Comprehensive Evaluation and Selection of 192 Maize Accessions from Different Sources
Abstract
1. Introduction
2. Results
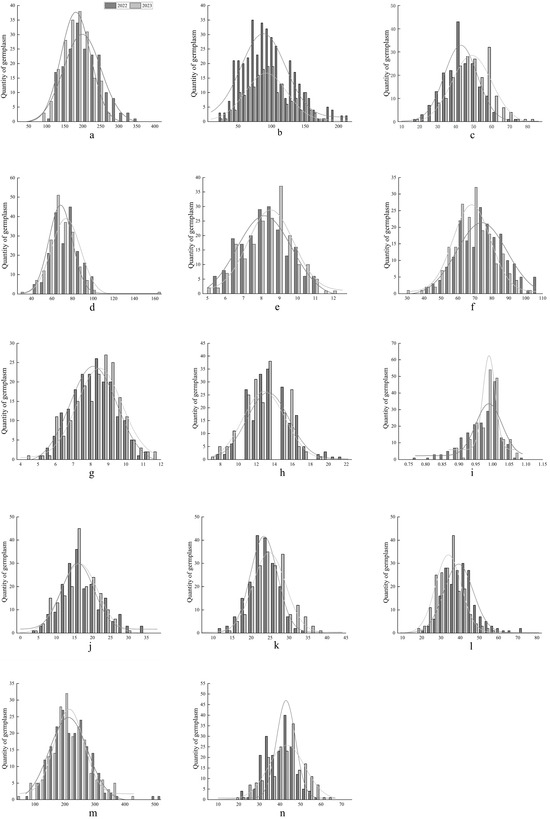
2.1. Distribution Pattern of Phenotypic Traits of Maize Accessions from Different Sources
2.2. Diversity Analysis of Phenotypic Traits in Maize Accessions
2.3. Analysis of Variance (ANOVA) for Phenotypic Traits of Maize Accessions
2.4. Correlation Analysis of Maize Accessions for Various Phenotypic Traits
2.5. Principal Component Analysis of Maize Accessions
2.6. Cluster Analysis of Maize Accessions
3. Discussion
3.1. Diversity of Phenotypic Traits in Maize Promotes Selection of Accessions
3.2. Comprehensive Evaluation Is Conducive to the Selection of Superior Germplasm
3.3. Selection of Accessions Lays the Foundation for Selection
4. Materials and Methods
4.1. Materials and Sources
4.2. Experimental Design
4.3. Research Area Climate Characteristics
4.3.1. Irrigation and Fertiliser Application in the Trial Area
4.3.2. Comparison of April–October Climate in the Test Area for Two Years
4.4. Project Measurement
4.5. Data Analysis
4.5.1. Shannon–Weaver Diversity Index
4.5.2. Trait Analysis
Descriptive Statistics
Frequency Distribution
Correlation Analysis
Analysis of Variance (ANOVA)
Principal Component Analysis (PCA)
Cluster Analysis
Accession and Test Site Markers
5. Conclusions
Supplementary Materials
Author Contributions
Funding
Data Availability Statement
Conflicts of Interest
References
- Li, Z.; Zhang, H. Progress in the study of small blotch disease of maize. Plant Prot. 2023, 49, 80–88. [Google Scholar]
- Zhao, P.; Wen, Z.; Dong, W.; Zhu, Y.; Ma, C. Current Status and Development Prospects of Maize Resource Research in China. China Seed Ind. 2019, 10, 8–11. [Google Scholar]
- Yong, H.; Zhang, D.; Wang, J.; Li, M.; Liu, W.; Zhang, X.; Zhao, H.; Weng, J.; Hao, Z.; Bai, L. Broadening the genetic base of Chinese maize heterotic pools with exotic germplasm. Crop Sci. 2013, 53, 1907–1916. [Google Scholar] [CrossRef]
- Zhang, P.; Guan, J.J.; Huang, Q.M.; Yang, X.H.; Zhang, J.H.; Kang, Z.K. Genetic diversity and genetic structure of maize inbred lines from yunnan revealed by SNP chips. Agric. Biotechnol. 2020, 51, 2082–2089. [Google Scholar] [CrossRef]
- He, Y.; Tang, Y.; Fan, L.; Yang, Y. Study on the variation of drought for maize in southwestern China in the recent 50 years. J. Southwest Univ. Nat. Sci. Ed. 2016, 38, 34–42. [Google Scholar]
- Liu, D.; Wang, X.; Li, W.; Li, J.; Tan, W.; Xing, W. Genetic Diversity Analysis of the Phenotypic Traits of 215 Sugar Beet Germplasm Resources. Sugar Tech. 2022, 24, 1790–1800. [Google Scholar] [CrossRef]
- Shi, R.; Zhu, Z.; Shi, N.; Li, Y.; Dang, J.; Wang, Y.; Ma, Y.; Xu, X.; Liu, T. Phenotypic diversity analysis in elaeagnus angustifolia populations in Gansu province China. Forests 2023, 14, 1143. [Google Scholar] [CrossRef]
- Xin, Y.; Wu, X.; Qiao, B.; Su, L.; Xie, S.; Ling, P. Evaluation on the phenotypic diversity of Calamansi (Citrus microcarpa) germplasm in Hainan island. Sci. Rep. 2022, 12, 371. [Google Scholar] [CrossRef] [PubMed]
- Liu, Z.; Gao, C.; Li, J.; Miao, Y.; Cui, K. Phenotypic diversity analysis and superior family selection of industrial raw material forest species-Pinus yunnanensis Franch. Forests 2022, 13, 618. [Google Scholar] [CrossRef]
