You are currently on the new version of our website. Access the old version .
PlantsPlants
  • Feature Paper
  • Article
  • Open Access

17 July 2024

Foliar Spraying with ZnSO4 or ZnO of Vitis vinifera cv. Syrah Increases the Synthesis of Photoassimilates and Favors Winemaking

,
,
,
,
,
,
,
,
1
Departamento de Ciências da Terra, Faculdade de Ciências e Tecnologia, Campus da Caparica, Universidade Nova de Lisboa, 2829-516 Caparica, Portugal
2
Centro de Investigação de Geobiociências, Geoengenharias e Geotecnologias (GeoBioTec), Faculdade de Ciências e Tecnologia, Campus da Caparica, Universidade Nova de Lisboa, 2829-516 Caparica, Portugal
3
Plant Stress & Biodiversity Lab, Centro de Estudos Florestais (CEF), Laboratório Associado TERRA, Instituto Superior Agronomia (ISA), Universidade de Lisboa (ULisboa), Quinta do Marquês, Avenida da República, 2784-505 Oeiras, Portugal
4
Plant Stress & Biodiversity Lab, Centro de Estudos Florestais (CEF), Laboratório Associado TERRA, Instituto Superior Agronomia (ISA), Universidade de Lisboa (ULisboa), Tapada da Ajuda, 1349-017 Lisboa, Portugal
This article belongs to the Special Issue Nutrients Uptake, Transport, and Function in Plant Metabolism

Abstract

Zinc enrichment of edible food products, through the soil and/or foliar application of fertilizers, is a strategy that can increase the contents of some nutrients, namely Zn. In this context, a workflow for agronomic enrichment with zinc was carried out on irrigated Vitis vinifera cv. Syrah, aiming to evaluate the mobilization of photoassimilates to the winegrapes and the consequences of this for winemaking. During three productive cycles, foliar applications were performed with ZnSO4 or ZnO, at concentrations ranging between 150 and 1350 g.ha−1. The normal vegetation index as well as some photosynthetic parameters indicated that the threshold of Zn toxicity was not reached; it is even worth noting that with ZnSO4, a significant increase in several cases was observed in net photosynthesis (Pn). At harvest, Zn biofortification reached a 1.2 to 2.3-fold increase with ZnSO4 and ZnO, respectively (being significant relative to the control, in two consecutive years, with ZnO at a concentration of 1350 g.ha−1). Total soluble sugars revealed higher values with grapes submitted to ZnSO4 and ZnO foliar applications, which can be advantageous for winemaking. It was concluded that foliar spraying was efficient with ZnO and ZnSO4, showing potential benefits for wine quality without evidencing negative impacts.

1. Introduction

Zinc is one essential micronutrient in plants implicated in the maintenance of the structural and functional integrity of biological membranes, protein synthesis, and gene expression and regulation [1]. In this context, it was reported that the optimal level of Zn can vary between 20 and 60 mg.kg−1DW; however, depending on the plant genotype, soil type, and climate, plant species can display different uptake rates from soil, as well as different translocation ratios to the shoots and sequestration depositions in the plant organs [2,3,4]. Worldwide Zn deficiency, mainly in sandy soils, affects the yield, productivity, and quality of several agronomic crops (namely the vigor of germination and biomass), promoting deficiency symptoms, such as stunted growth, chlorosis, and smaller leaves, as well as susceptibility to injury [5,6,7]. Additionally, although varying with plant species, these effects are closely linked to metabolic inhibition, namely decreased levels of phytohormones [8] and the inhibition of cell division, enlargement and differentiation [1], photosynthesis [9], and sterility [10]. To mitigate this problem, several approaches are being considered, including Zn enrichment through foliar applications, to increase the Zn contents in crop plants [11,12,13,14]. In fact, foliar application avoids the fixation and immobilization of nutrients in soils and seems to have higher efficiency in relation to their translocation to the shoots during the productive cycle [15,16,17]. Besides this, Zn translocation in plants, as Zn2+ or bound to organic acids, due to a higher concentration of solutes occurs through remobilization in the xylem and mostly through the phloem [18]. Moreover, Zn toxicity, dependent on plant species, might occur between 300 and 400 mg.kg−1DW and can affect plant development, namely through reduced growth, the degradation of pigments, the disruption of enzymatic activities, and the inhibition of photosynthesis (in most cases limiting Rubisco activity and photosystem II functioning) in close association with a decrease in the foliar intercellular CO2 concentration and stomata conductance [19,20].
Under different climatic conditions, namely temperature and water availability, vines, despite being a resistant crop, face challenges to develop quality attributes and to maximize their winemaking potential [21,22]. For instance, the high acidity, mostly provided by malic and tartaric acids, that characterizes wine grapes balances the flavor profile and affects the wine’s aging potential, whereas foliar Zn application increases the sugar content. Following agronomic approaches, it is therefore important to study, under irrigation, the use of fertilizers to optimize grape quality [23]. Accordingly, using as a test system the genotype Vitis vinifera L. cv. Syrah through foliar spraying with ZnSO4 and ZnO, this study aimed to develop a workflow for the Zn enrichment of grapes, further considering the physiological response of the vines and the impacts on the quality attributes of wine.

