Intergeneric Comparison of Staminal Trichomes in the Tribe Ipomoeeae (Convolvulaceae)
Abstract
1. Introduction
2. Materials and Methods
2.1. Plant Materials
2.2. Micromorphological Investigation
2.3. Statistical Analyses
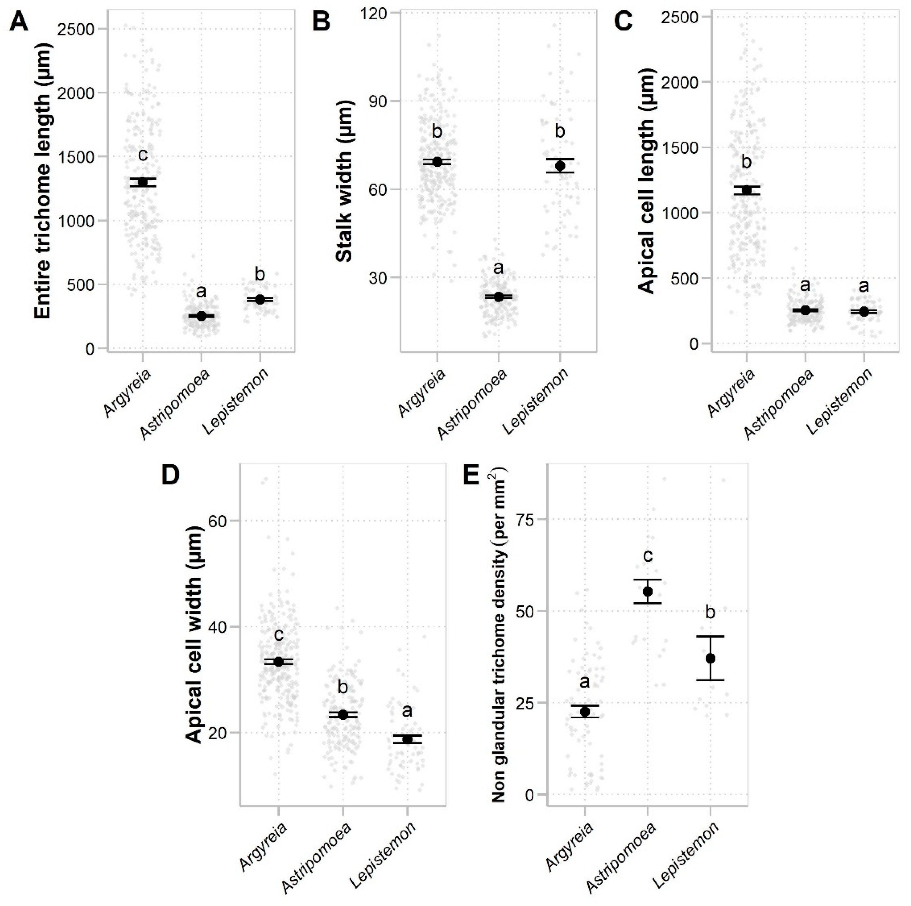
3. Results
3.1. Micromorphology of Staminal Trichomes in Tribe Ipomoeeae
3.2. Factor Analysis of Mixed Data (FAMD)
4. Discussion
5. Conclusions
Supplementary Materials
Author Contributions
Funding
Data Availability Statement
Acknowledgments
Conflicts of Interest
References
- Endress, P.K.; Matthews, M.L. Elaborate petals and staminodes in eudicots: Diversity, function, and evolution. Org. Divers. Evol. 2006, 6, 257–293. [Google Scholar] [CrossRef]
- Fu, X.; Shan, H.; Yao, X.; Cheng, J.; Jiang, Y.; Yin, X.; Kong, H. Petal development and elaboration. J. Exp. Bot. 2022, 73, 3308–3318. [Google Scholar] [CrossRef] [PubMed]
- Choisy, J.D. Convolvulaceae Orientales. Mem. Soc. Phys. Hist. Nat. Geneve. 1834, 6, 385–502. [Google Scholar]
- Choisy, J.D. Convolvulaceae. Prodromus 1845, 9, 323–462. [Google Scholar]
- Deroin, T. Convolvulaceae. In Flore de Madagascar et des Comores, Famille 171; Morat, P., Ed.; Muséum National d’Histoire Naturelle: Paris, France, 2001; pp. 11–287. [Google Scholar]
- Jirabanjongjit, A.; Traiperm, P.; Sando, T.; Stewart, A.B. Pollination and floral biology of a rare morning glory species endemic to Thailand, Argyreia siamensis. Plants 2021, 10, 2402. [Google Scholar] [CrossRef] [PubMed]
- Chitchak, N.; Stewart, A.B.; Traiperm, P. Functional ecology of external secretory structures in Rivea ornata (Roxb.) Choisy (Convolvulaceae). Plants 2022, 11, 2068. [Google Scholar] [CrossRef] [PubMed]
- Ooststroom, S.J. The Convolvulaceae of Malaysia, IV. (with Indices). Blumea 1943, 5, 339–411. [Google Scholar]
- Ooststroom, S.J. A new species of Argyreia from Sumatra (Convolvulaceae). Blumea 1945, 5, 686–688. [Google Scholar]
- Ooststroom, S.J. The Convolvulaceae of Malaysia, VI. Blumea 1950, 6, 337–348. [Google Scholar]
- Ooststroom, S.J. The Convolvulaceae of Malaysia, VII. Blumea 1952, 7, 171–178. [Google Scholar]
- Ooststroom, S.J.; Hoogland, R.D. Convolvulaceae. In Flora Malesiana; Steenis, C.G.G.J., Ed.; Noordhoff-Kolff: Jakarta, Indonesia, 1953; Series 1; pp. 388–512. [Google Scholar]
- Hoogland, K.D. The Convolvulaceae of Malaysia, VIII. Blumea 1952, 7, 179–192. [Google Scholar]
- Fang, R.C.; Staples, G.W. Convolvulaceae. In Flora of China; Wu, C.Y., Raven, P.H., Eds.; Science Press: Beijing, China; Missouri Botanical Garden Press: St. Louis, MI, USA, 1995; Volume 16, pp. 271–325. [Google Scholar]
- Traiperm, P.; Staples, G.W. A new endemic Thai species of Argyreia (Convolvulaceae). Phytotaxa 2014, 164, 281–285. [Google Scholar] [CrossRef]
