Responses of the Allium cepa L. to Heavy Metals from Contaminated Soil
Abstract
1. Introduction
2. Results and Discussion
2.1. Onion Extracts Analysis
2.1.1. Assimilatory Pigments
2.1.2. Total Polyphenols
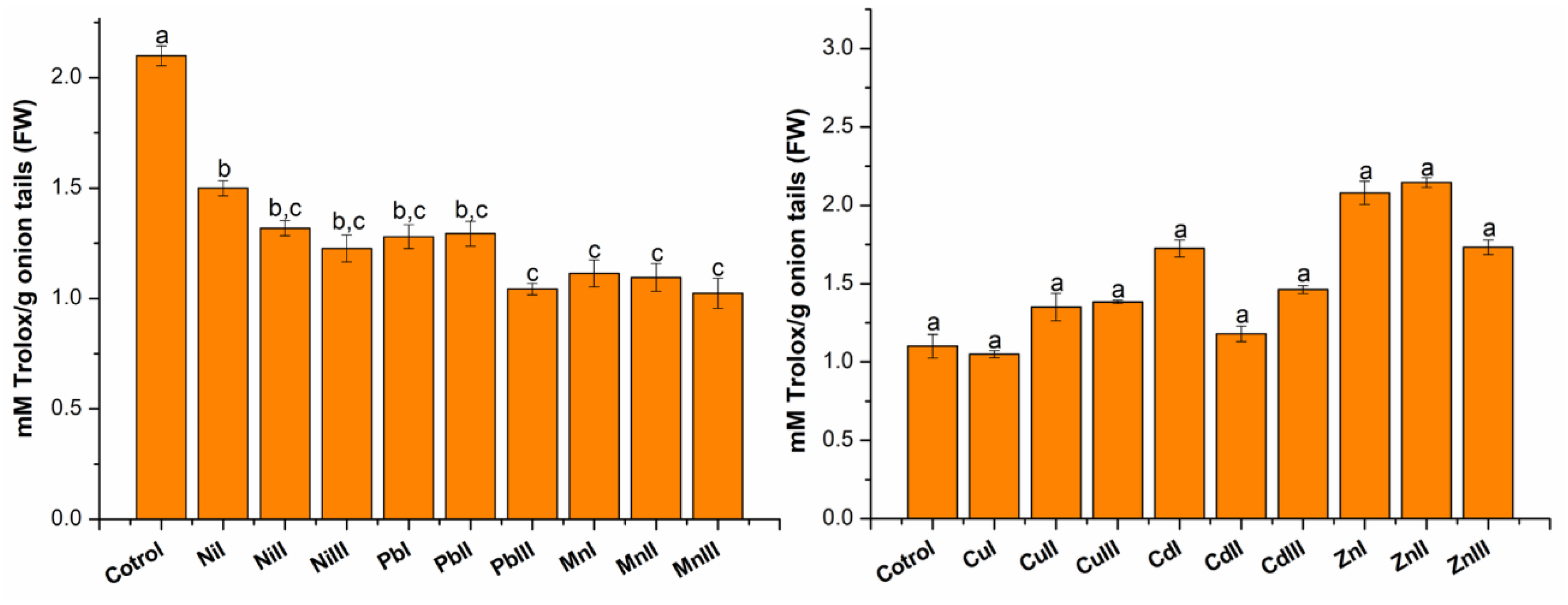
2.1.3. Antioxidant Capacity
2.2. Element Content in Plants
2.3. Correlation of Element Content in Plants by Experimental Setup
2.4. Correlation of Element Content in Plants with Bioactive Compounds and Antioxidant Capacity by Experimental Setup
3. Materials and Methods
3.1. Plant Growth Conditions
3.2. Onion Tails Analysis
3.2.1. Determination of the Content of Assimilating Pigments
3.2.2. Determination of the Total Polyphenolic Content
3.2.3. Determination of Antioxidant Capacity
3.3. Multielemental Investigation of Onion Tail Samples by NAA
3.3.1. Sample Handling and Condition of Measurements
3.3.2. Instrumental Neutron Activation Analysis
3.4. Data Analysis
4. Conclusions
Author Contributions
Funding
Data Availability Statement
Acknowledgments
Conflicts of Interest
References
- Ghasemidehkordi, B.; Malekirad, A.A.; Nazem, H.; Fazilati, M.; Salavati, H.; Shariatifar, N.; Khaneghah, A.M. Concentration of lead and mercury in collected vegetables and herbs from Markazi province, Iran: A non-carcinogenic risk assessment. Food Chem. Toxicol. 2018, 113, 204–210. [Google Scholar] [CrossRef]
- Tang, X.; Lu, H.; Cao, Z.; Xie, J. Morphological characteristics of homozygous wild rice phytoliths and their significance in the study of rice origins. Sci. China Earth Sci. 2021, 65, 107–117. [Google Scholar] [CrossRef]
- Nabulo, G.; Black, C.R.; Young, S.D. Trace metal uptake by tropical vegetables grown on soil amended with urban sewages ludge. Environ. Pollut. 2011, 159, 368–376. [Google Scholar] [CrossRef]
- Kwon, J.C.; Nejad, Z.D.; Jung, M.C. Arsenic and heavy metals in paddy soil and polished rice contaminated by mining activities in Korea. Catena 2017, 148, 92–100. [Google Scholar] [CrossRef]
- Wang, Y.; Wang, R.; Fan, L.; Chen, T.; Bai, Y.; Yu, Q.; Liu, Y. Assessment of multiple exposure to chemical elements and health risks among residents near Huodehong lead-zinc mining area in Yunnan, Southwest China. Chemosphere 2017, 174, 613–627. [Google Scholar] [CrossRef]
- Özcan, M.M.; Kulluk, D.A.; Yılmaz, F.G.; Özcan, M.M. Determination of macro-, micro-element and heavy metal contents localized in different parts of three different colored onions. Environ. Monit. Assess. 2022, 194, 627. [Google Scholar] [CrossRef]