2. Results

Field orography characterized through images acquired using a UAV (Unmanned Aerial Vehicle) allowed the definition of slopes and, concomitantly, the estimation [24] of the surface water drainage capacity of the different superficial drainage areas (Figure 1). It was found that, in the vineyard, about 35% of the area could promote the accumulation and/or infiltration of surface water, whereas the remaining 65% corresponds to the aptitude for surface drainage (Figure 1B).
Figure 1. (A) Orthophotomap of the 1st year (outlined with a red line) and 2nd and 3rd year (outlined with a black line) (B) digital map of slopes of the vineyard of Vitis vinifera cv. Syrah grapes.
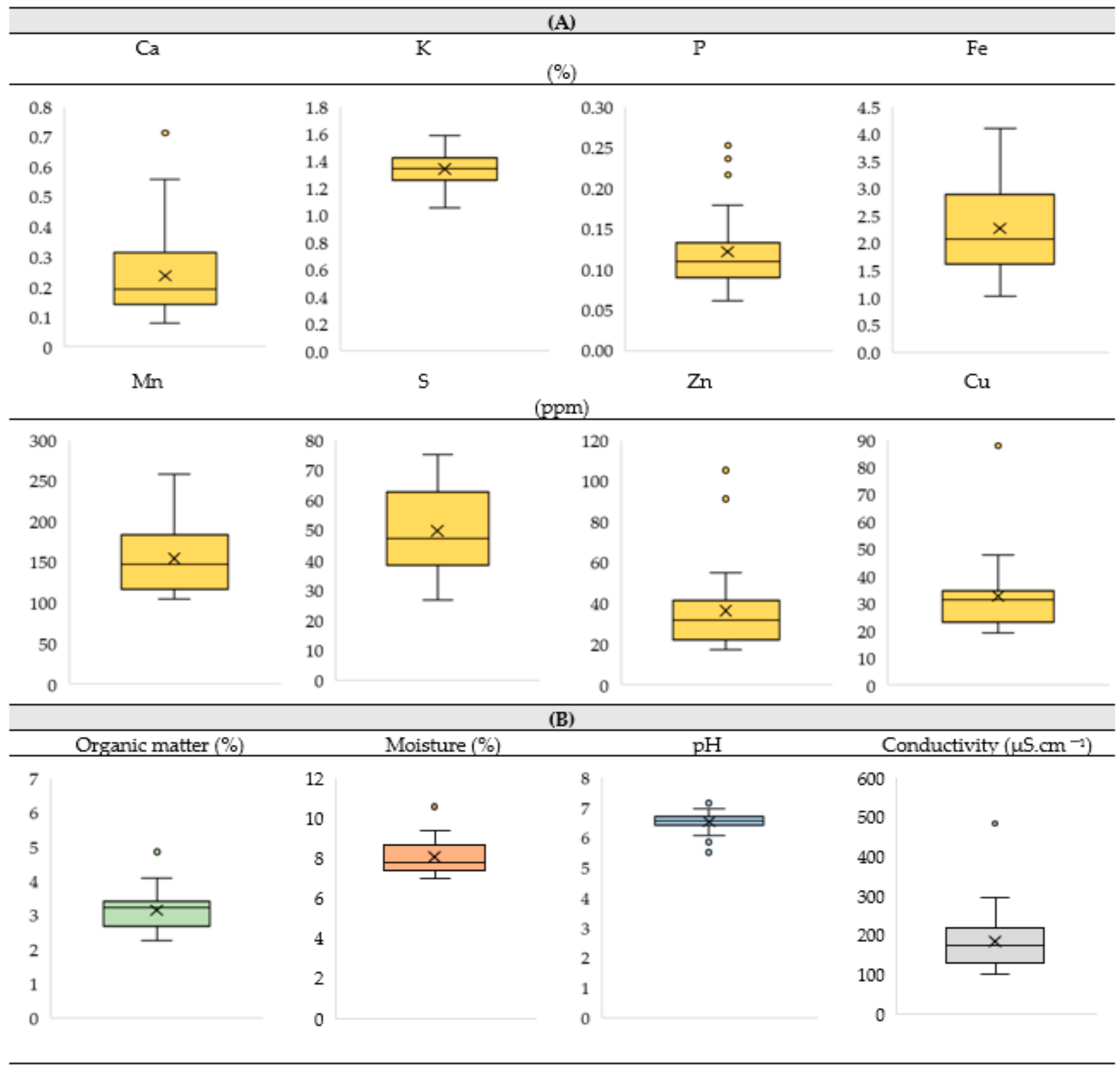
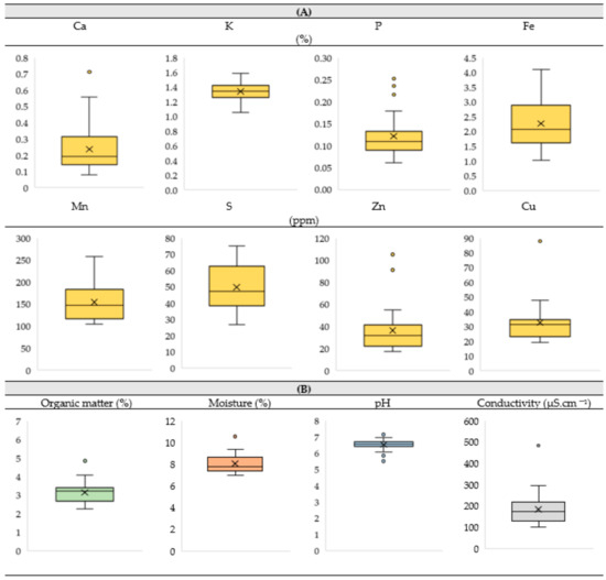
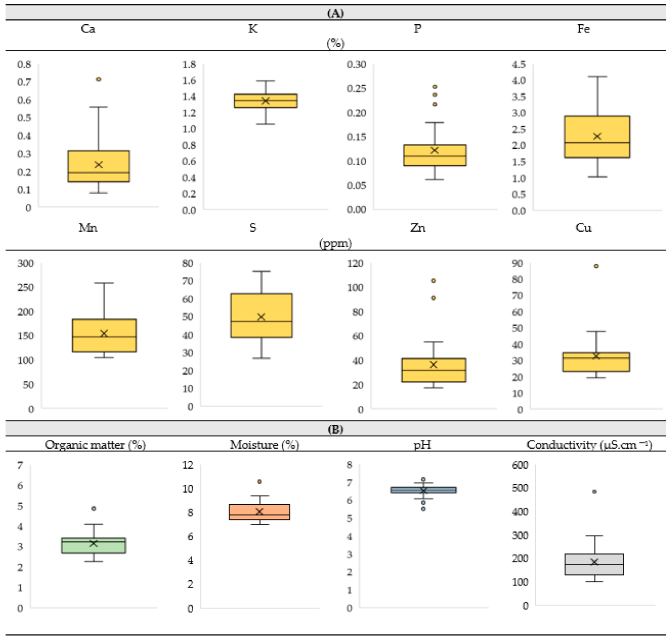
The mineral content of the soil of the vineyard revealed higher levels of Ca, K, P, and Fe (i.e., 0.06–4.09%) and lower amounts of Mn, S, Zn, and Cu (i.e., 17.2–257.7 ppm) (Figure 2A). Moreover, the soil showed average values of 3.14%, 8.04%, and 186 µS.cm−1 for organic matter, moisture, and electrical conductivity, respectively (Figure 2B). The pH was slightly acidic, displaying an average value of 6.5 (Figure 2B).
Figure 2. Soil characterization (at about 30 cm depth) in the vineyard. (A) Mineral elements (Ca, K, P, and Fe (in %) and Mn, S, Zn, and Cu (in ppm)); (B) organic matter (%), moisture (%), pH, and conductivity (µS.cm−1) of the soil.
The irrigation water of Syrah was of underground origin (displaying, in the second and third years, hydrochemic sodium sulfate–chloride and sodium chloride facies, respectively) with low salinity (concentration of salts evaluated in terms of electrical conductivity: between 100 and 250 μS.cm−1 at 20 °C) (Figure 3). The Syrah irrigation water belonged to class C1S1, with SAR index 1.4 (Figure 3B).
Figure 3. Physicochemical characterization of irrigation water in the vineyard of Syrah during the 2nd and 3rd years of the experimental period. Projection of water sample with (A) a ternary Piper diagram; (B) a Wilcox diagram.
In the second year of the experimental period, and after the fourth foliar spraying, the NDVI of the vineyard showed higher values in the control and 900 g.ha−1 ZnSO4 treatment groups (Figure 4; Table 1). In the third year, after the first application, vines treated with the ZnO and ZnSO4 treatments exhibited (Figure 4; Table 1) a higher vigor (with a maximum value of 0.89, with ZnSO4 at 1350 g. ha−1).
Figure 4. Normalized difference vegetation index (NDVI) of the vineyard with Vitis vinifera cv. Syrah during the experimental period (2nd and 3rd year, after the 4th and 1st foliar applications with ZnO or ZnSO4, respectively). Syrah: 1—control; 2—ZnO (900 g.ha−1); 3—ZnO (1350 g.ha−1); 4—ZnSO4 (900 g.ha−1); 5—ZnSO4 (1350 g.ha−1). (A) Second year of the experimental period (rows 1 to 5 were used); (B) third year of the experimental period (the 2nd and 4th rows were not used).
Table 1. Minimum, maximum, and average values ± S.D. of normalized difference vegetation index (NDVI) of the vineyard with Vitis vinifera cv. Syrah, during the experimental period (data collected in the 2nd and 3rd years, respectively, after the 4th and 1st foliar applications of ZnO or ZnSO4). Ctr = control samples.
Considering the second and third years of the experimental period, the vines’ average vigor ranged between 0.55 and 0.66 and from 0.60 to 0.65, respectively. Still, in these cases, the vigor of the vines remained similar with the predominance of green areas (Figure 4; Table 1).
Following the workflow of Zn enrichment in the vines, at a physiological level, significant differences among the treatments and assessment dates of each year were found. Considering the leaf rates of net photosynthesis (Pn), on the first assessment date, significant differences could not be found among treatments (except in the third year, where the treatment with ZnO at 1350 g.ha−1 revealed a lower value relative to ZnSO4). Following the second assessment, relative to the control, significantly higher values were found in the first and second years with treatment ZnSO4 at 900 g.ha−1 and with both treatments at the higher concentrations (1350 g.ha−1), respectively (Table 2). Additionally, a significant decrease between the first and second assessment dates among the three years was observed (except in the first year with the ZnO treatment at 900 g.ha−1, and in the second year with the leaves sprayed with 1350 g.ha−1) (Table 2). Concerning the stomatal conductance to water vapor parameter (gs), we found an absence of significant differences between treatments among the last two years of the experimental period (with the first year having a higher value for the ZnO treatment at 900 g.ha−1 on the second assessment date) (Table 2). Between both assessment dates of each year, the same pattern was observed with no significant differences in the last two years, with a significant increase being found for ZnO at 450 g.ha−1 and ZnO at 900 g.ha−1 in the first year (Table 2). Considering the transpiration parameter (E), it was found that the first assessment date of each year did not reveal significant differences between treatments (except in the first year, as ZnO at 900 g.ha−1 showed a significantly lower value relative to the control). On the second assessment date, among the treatments, we further found (Table 2) significantly higher values for the control and with treatment ZnSO4 at 900 g.ha−1 (relative to ZnSO4 at 450 g.ha−1 and ZnO, in the first year) and with treatment ZnSO4 at 1350 g.ha−1 (relative to the control and ZnSO4 at 900 g.ha−1, in the second year). In the first year of the experimental period, and between both assessment dates, the transpiration rates (E) did not display significant differences (Table 2) between the ZnO-treated vines at 900 g.ha−1 and the vines treated with ZnSO4 at 450 g.ha−1. Moreover, in the second and third years, significant differences could not be found in the transpiration rates (except in the control of the third year). Relative to the leaf instantaneous water use efficiency (iWUE), significant differences could not be found among treatments in the second year of the experimental period (Table 2). In the first and third year, the control samples revealed (Table 2) a significantly lower value relative to the other treatments (except in the second assessment of the first year, relative to the treatment with ZnSO4 at 450 g.ha−1; and in the first assessment of the third year, where the values for ZnO-treated samples remained significantly lower relative to those achieved with the other treatments; and in the second assessment, where spraying the samples with ZnSO4 was the only treatment that achieved significantly higher values). Considering the three years, between the two assessment dates of each year, there was a significant decrease between the first and second assessments (Table 2).
