Chemical Characterization and Enantioselective Analysis of Tagetes filifolia Lag. Essential Oil and Crude Extract
Abstract
1. Introduction
2. Results
2.1. Chemical Composition of EO from T. filifolia
2.2. Enantioselective Analysis of the Essential Oil of Tagetes filifolia Lag.
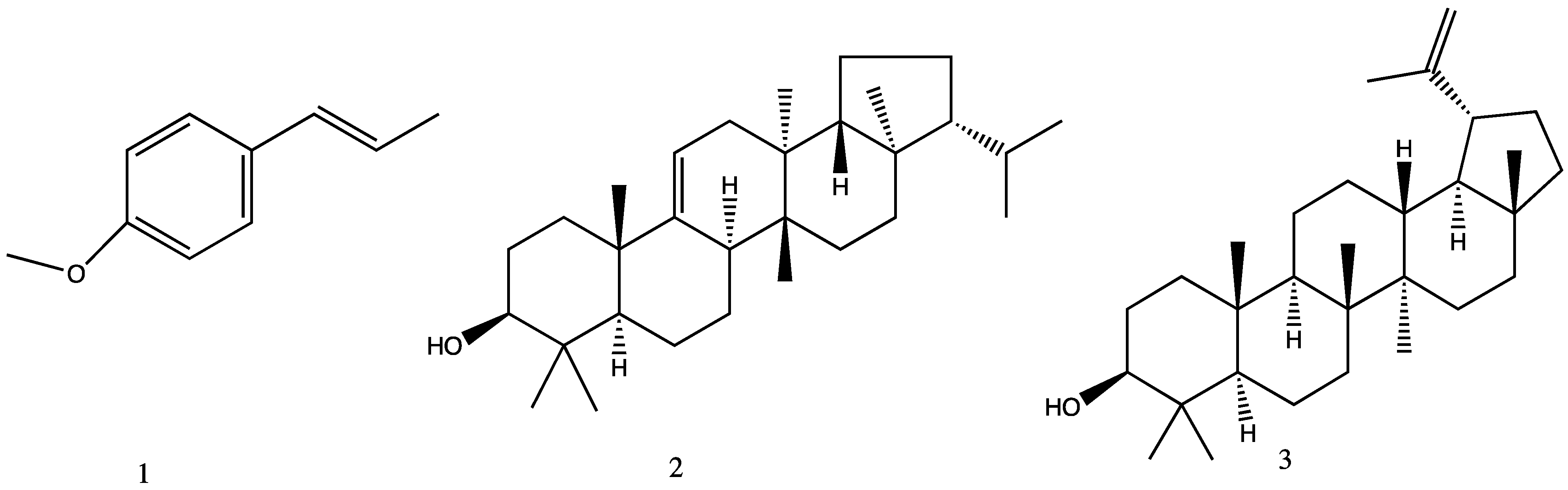
2.3. Characterization of Compounds
3. Discussion
4. Materials and Methods
4.1. General Information
4.2. Plant Material
4.3. Essential Oil Extraction
4.4. Qualitative and Quantitative Analyses
4.5. Enantioselective Analysis
4.6. Extraction and Isolation of Secondary Metabolites
5. Conclusions
Author Contributions
Funding
Data Availability Statement
Acknowledgments
Conflicts of Interest
References
- Carvajal Rojas, L.; Uribe, Y.H.; Sierra Martínez, N.; Rueda Niño, D. Preliminary phytochemical analysis of Cupatá (Strychnos schultesiana krukoff) stems and seeds. Colomb. For. 2009, 12, 161–170. [Google Scholar] [CrossRef]
- Christaki, E.; Bonos, E.; Giannenas, I.; Florou-Paneri, P. Aromatic Plants as a Source of Bioactive Compounds. Agriculture 2012, 2, 228–243. [Google Scholar] [CrossRef]
- Armas, K.; Rojas, J.; Peña, J. Características botánicas, distribución geográfica y propiedades biológicas de varias especies del género Tagetes L. (Asteraceae). Rev. Fac. Farm. 2003, 55, 26–41. [Google Scholar]
- Zapata-Maldonado, C.I.; Serrato-Cruz, M.A.; Ibarra, E.; Naranjo-Puente, B. Chemical compounds of essential oil of Tagetes species of Ecuador. Ecorfan J. Repub. Nicar. 2019, 1, 19–26. [Google Scholar]
