The Concurrent Application of Phosphogypsum and Modified Biochar as Soil Amendments Influence Sandy Soil Quality and Wheat Productivity
Abstract
1. Introduction
2. Materials and Methods
2.1. Experimental Location and Design
2.2. Materials
2.3. Agricultural Practices
2.4. Soil and Plant Analysis
2.5. Statistical Analyses
3. Results
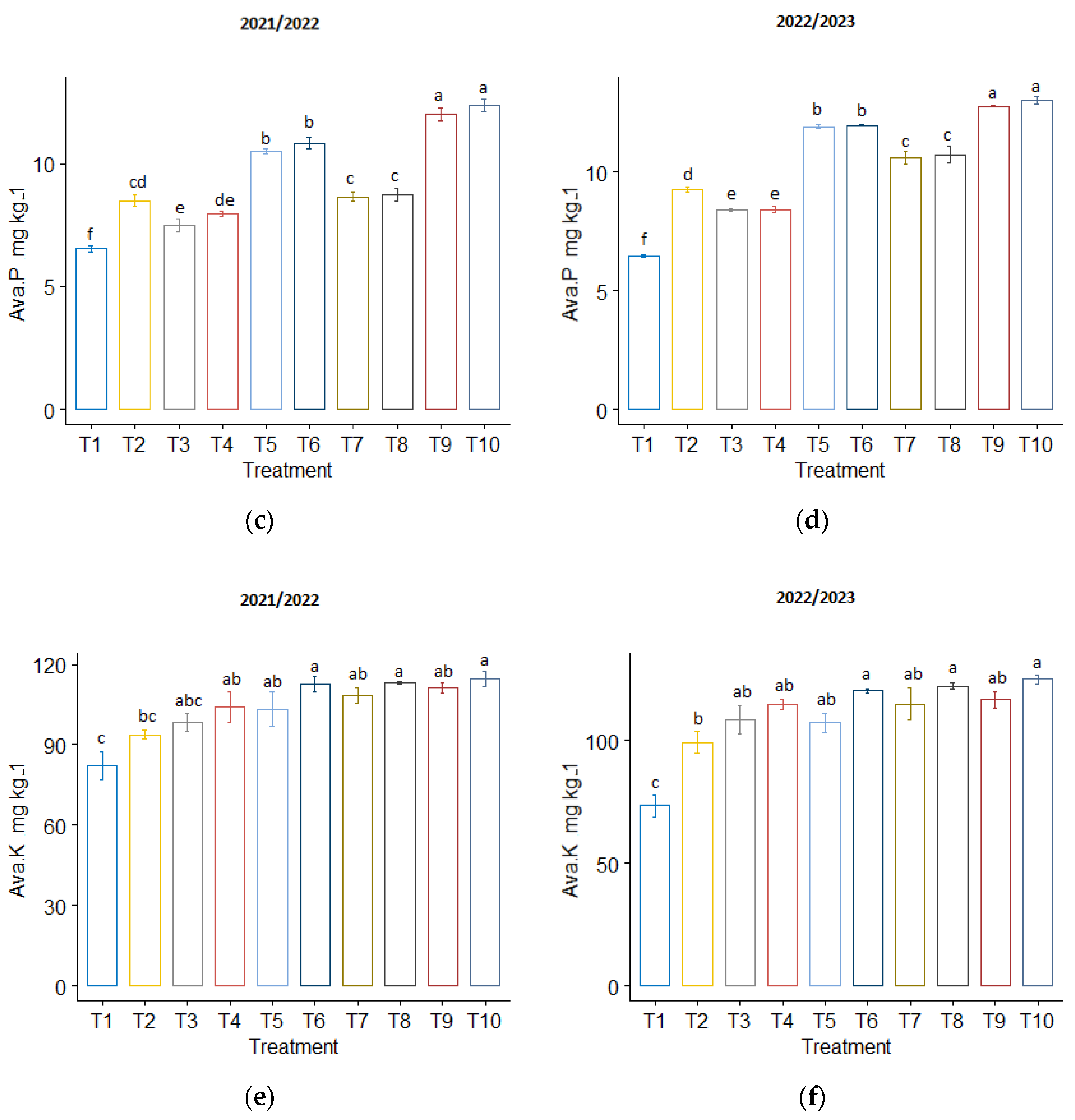
3.1. Soil Quality
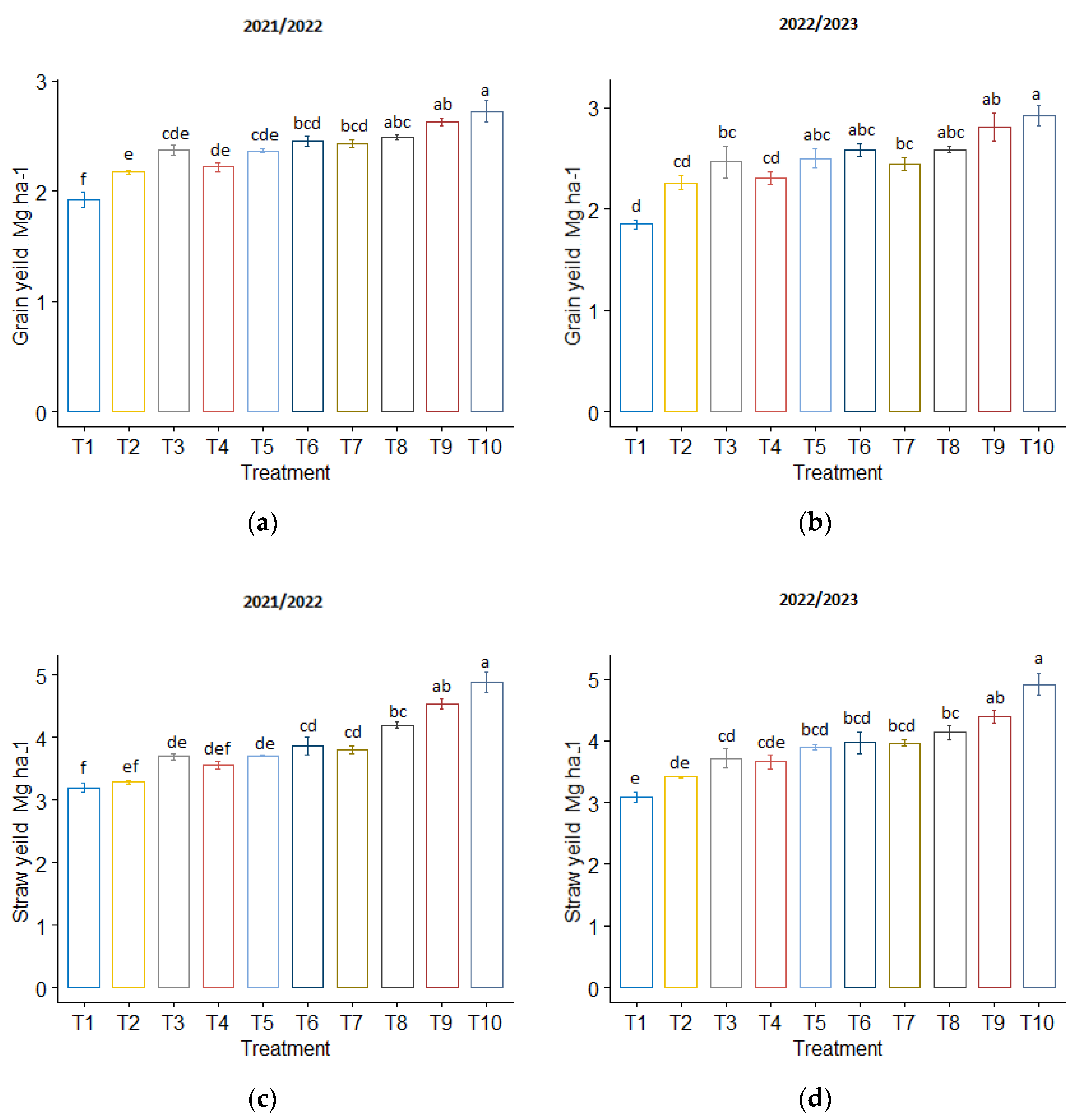
3.2. Wheat Yields
3.3. The Correlation Analyses
4. Discussion
5. Conclusions
Author Contributions
Funding
Data Availability Statement
Acknowledgments
Conflicts of Interest
References
- Adejumo, I.O.; Adebiyi, O.A. Agricultural Solid Wastes: Causes, Effects, and Effective Management. In Strategies of Sustainable Solid Waste Management; Saleh, H.M., Ed.; IntechOpen: Rijeka, Croatia, 2020; Chapter 10; ISBN 978-1-83962-560-2. [Google Scholar] [CrossRef]
- Elkhouly, A.A.; Omran, E.S.E.; Negm, A. Introduction. In Management and Development of Agricultural and Natural Resources in Egypt’s Deserts; Springer Water: Cham, Switzerland, 2021; pp. 3–14. [Google Scholar] [CrossRef]
- Pliaka, M.; Gaidajis, G. Potential Uses of Phosphogypsum: A Review. J. Environ. Sci. Health Part A 2022, 57, 746–763. [Google Scholar] [CrossRef]
- Liu, Y.; Zhang, Q.; Chen, Q.; Qi, C.; Su, Z.; Huang, Z. Utilisation of Water-Washing Pre-Treated Phosphogypsum for Cemented Paste Backfill. Minerals 2019, 9, 175. [Google Scholar] [CrossRef]
- El-Kammar, A.; Surour, A.; El-Sharkawi, M.; Khozyem, H. Mineral Resources in Egypt (II): Non-Metallic Ore Deposits. In The Geology of Egypt; Hamimi, Z., El-Barkooky, A., Martínez Frías, J., Fritz, H., Abd El-Rahman, Y., Eds.; Springer International Publishing: Cham, Switzerland, 2020; pp. 589–634. ISBN 978-3-030-15265-9. [Google Scholar] [CrossRef]
- El Rafie, S.H.; El Ghetany, H.; Abuel Aila, R.R.; GABER, M.H. Treatment and Purification of Phosphogypsum. Egypt. J. Chem. 2019, 62, 243–250. [Google Scholar] [CrossRef]
- Wang, C.-Q.; Wang, Z.-Y.; Huang, D.-M.; Huang, Q.-C.; Chen, Y.; Zhang, H.; Shui, Z.-H. Recovery and Recycling Core of Phosphogypsum: Characteristic Hazardous Elements Risk Assessment and Analysis. Process Saf. Environ. Prot. 2023, 170, 738–756. [Google Scholar] [CrossRef]
- Saadaoui, E.; Ghazel, N.; Ben Romdhane, C.; Massoudi, N. Phosphogypsum: Potential Uses and Problems—A Review. Int. J. Environ. Stud. 2017, 74, 558–567. [Google Scholar] [CrossRef]
- Hentati, O.; Abrantes, N.; Caetano, A.L.; Bouguerra, S.; Gonçalves, F.; Römbke, J.; Pereira, R. Phosphogypsum as a Soil Fertilizer: Ecotoxicity of Amended Soil and Elutriates to Bacteria, Invertebrates, Algae and Plants. J. Hazard. Mater. 2015, 294, 80–89. [Google Scholar] [CrossRef]
- Vicensi, M.; Müller, M.M.L.; Kawakami, J.; Nascimento, R.D.; Michalovicz, L.; Lopes, C. Do Rates and Splitting of Phosphogypsum Applications Influence the Soil and Annual Crops in a No-Tillage System? Rev. Bras. Cienc. Solo 2016, 40. [Google Scholar] [CrossRef]
