant 2024, 17, 552–578. [Google Scholar] [CrossRef] [PubMed]
- Xu, Y.; Ma, K.; Zhao, Y.; Wang, X.; Zhou, K.; Yu, G.; Li, C.; Li, P.; Yang, Z.; Xu, C.; et al. Genomic selection: A breakthrough technology in rice breeding. Crop J. 2021, 9, 669–677. [Google Scholar] [CrossRef]
- Nyaga, C.; Gowda, M.; Beyene, Y.; Murithi, W.T.; Burgueno, J.; Toledo, F.; Makumbi, D.; Olsen, M.S.; Das, B.; Suresh, L.M.; et al. Hybrid Breeding for MLN Resistance: Heterosis, Combining Ability, and Hybrid Prediction. Plants 2020, 9, 468. [Google Scholar] [CrossRef]
- Windhausen, V.S.; Atlin, G.N.; Hickey, J.M.; Crossa, J.; Jannink, J.L.; Sorrells, M.E.; Raman, B.; Cairns, J.E.; Tarekegne, A.; Semagn, K.; et al. Effectiveness of Genomic Prediction of Maize Hybrid Performance in Different Breeding Populations and Environments. G3-Genes Genom Genet. 2012, 2, 1427–1436. [Google Scholar] [CrossRef]
- Lund, M.S.; Su, G.; Janss, L.; Guldbrandtsen, B.; Brondurn, R.F. Invited review: Genomic evaluation of cattle in a multi-breed context. Livest. Sci. 2014, 166, 101–110. [Google Scholar] [CrossRef]
- Cericola, F.; Jahoor, A.; Orabi, J.; Andersen, J.R.; Janss, L.L.; Jensen, J. Optimizing Training Population Size and Genotyping Strategy for Genomic Prediction Using Association Study Results and Pedigree Information. A Case of Study in Advanced Wheat Breeding Lines. PLoS ONE 2017, 12, e0169606. [Google Scholar] [CrossRef]
- Badji, A.; Machida, L.; Kwemoi, D.B.; Kumi, F.; Okii, D.; Mwila, N.; Agbahoungba, S.; Ibanda, A.; Bararyenya, A.; Nghituwamhata, S.N.; et al. Factors Influencing Genomic Prediction Accuracies of Tropical Maize Resistance to Fall Armyworm and Weevils. Plants 2021, 10, 29. [Google Scholar] [CrossRef]
- Riedelsheimer, C.; Endelman, J.B.; Stange, M.; Sorrells, M.E.; Jannink, J.L.; Melchinger, A.E. Genomic Predictability of Interconnected Biparental Maize Populations. Genetics 2013, 194, 493–503. [Google Scholar] [CrossRef]
- Zhong, S.Q.; Dekkers, J.C.M.; Fernando, R.L.; Jannink, J.L. Factors Affecting Accuracy from Genomic Selection in Populations Derived From Multiple Inbred Lines: A Barley Case Study. Genetics 2009, 182, 355–364. [Google Scholar] [CrossRef] [PubMed]
- Wientjes, Y.C.J.; Veerkamp, R.F.; Bijma, P.; Bovenhuis, H.; Schrooten, C.; Calus, M.P.L. Empirical and deterministic accuracies of across-population genomic prediction. Genet. Sel. Evol. 2015, 47, 5. [Google Scholar] [CrossRef] [PubMed]
- Wientjes, Y.C.J.; Veerkamp, R.F.; Calus, M.P.L. Using selection index theory to estimate consistency of multi-locus linkage disequilibrium across populations. BMC Genet. 2015, 16, 87. [Google Scholar] [CrossRef][Green Version]
- Schopp, P.; Müller, D.; Wientjes, Y.C.J.; Melchinger, A.E. Genomic Prediction Within and Across Biparental Families: Means and Variances of Prediction Accuracy and Usefulness of Deterministic Equations. G3-Genes. Genom. Genet. 2017, 7, 3571–3586. [Google Scholar] [CrossRef]