- Malik, H.N.; Malik, S.I.; Mozamil, H.; Chughtai, S.U.R.; Javed, H.I. Genetic correlation among various quantitative characters in maize (Zea mays L.) hybrids. J. Agric. Soc. Sci. 2005, 3, 262–265. [Google Scholar]
- Rahman, S.; Mia, M.M.; Quddus, T.; Hassan, L.; Haque, M.A. Assessing genetic diversity of maize (Zea mays L.) genotypes for agronomic traits. Res. Agric. Livest. Fish. 2015, 2, 53–61. [Google Scholar] [CrossRef]
- Duncan, W.G. Leaf angles, leaf area, and canopy photosynthesis 1. Crop Sci. 1971, 11, 482–485. [Google Scholar] [CrossRef]
- Pepper, G.E.; Pearce, R.B.; Mock, J.J. Leaf orientation and yield of maize 1. Crop Sci. 1977, 17, 883–886. [Google Scholar] [CrossRef]
- Pendleton, J.W.; Smith, G.E.; Winter, S.R. Field investigations of the relationships of leaf angle in corn (Zea mays L.) to grain yield and apparent photosynthesis 1. Agron. J. 1968, 60, 422–424. [Google Scholar] [CrossRef]
- Lambert, R.J.; Johnson, R.R. Leaf angle, tassel morphology, and the performance of maize hybrids 1. Crop Sci. 1978, 18, 499–502. [Google Scholar] [CrossRef]
- Chen, D. Research on Features of Stalks and Roots of Mazie Varieties with Different Lodging Resistance. Master’s Thesis, Jilin Agricultural University, Changchun, China, 2015. [Google Scholar]
- Toler, J.E.; Murdock, E.C.; Stapleton, G.S.; Wallace, S.U. Corn leaf orientation effects on light interception, intraspecific competition, and grain yields. J. Prod. Agric. 1999, 12, 396–399. [Google Scholar] [CrossRef]
- Yang, H.; Chai, Q.; Yin, W.; Hu, F.; Qin, A.; Fan, Z.; Yu, A.; Zhao, C.; Fan, H. Yield photosynthesis and leaf anatomy of maize in inter-and mono-cropping systems at varying plant densities. Crop J. 2022, 10, 893–903. [Google Scholar] [CrossRef]
- Brewbaker, J.L. Diversity and genetics of tassel branch numbers in maize. Crop Sci. 2015, 55, 65–78. [Google Scholar] [CrossRef]
- Watson, G.C. Removing tassels from corn. New York (Ithaca) Agricultural Experiment Station. Bulletin 1892, 40, 147–155. [Google Scholar]
- Hunter, R.B.; Daynard, T.B.; Hume, D.J.; Tanner, J.W.; Curtis, J.D.; Kannenberg, L.W. Effect of tassel removal on grain yield of corn (Zea mays L.) 1. Crop Sci. 1969, 9, 405–406. [Google Scholar] [CrossRef]
- Li, Y.; Shi, Y.S.; Cao, Y.S.; Wang, T.Y. A phenotypic diversity analysis of maize germplasm preserved in China. Maydica 2002, 47, 107–114. [Google Scholar]
- Li, Y.; Shi, Y.; Wang, T. Establishment of a core collection for maize germplasm preserved in Chinese National Genebank using geographic distribution and characterisation data. Genet. Resour. Crop Evol. 2004, 51, 845–852. [Google Scholar] [CrossRef]
- Cai, Y.; Liu, Z.; Wang, T.; Li, Y.; Tan, H.; Wang, G.; Sun, H.; Wang, J. Phenotypic diversity analysis of quality and agronomic traits in some local varieties of maize in China. J. Plant Genet. Resour. 2011, 12, 31–36. [Google Scholar]
- Dong, X.; Li, S.; Yang, H.; Zhang, P.; Li, S.; Qi, Z.; Yu, X.; Yi, H.; Fu, Z. Phenotypic diversity analysis of local varieties of maize in Chongqing. J. Plant Genet. Resour. 2019, 20, 861–870. [Google Scholar]
- Meng, Z.; Song, F. Phenotypic diversity and group classification of maize landraces in Tibet. J. China Agric. Univ. 2017, 22, 10–23. [Google Scholar]