- Michalovicz, L.; Müller, M.M.L.; Tormena, C.A.; Dick, W.A.; Vicensi, M.; Meert, L. Soil Chemical Attributes, Nutrient Uptake and Yield of No-Till Crops as Affected by Phosphogypsum Doses and Parceling in Southern Brazil. Arch. Agron. Soil Sci. 2019, 65, 385–399. [Google Scholar] [CrossRef]
- Hasana, H.; Beyene, S.; Kifilu, A.; Kidanu, S. Effect of Phosphogypsum Amendment on Chemical Properties of Sodic Soils at Different Incubation Periods. Appl. Environ. Soil Sci. 2022, 2022, 9097994. [Google Scholar] [CrossRef]
- Khalifa, T.; Elbagory, M.; Omara, A.E.-D. Salt Stress Amelioration in Maize Plants through Phosphogypsum Application and Bacterial Inoculation. Plants 2021, 10, 2024. [Google Scholar] [CrossRef]
- Robinson, M.J.C.; Dhar, A.; Naeth, M.A.; Nichol, C.K. Phosphogypsum Stack Reclamation Using Soil Amendments and Short-Rotational Woody Species. Land 2022, 11, 2003. [Google Scholar] [CrossRef]
- Mahmoud, E.; Ghoneim, A.M.; Seleem, M.; Zuhair, R.; El-Refaey, A.; Khalafallah, N. Phosphogypsum and Poultry Manure Enhance Diversity of Soil Fauna, Soil Fertility, and Barley (Hordeum aestivum L.) Grown in Calcareous Soils. Sci. Rep. 2023, 13, 9944. [Google Scholar] [CrossRef]
- Robinson, M.J.C.; Dhar, A.; Naeth, M.A.; Nichol, C.K. Phosphogypsum Impacts on Soil Chemical Properties and Vegetation Tissue Following Reclamation. Environ. Monit. Assess. 2023, 195, 769. [Google Scholar] [CrossRef]
- da Costa, C.H.M.; Filho, A.C.A.C.; Crusciol, C.A.C.; Soratto, R.P.; Guimarães, T.M. Intensive Annual Crop Production and Root Development in a Tropical Acid Soil under Long-Term No-till and Soil-Amendment Management. Crop Pasture Sci. 2018, 69, 488–505. [Google Scholar] [CrossRef]
- Bossolani, J.W.; Crusciol, C.A.C.; Garcia, A.; Moretti, L.G.; Portugal, J.R.; Rodrigues, V.A.; Fonseca, M.d.C.d.; Calonego, J.C.; Caires, E.F.; Amado, T.J.C.; et al. Long-Term Lime and Phosphogypsum Amended-Soils Alleviates the Field Drought Effects on Carbon and Antioxidative Metabolism of Maize by Improving Soil Fertility and Root Growth. Front. Plant Sci. 2021, 12, 650296. [Google Scholar] [CrossRef]
- Karbout, N.; Zriba, Z.; Dhaouidi, L.; Moussa, M. Effects of Phosphogypsum Amendment on Soil Physical Properties and Erodibility in the Sandy Soil of South Tunisia. In Water-Energy-Nexus in the Ecological Transition: Natural-Based Solutions, Advanced Technologies and Best Practices for Environmental Sustainability; Naddeo, V., Choo, K.-H., Ksibi, M., Eds.; Springer International Publishing: Cham, Switzerland, 2022; pp. 347–350. ISBN 978-3-031-00808-5. [Google Scholar] [CrossRef]
- Bossolani, J.W.; Crusciol, C.A.C.; Moretti, L.G.; Garcia, A.; Portugal, J.R.; Bernart, L.; Vilela, R.G.; Caires, E.F.; Amado, T.J.C.; Calonego, J.C.; et al. Improving Soil Fertility with Lime and Phosphogypsum Enhances Soybean Yield and Physiological Characteristics. Agron. Sustain. Dev. 2022, 42, 26. [Google Scholar] [CrossRef]
- Mahmoud, E.; Ghoneim, A.; El Baroudy, A.; Abd El-Kader, N.; Aldhumri, S.A.; Othman, S.; El Khamisy, R. Effects of Phosphogypsum and Water Treatment Residual Application on Key Chemical and Biological Properties of Clay Soil and Maize Yield. Soil Use Manag. 2021, 37, 494–503. [Google Scholar] [CrossRef]