- Hayes, B.J.; Bowman, P.J.; Chamberlain, A.C.; Verbyla, K.; Goddard, M.E. Accuracy of genomic breeding values in multi-breed dairy cattle populations. Genet. Sel. Evol. 2009, 41, 51. [Google Scholar] [CrossRef]
- Lorenz, A.J.; Smith, K.P. Adding Genetically Distant Individuals to Training Populations Reduces Genomic Prediction Accuracy in Barley. Crop Sci. 2015, 55, 2657–2667. [Google Scholar] [CrossRef]
- Pryce, J.E.; Gredler, B.; Bolormaa, S.; Bowman, P.J.; Egger-Danner, C.; Fuerst, C.; Emmerling, R.; Sölkner, J.; Goddard, M.E.; Hayes, B.J. Short communication: Genomic selection using a multi-breed, across-country reference population. J. Dairy. Sci. 2011, 94, 2625–2630. [Google Scholar] [CrossRef]
- Haile, T.A.; Walkowiak, S.; N’Diaye, A.; Clarke, J.M.; Hucl, P.J.; Cuthbert, R.D.; Knox, R.E.; Pozniak, C.J. Genomic prediction of agronomic traits in wheat using different models and cross-validation designs. Theor. Appl. Genet. 2021, 134, 381–398. [Google Scholar] [CrossRef]
- Arruda, M.P.; Brown, P.J.; Lipka, A.E.; Krill, A.M.; Thurber, C.; Kolb, F.L. Genomic Selection for Predicting Head Blight Resistance in a Wheat Breeding Program. Plant Genome 2015, 8, plantgenome2015.01.0003. [Google Scholar] [CrossRef]
- Bentley, A.R.; Scutari, M.; Gosman, N.; Faure, S.; Bedford, F.; Howell, P.; Cockram, J.; Rose, G.A.; Barber, T.; Irigoyen, J.; et al. Applying association mapping and genomic selection to the dissection of key traits in elite European wheat. Theor. Appl. Genet. 2014, 127, 2619–2633. [Google Scholar] [CrossRef]
- Guo, Z.G.; Tucker, D.M.; Basten, C.J.; Gandhi, H.; Ersoz, E.; Guo, B.H.; Xu, Z.Y.; Wang, D.L.; Gay, G. The impact of population structure on genomic prediction in stratified populations. Theor. Appl. Genet. 2014, 127, 749–762. [Google Scholar] [CrossRef] [PubMed]
- Guo, T.T.; Yu, X.Q.; Li, X.R.; Zhang, H.Z.; Zhu, C.S.; Flint-Garcia, S.; McMullen, M.D.; Holland, J.B.; Szalma, S.J.; Wisser, R.J.; et al. Optimal Designs for Genomic Selection in Hybrid Crops. Mol. Plant 2019, 12, 390–401. [Google Scholar] [CrossRef] [PubMed]
- Isidro, J.; Jannink, J.L.; Akdemir, D.; Poland, J.; Heslot, N.; Sorrells, M.E. Training set optimization under population structure in genomic selection. Theor. Appl. Genet. 2015, 128, 145–158. [Google Scholar] [CrossRef] [PubMed]
- Brault, C.; Segura, V.; This, P.; Le Cunff, L.; Flutre, T.; François, P.; Pons, T.; Péros, J.P.; Doligez, A. Across-population genomic prediction in grapevine opens up promising prospects for breeding. Hortic. Res. 2022, 9, uhac041. [Google Scholar] [CrossRef]
- Mulder, H.A. Genomic Selection Improves Response to Selection in Resilience by Exploiting Genotype by Environment Interactions. Front. Genet. 2016, 7, 178. [Google Scholar] [CrossRef]
- Xu, Y.; Zhao, Y.; Wang, X.; Ma, Y.; Li, P.C.; Yang, Z.F.; Zhang, X.C.; Xu, C.W.; Xu, S.Z. Incorporation of parental phenotypic data into multi-omic models improves prediction of yield-related traits in hybrid rice. Plant Biotechnol. J. 2021, 19, 261–272. [Google Scholar] [CrossRef]