- Larik, A.S.; Malik, S.I.; Kakar, A.A.; Naz, M.A. Assessment of heritability and genetic advance for yield and yield components in Gossypium hirsutum L. Sci. Khyber 2000, 13, 39–44. [Google Scholar]
- Verma, H.; Borah, J.L.; Sarma, R.N. Variability assessment for root and drought tolerance traits and genetic diversity analysis of rice germplasm using SSR markers. Sci. Rep. 2019, 9, 16513. [Google Scholar] [CrossRef]
- Xu, Z.; Kong, R.; An, D.; Zhang, X.; Li, Q.; Nie, H.; Liu, Y.; Su, J. Evaluation of a sugarcane (Saccharum spp.) hybrid F1 population phenotypic diversity and construction of a rapid sucrose yield estimation model for breeding. Plants 2023, 12, 647. [Google Scholar] [CrossRef]
- Sayed, M.R.; Alshallash, K.S.; Safhi, F.A.; Alatawi, A.; ALshamrani, S.M.; Dessoky, E.S.; Althobaiti, A.T.; Althaqafi, M.M.; Gharib, H.S.; Shafie, W.W.; et al. Genetic diversity, analysis of some agro-morphological and quality traits and utilization of plant resources of alfalfa. Genes 2022, 13, 1521. [Google Scholar] [CrossRef]
- Dong, Y.; Sun, W.; Yue, Z.; Gong, B.; Yang, X.; Wu, K.; Liu, C.; Xu, Y. Phenotypic Diversity and Relationships of Fruit Traits in Persimmon (Diospyros kaki Thunb.) Germplasm Resources. Agriculture 2023, 13, 1804. [Google Scholar] [CrossRef]
- Jones, J.R.; Lawrence, H.G.; Yule, I.J. A Statistical comparison of international fertiliser spreader test methods-Confidence in bout width calculations. Powder Technol. 2008, 184, 337–351. [Google Scholar] [CrossRef]
- Tang, H.; Xu, C.; Jiang, Y.; Wang, J.; Wang, Z.; Tian, L. Evaluation of physical characteristics of typical maize seeds in a cold area of north China based on principal component analysis. Processes 2021, 9, 1167. [Google Scholar] [CrossRef]
- Yu, S.; Tang, Y.; Lan, H.; Li, X.; Zhang, H.; Zeng, Y.; Niu, H.; Jin, X.; Liu, Y. Construction method of quantitative evaluation model for the maturity of korla fragrant pear. Engineering 2022, 15, 243–250. [Google Scholar] [CrossRef]
- Chang, T.; Wu, J.; Wu, X.; Yao, M.; Zhao, D.; Guan, C.; Guan, M. Comprehensive evaluation of high-oleic rapeseed (brassica napus) based on quality, resistance, and yield traits: A new method for rapid identification of high-oleic acid rapeseed germplasm. PLoS ONE 2022, 17, e0272798. [Google Scholar] [CrossRef] [PubMed]
- Ma, Y.; Sun, D.; Li, S.; Lin, H.; Pan, L.; Li, D.; Fan, J.; Wu, J.; Yang, G. Comprehensive Evaluation of Main Agronomic Traits and Screening of Excellent Germplasm of Maize Landraces in Heilongjiang Province. Crops 2023, 39, 1–13. [Google Scholar]
- de Faria, S.V.; Zuffo, L.T.; Rezende, W.M.; Caixeta, D.G.; Pereira, H.D.; Azevedo, C.F.; DeLima, R.O. Phenotypic and molecular characterization of a set of tropical maize inbred lines from a public breeding programme in brazil. BMC Genom. 2022, 23, 54. [Google Scholar] [CrossRef]
- Syahruddin, K. Genetic variability, heritability, and correlation of hybrids maize agronomy characters adaptive to dry land, medium plains. IOP Conf. Ser. Earth Environ. Sci. 2023, 1230, 012121. [Google Scholar] [CrossRef]