- Rodrigues, C.I.D.; Brito, L.M.; Nunes, L.J.R. Soil Carbon Sequestration in the Context of Climate Change Mitigation: A Review. Soil Syst. 2023, 7, 64. [Google Scholar] [CrossRef]
- Chen, Z.; Kumar, A.; Brookes, P.C.; Kuzyakov, Y.; Luo, Y.; Xu, J. Three Source-Partitioning of CO2 Fluxes Based on a Dual-Isotope Approach to Investigate Interactions between Soil Organic Carbon, Glucose and Straw. Sci. Total Environ. 2022, 811, 152163. [Google Scholar] [CrossRef]
- Dai, Y.; Zheng, H.; Jiang, Z.; Xing, B. Combined Effects of Biochar Properties and Soil Conditions on Plant Growth: A Meta-Analysis. Sci. Total Environ. 2020, 713, 136635. [Google Scholar] [CrossRef]
- Guo, M.; Song, W.; Tian, J. Biochar-Facilitated Soil Remediation: Mechanisms and Efficacy Variations. Front. Environ. Sci. 2020, 8, 521512. [Google Scholar] [CrossRef]
- Khan, S.; Irshad, S.; Mehmood, K.; Hasnain, Z.; Nawaz, M.; Rais, A.; Gul, S.; Wahid, M.A.; Hashem, A.; Abd_Allah, E.F.; et al. Biochar Production and Characteristics, Its Impacts on Soil Health, Crop Production, and Yield Enhancement: A Review. Plants 2024, 13, 166. [Google Scholar] [CrossRef]
- Kameyama, K.; Miyamoto, T.; Iwata, Y. The Preliminary Study of Water-Retention Related Properties of Biochar Produced from Various Feedstock at Different Pyrolysis Temperatures. Materials 2019, 12, 1732. [Google Scholar] [CrossRef]
- Gao, S.; Hoffman-Krull, K.; Bidwell, A.L.; DeLuca, T.H. Locally Produced Wood Biochar Increases Nutrient Retention and Availability in Agricultural Soils of the San Juan Islands, USA. Agric. Ecosyst. Environ. 2016, 233, 43–54. [Google Scholar] [CrossRef]
- Jeffery, S.; Memelink, I.; Hodgson, E.; Jones, S.; van de Voorde, T.F.J.; Martijn Bezemer, T.; Mommer, L.; van Groenigen, J.W. Initial Biochar Effects on Plant Productivity Derive from N Fertilization. Plant Soil 2017, 415, 435–448. [Google Scholar] [CrossRef]
- Ali, M.M.E. Effect of Plant Residues Derived Biochar on Fertility of a New Reclaimed Sandy Soil and Growth of Wheat (Triticum aestivum L.). Egypt. J. Soil Sci. 2018, 58, 93–103. [Google Scholar] [CrossRef]
- El-Naggar, A.; Lee, S.S.; Awad, Y.M.; Yang, X.; Ryu, C.; Rizwan, M.; Rinklebe, J.; Tsang, D.C.W.; Ok, Y.S. Influence of Soil Properties and Feedstocks on Biochar Potential for Carbon Mineralization and Improvement of Infertile Soils. Geoderma 2018, 332, 100–108. [Google Scholar] [CrossRef]
- Adekiya, A.O.; Agbede, T.M.; Aboyeji, C.M.; Dunsin, O.; Simeon, V.T. Effects of Biochar and Poultry Manure on Soil Characteristics and the Yield of Radish. Sci. Hortic. 2019, 243, 457–463. [Google Scholar] [CrossRef]
- Gao, S.; DeLuca, T.H.; Cleveland, C.C. Biochar Additions Alter Phosphorus and Nitrogen Availability in Agricultural Ecosystems: A Meta-Analysis. Sci. Total Environ. 2019, 654, 463–472. [Google Scholar] [CrossRef]