- Montesinos-López, O.A.; Herr, A.W.; Crossa, J.; Montesinos-López, A.; Carter, A.H. Enhancing winter wheat prediction with genomics, phenomics and environmental data. BMC Genom. 2024, 25, 544. [Google Scholar] [CrossRef]
- Cui, Y.; Li, R.; Li, G.; Zhang, F.; Zhu, T.; Zhang, Q.; Ali, J.; Li, Z.; Xu, S. Hybrid breeding of rice via genomic selection. Plant Biotechnol. J. 2020, 18, 57–67. [Google Scholar] [CrossRef]
- Bassi, F.M.; Bentley, A.R.; Charmet, G.; Ortiz, R.; Crossa, J. Breeding schemes for the implementation of genomic selection in wheat (spp.). Plant Sci. 2016, 242, 23–36. [Google Scholar] [CrossRef]
- Sarinelli, J.M.; Murphy, J.P.; Tyagi, P.; Holland, J.B.; Johnson, J.W.; Mergoum, M.; Mason, R.E.; Babar, A.; Harrison, S.; Sutton, R.; et al. Training population selection and use of fixed effects to optimize genomic predictions in a historical USA winter wheat panel. Theor. Appl. Genet. 2019, 132, 1247–1261. [Google Scholar] [CrossRef]
- Xu, Y.; Zhang, Y.X.; Cui, Y.R.; Zhou, K.; Yu, G.N.; Yang, W.Y.; Wang, X.; Li, F.R.; Guan, X.S.; Zhang, X.C.; et al. GA-GBLUP: Leveraging the genetic algorithm to improve the predictability of genomic selection. Brief. Bioinform. 2024, 25, bbae385. [Google Scholar] [CrossRef] [PubMed]
- Bernardo, R. Genomewide Selection when Major Genes Are Known. Crop Sci. 2014, 54, 68–75. [Google Scholar] [CrossRef]
- Dang, D.D.; Guan, Y.; Zheng, H.J.; Zhang, X.C.; Zhang, A.; Wang, H.; Ruan, Y.Y.; Qin, L. Genome-Wide Association Study and Genomic Prediction on Plant Architecture Traits in Sweet Corn and Waxy Corn. Plants 2023, 12, 303. [Google Scholar] [CrossRef] [PubMed]
- Gao, P.F.; Zhao, H.N.; Luo, Z.; Lin, Y.F.; Feng, W.J.; Li, Y.L.; Kong, F.J.; Li, X.; Fang, C.; Wang, X.T. SoyDNGP: A web-accessible deep learning framework for genomic prediction in soybean breeding. Brief. Bioinform. 2023, 24, bbad349. [Google Scholar] [CrossRef]
- Montesinos-López, O.A.; Montesinos-López, A.; Pérez-Rodríguez, P.; Barrón-López, J.A.; Martini, J.W.R.; Fajardo-Flores, S.B.; Gaytan-Lugo, L.S.; Santana-Mancilla, P.C.; Crossa, J. A review of deep learning applications for genomic selection. BMC Genom. 2021, 22, 19. [Google Scholar] [CrossRef]
- Xu, Y.B.; Liu, X.G.; Fu, J.J.; Wang, H.W.; Wang, J.K.; Huang, C.L.; Prasanna, B.M.; Olsen, M.S.; Wang, G.Y.; Zhang, A.M. Enhancing Genetic Gain through Genomic Selection: From Livestock to Plants. Plant Commun. 2020, 1, 100005. [Google Scholar] [CrossRef]
- Xu, Y.B.; Zhang, X.P.; Li, H.H.; Zheng, H.J.; Zhang, J.A.; Olsen, M.S.; Varshney, R.K.; Prasanna, B.M.; Qian, Q. Smart breeding driven by big data, artificial intelligence, and integrated genomic-enviromic prediction. Mol. Plant 2022, 15, 1664–1695. [Google Scholar] [CrossRef]
- Li, H.H.; Li, X.; Zhang, P.; Feng, Y.W.; Mi, J.R.; Gao, S.; Sheng, L.L.; Ali, M.; Yang, Z.K.; Li, L.; et al. Smart Breeding Platform: A web-based tool for high-throughput population genetics, phenomics, and genomic selection. Mol. Plant 2024, 17, 677–681. [Google Scholar] [CrossRef]