- Berger, J.D.; Ali, M.; Basu, P.S.; Chaudhary, B.D.; Chaturvedi, S.K.; Deshmukh, P.S.; Dharmaraj, P.S.; Dwivedi, S.K.; Gangadhar, G.C.; Gaur, P.M.; et al. Genotype by environment studies demonstrate the critical role of phenology in adaptation of chickpea (Cicer arietinum L.) to high and low yielding environments of India. Field Crop. Res. 2006, 98, 230–244. [Google Scholar] [CrossRef]
- Pan, Q.; Xu, Y.; Li, K.; Peng, Y.; Zhan, W.; Li, W.; Li, L.; Yan, B. Etic Basis of Plant Architecture in 10 Maize Recombinant Inbred Line Populations. Plant Physiol. 2017, 175, 858–873. [Google Scholar] [CrossRef]
- Gage, J.L.; Miller, N.D.; Spalding, E.P.; Kaeppler, S.M.; de Leon, N. TIPS: A system for automated image-based phenotyping of maize tassels. Plant Methods 2017, 13, 1–12. [Google Scholar] [CrossRef]
- Wartha, C.A.; Cargnelutti Filho, A.; Lúcio, A.D.; Follmann, D.N.; Kleinpaul, J.A.; Simões, F.M. Sample sizes to estimate mean values for tassel traits in maize genotypes. Genet. Mol. Res. 2016, 5, 1–13. [Google Scholar] [CrossRef] [PubMed]
- Shen, T.; Tan, K.; Li, C.; Yang, M.; Hu, X.; Jiang, T.; Zhang, Z.; Qiu, H. QTL mapping for plant type related traits in maize. Mol. Plant Breed. 2022, 20, 155–162. [Google Scholar]
- Zhu, L. QTL Mapping for Plant Type, Ear Traits and Genetic Analysis of a Male Sterile Line in Maize (Zea mays L.); Hebei Agricultural University: Shijiazhang, China, 2012. [Google Scholar]
- Qu, L.; Gu, X.; Li, J.; Guo, J.; Lu, D. Leaf photosynthetic characteristics of waxy maize in response to different degrees of heat stress during grain filling. BMC Plant Biol. 2023, 23, 469. [Google Scholar] [CrossRef]
- Ramadan AS, A.; Mukhlif, F.H.; Abdulhamed, Z.A. Performance and heterosis for the yield traits and components of maize (Zea mays L.) using the full diallel cross method. Ann. Rom. Soc. Ann. Rom. Soc. Cell Biol. 2021, 25, 1270–1281. [Google Scholar]
- Debele, M.; Taressa, B. Urea split application to maize (Zea mays L.) growth stages of medium maturities, influenced on grain yield and parameter for yield at bako, East Wollega, Ethiopia. Int. J. Agron. 2023, 2023, 6673773. [Google Scholar] [CrossRef]
- Han, L.P.; Guo, X.; Yu, Y.; Liushen, D.; Rao, M.S.; Xie, G. Effect of prohexadione-calcium, maleic hydrazide and glyphosine on lodging rate and sugar content of sweet sorghum. Res. Crops 2011, 12, 230–238. [Google Scholar] [CrossRef]
- Shi, S.; Wang, E.; Li, C.; Zhou, H.; Cai, M.; Cao, C.; Jiang, Y. Comprehensive Evaluation of 17 Qualities of 84 Types of Rice Based on Principal Component Analysis. Foods 2021, 10, 2883. [Google Scholar] [CrossRef] [PubMed]
- Akter, T.; Islam, A.K.M.A.; Rasul, M.G.; Kundu, S. Evaluation of genetic diversity in short duration cotton (Gossypium hirsutum L.). J. Cotton Res. 2019, 2, 1–6. [Google Scholar] [CrossRef]
- Desta, K.T.; Choi, Y.M.; Shin, M.J.; Yoon, H.; Wang, X.; Lee, Y.; Yi, J.; Jeon, Y.A.; Lee, S. Comprehensive evaluation of nutritional components, bioactive metabolites, and antioxidant activities in diverse sorghum (Sorghum bicolor (L.) Moench) landraces. Food Res. Int. 2023, 173, 113390. [Google Scholar] [CrossRef]
- Li, J.; Abbas, K.; Wang, W.; Gong, B.; Wang, L.; Hou, S.; Xia, H.; Wu, X.; Chen, L.; Gao, H. Drought tolerance evaluation and verification of fifty pakchoi (brassica rapa ssp. chinensis) varieties under water deficit condition. Agronomy 2023, 13, 2087. [Google Scholar] [CrossRef]