- Ali, Z.; Nawaz, I.; Yousaf, S.; Naqvi, S.T.A.; Mahmood, T.; Khan, N.; Iqbal, M. Wheat straw biochar promotes the growth and reduces the uptake of lead, cadmium and copper in Allium cepa. Int. J. Agric. Biol. 2019, 21, 1173–1180. [Google Scholar]
- Shokri, S.; Abdoli, N.; Sadighara, P.; Mahvi, A.H.; Esrafili, A.; Gholami, M.; Jannat, B.; Yousefi, M. Risk assessment of heavy metals consumption through onion on human health in Iran. Food Chem. X 2022, 14, 100283. [Google Scholar] [CrossRef]
- Gebrekidan, A.; Weldegebriel, Y.; Hadera, A.; der Bruggen, B.V. Toxicological assessment of heavy metals accumulated in vegetables and fruits grown in Ginfel river near Sheba Tannery, Tigray, Northern Ethiopia. Ecotoxicol. Environ. Saf. 2013, 95, 171–178. [Google Scholar] [CrossRef]
- Jorhem, L.; Sundstroem, B. Levels of lead, cadmium, zinc, copper, nickel, chromium, manganese and cobalt in foods on the Swedish market, 1983–1990. J. Food Compos. Anal. 1993, 6, 223–241. [Google Scholar] [CrossRef]
- Jarup, L. Hazards of heavy metal contamination. Br. Med. Bull. 2003, 68, 167–182. [Google Scholar] [CrossRef]
- Arora, M.; Kiran, B.; Rani, S.; Rani, A.; Kaur, B.; Mittal, N. Heavy metal accumulation in vegetables irrigated with water from different sources. Food Chem. 2008, 111, 811–815. [Google Scholar] [CrossRef]
- Purbalisa, W.; Paputri, D.M.W.; Wahyuni, S.; Ardiwinata, A.N. Evaluation of chelating agent for remediation of lead contaminated soil in Brebes Central Java. AIP Conf. Proc. 2019, 2120, 040015. [Google Scholar]
- Cheng, A.; Chen, X.; Jin, Q.; Wang, W.; Shi, J.; Liu, Y. Comparison of phenolic content and antioxidant capacity of red and yellow onions. Czech J. Food Sci. 2013, 31, 501–508. [Google Scholar] [CrossRef]
- Kandoliya, U.K.; Bodar, N.P.; Bajaniya, V.K.; Bhadja, N.V.; Golakiyab, A. Determination of nutritional value and antioxidant from bulbs of different onion (Allium cepa) variety. Int. J. Curr. Microbiol. Appl. Sci. 2015, 4, 635. [Google Scholar]
- Petrovic, B.; Pokluda, R. Influence of organic fertilizers on onion quality. Pol. J. Environ. Stud. 2020, 29, 517–523. [Google Scholar] [CrossRef]
- Muhammad, J.; Khan, S.; Lei, M.; Khan, M.A.; Nawab, J.; Rashid, A.; Ullah, S.; Khisro, S.B. Application of poultry manure in agriculture fields leads to food plant contamination with potentially toxic elements and causes health risk. Environ. Technol. Innov. 2020, 19, 100909. [Google Scholar] [CrossRef]
- US-EPA. Methods for the Determination of Metals in Environmental Samples; US-EPA: Washington, DC, USA, 1994; p. 260.