- Yang, W.; Guo, T.; Luo, J.; Zhang, R.; Zhao, J.; Warburton, M.L.; Xiao, Y.; Yan, J. Target-oriented prioritization: Targeted selection strategy by integrating organismal and molecular traits through predictive analytics in breeding. Genome Biol. 2022, 23, 80. [Google Scholar] [CrossRef]
- Wang, X.; Zhang, Z.L.; Xu, Y.; Li, P.C.; Zhang, X.C.; Xu, C.W. Using genomic data to improve the estimation of general combining ability based on sparse partial diallel cross designs in maize. Crop J. 2020, 8, 819–829. [Google Scholar] [CrossRef]
- Bates, D.; Machler, M.; Bolker, B.M.; Walker, S.C. Fitting Linear Mixed-Effects Models Using lme4. J. Stat. Softw. 2015, 67, 1–48. [Google Scholar] [CrossRef]
- Liu, H.J.; Wang, X.Q.; Xiao, Y.J.; Luo, J.Y.; Qiao, F.; Yang, W.Y.; Zhang, R.Y.; Meng, Y.J.; Sun, J.M.; Yan, S.J.; et al. CUBIC: An atlas of genetic architecture promises directed maize improvement. Genome Biol. 2020, 21, 20. [Google Scholar] [CrossRef] [PubMed]
- Browning, S.R.; Browning, B.L. Rapid and accurate haplotype phasing and missing-data inference for whole-genome association studies by use of localized haplotype clustering. Am. J. Hum. Genet. 2007, 81, 1084–1097. [Google Scholar] [CrossRef] [PubMed]
- Perez, P.; de los Campos, G. Genome-wide regression and prediction with the BGLR statistical package. Genetics 2014, 198, 483–495. [Google Scholar] [CrossRef] [PubMed]





Disclaimer/Publisher’s Note: The statements, opinions and data contained in all publications are solely those of the individual author(s) and contributor(s) and not of MDPI and/or the editor(s). MDPI and/or the editor(s) disclaim responsibility for any injury to people or property resulting from any ideas, methods, instructions or products referred to in the content. |
© 2024 by the authors. Licensee MDPI, Basel, Switzerland. This article is an open access article distributed under the terms and conditions of the Creative Commons Attribution (CC BY) license (https://creativecommons.org/licenses/by/4.0/).
Share and Cite
Yu, G.; Li, F.; Wang, X.; Zhang, Y.; Zhou, K.; Yang, W.; Guan, X.; Zhang, X.; Xu, C.; Xu, Y. Enhancing Across-Population Genomic Prediction for Maize Hybrids. Plants 2024, 13, 3105. https://doi.org/10.3390/plants13213105
Yu G, Li F, Wang X, Zhang Y, Zhou K, Yang W, Guan X, Zhang X, Xu C, Xu Y. Enhancing Across-Population Genomic Prediction for Maize Hybrids. Plants. 2024; 13(21):3105. https://doi.org/10.3390/plants13213105
Chicago/Turabian StyleYu, Guangning, Furong Li, Xin Wang, Yuxiang Zhang, Kai Zhou, Wenyan Yang, Xiusheng Guan, Xuecai Zhang, Chenwu Xu, and Yang Xu. 2024. "Enhancing Across-Population Genomic Prediction for Maize Hybrids" Plants 13, no. 21: 3105. https://doi.org/10.3390/plants13213105
APA StyleYu, G., Li, F., Wang, X., Zhang, Y., Zhou, K., Yang, W., Guan, X., Zhang, X., Xu, C., & Xu, Y. (2024). Enhancing Across-Population Genomic Prediction for Maize Hybrids. Plants, 13(21), 3105. https://doi.org/10.3390/plants13213105