- Kapoor, R.; Batra, C. Genetic variability and association studies in maize (Zea mays L.) for green fodder yield and quality traits. Electron. J. Plant Breed. 2015, 6, 233–240. [Google Scholar]
- Nazli, M.H.; Halim, R.A.; Abdullah, A.M.; Hussin, G.; Samsudin, A.A. Potential of four corn varieties at different harvest stages for silage production in Malaysia. Asian-Australas. J. Anim. Sci. 2019, 32, 224. [Google Scholar] [CrossRef] [PubMed]
- Sprague, G.F.; Tatum, L.A. General vs. specific combining ability in single crosses of corn. J. Am. Soc. Agron. 1942, 34, 923–932. [Google Scholar] [CrossRef]
- Soengas, P.; Ordás, B.; Malvar, R.A.; Revilla, P.; Ordás, A. Heterotic patterns among flint maize populations. Crop Sci. 2003, 43, 844–849. [Google Scholar] [CrossRef]
- Zhang, Y.; Yang, J.; Liang, D.; Zhang, Y. Application and Improvement of Wu Zi Hao Inbred Lines in Maize Breeding in Shaanxi Province. Acta Agric. Boreali-Occident. Sin. 2001, 4, 50–54. [Google Scholar]
- Gao, Z.; Sang, L. Selecting and breeding DH918, a new high-yielding, lodging tolerant and resistant maize. Seed Sci. Technol. 2020, 38, 6–7. [Google Scholar]
- Liu, Y.; Huang, Y.; Rong, T.; Tian, M.; Yang, J. Comparative analysis of genetic diversity in landraces of waxy maize from Yunnan and Guizhou using SSR markers. Agric. Sci. China 2005, 4, 648. [Google Scholar]
- Yao, Q.L.; Yang, K.C.; Pan, G.T.; Rong, T.Z. The effects of low phosphorus stress on morphological and physiological characteristics of maize (Zea mays L.) landraces. Agric. Sci. China 2007, 6, 559–566. [Google Scholar] [CrossRef]
- Cheng, Z.; Niu, J.; Ma, Y.; Wang, Y.; Jiang, B.; Jiang, X.; Liu, W. Analysis of quantitative climate driving factors on cotton growth period change in Alar reclamation of couthern Xinjiang. J. China Agric. Univ. 2023, 28, 69–78. [Google Scholar]
- Tang, Z. Simulation of Non-Mulched Cultivated Cotton Growth in Saline Areas of South Xinjiang. Ph.D. Thesis, Tarim University, Alar, China, 2023. [Google Scholar]
- Shi, Y. Specification of Maize Germplasm Resource Description and Data Standards; China Agricultural Press: Beijing, China, 2006. [Google Scholar]
- Sari-Gorla, M.; Krajewski, P.; Di Fonzo, N.; Villa, M.; Frova, C. Genetic analysis of drought tolerance in maize by molecular markers II Plant height and flowering. Theor. Appl. Genet. 1999, 99, 289–295. [Google Scholar] [CrossRef]
- Wang, H.; Zhang, W.; Yang, G.; Lei, L.; Han, S.; Xu, W.; Chen, R.; Zhang, C.; Yang, H. Maize ear height and Ear-Plant height ratio estimation with LiDAR data and vertical leaf area profile. Remote Sens. 2023, 15, 964. [Google Scholar] [CrossRef]
- Asma; Hussain, M.; Ali, N.; Masood, R.; Akbar, N.; Shafqat, N.; Shad, N. Agro-morphological characterization of Pakistani maize accessions using qualitative and quantitative traits. Braz. J. Biol. 2024, 84, 1–8. [Google Scholar] [CrossRef] [PubMed]
- Wang, Y.; Zhou, H.; Ma, X.; Liu, H. Combining data assimilation with machine learning to predict the regional daily leaf area index of summer maize (Zea mays L.). Agronomy 2023, 13, 2688. [Google Scholar] [CrossRef]
- Liu, Y.; Tan, Y.; Liang, D.; Pei, C.; Zhang, Z. Effects of sugarcane leaf return and fertilizer reduction on maize growth, yield and soil properties in red soil. Plants 2023, 12, 1029. [Google Scholar] [CrossRef] [PubMed]