Table 2. Average ± S.E. (n = 6–8) values of leaf gas exchange, net photosynthesis (Pn), and stomatal conductance to water vapor (gs), as well as variation in the instantaneous water use efficiency (iWUE = Pn/E), in leaves of Vitis vinifera of the variety Syrah during the experimental period (1st year after the 3rd foliar spray, 2nd year after the 4th foliar spray, and 3rd year after the 2nd and 4th foliar sprays with ZnO and ZnSO4). For all parameters, different letters indicate significant differences between the testing parameters for the different treatments (a, b, c), or between different assessments in the same treatment (A, B), independently for each year (statistical analysis using the two-way ANOVA test, p ≤ 0.05). Ctr = control samples.
The maximum efficiency of PSII (Fv/Fm) and the actual PSII photochemical efficiency chlorophyll parameter (Fv′/Fm′) showed no relevant differences between the treatments and assessment dates in each year of the experimental period (except in the third year, where an increase between the assessment dates was found for Fv/Fm with treatment ZnSO4 at 1350 g.ha−1), revealing the maintenance of a high efficiency (Table 3). Concerning the set of estimates of the quantum transport yields, the photosynthetic non-cyclic electron transport (Y(II)) did not show relevant variations among treatments in the first and third years. Moreover, on the second assessment date of the second year with ZnSO4 at 1350 g.ha−1, a significant increase was found (Table 3). In addition, between both assessment dates, only in the third year was a significant decrease found in the control samples (Table 3). As for the regulated energy dissipation (Y(NPQ)) and the unregulated dissipation (heat and fluorescence—Y(NO)), no significant variations were detected among treatments (except in the second assessment of the second year, where Y(NPQ) with ZnSO4 at 1350 g.ha−1 showed a significantly lower value relative to the control) (Table 3). Additionally, between assessment dates, only the third year showed (Table 3) a significant decrease in all of the samples (except the parameter Y(NO), with ZnSO4 at 1350 g.ha−1, as well as (Y(NPQ)) with the control and ZnO at 1350 g.ha−1, which increased). Regarding the proportion of energy dissipated as heat through photoprotective mechanisms (qN) and energy captured by the PSII open reaction centers and used for photochemical events (qL), significant differences were also not found among treatments (Table 3) relative to the control and assessment dates (except the qN parameter in the third year, where only ZnSO4 at 1350 g. ha−1 did not decrease). Thus, foliar spraying with Zn at all concentrations (i.e., 450, 900, and 1350 g. ha−1 of ZnO and ZnSO4) kept the performance of the photosynthetic machinery stable and showed a potential positive effect (Table 3).
Table 3. Average value ± S.E. (n = 6–8) of chlorophyll a fluorescence, maximal photochemical efficiency of PSII (Fv/Fm), estimate of the quantum yield of photosynthetic non-cyclic electron transport (Y(II)), estimate of the quantum yield of regulated energy dissipation (Y(NPQ)) and non-regulated energy (heat and fluorescence) dissipation (Y(NO)) of PSII, coefficient of non-photochemical (qN) and photochemical (qL) fluorescence quenching, and actual PSII efficiency of energy conversion under light (Fv′/Fm′) in leaves of Vitis vinifera L. variety Syrah during the experimental period (1st year after the 3rd foliar spray; 2nd year after the 4th foliar spray; and 3rd year after the 2nd and 4th foliar sprays, with ZnO and ZnSO4). For all parameters, different letters indicate differences between testing parameters for the different treatments (a, b), or between different assessments in the same treatment (A, B), independently for each year (statistical analysis using the two-way ANOVA test, p ≤ 0.05). Ctr = control samples.
In the first year of the experimental period, the implications of foliar spraying with ZnO and ZnSO4 during the productive stage of the vines determined a non-significant increase in Zn in the grapes at harvest (Table 4). Also, in the second year, the same was observed at harvest (Table 4), but with ZnO at 1350 g.ha−1 showing significantly higher values relative to the control (i.e., a 2.3-fold increase). In the last experimental year (after the fourth foliar application at harvest), the results showed (Table 4) a similar trend (i.e., as detected in the first and second years), with a significant increase achieved with ZnO at 1350 g.ha−1 relative to the control (i.e., a 1.2-fold increase).
Table 4. Average value ± S.E. (n = 3) of Zn concentration in grapes of Vitis vinifera variety Syrah at harvest during the experimental period (1st, 2nd, and 3rd years). Letters a and b indicate significant differences among treatments (statistical analysis using the single-factor ANOVA test, p ≤ 0.05). Ctr = control samples.
At harvest, the total soluble solids in the grapes showed higher levels with Zn treatments in each year of the experimental period (Figure 5). In the first year, all of the samples showed significantly higher levels than the control grapes (except ZnSO4 at 150 g.ha−1) and the values ranged between 13.1 and 17.5 °Brix (Figure 5). In the second year, a significant higher value was found with ZnO at 1350 g ha−1 and the values varied between 18.7 and 24.3 °Brix (Figure 5). In the third year, Zn spraying with both treatments at 1350 g.ha−1 led to a significant increase relative to the control, and the values ranged between 15.8 and 27.4 °Brix (Figure 5).
Figure 5. Average ± S.E (n = 3) total soluble solids (expressed in oBrix) in grapes of Vitis vinifera variety Syrah at harvest during the 1st, 2nd, and 3rd years of the productive cycle. Letters a, b, and c, d indicate significant differences among the treatments (statistical analysis using the one-way ANOVA test, p ≤ 0.05).