- Gladikostić, N.; Ikonić, B.; Teslić, N.; Zeković, Z.; Božović, D.; Putnik, P.; Bursać Kovačević, D.; Pavlić, B. Essential Oils from Apiaceae, Asteraceae, Cupressaceae and Lamiaceae Families Grown in Serbia: Comparative Chemical Profiling with In Vitro Antioxidant Activity. Plants 2023, 12, 745. [Google Scholar] [CrossRef] [PubMed]
- De la Torre, L.; Navarrete, H.; Muriel, M.P.; Macía, M.J.; Balslev, H. Enciclopedia de las Plantas Útiles del Ecuador, 1st ed.; Herbario QCA de la Escuela de Ciencias Biológicas de la Pontificia Universidad Católica del Ecuador: Quito, Ecuador, 2008; pp. 1–949. [Google Scholar]
- Aguirre, Z.; Yaguana, C.; Merino, B. Plantas Medicinales de la Zona Andina de la Provincia de Loja, 1st ed.; EdiLOJA: Loja, Ecuador, 2014; pp. 1–193. [Google Scholar]
- Vera, J.; Giuliano, A.; Schiavinato, J.; Guitérrez, D.G. Plantas Cultivadas de la Argentina: Asteráceas-Compuestas, 1st ed.; Editorial Hemisferio Sur S.A: Buenos Aires, Argentina, 2017; pp. 192–217. [Google Scholar]
- Sánchez-Humala, R.; Ruiz-Briceño, A.M.; Ruiz-Burneo, C.G.; Ruiz-Castro, G.M.; Sairitupac-Paredes, D.R.; Aguirre, L.G.; Salazar-Granara, A.; Loja-Herrera, B. Antioxidant activity and phytochemical screening of capitula of Tagetes filifolia Lag. or “pacha anís”. Horiz. Med. 2017, 17, 18–24. [Google Scholar] [CrossRef]
- Camarillo, G.; Ortega, L.D.; Serrato, M.A.; Rodriguez, H. Biological activity of Tagetes filifolia (Asteraceae) on Trialeurodes vaporariorum (Hemiptera: Aleyrodidae). Rev. Colomb. Entomol. 2009, 35, 177–184. [Google Scholar] [CrossRef]
- Adams, R. Identification of Essential Oil Components by Gas Chromatography/Mass Spectrometry, 4th ed.; Allured Publishing Corporation: Carol Stream, IL, USA, 2007. [Google Scholar]
- NIST Chemistry WebBook. Available online: https://webbook.nist.gov/chemistry (accessed on 10 March 2024).