- Codex Alimentarius Commission. Food Additives and Contaminants; Joint FAO/WHO food standards programme; Codex Alimentarius Commission: Rome, Italy, 2001. [Google Scholar]
- Shokri, S.; Shokri, E.; Sadighara, P.; Pirhadi, M. Heavy metals contamination in fresh fish and canned fish distributed in local market of Tehran. Hum. Health Halal Metr. 2021, 2, 12–17. [Google Scholar]
- Li, Q.; Han, Z.; Tian, Y.; Xiao, H.; Yang, M. Risk assessment of heavy metal in farmlands and crops near Pb–Zn mine Tailing Ponds in Niujiaotang, China. Toxics 2023, 11, 106. [Google Scholar] [CrossRef]
- Shen, W.; Xiong, K.; Gao, Y.; Quan, M.; Peng, H.; Yang, T.; He, L.; Bao, K. Distribution of potential harmful trace elements and potential ecological risk in the Jiulongchi Wetland of Fanjing Mountain, Southwest China. Int. J. Environ. Res. Public Health 2020, 17, 1731. [Google Scholar] [CrossRef]
- Forotaghe, Z.A.; Souri, M.K.; Jahromi, M.G.; Torkashvand, A.M. Physiological and biochemical responses of onion plants to deficit irrigation and humic acid application. Open Agric. 2021, 6, 728–737. [Google Scholar] [CrossRef]
- Dorrigiv, M.; Zareiyan, A.; Hosseinzadeh, H. Onion (Allium cepa) and its main constituents as antidotes or protective agents against natural or chemical toxicities: A comprehensive review. Iran J. Pharm. Res. 2021, 20, 3–26. [Google Scholar]
- Kim, J.; Seo, Y.; Park, J.H.; Noh, S.K. Protective effect of onion wine on alcoholic fatty liver in rats. J. Korean Soc. Food. Sci. Nutr. 2016, 45, 467–473. [Google Scholar] [CrossRef]
- Brzóska, M.M.; Borowska, S.; Tomczyk, M. Antioxidants as a potential preventive and therapeutic strategy for cadmium. Curr. Drug Targets 2016, 17, 1350–1384. [Google Scholar] [CrossRef]
- Gökçe, Z.N.Ö.; Gökçe, A.F.; Junaid, M.D.; Chaudhry, U.K. Morphological, physiological, and biochemical responses of onion (Allium cepa L.) breeding lines to single and combined salt and drought stresses. Euphytica 2022, 218, 29. [Google Scholar] [CrossRef]
- Bedassa, M.; Abebaw, A.; Desalegn, T. Assessment of selected heavy metals in onion bulb and onion leaf (Allium cepa L.), in selected areas of Central Rift Valley of Oromia Region Ethiopia. J. Hortic. 2017, 4, 217. [Google Scholar]
- Jurgiel-Malecka, G.; Gibczynska, M.; Nawrocka-Pezik, M. Comparison of chemical composition of selected cultivars of white, yellow and red onions. Bulg. J. Agric. Sci. 2015, 21, 736–741. [Google Scholar]
- Mlček, J.; Valšíková, M.; Družbíková, H.; Ryant, P.; Juríková, T.; Sochor, J.; Borkovcováv, M. The antioxidant capacity and macroelement content of several onion cultivars. Turk. J. Agric. For. 2015, 39, 999–1004. [Google Scholar] [CrossRef]