- Xu, J.; Zhao, J.; Huang, H.; Ma, Y.; Yang, L. Effects of Different Irrigation Quotas on Yield and Growth Indexes of Maize under Drip Irrigation under Film. Water Sav. Irrig. 2017, 28–32. [Google Scholar]
- Mock, J.J.; Schuetz, S.H. Inheritance of Tassel Branch Number in Maize. Crop Sci. 1974, 14, 885–888. [Google Scholar] [CrossRef]
- Zheng, Y.; Hou, P.; Jia, X.; Zhu, L.; Zhao, Y.; Song, W.; Song, W.; Guo, J. Evaluation of the lodging resistance and the selection of identification indexes of maize inbred lines. Food Energy Secur. 2023, 12, e499. [Google Scholar] [CrossRef]
- Ren, H.; Zhou, P.; Zhou, B.; Li, X.; Wang, X.; Ge, J.; Ding, Z.; Zhao, M.; Li, C. Understanding the physiological mechanisms of canopy light interception and nitrogen distribution characteristics of different maize varieties at varying nitrogen application levels. Agronomy 2023, 13, 1146. [Google Scholar] [CrossRef]
- Liu, M.; Wang, G.; Liang, F.; Li, Q.; Tian, Y.; Jia, H. Optimal irrigation levels can improve maize growth, yield, and water use efficiency under drip irrigation in northwest China. Water 2022, 14, 3822. [Google Scholar] [CrossRef]
- Xiong, X.; Li, J.; Su, P.; Duan, H.; Sun, L.; Xu, S.; Sun, Y.; Zhao, H.; Chen, X.; Ding, D. Genetic dissection of maize (Zea mays L.) chlorophyll content using multi-locus genome-wide association studies. BMC Genom. 2023, 24, 384. [Google Scholar] [CrossRef]
- Farsi, M.; Kalantar, M.; Zeinalabedini, M.; Vazifeshenas, M.R. First assessment of iranian pomegranate germplasm using targeted metabolites and morphological traits to develop the core collection and modelling of the current and future spatial distribution under climate change conditions. PLoS ONE 2023, 18, e0265977. [Google Scholar] [CrossRef]
- He, R.Y.; Yang, T.; Zheng, J.J.; Pan, Z.Y.; Chen, Y.; Zhou, Y.; Li, X.F.; Li, Y.Z.; Iqbal, M.Z.; Yang, C.Y.; et al. QTL mapping and a transcriptome integrative analysis uncover the candidate genes that control the cold tolerance of maize introgression lines at the seedling stage. Int. J. Mol. Sci. 2023, 24, 2629. [Google Scholar] [CrossRef]
- Sow, M.; Sido, A.; Laing, M.; Ndjiondjop, M.N. Agro-morphological variability of rice species collected from niger. Plant Genet. Resour. 2014, 12, 22–34. [Google Scholar] [CrossRef]
- Hai, B. Origin 2022 Scientific Plotting and Data Analysis; Machinery Industry Press: Beijing, China, 2022. [Google Scholar]
- Zhang, Y.; Sun, Y.; Wang, C.; Li, Q.; Liu, Y.; Xu, X. Genetic Analysis of Curing Characteristics in Flue-cured Tobacco by Using Recombinant Inbred lines (RILs) Population. Southwest China J. Agric. Sci. 2018, 31, 1933–1938. [Google Scholar]
- Ye, D.; Chen, J.; Yu, Z.; Sun, Y.; Gao, W.; Wang, X.; Zhang, R.; Su, D.; Atif Muneer, M. Optimal plant density improves sweet maize fresh ear yield without compromising grain carbohydrate concentration. Agronomy 2023, 13, 2830. [Google Scholar] [CrossRef]
- Zhou, X.; Tian, Y.; Qu, Z.; Wang, J.; Han, D.; Dong, S. Comparing the salt tolerance of different spring soybean varieties at the germination stage. Plants 2023, 12, 2789. [Google Scholar] [CrossRef] [PubMed]