- Staples, G.W.; Traiperm, P.; Chow, J. Another new Thai Argyreia species (Convolvulaceae). Phytotaxa 2015, 204, 223–229. [Google Scholar] [CrossRef]
- Traiperm, P.; Staples, G.W. Three new species of Argyreia (Convolvulaceae) from Thailand. Syst. Bot. 2016, 41, 1020–1027. [Google Scholar] [CrossRef]
- Rattanakrajang, P.; Traiperm, P.; Staples, G.W. Re-evaluation of generic characters for Blinkworthia (Convolvulaceae) based on morphology and reproductive organ development. Plant. Syst. Evol. 2018, 304, 415–429. [Google Scholar] [CrossRef]
- Staples, G.W.; Chitchak, N.; Kochaiphat, P.; Rattamanee, C.; Rattanakrajang, P.; Traiperm, P. Convolvulaceae in the Flora of Thailand: Addenda, Corrigenda and Emendanda, I. Thai. For. Bull. 2021, 49, 88–101. [Google Scholar] [CrossRef]
- Sayeedud-Din, M. Observations on the anatomy of some of the Convolvulaceae. Proc. Plant Sci. 1953, 37, 106–109. [Google Scholar] [CrossRef]
- Tayade, S.K.; Patil, D.A. Foliar epidermal features and their taxonomic significance in the genus Argyreia Lour. (Convolvulaceae). J. Swamy Bot. Club 2003, 20, 15–18. [Google Scholar]
- Tayade, S.K.; Patil, D.A. Foliar epidermal investigations in some hitherto unstudied Convolvulaceae-II. Curr. Bot. 2011, 2, 26–30. [Google Scholar]
- Tayade, S.K.; Patil, D.A. Foliar anatomy of some uninvestigated species of Convolvulaceae. Life Sci. Leafl. 2012, 3, 75–86. [Google Scholar]
- Tayade, S.K.; Patil, D.A. Leaf anatomical studies in some species of Convolvulaceae. Life Sci. Leafl. 2012, 3, 64–74. [Google Scholar]
- Aworinde, D.O.; Ogundairo, B.O.; Erinoso, S.M.; Sharaibi, O.J. Foliar epidermal and petiole anatomical studies of some Nigerian species of Ipomoea (Convolvulaceae). Curr. Bot. 2013, 4, 55–58. [Google Scholar]
- Staples, G.W. Convolvulaceae. In Flora of Thailand; Santisuk, T., Larsen, K., Eds.; Prachachon: Bangkok, Thailand, 2010; Volume 10, pp. 330–468. [Google Scholar]
- Chitchak, N.; Traiperm, P.; Staples, G.W.; Rattanakrajang, P.; Sumanon, P. Species delimitation of some Argyreia (Convolvulaceae) using phenetic analyses: Insights from leaf anatomical data reveal a new species. Botany 2018, 96, 217–233. [Google Scholar] [CrossRef]
- Traiperm, P.; Fujikawa, K.; Chitchak, N.; Srisanga, P.; Maknoi, C.; Staples, G. A new species of Argyreia (Convolvulaceae) from Myanmar. Willdenowia 2019, 49, 65–70. [Google Scholar] [CrossRef]
- Traiperm, P.; Suddee, S. A new species of Argyreia (Convolvulaceae) from Thailand. PhytoKeys 2020, 149, 109. [Google Scholar] [CrossRef] [PubMed]
- Staples, G.W.; Simões, A.R.; Austin, D.F. A Monograph of Operculina (Convolvulaceae). Ann. Mo. Bot. Gard. 2020, 105, 64–138. [Google Scholar] [CrossRef]