- Ajakaiye, M.B.; Greig, J.K. Response of ‘sweet spanish’ onion to soil-applied zinc. J. Am. Soc. Hort. Sci. 1976, 101, 592–596. [Google Scholar] [CrossRef]
- Chattaong, P.; Jutamas, M. Heavy metal accumulation in scallion (Allium cepa var. aggregatum) fields in Uttaradit Province, Thailand. Int. J. Agric. Technol. 2020, 16, 27–36. [Google Scholar]
- Shimi, G.A.; Hossain, M.K.; Akhter, S.; Islam, A.S.; Mondol, M.N.; Chamon, A.S. Heavy metal concentrations in commonly sold onions (Allium Cepa) and probable health risk assessment. J. Microbiol. Biotechnol. 2023, 8, 268–279. [Google Scholar]
- Ahmad, I.; Ansari, T.M. An assessment of toxic heavy metals in soil and plants (Allium cepa and Daucus carota) by GFAAS. Int. J. Environ. Anal. Chem. 2022, 102, 1029–1048. [Google Scholar] [CrossRef]
- Jung, M.C. Heavy metal concentrations in soils and factors affecting metal uptake by plants in the vicinity of a Korean Cu-W Mine. Sensors 2008, 8, 2413–2423. [Google Scholar] [CrossRef]
- Mottaleb, S.A.; Hassan, A.Z.A.; El-Bahbohy, R.; Mahmoud, A.W.M. Are copper nanoparticles toxic to all plants? A case study on onion (Allium cepa L.). Agronomy 2021, 11, 1006. [Google Scholar] [CrossRef]
- Atabay, M.M.; Kekillioğlu, A.; Arslan, M. Heavy metal accumulations of Allium cepa L. as a bioindicator for air pollution in Eregli, Turkey. Afr. J. Agric. Res. 2011, 6, 6432–6439. [Google Scholar]
- Wyttenbach, A.; Schleppi, P.; Bucher, J.; Furrer, V.; Tobler, L. The accumulation of the rare earth elements and of scandium in successive needle age classes of Norway spruce. Biol. Trace Elem. Res. 1994, 41, 13–29. [Google Scholar] [CrossRef]
- Shtangeeva, I.; Ayrault, S.; Lissitskaia, T. Effect of different growth media on uptake of elements by wheat. In Metal Ions in Biology and Medicine; Khassanova, L., Collery, P., Maymard, I., Khassanova, Z., Etienne, J.-C., Eds.; John Libbey Eurotext: Paris, France, 2002; pp. 289–295. [Google Scholar]
- Luckey, T.D. Comparative nutrition. In Handbook Series in Nutrition and Food; Recheigl, M., Ed.; CRC Press: Cleveland, OH, USA, 1977; Volume 1D, pp. 3–18. [Google Scholar]
- Clarkson, D.T.; Sanderson, J. The uptake of a polyvalent cation and its distribution in the root apieces of Allium cepa. Planta 1969, 89, 136–154. [Google Scholar] [CrossRef]
- Horovitz, C.T. Biochemistry of Scandium and Yttrium, Part 1: Physical and Chemical Fundamentals; Kluwer Academic/Plenum Publishers: New York, NY, USA; Boston, MA, USA; Dordrecht, The Netherlands; London, UK; Moscow, Russia, 2000. [Google Scholar]