- Purakayastha, T.J.; Bera, T.; Bhaduri, D.; Sarkar, B.; Mandal, S.; Wade, P.; Kumari, S.; Biswas, S.; Menon, M.; Pathak, H.; et al. A Review on Biochar Modulated Soil Condition Improvements and Nutrient Dynamics Concerning Crop Yields: Pathways to Climate Change Mitigation and Global Food Security. Chemosphere 2019, 227, 345–365. [Google Scholar] [CrossRef]
- Zhang, Q.; Song, Y.; Wu, Z.; Yan, X.; Gunina, A.; Kuzyakov, Y.; Xiong, Z. Effects of Six-Year Biochar Amendment on Soil Aggregation, Crop Growth, and Nitrogen and Phosphorus Use Efficiencies in a Rice-Wheat Rotation. J. Clean. Prod. 2020, 242, 118435. [Google Scholar] [CrossRef]
- Pham, D.T.; Nguyen, H.N.T.; Van Nguyen, L.; Tran, O.V.; Nguyen, A.V.; Dinh, L.P.T.; Vu, N. Van Sandy Soil Reclamation Using Biochar and Clay-Rich Soil. J. Ecol. Eng. 2021, 22, 26–35. [Google Scholar] [CrossRef]
- Sim, D.H.H.; Tan, I.A.W.; Lim, L.L.P.; Hameed, B.H. Encapsulated Biochar-Based Sustained Release Fertilizer for Precision Agriculture: A Review. J. Clean. Prod. 2021, 303, 127018. [Google Scholar] [CrossRef]
- Hussain, M.; Farooq, M.; Nawaz, A.; Al-Sadi, A.M.; Solaiman, Z.M.; Alghamdi, S.S.; Ammara, U.; Ok, Y.S.; Siddique, K.H.M. Biochar for Crop Production: Potential Benefits and Risks. J. Soils Sediments 2017, 17, 685–716. [Google Scholar] [CrossRef]
- Zhu, X.; Chen, B.; Zhu, L.; Xing, B. Effects and Mechanisms of Biochar-Microbe Interactions in Soil Improvement and Pollution Remediation: A Review. Environ. Pollut. 2017, 227, 98–115. [Google Scholar] [CrossRef]
- Ghorbani, M.; Konvalina, P.; Neugschwandtner, R.W.; Soja, G.; Bárta, J.; Chen, W.; Amirahmadi, E. How do different feedstocks and pyrolysis conditions effectively change biochar modification scenarios? A critical analysis of engineered biochars under H2O2 oxidation. Energy Convers. Manag. 2024, 300, 117924. [Google Scholar] [CrossRef]
- Pariyar, P.; Kumari, K.; Jain, M.K.; Jadhao, P.S. Evaluation of Change in Biochar Properties Derived from Different Feedstock and Pyrolysis Temperature for Environmental and Agricultural Application. Sci. Total Environ. 2020, 713, 136433. [Google Scholar] [CrossRef]
- Zhao, B.; O’Connor, D.; Zhang, J.; Peng, T.; Shen, Z.; Tsang, D.C.W.; Hou, D. Effect of Pyrolysis Temperature, Heating Rate, and Residence Time on Rapeseed Stem Derived Biochar. J. Clean. Prod. 2018, 174, 977–987. [Google Scholar] [CrossRef]
- Qayyum, M.F.; Haider, G.; Iqbal, M.; Hameed, S.; Ahmad, N.; ur Rehman, M.Z.; Majeed, A.; Rizwan, M.; Ali, S. Effect of Alkaline and Chemically Engineered Biochar on Soil Properties and Phosphorus Bioavailability in Maize. Chemosphere 2021, 266, 128980. [Google Scholar] [CrossRef]
- O’Connor, D.; Peng, T.; Li, G.; Wang, S.; Duan, L.; Mulder, J.; Cornelissen, G.; Cheng, Z.; Yang, S.; Hou, D. Sulfur-Modified Rice Husk Biochar: A Green Method for the Remediation of Mercury Contaminated Soil. Sci. Total Environ. 2018, 621, 819–826. [Google Scholar] [CrossRef]
- Yang, X.; Zhang, S.; Ju, M.; Liu, L. Preparation and Modification of Biochar Materials and their Application in Soil Remediation. Appl. Sci. 2019, 9, 1365. [Google Scholar] [CrossRef]