3. Discussion

The efficiency of Zn enrichment through foliar spraying in the edible part of a plant species is dependent on edaphoclimatic conditions. Considering that over the 3 years of the experimental period, the vineyard was characterized by minimum and maximum temperatures and air humidity ranging between 16.6 and 28.2 °C and from 38 to 90%, the photosynthesis of the vines occurred under favorable environmental conditions and without negative impacts on the vegetative development. In addition, since the soil is the main source of Zn uptake, an adequate amount of available water is required to meet the nutrient needs of crops. In this context, the aptitude of the surface drainage of the vineyard (65%) avoided excess water accumulation and the consequent radicular anoxia in the roots of the vines, as the rise in the water level could replace the oxygen in the soil [25]. Additionally, as the pH of the soil determines the uptake rates of Zn, the vineyard further showed (Figure 2B) an acceptable value (i.e., 6.5, which is in the acceptable range of 5.5–8.5 for this parameter) [26,27]. The organic matter and electrical conductivity of the vineyard for adequate growth also remained close to an adequate range (i.e., 3.14% and 186 µS.cm−1Figure 2B) [28,29,30], therefore being the low electric conductivity associated with a shorter energy expenditure for water uptake by roots [31,32]. In this framework, the moisture of the soil until the 30 cm layer, although susceptible to variations due to precipitation and the evaporation of water of the topsoil [33], revealed (Figure 2B) a value below 10% near the soil surface (15 cm layer). Still, irrigation that ensures soil moisture is a fundamental strategy for preventing water stress at different growth stages, especially in the Mediterranean climatic conditions prevailing in the studied vineyard. Indeed, the water requirements for the physiological functioning (transpiration, osmotic potential, turgor potential, and photosynthesis) of vines, which might affect the productivity and quality of their grapes [34,35], are expected to augment in the near future, with climate projections pointing to an increase in vine irrigation between 3.5 and 7.5% in arid and semi-arid regions [34,36]. Nevertheless, the water quality of the studied vineyard did not show any restriction for agricultural use, being suitable without danger of soil salinization (i.e., 100–250 μS.cm−1 of electric conductivity) and alkalinization (i.e., a 1.4 SAR value). In addition, the mineral composition of the soil of the vineyard was further found to be suitable for maintaining the nutritional balance of the vines (Figure 2A), as Fe, K, Ca, P, Mn, and S remained within the ranges of 0.5–4.0%, 0.2–3.0%, 0.2–1.5%, 0.01–0.1%, 40 –850 ppm, and 30–400 ppm, respectively [37,38,39], whereas the average values of Zn and Cu remained in the expected intervals reported for natural soils, i.e., 5–80 ppm and 20–300 ppm, respectively [40].
The monitoring of the vine status was performed through the normalized difference vegetation index (NDVI) in relation to leaf area, fruit ripening and maturity, diseases, water stress, the anthocyanin content of the grapes, and the tannins in their skin [41]. In this context, the Syrah genotype in the vineyard showed an average NDVI varying between 0.55 and 0.65 (Figure 4; Table 1), corresponding to areas with dense vegetation (i.e., positive NDVI values and values above 0.5) and indicating a suitable productive cycle of the plants with minimal stress effects. In fact, similar to data obtained by other authors [42,43], whose proximal-based NDVI values ranged from 0.60 to 0.66, the values found for this vineyard seem to indicate that the amount of anthocyanin in Syrah grapes can be advantageous for achieving greater quality in winemaking [44].
Considering the favorable edaphoclimatic conditions of the vineyard, as also shown by the NDVI results, leaf spraying with ZnO and ZnSO4 further stimulated the functioning of the photosynthetic apparatus and even showed a significant increase on the second assessment date of the first and second year (with ZnSO4 at 900 g.ha−1 and with all treatments at the higher dose of 1350 g.ha−1) (Table 2). As previously reported [45], this interaction further suggests that an increase in Zn content promotes the catalytic activity of carbonic anhydrase, facilitating the diffusion of CO2 into the chloroplasts and the regulation of HCO3 and K+ uptake by the guard cells that control stomatal opening. Yet, some treatments on the vines showed a small impact on Pn (with only ZnO in the third year at the highest concentration being significant compared to the control), linked to a lower stomatal aperture (gs) (Table 2). Likewise, when the threshold of Zn toxicity is reached, Pn and E can decrease without visible symptoms due to an anormal functioning of physiological and chemical processes [46]. However, our data indicated that the threshold of Zn toxicity was not reached (as also expressed by our NDVI data), but some other factors, such as (on a daily basis) high temperatures and low relative humidity, eventually, to some extent, inhibited photosynthesis through the gradual closure of stomata to prevent water loss through transpiration [47,48,49]. Indeed, the iWUE was maintained in most cases and also improved significantly in the first year for all treatments (except for ZnSO4 at 450 g.ha−1) and in the third year with ZnSO4 (Table 2). Similar results have been observed in chickpea and wheat plants [50], where foliar application of Zn increased the iWUE through the activation of metabolic processes and osmotic regulation. Complementarily, chlorophyll a parameters also indicated that the threshold of Zn toxicity was not reached since Fv/Fm, Y(NO), Y(II), Y (NPQ), qL, and qN did not show significant changes (Table 3). Although the maximum efficiency of PSII (Fv/Fm) showed some sensitivity to the application of the maximum doses of both products applied (1350 g.ha−1), there was no impact on the actual photochemical efficiency (Fv′/Fm′) (Table 3). Also, relative to the control (Table 3), there was no impact on the parameters that reflect photochemical performance (Y(II), qL), the need for energy dissipation processes (Y(NPQ), qN), or the need for unregulated energy dissipation processes (Y(NO)). Thus, all of these parameters, closely implicating PSII, further indicated the absence of relevant inhibitory effects on photosynthesis [51]. As a matter of fact, in the second year, there was even an increase in ZnSO4 with the 1350 g.ha−1 treatment (at the second assessment, and in the parameters that evaluate photochemical performance) (Y(II), qL) (Table 3). Considering that the photoprotective mechanism is most active in the early stages, decreasing as the fruit develops [52,53], these data suggested that the functioning of the photosynthetic machinery is extended in the final stage of the vine’s life cycle. Additionally, in this case, we observed a decrease in the need for energy dissipation processes (Y(NPQ), qN), and no change in unregulated energy dissipation processes (Y(NO)), in comparison to the control (Table 3).
The interaction between leaf spraying with ZnO or ZnSO4 and the synthesis of photoassimilates promoted (Table 4) Zn accumulation in the grapes (significantly with ZnO at the maximum concentration applied—1350 g.ha−1—in the second and third years of the experiment). Nevertheless, it must be noticed that in spite of the lower solubility of ZnO, both Zn sources seem to have similar bioavailability in plants [54,55,56,57], but their efficiency might vary since they are related to different pathways that affect the rate of Zn translocation through phloem to the other tissues [56]. In fact, relative to the soil efficiency, foliar application of Zn is more effective [58,59] and can, to some extent, determine the growth stage of plant development [59,60]. In this context, the total soluble sugars in the mature grapes under the different Zn treatments remained in the range of 13.1 to 27.4 °Brix (Figure 5), therefore persisting within the usual range previously found [61] in other non-treated Zn samples (i.e., usually varying between 13.7 and 31.5 °Brix). As it is known, in winemaking, the sugar content in grapes determines the alcohol concentration, the synthesis of organic acids, the phenolics, and the aroma compounds, which are responsible for sensory properties. Likewise, considering that 22 to 28 °Brix can lead to a greater quality of wine [55,56], similar values were found in the grapes (Figure 5) submitted to both treatments at the higher concentration (i.e., 1350 g. ha−1).