- Orsuamaez, B.; Adebayo, A.J.; Oguntimehin, I.I. Deleterious effects of cadmium solutions on onion (Allium cepa) growth and the plant’s potential as bioindicator of Cd exposure. Res. J. Environ. Sci. 2018, 12, 114–120. [Google Scholar]
- Soran, M.L.; Lung, I.; Stegarescu, A.; Culicov, O.; Opriș, O.; Nekhoroshkov, P.; Podar, D. Correlation of elemental transfer, bioactive compounds and antioxidant activity on Lactuca sativa L. grown in soil with functionalized CNT and HMs. Metabolites 2023, 13, 1171. [Google Scholar] [CrossRef]
- Lung, I.; Opris, O.; Soran, M.L.; Culicov, O.; Ciorîță, A.; Stegarescu, A.; Zinicovscaia, I.; Yushin, N.; Vergel, K.; Kacso, I.; et al. The impact assessment of CuO nanoparticles on the composition and ultrastructure of Triticum aestivum L. Int. J. Environ. Res. Public Health 2021, 18, 6739. [Google Scholar] [CrossRef]
- Brand-Williams, W.; Cuvelier, M.E.; Berset, C. Use of a free radical method to evaluate antioxidant activity. LWT-Food Sci. Technol. 1995, 28, 25–30. [Google Scholar] [CrossRef]
- Szentmiklósi, L.; Kasztovszky, Z.; Belgya, T.; Révay, Z.; Kis, Z.; Maróti, B.; Gméling, K.; Szilágyi, V. Fifteen years of success—User access programs at the Budapest Prompt-gamma Activation Analysis Laboratory. J. Radioanal. Nucl. Chem. 2016, 309, 71–77. [Google Scholar] [CrossRef]
- Szentmiklósi, L.; Párkányi, D.; Sziklai-László, I. The Budapest Neutron Activation Analysis laboratory—Past, present and future. J. Radioanal. Nucl. Chem. 2016, 309, 91–99. [Google Scholar] [CrossRef]
- Simonits, A.; Ostor, J.; Kalvin, S.; Fazekas, B. HyperLab: A new concept in gamma-ray spectrum analysis. J. Radioanal. Nucl. Chem. 2003, 257, 589–595. [Google Scholar] [CrossRef]
- De Corte, F.; van Sluijs, R.; Simonits, A.; Kučera, J.; Smodiš, B.; Byrne, A.R.; De Wispelaere, R.; Bossus, D.; Frána, J.; Horák, Z.; et al. Installation and calibration of Kayzero-assisted NAA in three Central European countries via a Copernicus project. Appl. Radiat. Isot. 2001, 55, 347–354. [Google Scholar] [CrossRef]
- De Corte, F.; Simonits, A. Recommended nuclear data for use in the k(0) standardization of neutron activation analysis. At. Data Nucl. Data Tables 2003, 85, 47–67. [Google Scholar] [CrossRef]




| Exp. Setup | Ca | K | Br | Co | Fe | Na | Rb | Zn | Au | Sc |
|---|---|---|---|---|---|---|---|---|---|---|
| Ni | −0.25 | −0.35 | −0.17 | −0.65 | −0.53 | −0.66 | −0.32 | 0.87 | −0.32 | - |
| Pb | −0.96 | −0.99 | −0.53 | −0.68 | −0.68 | −0.27 | −0.96 | 0.66 | −0.24 | −0.54 |
| Mn | −0.15 | −0.58 | −0.9 | 0.21 | −0.71 | 0.95 | −0.98 | 0.91 | 0.85 | - |
| Cu | −0.29 | 0.65 | 0.13 | −0.75 | −0.41 | 0.63 | 0.96 | −0.07 | - | - |