- Stefanović, S.; Austin, D.F.; Olmstead, R.G. Classification of Convolvulaceae: A phylogenetic approach. Syst. Bot. 2003, 28, 791–806. [Google Scholar]
- Stefanović, S.; Krueger, L.; Olmstead, R.G. Monophyly of the Convolvulaceae and circumscription of their major lineages based on DNA sequences of multiple chloroplast loci. Am. J. Bot. 2002, 89, 1510–1522. [Google Scholar] [CrossRef] [PubMed]
- Rattanakrajang, P.; Sumanon, P.; Traiperm, P.; Staples, G.W.; Utteridge, T. Reduction of Blinkworthia (Convolvulaceae) based on multilocus phylogenetic reconstruction and resurrection of a species from synonymy revealed by phenetic analyses. Kew. Bull. 2022, 77, 859–883. [Google Scholar] [CrossRef]
- Muñoz-Rodríguez, P.; Carruthers, T.; Wood, J.R.; Williams, B.R.; Weitemier, K.; Kronmiller; Goodwin, Z.; Sumadijaya, A.; Anglin, N.L.; Filer, D.; et al. A taxonomic monograph of Ipomoea integrated across phylogenetic scales. Nat. Plants 2019, 5, 1136–1144. [Google Scholar] [CrossRef]
- Wood, J.R.; Muñoz-Rodríguez, P.; Williams, B.R.; Scotland, R.W. A foundation monograph of Ipomoea (Convolvulaceae) in the New World. PhytoKeys 2020, 143, 1. [Google Scholar] [PubMed]
- Muñoz-Rodríguez, P.; Wood, J.R.; Wells, T.; Carruthers, T.; Sumadijaya, A.; Scotland, R.W. The challenges of classifying big genera such as Ipomoea. Taxon 2023, 72, 1201–1215. [Google Scholar] [CrossRef]
- Eserman, L.A.; Sosef, M.S.; Simão-Bianchini, R.; Utteridge, T.M.; Barbosa, J.C.; Buril, M.T.; Chatrou, L.W.; Clay, K.; Delgado, G.; Desquilbet, T.E. (2786) Proposal to change the conserved type of Ipomoea, nom. cons.(Convolvulaceae). Taxon 2020, 69, 1369–1371. [Google Scholar] [CrossRef]
- Gagnepain, F.; Courchet, L. Convolvulacées. In Flore Générale de l’Indochine; Lecomte, H., Humbert, H., Eds.; Masson: Paris, France, 1915; Volume 4, pp. 228–313. [Google Scholar]
- Staples, G. Convolvulaceae: Flora of Cambodia, Laos and Vietnam; Museum National d’Histoire Naturelle: Paris, France, 2018. [Google Scholar]
- Bridson, D.; Forman, L. The Herbarium Handbook, 3rd ed.; Royal Botanic Gardens, Kew: London, UK, 1998. [Google Scholar]
- O’brien, T.P.; Feder, N.; McCully, M.E. Polychromatic staining of plant cell walls by toluidine blue O. Protoplasma 1964, 59, 368–373. [Google Scholar] [CrossRef]
- R Development Core Team. R: A Language and Environment for Statistical Computing; R Development Core Team: Vienna, Austria, 2023. [Google Scholar]
- Hothorn, T.; Bretz, F.; Westfall, P.; Heiberger, R.M.; Schuetzenmeister, A.; Scheibe, S. Package ‘multcomp’: Simultaneous Inference in General Parametric Models, R Package Version 1.4-25. Available online: https://cran.r-project.org/web/packages/multcomp/index.html (accessed on 23 May 2024).