4. Materials and Methods

The workflow for Zn enrichment of wine grapes was carried out on irrigated Vitis vinifera cv. Syrah (having the 1103P rootstock), in a vineyard located in Palmela, Portugal (GPS coordinates: in the first year—38°35′23.629″ N; 8°51′46.208″ W, and in the following two years—38°35′20.84975562″ N; 8°51′43.39046267″ W). After flowering, the aerial part of the vine plants was pulverized with ZnSO4 or ZnO (except the control plants, which were sprayed with water) at concentrations of 150, 450, 900 g.ha−1 (in the 1st year); 900 and 1350 g.ha−1 (in the 2nd year); and 1350 g.ha−1 (in the 3rd year). Three and four foliar applications (in the first and latest two years, respectively) were performed. The intervals of pulverizations (from the 1st application to harvest) was about 15 days.
Considering the intervals of foliar spraying (from the first application until harvest) for each year, data on the temperature and air humidity were assessed in the national meteorological networks of Montijo, Portugal (38°43′28.7″ N; 9°0′40.114″ W) and Setubal, Portugal (38°31′12″ N; 8°52′48″ E) for the first year and thereafter for the following years of the experiment, respectively.
In the 1st year, during the productive cycle, temperatures were characterized by average maximum and minimum values of 28 °C and 16.6 °C, respectively. The maximum and minimum values were 44 °C and 11 °C, respectively. The maximum and minimum air humidity recorded during this period was 100% and 9%, respectively (with the maximum and minimum values being 90% and 38%, respectively). The 2nd year of the experimental period was characterized by average maximum and minimum temperatures of 27.7 °C and 17.9 °C (with maximum and minimum values of 35.6 °C and 15.3 °C, respectively). The maximum and minimum air humidity was 99% and 17%, respectively (with the average maximum and minimum values being 87.9% and 46.1%, respectively). During the 3rd productive cycle, the average maximum and minimum temperatures were 28.2 °C and 17.7 °C (with the maximum and minimum values being 37.7 °C and 4.8 °C, respectively). The maximum and minimum air humidity was 94% and 19%, respectively (with the average maximum and minimum values being 81.8% and 40.9%).
Field orography was characterized through images acquired with a UAV (Unmanned Aerial Vehicle) with altimetric measurement sensors, synchronized via GPS and processed in ArcGIS Pro, as described in [62].
Soil sampling (n = 28) was performed from the surface of the soil to a 30 cm depth (ca. 100 g), and then the samples were sieved (2.0 mm mesh to remove stones, coarse materials, and other debris), dried under 105 °C for 24 h, and subjected to 1 h of desiccation (until room temperature). Samples were then weighed to determine the dry mass and percentage of moisture. To determine the organic matter, the samples were heated to 550 °C for 4 h (i.e., until a constant weight), removed from the muffle at 100 °C, and then weighed (after desiccation until they reached room temperature for 1 h). Electrical conductivity and pH data were acquired by using a potentiometer, as described by [63]. Mineral quantification of the samples was carried out with an XRF analyzer (model XL3t 950 He GOLDD+, Niton Thermal Scientific, Munich, Germany) under a helium atmosphere, according to [64].
To assess the quality of the irrigation water during the last two years of the experimental period, we considered chemical (bicarbonate (HCO3), sulfate (SO42−), chloride (Cl), phosphate (PO43−), calcium (Ca2+), sodium (Na+), potassium (K+), and magnesium (Mg2+)) and physical (pH, temperature, and electrical conductivity) parameters. Alkalinity/bicarbonate was analyzed with titration in samples of 100 mL of water, using 0.1 N hydrochloric acid as the titrant, in the presence of 0.1% methyl orange [65]. Sulfate, chloride, and phosphate ions were quantified through photometry (Spectroquant NOVA 60, Merck, Darmstadt, Germany), using specific kits (1.14897, 1.14779, 1.14773, and 1.14842). Calcium, sodium, potassium, and magnesium ions were determined using a Metrohm (Model 761 Compact IC, Metrohom, Herisau, Switzerland) chromatograph, equipped with a column and pre-column (Metrosep cation 1–2, 6.1010.000), using an eluent mixture (4 mM tartaric acid/1 mM dipicolinic acid) at a flow rate of 1 mL/minute and a sample injection of 10 μL. Electrical conductivity (EC) and pH data were acquired using a Consort multiparameter analyzer (C 6030) and SP21 (pH) and SK20 T (CE) electrodes. Water classification in the vineyard considered dominant ions. The sodium adsorption index was determined and related to the electrical conductivity, in classes C and S [66]. Water data were projected in Piper and Wilcox diagrams with Grapher software (version 16.3.410).
To monitor the general physiological response of the vines to Zn enrichment, following agronomic practices in the vineyards, NDVI images were acquired during the experimental work period of the last two years (after the 4th and 1st foliar applications, respectively). Data were processed with an ArcGIS Pro [62].
In the vineyards, leaf gas exchange parameters of the vines were assessed on leaves (n = 4–6) from different plants (considering the 2nd youngest leaves fully expanded per treatment) [62]. Leaf rates of net photosynthesis (Pn), stomatal conductance to water vapor (gs), and transpiration (E) were acquired under photosynthetic steady-state conditions after ca. 2 h of illumination (in the middle of the morning). A portable open-system infrared gas analyzer (Li-Cor 6400, Li-Cor, Lincoln, NE, USA) was used under environmental conditions, with external CO2 (ca. 400 ppm) and the photosynthetic photon flux density (PPFD) ranging between 1200 and 1400 µmol m−2 s−1. Leaf instantaneous water use efficiency (iWUE) was calculated as the Pn-to-E ratio, representing the units of assimilated CO2 per unit of water lost through transpiration [67].
Chlorophyll fluorescence a parameters were determined in each year of the experimental work on randomized leaves (n = 4–6) per treatment, using a fluorimeter PAM 2000 (H. Walz, Effeltrich, Germany), as described in [67,68], with some minor modifications. Briefly, the minimal fluorescence from the antennae (Fo) and the maximal photochemical efficiency of the photosystem (PS) II (Fv/Fm) were acquired in overnight dark-adapted leaves, applying a low-irradiance red light (<0.5 μmol m−2 s−1) to obtain Fo and an actinic saturating light flash of ca. 7500 μmol m−2 s−1 to obtain the maximum fluorescence from the antennae (Fm), with the maximal photochemical efficiency of PSII (Fv/Fm) being estimated as ([(Fm − Fo)/Fm]). The other parameters were assessed under photosynthetic steady-state conditions, under natural irradiance (ca. 1000–1300 μmol m−2 s−1), with superimposed saturating light flashes, and included photochemical quenching, based on the concept of interconnected PSII antennae (qL); non-photochemical quenching (qN); and the actual PSII photochemical efficiency (Fv′/Fm′), as well as estimates of the following: the quantum yield of photosynthetic non-cyclic electron transport (Y(II)); the quantum yield of regulated energy dissipation of PSII (Y(NPQ)); and the non-regulated energy (heat and fluorescence) dissipation of PSII (Y(NO)) (with Y(II) + Y(NPQ) + Y(NO) = 1). All parameters and their meanings were determined using the formulas mentioned in [69,70,71,72,73].
At harvest, the Zn concentrations of randomized grapes (previously washed, dried at 60 °C until constant weight, and ground in an agate mortar) were determined after an acid digestion procedure with a mixture of HNO3:HClO4 (4:1) followed by filtration [62]. Measurements (n = 3) were carried out using an atomic absorption spectrophotometer model, namely the Perkin Elmer AAnalyst 200 (Waltham, Massachusetts, MA, USA) fitted with a deuterium background corrector, and using the AA WinLab software program (Version 32).
The determination of total soluble solids (°Brix) was measured in the grape juice of randomized grapes for each treatment (n = 3) using a digital refractometer from Atago (Atago, Tokyo, Japan), and the values acquired were expressed as °Brix [74].
One-way and two-way ANOVA tests (p ≤ 0.05) were applied to statistically evaluate significant differences between treatments (a, b, c, d) and between assessment dates among the experimental periods of the three years (A, B), independently for each year. Mean comparisons were performed with Tukey’s test (95% confidence level).

5. Conclusions

Zinc enrichment of the Vitis vinifera Syrah winegrape variety can be induced with ZnO and ZnSO4 at concentrations of 150, 450, 900, and 1350 g.ha−1. Still, ZnO led to a higher accumulation of Zn, which makes this treatment the best one for Zn enrichment in winegrape production. In fact, with this treatment, a 2.3-fold increase can be reached at the maximum concentration (1350 g.ha−1). The threshold of toxicity was not reached through foliar application with either Zn treatment at any concentration, but potential benefits were found for photoassimilates synthesis and mobilization to the grapes during the final phase of the vine’s productive cycle, which determined a higher amount of total soluble solids (which favors winemaking), particularly with the higher concentrations of both Zn treatments.

Author Contributions

Conceptualization, D.D., F.C.L., G.B., J.C.K. and J.C.R.; methodology, F.C.L., G.B., J.C.K., J.C.R., C.G., M.S. and F.H.R.; software, D.D.; formal analysis, D.D., A.C.M., C.C.P., A.R.F.C., I.C.L. and J.C.R.; investigation, D.D., A.C.M., C.C.P., A.R.F.C. and I.C.L.; resources, A.P.R., P.S.-C., I.P.P., J.N.S., P.L. and M.M.S.; writing—original draft preparation, D.D. and F.C.L.; writing—review and editing, D.D. and F.C.L.; supervision, F.C.L.; project administration, F.C.L.; funding acquisition, F.C.L. All authors have read and agreed to the published version of the manuscript.