- AbouZid, S. Use of Nuclear Magnetic Resonance Spectroscopy in Analysis of Fennel Essential Oil. Nat. Prod. Sci. 2016, 22, 30–34. [Google Scholar] [CrossRef]
- Chakravarty, A.K.; Masuda, K.; Suzuki, H.; Ageta, H. Unambiguous Assignment of 13C Chemical Shifts of Some Hopane and Migrated Hopane Derivatives by 20 NMR. Tetrahedron 1994, 50, 2865–2876. [Google Scholar] [CrossRef]
- Farruque, R.; Chowdhury, R.; Sohrab, M.H.; Hasan, C.M.; Rashid, M.A. Triterpene Constituents from the Leaves of Melicope indica. ChemInform 2003, 34, 518–520. [Google Scholar] [CrossRef]
- Ruiz, S.; Malagón, O.; Zaragoza, T.; Valarezo, E. Composition of the Essential Oils of Artemisia sodiroi Hieron., Siparuna eggersii Hieron., Tagetes filifolia Lag. and Clinopodium nubigenum (Kunth) Kuntze from Loja Ecuador. J. Essent. Oil-Bear. Plants 2013, 13, 676–691. [Google Scholar] [CrossRef]
- Armas, K.; Rojas, J.; Rojas, L.; Morales, A. Comparative Study of the Chemical Composition of Essential Oils of Five Tagetes Species Collected in Venezuela. Nat. Prod. Commun. 2012, 7, 1225–1226. [Google Scholar] [CrossRef] [PubMed]
- Moghaddam, M.; Omidbiagi, R.; Sefidkon, F. Changes in Content and Chemical Composition of Tagetes minuta Oil at Various Harvest Times. J. Essent. Oil Res. 2011, 19, 18–20. [Google Scholar] [CrossRef]
- De Feo, V.; Soria, E.U.; Della Porta, G.; Soria, R.U.; Senatore, F. Composition of the essential oil of Tagetes filifolia Lag. Flavour Fragr. J. 1998, 13, 145–147. [Google Scholar] [CrossRef]
- Marotti, M.; Piccaglia, R.; Biavati, B.; Marotti, I. Characterization and Yield Evaluation of Essential Oils from Different Tagetes Species. J. Essent. Oil Res. 2011, 16, 440–444. [Google Scholar] [CrossRef]
- Senatore, F.; De Feo, V. Chemical composition of the essential oil from Tagetes mandonii Sch. Bip. (Asteraceae). Flav. Fragr. J. 1999, 14, 3234. [Google Scholar] [CrossRef]
- Bruneton, J. Pharmacognosy, Phytochemistry, Medicinal Plants, 2nd ed.; Lavoisier Pub.: Paris, France, 1999. [Google Scholar]
- Hussain, A.I.; Anwar, F.; Sherazi, S.T.H.; Przybylski, R. Chemical composition, antioxidant and antimicrobial activities of basil (Ocimum basilicum) essential oils depends on seasonal variations. Food Chem. 2008, 108, 986–995. [Google Scholar] [CrossRef] [PubMed]
- Moghaddam, M.; Mehdizadeh, L. Chemistry of essential oils and factors influencing their Constituents. In Soft Chemistry and Food Fermentation, 1st ed.; Grumezescu, A., Holban, A., Eds.; Elsevier: Amsterdam, The Netherlands, 2017; Volume 3, pp. 379–419. [Google Scholar]
- Cumbicus, C.; Malagón, O.; Cumbicus, N.; Gilardoni, G. The Leaf Essential Oil of Gynoxys buxifolia (Kunth) Cass. (Asteraceae): A Good Source of Furanoeremophilane and Bakkenolide A. Plants 2023, 12, 1323. [Google Scholar] [CrossRef] [PubMed]