- Chavent, M.; Kuentz, V.; Labenne, A.; Saracco, J. Multivariate analysis of mixed data. The R Package PCAmixdata. Electron. J. Appl. Stat. Anal. 2022, 15, 606–645. [Google Scholar]
- Clayden, J. Package ‘mmand’: Mathematical Morphology in Any Number of Dimensions, R Package Version 1.6.3. Available online: https://cran.r-project.org/web/packages/mmand/index.html (accessed on 23 May 2024).
- Pfaff, B.; Zivot, E.; McNeil, A.; Stephenson, A. Package ‘evir’: Extreme Values in R, R Package Version 1.7-4. Available online: https://cran.r-project.org/web/packages/evir/index.html (accessed on 23 May 2024).
- Wickham, H.; Chang, W.; Henry, L.; Pedersen, T.L.; Takahashi, K.; Wilke, C.; Woo, K.; Yutani, H.; Dunnington, D.; van den Brand, T. Package ‘ggplot2’: An Implementation of the Grammar of Graphics, R Package Version 3.4.1. Available online: https://cran.r-project.org/web/packages/ggplot2/index.html (accessed on 23 May 2024).
- Choisy, J.D. De Convolvulaceis dissertatio secundo. Mem. Soc. Phys. Hist. Nat. Geneve. 1837, 8, 121–164. [Google Scholar]
- Dyer, R.A. Flowering Plants of South Africa; L. Reeve & Co.: London, UK, 1956; Volume 31. [Google Scholar]
- Staples, G.W.; Traiperm, P. A nomenclatural review of Argyreia (Convolvulaceae). Taxon 2017, 66, 445–477. [Google Scholar] [CrossRef]
- Manos, P.S.; Miller, R.E.; Wilkin, P. Phylogenetic analysis of Ipomoea, Argyreia, Stictocardia, and Turbina suggests a generalized model of morphological evolution in morning glories. Syst. Bot. 2001, 26, 585–602. [Google Scholar]
- Austin, D.F.; Eich, E. Synopsis of Stictocardia with another Madagascan species, S. mojangensis (Convolvulaceae). Willdenowia 2001, 31, 79–85. [Google Scholar] [CrossRef]
- Johnson, R. Stictocardia Hallier f.(Convolvulaceae) in Queensland. Austrobaileya 2004, 6, 631–637. [Google Scholar] [CrossRef]
- Olaranont, Y.; Stauffer, F.W.; Traiperm, P.; Staples, G.W. Investigation of the black dots on leaves of Stictocardia species (Convolvulaceae) using anatomical and histochemical analyses. Flora 2018, 249, 133–142. [Google Scholar] [CrossRef]
- Gunn, C.R. Notes on Stictocardia campanulata (L.) Merrill and S. jucunda (Thw.) CR Gunn (Convolvulaceae). Brittonia 1972, 24, 169–176. [Google Scholar] [CrossRef]
- Lejoly, J.; Lisowski, S. Paralepistemon curtoi (Rendle) Lejoly and Lisowski comb. nov.(Convolvulaceae). Bull. Jard. Bot. Natl. Belg. 1987, 57, 271–272. [Google Scholar] [CrossRef]
- Lejoly, J.; Lisowski, S. Paralepistemon, nouveau genre de Convolvulaceae d’Afrique tropicale. Bull. Jard. Bot. Natl. Belg. 1986, 56, 195–197. [Google Scholar] [CrossRef]
- Staples, G. A synopsis of Lepistemon (Convolvulaceae) in Australasia. Kew. Bull. 2007, 62, 223–232. [Google Scholar]
- Meeuse, A.D.J.; Welman, W.G. Convolvulaceae. In Flora of Southern Africa; Germishuizen, G., Ed.; National Botanical Institute: Pretoria, India, 2000; Volume 28. [Google Scholar]
- Baker, J.G.; Rendle, A.B. Lepistemonopsis Dammer. In Flora of Tropical Africa; Thiselton-Dyer, W.T., Ed.; Lovell Reeve & Co.: London, UK, 1905; Volume 4, p. 62. [Google Scholar]
- Staples, G.W. A synopsis of Rivea (Convolvulaceae). Edinb. J. Bot. 2007, 64, 213–223. [Google Scholar] [CrossRef]