Funding

This research received support from PDR2020-101-030727 and Fundação para a Ciência e Tecnologia I.P. (FCT), 2023.01847.BDANA, through the research centers GeoBioTec (UIDB/04035/2020, https://doi.org/10.54499/UIDB/04035/2020, accessed on 16 July 2024), CEF (UIDB/00239/2020, https://doi.org/10.54499/UIDB/00239/2020, accessed on 16 July 2024), and Associate Laboratory TERRA (LA/P/0092/2020, https://doi.org/10.54499/LA/P/0092/2020, accessed on 16 July 2024).

Data Availability Statement

Data are contained within the article.

Acknowledgments

The authors would like to thank Luís Silva (Adega Cooperativa de Palmela-Casa Agrícola Nunes Oliveira da Silva Lda) for his technical assistance with the PDR2020-101-030727 project.

Conflicts of Interest

The authors declare no conflicts of interest.

References

  1. Ajeesh Krishna, T.P.; Maharajan, T.; Victor Roch, G.; Ignacimuthu, S.; Antony Ceasar, S. Structure, function, regulation and phylogenetic relationship of ZIP family transporters of plants. Front. Plant Sci. 2020, 11, 662. [Google Scholar] [CrossRef] [PubMed]
  2. Natasha, N.; Shahid, M.; Bibi, I.; Iqbal, J.; Khalid, S.; Murtaza, B.; Bakhat, H.F.; Farooq, A.B.U.; Amjad, M.; Hammad, H.M.; et al. Zinc in soil-plant-human system: A data-analysis review. Sci. Total Environ. 2022, 808, 152024. [Google Scholar] [CrossRef] [PubMed]
  3. Gupta, N.; Ram, H.; Kumar, B. Mechanism of zinc absorption in plants: Uptake, transport, translocation and accumulation. Rev. Environ. Sci. Biol. Technol. 2016, 15, 89–109. [Google Scholar] [CrossRef]
  4. Lucas, R.E.; Knezek, B.D. Climatic and soil conditions promoting micronutrient deficiencies in plants. In Micronutrients in Agriculture; Mortvedt, J.J., Giordano, P.M., Lindsay, W.L., Eds.; Soil Science Society of America Inc.: Madison, WI, USA, 1972; pp. 371–379. [Google Scholar]
  5. Ullah, A.; Farooq, M.; Rehman, A.; Hussain, M.; Siddique, K.H. Zinc nutrition in chickpea (Cicer arietinum): A review. Crop Pasture Sci. 2020, 71, 199–218. [Google Scholar] [CrossRef]
  6. Kaur, H.; Garg, N. Zinc toxicity in plants: A review. Planta 2021, 253, 129. [Google Scholar] [CrossRef] [PubMed]
  7. Sadeghzadeh, B. A review of zinc nutrition and plant breeding. Soil Sci. Plant Nutr. 2013, 13, 905–927. [Google Scholar] [CrossRef]
  8. Kumar, L.; Meena, N.L.; Singh, U. Zinc transporter: Mechanism for improving Zn availability. In Biofortification of Food Crops; Singh, U., Praharaj, C., Singh, S., Singh, N.P., Eds.; Springer: New Delhi, India, 2016; pp. 129–146. [Google Scholar] [CrossRef]
  9. Brown, P.H.; Cakmak, I.; Zhang, Q. Form and function of zinc plants. In Zinc in Soils and Plants. Developments in Plant and Soil Sciences; Robson, A.D., Ed.; Springer: Dordrecht, The Netherlands, 1993; Volume 55, pp. 93–106. [Google Scholar] [CrossRef]
  10. Sharma, P.N.; Chatterjee, C.; Sharma, C.P.; Agarwala, S.C. Zinc deficiency and anther development in maize. Plant Cell Physiol. 1987, 28, 11–18. [Google Scholar] [CrossRef]
  11. Yang, X.W.; Tian, X.H.; Gale, W.J.; Cao, Y.X.; Lu, X.C.; Zhao, A.Q. Effect of soil and foliar zinc application on zinc concentration and bioavailability in wheat grain grown on potentially zinc-deficient soil. Cereal Res. Commun. 2011, 39, 535–543. [Google Scholar] [CrossRef]
  12. Zhao, A.Q.; Tian, X.H.; Cao, Y.X.; Lu, X.C.; Liu, T. Comparison of soil and foliar zinc application for enhancing grain zinc content of wheat when grown on potentially zinc-deficient calcareous soils. J. Sci. Food Agric. 2014, 94, 2016–2022. [Google Scholar] [CrossRef] [PubMed]
  13. Gomez-Coronado, F.; Poblaciones, M.J.; Almeida, A.S.; Cakmak, I. Zinc (Zn) concentration of bread wheat grown under Mediterranean conditions as affected by genotype and soil/foliar Zn application. Plant Soil 2016, 401, 331–346. [Google Scholar] [CrossRef]
  14. Bhatt, R.; Hossain, A.; Sharma, P. Zinc biofortification as an innovative technology to alleviate the zinc deficiency in human health: A review. Open Agric. 2020, 5, 176–187. [Google Scholar] [CrossRef]
  15. Kurešová, G.; Menšík, L.; Haberle, J.; Svoboda, P.; Raimanova, I. Influence of foliar micronutrients fertilization on nutritional status of apple trees. Plant Soil Environ. 2019, 65, 320–327. [Google Scholar] [CrossRef]
  16. Sathishkumar, A.; Sakthivel, N.; Subramanian, E.; Rajesh, P. Productivity of field crops as influenced by foliar spray of nutrients: A review. Agric. Rev. 2020, 41, 146–152. [Google Scholar] [CrossRef]
  17. Sultana, S.; Naser, H.M.; Akhter, S.; Begum, R.A. Effectiveness of soil and foliar applications of zinc and boron on the yield of tomato. Bangladesh J. Agric. Res. 2016, 41, 411–418. [Google Scholar] [CrossRef]
  18. Tsonev, T.; Lidon, F.C. Zinc in plants—An overview. Emir. J. Food Agric. 2012, 24, 322–333. [Google Scholar]
  19. Hacisalihoglu, G. Zinc (Zn): The last nutrient in the alphabet and shedding light on Zn efficiency for the future of crop production under suboptimal Zn. Plants 2020, 9, 1471. [Google Scholar] [CrossRef] [PubMed]
  20. Ackova, D.G. Heavy metals and their general toxicity on plants. Plant Sci. Today 2018, 5, 15–19. [Google Scholar] [CrossRef]
  21. Fonseca, A.; Fraga, H.; Santos, J.A. Exposure of Portuguese viticulture to weather extremes under climate change. Clim. Serv. 2023, 30, 100357. [Google Scholar] [CrossRef]
  22. Fraga, H.; de Cortázar Atauri, I.G.; Santos, J.A. Viticultural irrigation demands under climate change scenarios in Portugal. Agric. Water Manag. 2018, 196, 66–74. [Google Scholar] [CrossRef]
  23. Costa, C.; Graça, A.; Fontes, N.; Teixeira, M.; Gerós, H.; Santos, J.A. The interplay between atmospheric conditions and grape berry quality parameters in Portugal. Appl. Sci. 2020, 10, 4943. [Google Scholar] [CrossRef]
  24. Direcção Geral de Agricultura Desenvolvimento Rural. Carta de Capacidade de Uso do Solo de Portugal—Bases e Normas Adoptadas na Sua Elaboração, 6th ed.; Ministério da Economia, Secretaria de Estado da Agricultura, Serviço de Reconhecimento e de Ordenamento Agrário: Lisboa, Portugal, 1972; pp. 25–26. [Google Scholar]
  25. Abduljaleel, Y.; Awad, A.; Al-Ansari, N.; Salem, A.; Negm, A.; Gabr, M.E. Assessment of subsurface drainage strategies using DRAINMOD model for sustainable agriculture: A Review. Sustainability 2023, 15, 1355. [Google Scholar] [CrossRef]