- Sonstrom, R.E.; Cannon, D.M.; Neill, J.L. Chiral Analysis of Linalool, an Important Natural Fragrance and Flavor Compound, by Molecular Rotational Resonance Spectroscopy. Symmetry 2022, 14, 917. [Google Scholar] [CrossRef]
- Ramos-Hryb, A.B.; Cunha, M.P.; Kaster, M.P.; Rodrigues, A.L.S. Natural polyphenols and terpenoids for depression treatment: Current status. Stud. Nat. Prod. Chem. 2018, 55, 181–221. [Google Scholar]
- Maldonado, Y.E.; Malagón, O.; Cumbicus, N.; Gilardoni, G. A New Essential Oil from the Leaves of Gynoxys rugulosa Muschl. (Asteraceae) Growing in Southern Ecuador: Chemical and Enantioselective Analyses. Plants 2023, 12, 849. [Google Scholar] [CrossRef] [PubMed]
- Peerakam, N.; Phoowiang, P.; Chansakaow, S.; Thongpoon, C.; Hadpech, S. Chemical profiling revealed a dominant compound trans-anethole and biological evaluation of an edible plant clausena harmandiana containing essential oil. Rec. Nat. Prod. 2022, 16, 118–127. [Google Scholar] [CrossRef]
- Huang, Y.; Zhao, J.; Zhou, L.; Wang, J.; Gong, Y.; Chen, X.; Guo, Z.; Wang, Q. Antifungal activity of the essential oil of illicium verum fruit and its main component trans-anethole. Molecule 2010, 15, 7558–7569. [Google Scholar] [CrossRef] [PubMed]
- Freire, R.S.; Morais, S.M.; Catunda, F.E.; Pinheiro, D. Synthesis and antioxidant, anti-inflammatory and gastroprotector activities of anethole and related compounds. Bioorg. Med. Chem. 2005, 13, 4353–4358. [Google Scholar] [CrossRef] [PubMed]
- Wal, P.; Wal, A.; Sharma, G.; Rai, A.K. Biological activities of lupeol. Syst. Rev. Pharm. 2011, 2, 96–103. [Google Scholar] [CrossRef]
- Liu, K.; Zhang, L.; Xie, M.; Deng, M.; Chen, H.; Song, J.; Long, J.; Li, X.; Luo, J. Lupeol and its derivatives as anticancer and anti-inflammatory agents: Molecular mechanisms and therapeutic efficacy. Pharmacol. Res. 2021, 164, 105373. [Google Scholar] [CrossRef] [PubMed]




| 5% Phenyl-Methylpolysiloxane | |||||||
|---|---|---|---|---|---|---|---|
| N° | Compounds a | RI b | RI c | % * | Type | CF | MM (Da) |
| 1 | Carene <δ-3-> | 1011 | 1008 | 0.15 ± 0.08 | MH | C10H16 | 200.32 |
| 2 | Cymene <ρ-> | 1029 | 1020 | 0.08 ± 0.1 | MH | C10H14 | 134.11 |
| 3 | Cyclohexanedione <3-methyl-1,2-> | 1092 | 1085 | 0.01 ± 0.03 | OC | C7H10O2 | 126.07 |
| 4 | Linalool | 1106 | 1105 | 0.21 ± 0.26 | MHO | C10H18O | 154.14 |
| 5 | Methyl chavicol | 1209 | 1195 | 5.81 ± 0.85 | MHO | C10H12O | 148.08 |
| 6 | Thymol, methyl ether | 1239 | 1232 | 0.14 ± 0.05 | OC | C11H16O | 164.12 |
| 7 | Cis-Anethole | 1266 | 1282 | 0.13 ± 0.06 | MHO | C10H12O | 148.08 |
| 8 | Acetanisole <ο-> | 1275 | 1291 | 0.26 ± 0.27 | OC | C9H10O2 | 150.07 |
| 9 | Tridecene <1-> | 1294 | 1290 | 8.66 ± 0.01 | OC | C13H26 | 182.20 |