- Mihoub, A.; Amin, A.E.-E.A.Z.; Motaghian, H.R.; Saeed, M.F.; Naeem, A. Citric Acid (CA)–Modified Biochar Improved Available Phosphorus Concentration and Its Half-Life in a P-Fertilized Calcareous Sandy Soil. J. Soil Sci. Plant Nutr. 2022, 22, 465–474. [Google Scholar] [CrossRef]
- He, X.; Hong, Z.; Shi, R.; Cui, J.; Lai, H.; Lu, H.; Xu, R. The Effects of H2O2- and HNO3/H2SO4-Modified Biochars on the Resistance of Acid Paddy Soil to Acidification. Environ. Pollut. 2022, 293, 118588. [Google Scholar] [CrossRef]
- Dey, S.; Purakayastha, T.J.; Sarkar, B.; Rinklebe, J.; Kumar, S.; Chakraborty, R.; Datta, A.; Lal, K.; Shivay, Y.S. Enhancing Cation and Anion Exchange Capacity of Rice Straw Biochar by Chemical Modification for Increased Plant Nutrient Retention. Sci. Total Environ. 2023, 886, 163681. [Google Scholar] [CrossRef]
- Sajjadi, B.; Zubatiuk, T.; Leszczynska, D.; Leszczynski, J.; Chen, W.Y. Chemical Activation of Biochar for Energy and Environmental Applications: A Comprehensive Review. Rev. Chem. Eng. 2019, 35, 777–815. [Google Scholar] [CrossRef]
- El-Sharkawy, M.; El-Naggar, A.H.; AL-Huqail, A.A.; Ghoneim, A.M. Acid-Modified Biochar Impacts on Soil Properties and Biochemical Characteristics of Crops Grown in Saline-Sodic Soils. Sustainability 2022, 14, 8190. [Google Scholar] [CrossRef]
- Akanji, M.A.; Usman, A.R.A.; Al-Wabel, M.I. Influence of Acidified Biochar on CO2–C Efflux and Micronutrient Availability in an Alkaline Sandy Soil. Sustainability 2021, 13, 5196. [Google Scholar] [CrossRef]
- Huang, W.-H.; Lee, D.-J.; Huang, C. Modification on Biochars for Applications: A Research Update. Bioresour. Technol. 2021, 319, 124100. [Google Scholar] [CrossRef]
- Hafeez, A.; Pan, T.; Tian, J.; Cai, K. Modified Biochars and Their Effects on Soil Quality: A Review. Environments 2022, 9, 60. [Google Scholar] [CrossRef]
- Mosa, A.A.; El-Ghamry, A.; Al-Zahrani, H.; Selim, E.M.; El-Khateeb, A. Chemically modified biochar derived from cotton stalks: Characterization and assessing its potential for heavy metals removal from wastewater. Environ. Biodivers. Soil Secur. 2017, 1, 33–45. [Google Scholar] [CrossRef]
- International Biochar Initiative (IBI). Standardized Product Definition and Product Testing Guidelines for Biochar That Is Used in Soil (aka IBI Biochar Standards) Version 2.1. BI Biochar Stand 2015, 1–61. Available online: https://biochar-international.org/wp-content/uploads/2020/06/IBI_Biochar_Standards_V2.1_Final2.pdf (accessed on 1 May 2020).
- Wang, T.; Arbestain, C.M.; Hedley, M.; Bishop, P. Predicting phosphorus bioavailability from high-ash biochars. Plant Soil 2012, 357, 173–187. [Google Scholar] [CrossRef]
- Pansu, M.; Gautheyrou, J. Handbook of Soil Analysis: Mineralogical, Organic and Inorganic Methods; Springer: Berlin/Heidelberg, Germany, 2006; pp. 1–993. ISBN 9783540312116. [Google Scholar] [CrossRef]
- Carter, M.R.; Gregorich, E.G. Soil Sampling and Methods of Analysis; CRC Press: Boca Raton, FL, USA, 2007; ISBN 9781420005271. [Google Scholar]