  26. Ricardo-Rodrigues, S.; Laranjo, M.; Coelho, R.; Martins, P.; Rato, A.E.; Vaz, M.; Valverde, P.; Shahidian, S.; Véstia, J.; Agulheiro-Santos, A.C. Terroir influence on quality of ‘Crimson’table grapes. Sci. Hortic. 2019, 245, 244–249. [Google Scholar] [CrossRef]
  27. Vázquez-Blanco, R.; González-Feijoo, R.; Campillo-Cora, C.; Fernández-Calviño, D.; Arenas-Lago, D. Risk Assessment and limiting soil factors for vine production—Cu and Zn contents in vineyard soils in Galicia (Rías Baixas D.O.). Agronomy 2023, 13, 309. [Google Scholar] [CrossRef]
  28. Kurtural, S.K.; Desired Soil Properties for Vineyard Site Preparation. Universtiy of Kentucky, College of Agriculture, Cooperative Extension Service. HortFact 31-01. 2011. Available online: http://www.uky.edu/hort/sites/www.uky.edu.hort/files/documents/KF_31_01.pdf (accessed on 23 May 2024).
  29. Lanyon, D.M.; Cass, A.; Hansen, D. The Effect of Soil Properties on Vine Performance. CSIRO Land and Water Technical Report No. 34/04. 2004. Available online: http://www.clw.csiro.au/publications/technical2004/tr34-04.pdf (accessed on 23 May 2024).
  30. Doğan, B.; Gülser, C. Assessment of soil quality for vineyard fields: A case study in Menderes District of Izmir, Turkey. Eurasian J. Soil Sci. 2019, 8, 176–183. [Google Scholar] [CrossRef]
  31. Garcia-Oliveira, A.L.; Chander, S.; Ortiz, R.; Menkir, A.; Gedil, M. Genetic basis and breeding perspectives of grain iron and zinc enrichment in cereals. Front. Plant Sci. 2018, 9, 937. [Google Scholar] [CrossRef] [PubMed]
  32. Gavrilescu, M. Water, soil, and plants interactions in a threatened environment. Water 2021, 13, 2746. [Google Scholar] [CrossRef]
  33. Silva, B.M.; Santos, W.J.R.D.; Oliveira, G.C.D.; Lima, J.M.D.; Curi, N.; Marques, J.J. Soil moisture space-time analysis to support improved crop management. Ciênc. Agrotecnol. 2015, 39, 39–47. [Google Scholar] [CrossRef]
  34. Pou, A.; Balda, P.; Cifre, J.; Ochogavia, J.M.; Ayestaran, B.; Guadalupe, Z.; Llompart, M.; Bota, J.; Martínez, L. Influence of non-irrigation and seasonality on wine colour, phenolic composition and sensory quality of a grapevine (Vitis vinifera cv. Callet) in a Mediterranean climate. OENO One 2023, 57, 217–233. [Google Scholar] [CrossRef]
  35. Farooq, M.; Hussain, M.; Ul-Allah, S.; Siddique, K.H. Physiological and agronomic approaches for improving water-use efficiency in crop plants. Agric. Water Manag. 2019, 219, 95–108. [Google Scholar] [CrossRef]
  36. Ahmad, U.; Alvino, A.; Marino, S. A Review of crop water stress assessment using remote sensing. Remote Sens. 2021, 13, 4155. [Google Scholar] [CrossRef]
  37. Ozier-Lafontaine, H.; Lesueur-Jannoyer, M. (Eds.) Sustainable Agriculture—Reviews 14: Agroecology and Global Change; Springer International Publishing: Heidelberg, Germany; New York, NY, USA; Dordrecht, The Netherlands; London, UK, 2014. [Google Scholar] [CrossRef]
  38. Boudissa, S.M.; Lambert, J.; Müller, C.; Kennedy, G.; Gareau, L.; Zayed, J. Manganese concentrations in the soil and air in the vicinity of a closed manganese alloy production plant. Sci. Total Environ. 2006, 361, 67–72. [Google Scholar] [CrossRef] [PubMed]
  39. Prasad, R.; Shivay, Y.S. Sulphur in soil, plant and human nutrition. Proc. Natl. Acad. Sci. India Sect. B Biol. Sci. 2018, 88, 429–434. [Google Scholar] [CrossRef]
  40. Triantafyllidis, V.; Kosma, A.K.C.; Patakas, A. An assessment of the soil quality index in a Mediterranean agro ecosystem. Emir. J. Food 2018, 30, 1042–1050. [Google Scholar] [CrossRef]
  41. Fredes, S.N.; Ruiz, L.Á.; Recio, J.A. Modeling Brix and pH in wine grapes from satellite images in Colchagua Valley, Chile. Agriculture 2021, 11, 697. [Google Scholar] [CrossRef]
  42. Jaafar, W.M.; Wan Mohd Jaafar, W.S.; Abdul Maulud, K.N.; Muhmad Kamarulzaman, A.M.; Raihan, A.; Md Sah, S.; Ahmad, A.; Saad, S.N.M.; Mohd Azmi, A.T.; Jusoh Syukri, N.K.A.; et al. The influence of deforestation on land surface temperature—A case ttudy of perak and Kedah, Malaysia. Forests 2020, 11, 670. [Google Scholar] [CrossRef]
  43. Darra, N.; Psomiadis, E.; Kasimati, A.; Anastasiou, A.; Anastasiou, E.; Fountas, S. Remote and proximal sensing-derived spectral indices and biophysical variables for spatial variation determination in vineyards. Agronomy 2021, 11, 741. [Google Scholar] [CrossRef]
  44. Tagarakis, A.; Liakos, V.; Fountas, S.; Koundouras, S.; Gemtos, T.A. Management zones delineation using fuzzy clustering techniques in grapevines. Precis. Agric. 2013, 14, 18–39. [Google Scholar] [CrossRef]
  45. Ahmed, N.; Ahmad, F.; Abid, M.; Ullah, M.A. Impact of zinc fertilization on gas exchange characteristics and water use efficiency of cotton crop under arid environment. Pak. J. Bot. 2009, 41, 2189–2197. [Google Scholar]
  46. Saboor, A.; Ali, M.A.; Ahmed, N.; Skalicky, M.; Danish, S.; Fahad, S.; Hassan, F.; Hassan, M.M.; Brestic, M.; Sabagh, A.E.; et al. Biofertilizer-based zinc application enhances maize growth, gas exchange attributes, and yield in zinc-deficient soil. Agriculture 2021, 11, 310. [Google Scholar] [CrossRef]
  47. Ashraf, M.; Harris, P.J.C. Photosynthesis under stressful environments: An overview. Photosynthetica 2013, 51, 163–190. [Google Scholar] [CrossRef]
  48. De Oliveira, A.C.; Pegoraro, C.; Viana, V.E. The Future of Rice Demand: Quality Beyond Productivity, 1st ed.; Springer International Publishing: Cham, Switzerland, 2020; p. 541. [Google Scholar] [CrossRef]
  49. Ramalho, J.C.; Zlatev, Z.S.; Leitão, A.E.; Pais, I.P.; Fortunato, A.S.; Lidon, F.C. Moderate water stress causes different stomatal and non-stomatal changes in the photosynthetic functioning of Phaseolus vulgaris L. genotypes. Plant Biol. 2013, 16, 133–146. [Google Scholar] [CrossRef] [PubMed]
  50. Anwar, S.; Khalilzadeh, R.; Khan, S.; Zaib-un-Nisa; Bashir, R.; Pirzad, A.; Malik, A. Mitigation of Drought Stress and Yield Improvement in Wheat by Zinc Foliar Spray Relates to Enhanced Water Use Efficiency and Zinc Contents. Int. J. Plant Prod. 2021, 15, 377–389. [Google Scholar] [CrossRef]
  51. Chen, H.; Song, L.; Zhang, H.; Wang, J.; Wang, Y.; Zhang, H. Cu and Zn Stress affect the photosynthetic and antioxidative systems of alfalfa (Medicago sativa). J. Plant Interact 2022, 17, 695–704. [Google Scholar] [CrossRef]
  52. Greenough, J.D.; Longerich, H.P.; Jackson, S.E. Element fingerprinting of Okanagan Valley wines using ICP-MS: Relationships between wine composition vineyard and wine colour. Aust. J. Grape Wine Res. 1997, 3, 75–83. [Google Scholar] [CrossRef]