| 10 | Trans-Anethole | 1300 | 1282 | 55.57 ± 0.83 | MHO | C10H12O | 148.08 |
| 11 | Octanediol <1,8-> | 1331 | 1339 | 0.06 ± 0.04 | OC | C8H18O2 | 146.13 |
| 12 | Copaene <α-> | 1380 | 1374 | 0.11 ± 0.02 | SH | C15H24 | 204.19 |
| 13 | Modheph-2-ene | 1386 | 1382 | 0.26 ± 0.04 | SH | C15H24 | 204.19 |
| 14 | Isocomene <α-> | 1393 | 1387 | 0.19 ± 0.03 | SH | C15H24 | 204.19 |
| 15 | Methyl eugenol | 1415 | 1403 | 0.38 ± 0.07 | OC | C11H14O2 | 204.19 |
| 16 | Cymene <2,5-dimethoxy-p-> | 1423 | 1424 | 2.03 ± 0.11 | OC | C12H18O2 | 194.13 |
| 17 | Bergamotene <α-trans-> | 1437 | 1432 | 0.08 ± 0.01 | SH | C15H24 | 204.19 |
| 18 | Elemene <γ-> | 1447 | 1434 | 0.08 ± 0.01 | SH | C15H24 | 204.19 |
| 19 | Farnesene <(E)-β- | 1457 | 1454 | 0.10 ± 0.08 | SH | C15H24 | 204.19 |
| 20 | Ionone <methyl-γ-> | 1484 | 1480 | 1.67 ± 0.19 | OC | C14H22O | 206.16 |
| 21 | Germacrene D | 1488 | 1480 | 1.54 ± 0.32 | SH | C15H24 | 204.19 |
| 22 | Bicyclogermacrene | 1504 | 1500 | 0.28 ± 0.02 | SH | C15H24 | 204.19 |
| 23 | Farnesene < (E,E)-α-> | 1510 | 1505 | 0.53 ± 0.14 | SH | C15H24 | 204.19 |
| 24 | Bisabolene <β-> | 1515 | 1505 | 1.82 ± 0.31 | SH | C15H24 | 204.19 |
| 25 | Zonarene | 1528 | 1528 | 0.18 ± 0.10 | SH | C15H24 | 204.19 |
| 26 | Cameroonan-7-α-ol | 1535 | 1510 | 0.02 ± 0.04 | SHO | C15H26O | 222.20 |
| 27 | Nerolidol <(E)-> | 1571 | 1561 | 0.43 ± 0.02 | SH0 | C15H26O | 222.20 |
| 28 | Ionone <dimethyl-> | 1578 | 1565 | 0.19 ± 0.03 | SHO | C15H24O | 220.19 |
| 29 | (-)-Spathulenol | 1592 | 1577 | 1.68 ± 0.11 | SHO | C15H24O | 220.19 |
| 30 | Oplopenone <β-> | 1596 | 1607 | 0.24 ± 0.01 | SHO | C15H24O | 220.19 |
| 31 | Copaen-4-α-ol <β-> | 1600 | 1590 | 0.20 ± 0.05 | SHO | C15H24O | 220.19 |
| 32 | Ledol | 1608 | 1602 | 0.24 ± 0.02 | SHO | C15H26O | 222.20 |
| 33 | Humulene epoxide II | 1621 | 1608 | 0.24 ± 0.02 | SHO | C15H24O | 220.19 |
| 34 | Isobornyl isobutanoate <6-hydroxy-> | 1638 | 1643 | 0.34 ± 0.03 | OC | C14H24O3 | 240.17 |
| 35 | Vulgarone B | 1642 | 1651 | 0.17 ± 0.01 | SHO | C15H22O | 218.16 |
| 36 | Allohimachalol | 1644 | 1661 | 0.17 ± 0.02 | SHO | C15H24O | 220.19 |
| 37 | Cadinol <epi-α-> | 1660 | 1638 | 0.44 ± 0.17 | SHO | C15H26O | 222.20 |
| 38 | Cadinol <α-> | 1674 | 1673 | 0.5 ± 0.13 | SHO | C15H26O | 222.20 |
| 39 | Khusinol | 1688 | 1680 | 0.03 ± 0.01 | SHO | C15H24O | 220.19 |
| 40 | Propyl chromone <2-> | 1702 | 1706 | 0.58 ± 0.05 | OC | C12H12O2 | 188.08 |
| 41 | Humulene <14-hydroxy-α-> | 1718 | 1713 | 0.3 ± 0.02 | SHO | C15H24O | 220.19 |
| 42 | Longifolol <iso-> | 1726 | 1728 | 0.14 ± 0.03 | SHO | C15H26O | 222.20 |
| 43 | Amorpha-4,9-diene <7,14-anhydro-> | 1763 | 1755 | 0.11 ± 0.02 | SHO | C15H22O | 218.16 |
| 44 | Neophytadiene | 1841 | 1836 | 3.45 ± 0.88 | OC | C20H38 | 278.30 |