- R Core Team. A Language and Environment for Statistical Computing; R Foundation for Statistical Computing: Vienna, Austria, 2010; Available online: https://cran.r-project.org/manuals.html (accessed on 19 April 2022).
- Kassambara, A.; Mundt, F. Factoextra: Extract and Visualize the Results of Multivariate Data Analyses. R Package Version 1.0.7. The Comprehensive R Archive Network. 2023. Available online: https://CRAN.R-project.org/package=factoextra (accessed on 10 January 2024).
- Contreras, M.; Pérez-López, R.; Gázquez, M.J.; Morales-Flórez, V.; Santos, A.; Esquivias, L.; Bolívar, J.P. Fractionation and Fluxes of Metals and Radionuclides during the Recycling Process of Phosphogypsum Wastes Applied to Mineral CO2 Sequestration. Waste Manag. 2015, 45, 412–419. [Google Scholar] [CrossRef]
- Churka Blum, S.; Caires, E.F.; Alleoni, L.R.F. Lime and Phosphogypsum Application and Sulfate Retention in Subtropical Soils under No-till System. J. Soil Sci. Plant Nutr. 2013, 13, 279–300. [Google Scholar] [CrossRef]
- da Costa, C.H.M.; Crusciol, C.A.C. Long-Term Effects of Lime and Phosphogypsum Application on Tropical No-till Soybean–Oat–Sorghum Rotation and Soil Chemical Properties. Eur. J. Agron. 2016, 74, 119–132. [Google Scholar] [CrossRef]
- AbouRizk, J.S.; Dhar, A.; Naeth, M.A. Sandy Soil with Phosphogypsum Improves Hydraulic Conductivity and Leachate Chemical Properties for Reclamation. Environ. Sustain. 2024, 7, 85–91. [Google Scholar] [CrossRef]
- Pan, S.-Y.; Dong, C.-D.; Su, J.-F.; Wang, P.-Y.; Chen, C.-W.; Chang, J.-S.; Kim, H.; Huang, C.-P.; Hung, C.-M. The Role of Biochar in Regulating the Carbon, Phosphorus, and Nitrogen Cycles Exemplified by Soil Systems. Sustainability 2021, 13, 5612. [Google Scholar] [CrossRef]
- Kabir, E.; Kim, K.-H.; Kwon, E.E. Biochar as a Tool for the Improvement of Soil and Environment. Front. Environ. Sci. 2023, 11, 1324533. [Google Scholar] [CrossRef]
- Leng, L.; Xu, X.; Wei, L.; Fan, L.; Huang, H.; Li, J.; Lu, Q.; Li, J.; Zhou, W. Biochar stability assessment by incubation and modelling: Methods, drawbacks and recommendations. Sci. Total Environ. 2019, 664, 11–23. [Google Scholar] [CrossRef] [PubMed]
- Palansooriya, K.N.; Wong, J.T.F.; Hashimoto, Y.; Huang, L.; Rinklebe, J.; Chang, S.X.; Bolan, N.; Wang, H.; Ok, Y.S. Response of microbial communities to biochar-amended soils: A critical review. Biochar 2019, 1, 3–22. [Google Scholar] [CrossRef]
- Gross, A.; Bromm, T.; Glaser, B. Soil Organic Carbon Sequestration after Biochar Application: A Global Meta-Analysis. Agronomy 2021, 11, 2474. [Google Scholar] [CrossRef]
- Jatav, H.S.; Rajput, V.D.; Minkina, T.; Singh, S.K.; Chejara, S.; Gorovtsov, A.; Barakhov, A.; Bauer, T.; Sushkova, S.; Mandzhieva, S. Sustainable approach and safe use of biochar and its possible consequences. Sustainability 2021, 13, 10362. [Google Scholar] [CrossRef]
- Ameloot, N.; Graber, E.R.; Verheijen, F.G.; De Neve, S. Interactions between biochar stability and soil organisms: Review and research needs. Eur. J. Soil Sci. 2013, 64, 379–390. [Google Scholar] [CrossRef]