| Cd | −0.12 | 0.34 | 0.45 | −0.78 | 0.54 | 0.51 | 0.78 | 0.54 | - | - |
| Zn | 0.30 | 0.34 | 0.05 | −0.86 | 0.39 | 0.83 | 0.73 | 0.96 | - |
| Ni | Br | Ca | Co | Fe | K | Na | Rb | Zn | Au | Sc |
|---|---|---|---|---|---|---|---|---|---|---|
| Br | 1 | - | ||||||||
| Ca | −0.41 | 1 | - | |||||||
| Co | −0.28 | −0.21 | 1 | - | ||||||
| Fe | −0.10 | −0.48 | 0.96 | 1 | - | |||||
| K | 0.13 | −0.74 | 0.81 | 0.94 | 1 | - | ||||
| Na | 0.77 | 0.14 | −0.05 | −0.06 | −0.03 | 1 | - | |||
| Rb | −0.48 | −0.33 | 0.93 | 0.92 | 0.80 | −0.41 | 1 | - | ||
| Zn | −0.57 | 0.19 | −0.56 | −0.58 | −0.57 | −0.78 | −0.25 | 1 | - | |
| Au | 0.92 | −0.02 | −0.37 | −0.30 | −0.16 | 0.92 | −0.65 | −0.56 | 1 | - |
| Sc | - | - | - | - | - | - | - | - | - | - |
| Pb | Br | Ca | Co | Fe | K | Na | Rb | Zn | Au | Sc |
| Br | 1 | |||||||||
| Ca | 0.35 | 1 | ||||||||
| Co | 0.10 | 0.56 | 1 | |||||||
| Fe | 0.23 | 0.54 | 0.99 | 1 | ||||||
| K | 0.46 | 0.97 | 0.69 | 0.69 | 1 | |||||
| Na | −0.63 | 0.35 | 0.67 | 0.56 | 0.33 | 1 | ||||
| Rb | 0.40 | 0.90 | 0.85 | 0.85 | 0.97 | 0.45 | 1 | |||
| Zn | −0.18 | −0.82 | −0.02 | 0.03 | −0.68 | −0.13 | −0.49 | 1 | ||
| Au | 0.23 | 0.41 | −0.52 | −0.54 | 0.25 | −0.35 | −0.01 | −0.83 | 1 | |
| Sc | 0.67 | 0.58 | −0.25 | −0.21 | 0.51 | −0.50 | 0.29 | −0.78 | 0.87 | 1 |
| Mn | Br | Ca | Co | Fe | K | Na | Rb | Zn | Au | Sc |
| Br | 1 | - | ||||||||
| Ca | −0.30 | 1 | - | |||||||
| Co | 0.11 | −0.73 | 1 | - | ||||||
| Fe | 0.91 | −0.51 | 0.51 | 1 | - | |||||
| K | 0.83 | −0.61 | 0.65 | 0.99 | 1 | - | ||||
| Na | −0.73 | −0.43 | 0.47 | −0.46 | −0.31 | 1 | - | |||
| Rb | 0.97 | −0.07 | −0.01 | 0.85 | 0.74 | −0.86 | 1 | - | ||
| Zn | −0.75 | −0.30 | 0.06 | −0.67 | −0.57 | 0.88 | −0.88 | 1 | - | |
| Au | −0.73 | −0.21 | −0.11 | −0.73 | −0.64 | 0.78 | −0.84 | 0.98 | 1 | - |
| Sc | - | - | - | - | - | - | - | - | - | - |
| Cu | Br | Ca | Co | Fe | K | Na | Rb | Zn | Au | Sc |
| Br | 1 | - | - | |||||||
| Ca | −0.74 | 1 | - | - | ||||||
| Co | −0.21 | −0.12 | 1 | - | - | |||||
| Fe | 0.73 | −0.73 | 0.51 | 1 | - | - | ||||
| K | 0.43 | 0.01 | −0.97 | −0.30 | 1 | - | - | |||
| Na | 0.65 | −0.25 | −0.88 | −0.03 | 0.96 | 1 | - | - | ||
| Rb | 0.35 | −0.32 | −0.86 | −0.30 | 0.82 | 0.82 | 1 | - | - | |
| Zn | 0.91 | −0.88 | 0.19 | 0.93 | 0.02 | 0.29 | 0.08 | 1 | - | - |
| Au | - | - | - | - | - | - | - | - | - | - |
| Sc | - | - | - | - | - | - | - | - | - | - |
| Cd | Br | Ca | Co | Fe | K | Na | Rb | Zn | Au | Sc |
| Br | 1 | - | - | |||||||
| Ca | 0.59 | 1 | - | - | ||||||
| Co | −0.89 | −0.45 | 1 | - | - | |||||
| Fe | 0.29 | 0.54 | −0.59 | 1 | - | - | ||||