  53. Garrido, A.; Vos, R.C.H.D.; Conde, A.; Cunha, A. Light microclimate-driven changes at transcriptional level in photosynthetic grape berry tissues- photosynthetic grape berry tissues. Plants 2021, 10, 1769. [Google Scholar] [CrossRef] [PubMed]
  54. Poudel, P.; Connolly, E.L.; Kwasniewski, M.; Lambert, J.D.; Di Gioia, F. Zinc biofortification via fertigation using alternative zinc sources and concentration levels in pea, radish, and sunflower microgreens. Sci. Hortic. 2024, 331, 113098. [Google Scholar] [CrossRef]
  55. Almanza-Merchán, P.J.; Fischer, G.; Cely, G.E. R The importance of pruning to the quality of wine grape fruits (Vitis vinifera L.) cultivated under high-altitude tropical conditions. Agron. Colomb. 2014, 32, 341–348. [Google Scholar] [CrossRef]
  56. Ryugo, K. Ciencia y arte: Cosechas de enredaderas y arbustos frutales. In Fruticultura, 1st ed.; AGT, Ed.; AGT Editor: Mexico City, Mexico, 1993. [Google Scholar]
  57. Rolle, L.; Torchio, F.; Giacosa, S.; Segade, S.R. Berry density and size as factors related to the physicochemical characteristics of Muscat Hamburg table grapes (Vitis vinifera L.). Food Chem. 2015, 173, 105–113. [Google Scholar] [CrossRef] [PubMed]
  58. Cakmak, I.; McLaughlin, M.J.; White, P. Zinc for better crop production and human health. Plant Soil 2017, 411, 1–4. [Google Scholar] [CrossRef]
  59. Li, H.; Lian, C.; Zhang, Z.; Shi, X.; Zhang, Y. Agro-biofortification of iron and zinc in edible portion of crops for the global south. Adv. Plants Agric. Res. 2017, 6, 52–54. [Google Scholar] [CrossRef][Green Version]
  60. Dhaliwal, S.S.; Sharma, V.; Verma, V.; Singh, H.; Singh, P.; Kaur, K. Biofortification of linseed (Linum usitatissimum L.) through mineral and chelated forms of Zn on yield, Zn accumulation, quality parameters, efficiency indices and economic under low Zn soils of North-Western India. J. Plant Nutr. 2023, 46, 356–369. [Google Scholar] [CrossRef]
  61. Trad, M.; Boge, M.; Hamda, H.B.; Renard, C.M.G.C.; Harbi, M. The Glucose-Fructose ratio of wild Tunisian grapes. Cogent Food Agric. 2017, 3, 1374156. [Google Scholar] [CrossRef]
  62. Daccak, D.; Lidon, F.C.; Pessoa, C.C.; Luís, I.C.; Coelho, A.R.F.; Marques, A.C.; Ramalho, J.C.; Silva, M.J.; Rodrigues, A.P.; Guerra, M.; et al. Enrichment of grapes with zinc-efficiency of foliar fertilization with ZnSO4 and ZnO and implications on winemaking. Plants 2022, 11, 1399. [Google Scholar] [CrossRef] [PubMed]
  63. Pessoa, M.F.; Scotti-Campos, P.; Pais, I.; Feteiro, A.; Canuto, D.; Simões, M.; Pelica, J.; Pataco, I.; Ribeiro, V.; Reboredo, F.H.; et al. Nutritional profile of the Portuguese cabbage (Brassica oleracea L var. costata) and its relationship with the elemental soil analysis. Emir. J. Food Agric. 2016, 28, 381–388. [Google Scholar] [CrossRef]
  64. Luís, I.C.; Lidon, F.C.; Pessoa, C.C.; Marques, A.C.; Coelho, A.R.F.; Simões, M.; Patanita, M.; Dôres, J.; Ramalho, J.C.; Silva, M.M.; et al. Zinc enrichment in two contrasting genotypes of Triticum aestivum L. grains: Interactions between edaphic conditions and foliar fertilizers. Plants 2021, 10, 204. [Google Scholar] [CrossRef] [PubMed]
  65. Rodier, J.; Legube, B.; Merlet, N. L’Analyse de l’Eau, 9th ed.; Dunod: Paris, France, 2009; p. 1579. ISBN 9782100072460. [Google Scholar]
  66. Piper, A.M. A graphic procedure in the geochemical interpretation of water analyses. EOS Trans. Am. Geophys. Union 1944, 25, 914–923. [Google Scholar]
  67. Rodrigues, W.P.; Martins, M.Q.; Fortunato, A.S.; Rodrigues, A.P.; Semedo, J.N.; Simões-Costa, M.C.; Pais, I.P.; Leitão, A.E.; Colwel, F.; Goulão, L.; et al. Long-term elevated air [CO2] strengthens photosynthetic functioning and mitigates the impact of supra-optimal temperatures in tropical Coffea arabica and C. canephora species. Glob. Change Biol. 2016, 22, 415–431. [Google Scholar] [CrossRef] [PubMed]
  68. Semedo, J.N.; Rodrigues, A.P.; Lidon, F.C.; Pais, I.P.; Marques, I.; Gouveia, D.; Armengaud, J.; Silva, M.J.; Martins, S.; Semedo, M.C.; et al. Intrinsic non-stomatal resilience to drought of the photosynthetic apparatus in Coffea spp. is strengthened by elevated air [CO2]. Tree Physiol. 2020, 41, 708–727. [Google Scholar] [CrossRef] [PubMed]
  69. Huang, W.; Zhang, S.B.; Cao, K.F. Cyclic electron flow plays an important role in photoprotection of tropical trees illuminated at temporal chilling temperature. Plant Cell Physiol. 2011, 52, 297–305. [Google Scholar] [CrossRef] [PubMed]
  70. Klughammer, C.; Schreiber, U. Complementary PS II quantum yields calculated from simple fluorescence parameters measured by PAM fluorometry and the Saturation Pulse method. PAM Appl. Notes 2008, 1, 27–35. [Google Scholar]
  71. Kramer, D.M.; Johnson, G.; Kiirats, O.; Edwards, G.E. New flux parameters for the determination of QA redox state and excitation fluxes. Photosynth. Res. 2004, 79, 209–218. [Google Scholar] [CrossRef] [PubMed]
  72. Krause, G.H.; Jahns, P. Non-photochemical energy dissipation determined by chlorophyll fluorescence quenching: Characterization and function. In Chlorophyll a Fluorescence: A Signature of Photosynthesis; Springer: Dordrecht, The Netherlands, 2004; pp. 463–495. [Google Scholar] [CrossRef]
  73. Schreiber, U. Pulse-Amplitude-Modulation (PAM) fluorometry and saturation pulse method: An overview. In Chlorophyll a Fluorescence: A Signature of Photosynthesis; Springer: Dordrecht, The Netherlands, 2004; pp. 279–319. [Google Scholar]
  74. Pessoa, C.C.; Lidon, F.C.; Coelho, A.R.F.; Caleiro, J.C.; Marques, A.C.; Luís, I.C.; Kullberg, J.C.; Legoinha, P.; Brito, M.d.G.; Ramalho, J.C.; et al. Calcium biofortification of Rocha pears, tissues accumulation and physicochemical implications in fresh and heat-treated fruits. Sci. Hortic. 2021, 277, 109834. [Google Scholar] [CrossRef]
Disclaimer/Publisher’s Note: The statements, opinions and data contained in all publications are solely those of the individual author(s) and contributor(s) and not of MDPI and/or the editor(s). MDPI and/or the editor(s) disclaim responsibility for any injury to people or property resulting from any ideas, methods, instructions or products referred to in the content.

Article Metrics

Citations

Article Access Statistics

Multiple requests from the same IP address are counted as one view.