- Zhang, Y.; Wang, S.; Feng, D.; Gao, J.; Dong, L.; Zhao, Y.; Sun, S.; Huang, Y.; Qin, Y. Functional Biochar Synergistic Solid/Liquid-Phase CO2 Capture: A Review. Energy Fuels 2022, 36, 2945–2970. [Google Scholar] [CrossRef]
- Khadem, A.; Raiesi, F.; Besharati, H.; Khalaj, M.A. The effects of biochar on soil nutrients status, microbial activity and carbon sequestration potential in two calcareous soils. Biochar 2021, 3, 105–116. [Google Scholar] [CrossRef]
- Rogovska, N.; Laird, D.A.; Rathke, S.J.; Karlen, D.L. Biochar impact on Midwestern Mollisols and maize nutrient availability. Geoderma 2014, 230–231, 340–347. [Google Scholar] [CrossRef]
- Zhang, H.; Chen, C.; Gray, E.M.; Boyd, S.E.; Yang, H.; Zhang, D. Roles of Biochar in Improving Phosphorus Availability in Soils: A Phosphate Adsorbent and a Source of Available Phosphorus. Geoderma 2016, 276, 1–6. [Google Scholar] [CrossRef]
- Li, H.; Li, Y.; Xu, Y.; Lu, X. Biochar Phosphorus Fertilizer Effects on Soil Phosphorus Availability. Chemosphere 2020, 244, 125471. [Google Scholar] [CrossRef]
- Huang, M.; Fan, L.; Chen, J.; Jiang, L.; Zou, Y. Continuous Applications of Biochar to Rice: Effects on Nitrogen Uptake and Utilization. Sci. Rep. 2018, 8, 11461. [Google Scholar] [CrossRef] [PubMed]
- Li, S.; Chen, G. Thermogravimetric, thermochemical, and infrared spectral characterization of feedstocks and biochar derived at different pyrolysis temperatures. Waste Manag. 2018, 78, 198–207. [Google Scholar] [CrossRef]
- Liao, W.; Thomas, S.C. Biochar particle size and post-pyrolysis mechanical processing affect soil pH, water retention capacity, and plant performance. Soil Syst. 2019, 3, 14. [Google Scholar] [CrossRef]
- Sahin, O.; Taskin, M.B.; Kaya, E.C.; Atakol, O.; Emir, E.; Inal, A.; Gunes, A. Effect of acid modification of biochar on nutrient availability and maize growth in a calcareous soil. Soil Use Manag. 2017, 33, 447–456. [Google Scholar] [CrossRef]






| Parameters | Value | |
|---|---|---|
| Particle size distribution (%) | Sand | 64.21 |
| Silt | 7.56 | |
| Clay | 28.23 | |
| The soil texture | loamy sand | |
| The soil electrical conductivity (EC, dS m⁻1) | 3.56 | |
| Soil pH | 7.56 | |
| Bulk density (Mg/m3) | 1.52 | |
| Soil water content (%) | 27.48 | |
| Soil organic carbon content (g/kg) | 0.709 | |
| Cation exchange capacity (CEC, cmolc/kg) | 7.51 | |
| Available N (mg/kg) | 9.29 | |
| Available P (mg/kg) | 6.45 | |
| Available K (mg/kg) | 79.13 | |
| Parameters | Rice Straw | Cotton Stalks | ||
|---|---|---|---|---|
| RB | RMB | CB | CMB | |
| pH | 7.30 | 5.51 | 7.51 | 5.38 |
| EC (dS m−1) | 1.43 | 0.89 | 1.56 | 1.23 |
| C% | 63.8 | 48.1 | 76.9 | 61.7 |
| N% | 1.54 | 1.38 | 2.08 | 1.92 |
| P% | 0.557 | 0.438 | 0.634 | 0.616 |
| K% | 1.32 | 1.13 | 6.78 | 4.02 |
| CEC (cmol+ kg−1) | 37.61 | 55.93 | 41.77 | 60.95 |
| Seasons | 2021/2022 | 2022/2023 | ||||||||
|---|---|---|---|---|---|---|---|---|---|---|
| Parameters | df | SS | MS | F Value | p Value | SS | MS | F Value | p Value | |
| SOC (g kg−1) | Treatment | 9 | 0.6448 | 0.07164 | 60.20 | 1.59 × 10−12 *** | 0.9721 | 0.10802 | 145.968 | 3 × 10−16 *** |