- Wilkin, P. A morphological cladistic analysis of the Ipomoeeae (Convolvulaceae). Kew. Bull. 1999, 54, 853–876. [Google Scholar] [CrossRef]
- Traiperm, P.; Chow, J.; Nopun, P.; Staples, G.; Swangpol, S.C. Identification among morphologically similar Argyreia (Convolvulaceae) based on leaf anatomy and phenetic analyses. Bot. Stud. 2017, 58, 25. [Google Scholar] [CrossRef]







| Genus | Distribution Pattern | Apical Gland Shape | Entire Trichome Length (µm) | Stalk Width (µm) | Apical Gland Length (µm) | Apical Gland Width (µm) | Density (per mm2) |
|---|---|---|---|---|---|---|---|
| Argyreia | 1, 2, 3, 4 | 1, 2, 3 | 496.26 ± 6.36 | 65.37 ± 0.35 | 101.59 ± 1.25 | 56.16 ± 0.39 | 33.58 ± 0.68 |
| Ipomoea | 3, 4 | 1, 2, 3 | 661.34 ± 9.25 | 50.85 ± 0.51 | 114.14 ± 2.1 | 56.5 ± 1.08 | 33.17 ± 1.65 |
| Paralepistemon | 4 | 1 | 509.87 ± 18.93 | 48.29 ± 2.01 | 83.89 ± 2.8 | 61.16 ± 1.38 | 68.00 ± 10.07 |
| Rivea | 4 | 2, 3 | 1490.3 ± 46.25 | 50.74 ± 1.21 | 337.79 ± 11.31 | 126.74 ± 2.28 | 49.09 ± 5.38 |
| Stictocardia | 3 | 2, 3 | 992.38 ± 26.11 | 46.24 ± 1.33 | 89.22 ± 3.51 | 30.84 ± 1.11 | 44.00 ± 4.34 |
| Genus | Distribution Pattern | Presence of Glandular Trichome among Nonglandular Type | Apical Cell Tip Shape | Entire Trichome Length (µm) | Stalk Width (µm) | Apical Cell Length (µm) | Apical Cell Width (µm) |
|---|---|---|---|---|---|---|---|
| Argyreia | 4 | Yes | Pointed | 1297.93 ± 29.8 | 69.3 ± 0.81 | 1169.52 ± 30.45 | 33.39 ± 0.42 |
| Astripomoea | 3 | No | Rounded | 252.95 ± 6.99 | 23.37 ± 0.46 | 252.95 ± 6.99 | 23.37 ± 0.46 |
| Lepistemon | 4 | No | Pointed | 380.70 ± 10.74 | 67.90 ± 2.29 | 243.59 ± 9.84 | 18.73 ± 0.73 |
Disclaimer/Publisher’s Note: The statements, opinions and data contained in all publications are solely those of the individual author(s) and contributor(s) and not of MDPI and/or the editor(s). MDPI and/or the editor(s) disclaim responsibility for any injury to people or property resulting from any ideas, methods, instructions or products referred to in the content. |
© 2024 by the authors. Licensee MDPI, Basel, Switzerland. This article is an open access article distributed under the terms and conditions of the Creative Commons Attribution (CC BY) license (https://creativecommons.org/licenses/by/4.0/).
Share and Cite
Chitchak, N.; Stewart, A.B.; Traiperm, P. Intergeneric Comparison of Staminal Trichomes in the Tribe Ipomoeeae (Convolvulaceae). Plants 2024, 13, 2050. https://doi.org/10.3390/plants13152050
Chitchak N, Stewart AB, Traiperm P. Intergeneric Comparison of Staminal Trichomes in the Tribe Ipomoeeae (Convolvulaceae). Plants. 2024; 13(15):2050. https://doi.org/10.3390/plants13152050
Chicago/Turabian StyleChitchak, Natthaphong, Alyssa B. Stewart, and Paweena Traiperm. 2024. "Intergeneric Comparison of Staminal Trichomes in the Tribe Ipomoeeae (Convolvulaceae)" Plants 13, no. 15: 2050. https://doi.org/10.3390/plants13152050
APA StyleChitchak, N., Stewart, A. B., & Traiperm, P. (2024). Intergeneric Comparison of Staminal Trichomes in the Tribe Ipomoeeae (Convolvulaceae). Plants, 13(15), 2050. https://doi.org/10.3390/plants13152050