| K | 0.60 | 0.86 | −0.70 | 0.88 | 1 | - | - | |||
| Na | 0.97 | 0.70 | −0.93 | 0.52 | 0.78 | 1 | - | - | ||
| Rb | 0.66 | 0.50 | −0.90 | 0.87 | 0.85 | 0.81 | 1 | - | - | |
| Zn | 0.98 | 0.43 | −0.90 | 0.21 | 0.48 | 0.92 | 0.63 | 1 | - | - |
| Au | - | - | - | - | - | - | - | - | - | - |
| Sc | - | - | - | - | - | - | - | - | - | - |
| Zn | Br | Ca | Co | Fe | K | Na | Rb | Zn | Au | Sc |
| Br | 1 | - | - | |||||||
| Ca | −0.88 | 1 | - | - | ||||||
| Co | −0.50 | 0.07 | 1 | - | - | |||||
| Fe | −0.84 | 1.00 | −0.03 | 1 | - | - | ||||
| K | 0.89 | −0.57 | −0.77 | −0.50 | 1 | - | - | |||
| Na | 0.55 | −0.14 | −1.00 | −0.04 | 0.80 | 1 | - | - | ||
| Rb | 0.71 | −0.36 | −0.95 | −0.27 | 0.87 | 0.97 | 1 | - | - | |
| Zn | −0.04 | 0.28 | −0.71 | 0.36 | 0.15 | 0.69 | 0.61 | 1 | - | - |
| Au | - | - | - | - | - | - | - | - | - | - |
| Sc | - | - | - | - | - | - | - | - | - | - |
| Ni | Br | Ca | Co | Fe | K | Na | Rb | Zn | Au | Sc |
|---|---|---|---|---|---|---|---|---|---|---|
| TP | 0.60 | −0.21 | 0.53 | 0.56 | 0.56 | 0.79 | 0.21 | −1.00 | 0.59 | - |
| DPPH | −0.07 | −0.19 | 0.97 | 0.93 | 0.79 | 0.19 | 0.81 | −0.74 | −0.14 | - |
| CHLa | −0.11 | −0.28 | 0.99 | 0.97 | 0.85 | 0.09 | 0.87 | −0.68 | −0.22 | - |
| CHLb | 0.18 | 0.00 | 0.79 | 0.72 | 0.59 | 0.56 | 0.51 | −0.91 | 0.23 | - |
| CARO | −0.31 | −0.30 | 0.99 | 0.97 | 0.85 | −0.16 | 0.97 | −0.48 | −0.45 | - |
| Pb | Br | Ca | Co | Fe | K | Na | Rb | Zn | Au | Sc |
| TP | 0.79 | 0.38 | 0.64 | 0.74 | 0.57 | −0.14 | 0.67 | 0.11 | −0.33 | 0.18 |
| DPPH | 0.37 | 0.75 | 0.95 | 0.96 | 0.87 | 0.48 | 0.96 | −0.24 | −0.27 | 0.07 |
| CHLa | −0.38 | 0.64 | 0.76 | 0.66 | 0.62 | 0.94 | 0.69 | −0.38 | −0.16 | −0.21 |
| CHLb | −0.57 | −0.07 | 0.68 | 0.62 | 0.01 | 0.82 | 0.23 | 0.44 | −0.82 | −0.85 |
| CARO | −0.24 | 0.78 | 0.73 | 0.64 | 0.75 | 0.86 | 0.78 | −0.55 | 0.01 | 0.00 |
| Mn | Br | Ca | Co | Fe | K | Na | Rb | Zn | Au | Sc |
| TP | 0.51 | 0.32 | −0.78 | 0.10 | −0.05 | −0.77 | 0.56 | −0.39 | −0.22 | - |
| DPPH | 1.00 | −0.34 | 0.11 | 0.89 | 0.82 | −0.70 | 0.95 | −0.70 | −0.67 | - |
| CHLa | 0.78 | 0.19 | −0.53 | 0.44 | 0.29 | −0.90 | 0.82 | −0.65 | −0.52 | - |
| CHLb | 0.68 | −0.28 | −0.35 | 0.38 | 0.30 | −0.50 | 0.58 | −0.19 | −0.07 | - |
| CARO | 0.70 | 0.42 | −0.60 | 0.37 | 0.20 | −0.98 | 0.80 | −0.76 | −0.63 | - |
| Cu | Br | Ca | Co | Fe | K | Na | Rb | Zn | Au | Sc |
| TP | −0.25 | 0.83 | −0.43 | −0.51 | 0.43 | 0.24 | −0.09 | −0.55 | - | - |
| DPPH | −0.13 | 0.32 | −0.94 | −0.77 | 0.82 | 0.65 | 0.79 | −0.49 | - | - |
| CHLa | 0.16 | 0.18 | 0.57 | 0.55 | −0.40 | −0.34 | −0.81 | 0.27 | - | - |