| Residual | 20 | 0.0238 | 0.00119 | 0.0148 | 0.00074 | |||||
| CEC (cmolc kg−1) | Treatment | 9 | 126.06 | 14.007 | 21.81 | 1.84 × 10−8 *** | 139.75 | 15.528 | 231.72 | <2 × 10−16 *** |
| Residual | 20 | 12.85 | 0.642 | 1.34 | 0.067 | |||||
| N (mg kg−1) | Treatment | 9 | 548.1 | 60.9 | 155.95 | <2 × 10−16 *** | 701.5 | 77.95 | 292.60 | <2 × 10−16 *** |
| Residual | 20 | 7.8 | 0.39 | 5.3 | 0.27 | |||||
| P (mg kg−1) | Treatment | 9 | 104.39 | 11.598 | 86.76 | 4.77 × 10−14 *** | 126.93 | 14.104 | 184.90 | <2 × 10−16 *** |
| Residual | 20 | 2.67 | 0.134 | 1.53 | 0.076 | |||||
| K (mg kg−1) | Treatment | 9 | 2896.8 | 321.9 | 7.50 | 9.48 × 10−5 *** | 6134 | 681.5 | 15.30 | 3.83 × 10−7 *** |
| Residual | 20 | 858.7 | 42.9 | 891 | 44.5 | |||||
| Seasons | 2021/2022 | 2022/2023 | ||||||||
|---|---|---|---|---|---|---|---|---|---|---|
| Parameters | df | SS | MS | F Value | p Value | SS | MS | F Value | p Value | |
| G.Y (Mg ha−1) | Treatment | 9 | 1.425 | 0.15833 | 21.50 | 2.08 × 10−8 *** | 2.4198 | 0.26887 | 10.65 | 7.08 × 10−6 *** |
| Residual | 20 | 0.1473 | 0.00736 | 0.5049 | 0.02524 | |||||
| S.Y (Mg ha−1) | Treatment | 9 | 7.577 | 0.8419 | 40.32 | 6.99 × 10−11 *** | 6.97 | 0.7745 | 19.34 | 5.26 × 10−8 *** |
| Residual | 20 | 0.418 | 0.0209 | 0.801 | 0.0401 | |||||
Disclaimer/Publisher’s Note: The statements, opinions and data contained in all publications are solely those of the individual author(s) and contributor(s) and not of MDPI and/or the editor(s). MDPI and/or the editor(s) disclaim responsibility for any injury to people or property resulting from any ideas, methods, instructions or products referred to in the content. |
© 2024 by the authors. Licensee MDPI, Basel, Switzerland. This article is an open access article distributed under the terms and conditions of the Creative Commons Attribution (CC BY) license (https://creativecommons.org/licenses/by/4.0/).
Share and Cite
Elbagory, M.; Shaker, E.M.; El-Nahrawy, S.; Omara, A.E.-D.; Khalifa, T.H. The Concurrent Application of Phosphogypsum and Modified Biochar as Soil Amendments Influence Sandy Soil Quality and Wheat Productivity. Plants 2024, 13, 1492. https://doi.org/10.3390/plants13111492
Elbagory M, Shaker EM, El-Nahrawy S, Omara AE-D, Khalifa TH. The Concurrent Application of Phosphogypsum and Modified Biochar as Soil Amendments Influence Sandy Soil Quality and Wheat Productivity. Plants. 2024; 13(11):1492. https://doi.org/10.3390/plants13111492
Chicago/Turabian StyleElbagory, Mohssen, Eman M. Shaker, Sahar El-Nahrawy, Alaa El-Dein Omara, and Tamer H. Khalifa. 2024. "The Concurrent Application of Phosphogypsum and Modified Biochar as Soil Amendments Influence Sandy Soil Quality and Wheat Productivity" Plants 13, no. 11: 1492. https://doi.org/10.3390/plants13111492
APA StyleElbagory, M., Shaker, E. M., El-Nahrawy, S., Omara, A. E.-D., & Khalifa, T. H. (2024). The Concurrent Application of Phosphogypsum and Modified Biochar as Soil Amendments Influence Sandy Soil Quality and Wheat Productivity. Plants, 13(11), 1492. https://doi.org/10.3390/plants13111492