- Zheng, Y.; Feng, M.; Li, X.; Huang, X.; Chen, G.; Bai, W.; Xu, X.; Li, J.; Li, X.; Leng, B.; et al. Phenotypic variation analysis and excellent clone selection of alnus cremastogyne from different provenances. Plants 2023, 12, 3259. [Google Scholar] [CrossRef]
- Song, C.; Ye, X.; Liu, G.; Zhang, S.; Li, G.; Zhang, H.; Li, F.; Sun, R.; Wang, C.; Xu, D.; et al. Comprehensive evaluation of nutritional qualities of chinese cabbage (Brassica rapa ssp. pekinensis) varieties based on multivariate statistical analysis. Horticulturae 2023, 9, 1264. [Google Scholar] [CrossRef]





| 2022 | 2023 | |||||||||||
|---|---|---|---|---|---|---|---|---|---|---|---|---|
| Traits | Min | Max | Mean | SD | CV (%) | H’ | Min | Max | Mean | SD | CV (%) | H’ |
| Plant height/cm | 117.07 | 360.27 | 213.82 | 49.81 | 23.30 | 2.036 | 97.33 | 288.60 | 192.28 | 39.07 | 20.32 | 2.079 |
| Ear height/cm | 29.10 | 213.57 | 98.28 | 37.54 | 38.20 | 1.994 | 29.33 | 179.23 | 99.57 | 32.13 | 32.27 | 2.063 |
| Ear height to plant height ratio/% | 21.90 | 74.48 | 44.91 | 9.34 | 20.78 | 2.079 | 18.57 | 83.29 | 51.19 | 10.36 | 20.24 | 2.053 |
| Spike leaf length/cm | 46.33 | 105.20 | 77.28 | 12.91 | 16.71 | 2.092 | 33.60 | 168.27 | 73.03 | 13.72 | 18.78 | 1.959 |
| Spike leaf width/cm | 5.67 | 11.33 | 8.37 | 1.32 | 15.73 | 2.078 | 5.03 | 12.23 | 8.58 | 1.33 | 15.55 | 2.055 |
| Leaf length of upper ear/cm | 42.60 | 109.70 | 76.18 | 13.72 | 18.02 | 2.069 | 30.70 | 104.00 | 70.77 | 11.76 | 16.62 | 2.069 |
| Leaf width of upper ear/cm | 5.17 | 11.47 | 8.31 | 1.20 | 14.48 | 2.093 | 4.70 | 11.60 | 8.51 | 1.30 | 15.30 | 2.066 |
| Leaf number/piece | 7.67 | 22.67 | 13.94 | 2.51 | 17.99 | 2.032 | 7.33 | 18.67 | 13.15 | 2.25 | 17.14 | 2.080 |
| Effective spikes | 0.77 | 1.08 | 0.97 | 0.05 | 5.60 | 2.023 | 0.88 | 1.07 | 0.98 | 0.04 | 3.78 | 2.020 |
| Tassel branch number | 5.00 | 34.67 | 17.76 | 5.70 | 32.11 | 2.069 | 5.33 | 31.00 | 16.66 | 5.06 | 30.37 | 2.086 |
| Stem diameter/mm | 13.22 | 35.76 | 24.17 | 3.88 | 16.06 | 2.058 | 15.71 | 38.02 | 26.22 | 4.53 | 17.28 | 2.081 |
| Stem–leaf angle | 21.67 | 73.67 | 41.08 | 8.53 | 20.76 | 1.993 | 18.67 | 57.33 | 35.42 | 6.97 | 19.68 | 2.049 |
| Thousand kernel weight/g | 59.24 | 433.10 | 220.50 | 63.92 | 28.99 | 2.058 | 71.57 | 502.88 | 218.55 | 63.30 | 28.96 | 2.005 |
| Chlorophyll content | 22.00 | 59.43 | 41.06 | 7.00 | 17.04 | 2.043 | 21.83 | 65.97 | 43.97 | 8.72 | 19.84 | 2.063 |
| Source of Variation | Plant Height | Ear Height | Ear Height to Plant Height Ratio | Spike Leaf Length | Spike Leaf Width | Leaf Length of Upper Ear | Leaf width of Upper Ear | Leaf Number | Effective Spikes | Tassel Branch Number | Stem Diameter | Stem–Leaf Angle | Thousand Kernel Weight | Chlorophyll Content |
|---|---|---|---|---|---|---|---|---|---|---|---|---|---|---|
| Year | 900.67 ** | 6.13 | 564.22 ** | 125.02 ** | 24.79 ** | 229.27 ** | 17.82 ** | 183.71 ** | 144.11 ** | 94.19 ** | 152.34 ** | 445.87 ** | 4.33 | 208.33 ** |
| Germplasm | 57.06 ** | 72.86 ** | 22.13 ** | 19.23 ** | 14.85 ** | 21.27 ** | 9.90 ** | 26.64 ** | 2.54 ** | 32.24 ** | 8.50 ** | 9.20 ** | 64.37 ** | 16.95 ** |
| Year * Germplasm | 23.99 ** | 20.68 ** | 6.87 ** | 6.35 ** | 5.32 ** | 5.49 ** | 4.26 ** | 8.55 ** | 2.00 ** | 14.39 ** | 4.92 ** | 8.40 ** | 32.06 ** | 14.81 ** |
| Traits | PC1 | PC2 | PC3 |