| CHLb | −0.05 | 0.46 | 0.43 | 0.27 | −0.31 | −0.33 | −0.80 | −0.02 | - | - |
| CARO | 0.16 | 0.00 | 0.75 | 0.67 | −0.59 | −0.49 | −0.87 | 0.37 | - | - |
| Cd | Br | Ca | Co | Fe | K | Na | Rb | Zn | Au | Sc |
| TP | 0.59 | 0.23 | −0.18 | −0.56 | −0.13 | 0.39 | −0.22 | 0.60 | - | - |
| DPPH | 0.46 | 0.86 | −0.58 | 0.90 | 0.99 | 0.67 | 0.79 | 0.33 | - | - |
| CHLa | −0.66 | −0.75 | 0.28 | 0.10 | −0.39 | −0.60 | −0.06 | −0.56 | - | - |
| CHLb | −0.79 | −0.88 | 0.52 | −0.19 | −0.64 | −0.79 | −0.36 | −0.68 | - | - |
| CARO | −0.70 | −0.77 | 0.33 | 0.06 | −0.42 | −0.64 | −0.12 | −0.60 | - | - |
| Zn | Br | Ca | Co | Fe | K | Na | Rb | Zn | Au | Sc |
| TP | −0.80 | 0.85 | −0.05 | 0.86 | −0.60 | 0.00 | −0.18 | 0.64 | - | - |
| DPPH | 0.89 | −0.57 | −0.80 | −0.50 | 1.00 | 0.83 | 0.90 | 0.21 | - | - |
| CHLa | −0.51 | 0.11 | 0.62 | 0.05 | −0.80 | −0.62 | −0.57 | 0.06 | - | - |
| CHLb | −0.69 | 0.28 | 0.96 | 0.19 | −0.92 | −0.97 | −0.97 | −0.48 | - | - |
| CARO | −0.54 | 0.12 | 0.70 | 0.06 | −0.84 | −0.69 | −0.65 | −0.03 | - | - |
Disclaimer/Publisher’s Note: The statements, opinions and data contained in all publications are solely those of the individual author(s) and contributor(s) and not of MDPI and/or the editor(s). MDPI and/or the editor(s) disclaim responsibility for any injury to people or property resulting from any ideas, methods, instructions or products referred to in the content. |
© 2024 by the authors. Licensee MDPI, Basel, Switzerland. This article is an open access article distributed under the terms and conditions of the Creative Commons Attribution (CC BY) license (https://creativecommons.org/licenses/by/4.0/).
Share and Cite
Opriș, O.; Lung, I.; Gméling, K.; Stegarescu, A.; Buczkó, N.; Culicov, O.; Soran, M.-L. Responses of the Allium cepa L. to Heavy Metals from Contaminated Soil. Plants 2024, 13, 2913. https://doi.org/10.3390/plants13202913
Opriș O, Lung I, Gméling K, Stegarescu A, Buczkó N, Culicov O, Soran M-L. Responses of the Allium cepa L. to Heavy Metals from Contaminated Soil. Plants. 2024; 13(20):2913. https://doi.org/10.3390/plants13202913
Chicago/Turabian StyleOpriș, Ocsana, Ildiko Lung, Katalin Gméling, Adina Stegarescu, Noémi Buczkó, Otilia Culicov, and Maria-Loredana Soran. 2024. "Responses of the Allium cepa L. to Heavy Metals from Contaminated Soil" Plants 13, no. 20: 2913. https://doi.org/10.3390/plants13202913
APA StyleOpriș, O., Lung, I., Gméling, K., Stegarescu, A., Buczkó, N., Culicov, O., & Soran, M.-L. (2024). Responses of the Allium cepa L. to Heavy Metals from Contaminated Soil. Plants, 13(20), 2913. https://doi.org/10.3390/plants13202913