| 45 | 2-Pentadecanone,6,10,14-trimethyl- | 1852 | 1847 | 0.32 ± 0.04 | OC | C18H36O | 268.28 |
| 46 | Hexadecanoic acid, methyl ester | 1938 | 1926 | 0.10 ± 0.02 | OC | C17H34O2 | 270.26 |
| 47 | Catalponol <epi-> | 1968 | 1988 | 0.67 ± 0.07 | SHO | C15H18O2 | 230.13 |
| 48 | Pseudo phytol <(6Z,10Z)-> | 1977 | 1988 | 0.44 ± 0.07 | OC | C20H36O | 292.28 |
| 49 | Palmitic Acid, TMS derivative | 2048 | 2047 | 0.09 ± 0.05 | OC | C19H40O2 | 300.30 |
| 50 | Methyl linoleate | 2107 | 2095 | 0.27 ± 0.22 | OC | C19H34O2 | 294.25 |
| Monoterpenes Hydrocarbonated | 0.23 | ||||||
| Monoterpenes Oxygenated | 61.72 | ||||||
| Sesquiterpenes Hydrocarbonated | 6.81 | ||||||
| Sesquiterpenes Oxygenated | 5.77 | ||||||
| Others | 18.8 | ||||||
| Total | 93.33 | ||||||
| N. | Enantiomers | 2,3-Diethyl-6-tert-Butyldimethylsilyl-β-Cyclodextrin | ||
|---|---|---|---|---|
| RI a | Enantiomeric Distribution (%) | Enantiomeric Excess (%) | ||
| 1 | (R)-(−)-linalool | 1317 | 56.81 | 13.62 |
| 2 | (S)-(+)-linalool | 1319 | 43.19 | |
| 3 | Ionone <methyl-γ-> | 1601 | 90.55 | 81.10 |
| 4 | Ionone <methyl-γ-> | 1608 | 9.45 | |
Disclaimer/Publisher’s Note: The statements, opinions and data contained in all publications are solely those of the individual author(s) and contributor(s) and not of MDPI and/or the editor(s). MDPI and/or the editor(s) disclaim responsibility for any injury to people or property resulting from any ideas, methods, instructions or products referred to in the content. |
© 2024 by the authors. Licensee MDPI, Basel, Switzerland. This article is an open access article distributed under the terms and conditions of the Creative Commons Attribution (CC BY) license (https://creativecommons.org/licenses/by/4.0/).
Share and Cite
Morocho, V.; Chamba, A.; Pozo, P.; Montalván, M.; Suárez, A.I. Chemical Characterization and Enantioselective Analysis of Tagetes filifolia Lag. Essential Oil and Crude Extract. Plants 2024, 13, 1921. https://doi.org/10.3390/plants13141921
Morocho V, Chamba A, Pozo P, Montalván M, Suárez AI. Chemical Characterization and Enantioselective Analysis of Tagetes filifolia Lag. Essential Oil and Crude Extract. Plants. 2024; 13(14):1921. https://doi.org/10.3390/plants13141921
Chicago/Turabian StyleMorocho, Vladimir, Anghela Chamba, Paulo Pozo, Mayra Montalván, and Alírica I. Suárez. 2024. "Chemical Characterization and Enantioselective Analysis of Tagetes filifolia Lag. Essential Oil and Crude Extract" Plants 13, no. 14: 1921. https://doi.org/10.3390/plants13141921
APA StyleMorocho, V., Chamba, A., Pozo, P., Montalván, M., & Suárez, A. I. (2024). Chemical Characterization and Enantioselective Analysis of Tagetes filifolia Lag. Essential Oil and Crude Extract. Plants, 13(14), 1921. https://doi.org/10.3390/plants13141921