|---|---|---|---|
| Plant height/cm | 0.78 | 0.43 | 0.04 |
| Ear height/cm | 0.91 | 0.26 | 0.13 |
| Ear height to plant height ratio/% | 0.82 | 0.03 | 0.19 |
| Spike leaf length/cm | 0.70 | 0.50 | 0.16 |
| Spike leaf width/cm | 0.23 | 0.83 | 0.24 |
| Leaf length of upper ear/cm | 0.76 | 0.44 | 0.20 |
| Leaf width of upper ear/cm | 0.22 | 0.85 | 0.21 |
| Leaf number/piece | 0.65 | 0.44 | 0.18 |
| Effective spikes | 0.06 | 0.07 | 0.68 |
| Tassel branch number | 0.69 | 0.06 | −0.24 |
| Stalk diameter/mm | 0.44 | 0.58 | 0.16 |
| Stem–leaf angle | −0.13 | −0.09 | −0.67 |
| Thousand kernel weight/g | 0.18 | 0.72 | −0.06 |
| chlorophyll content | 0.12 | 0.49 | −0.34 |
| Eigenvalue | 4.41 | 3.40 | 1.37 |
| Contribution rate/% | 31.53 | 24.29 | 9.75 |
| Cumulative contribution/% | 31.53 | 55.82 | 65.57 |
| Traits | I | II | III | |||
|---|---|---|---|---|---|---|
| Mean | CV (%) | Mean | CV (%) | Mean | CV (%) | |
| Plant height/cm | 198.50 | 13.11 | 153.83 | 7.99 | 239.61 | 11.32 |
| Ear height/cm | 96.82 | 22.90 | 60.05 | 20.16 | 125.03 | 21.42 |
| Ear height to plant height ratio/% | 48.63 | 16.11 | 39.01 | 17.35 | 52.14 | 13.79 |
| Spike leaf length/cm | 75.12 | 11.26 | 60.53 | 11.89 | 83.58 | 12.15 |
| Spike leaf width/cm | 8.38 | 11.31 | 7.37 | 15.00 | 9.29 | 9.16 |
| Leaf length of upper ear/cm | 73.61 | 11.97 | 58.42 | 12.06 | 81.83 | 10.57 |
| Leaf width of upper ear/cm | 8.35 | 10.47 | 7.32 | 13.20 | 9.14 | 8.64 |
| Leaf number/piece | 13.42 | 12.84 | 11.42 | 16.61 | 15.01 | 10.61 |
| Effective spike | 0.98 | 3.62 | 0.95 | 4.19 | 0.98 | 4.17 |
| Tassel branch number | 17.35 | 24.38 | 14.22 | 36.61 | 18.66 | 19.79 |
| Stalk diameter/mm | 25.14 | 10.85 | 21.69 | 15.26 | 27.29 | 9.97 |
| Stem–leaf angle/θ | 38.10 | 15.14 | 39.44 | 14.58 | 37.85 | 14.01 |
| Thousand kernel weight/g | 206.26 | 16.35 | 160.93 | 20.14 | 277.63 | 10.74 |
| Chlorophyll content | 42.03 | 14.01 | 39.33 | 11.28 | 45.23 | 11.30 |
| Group | Germplasm Code | Source | Types of Germplasm |
|---|---|---|---|
| I (104 copies) | 1, 2, 3, 9, 13, 16, 20, 21, 23, 24, 25, 26, 27, 28, 29, 30, 31, 32, 35, 36, 37, 44, 45, 46, 48, 49, 50, 51, 53, 54, 55, 56, 57, 58, 62, 63, 65, 69, 71, 72, 74, 75, 77, 78, 80, 81, 84, 89, 94, 95, 96, 97, 100, 101, 109, 112, 115, 116, 117, 119, 121, 123, 124, 125, 127, 130, 131, 132, 133, 134, 136, 138, 140, 142, 143, 144, 149, 151, 152, 154, 155, 157, 158, 159, 161, 162, 163, 166, 167, 168, 170, 172, 175, 176, 180, 182, 183, 184, 185, 186, 187, 188, 189, 190 | Beijing province, Tianjin province, Hebei province, Liaoning province, Inner Mongolia Autonomous Region, Jilin province, Heilongjiang province, Zhejiang province, Fujian province, Jiangxi province, Shandong province, Henan province, Hubei province, Sichuan province, Guizhou province, Yunnan province, Shaanxi province, Xinjiang Uighur Autonomous Region, Foreign countries | Domestic local varieties (79)
|
| II (32 copies) | 5, 10, 11, 12, 17, 34, 38, 39, 42, 43, 60, 61, 64, 66, 68, 70, 98, 128, 129, 135, 137, 139, 141, 145, 146, 147, 150, 160, 171, 173, 174, 192 | Hebei province, Inner Mongolia Autonomous Region, Heilongjiang province, Jilin province, Shandong province, Henan province, Sichuan province, Xinjiang Uighur Autonomous Region, Beijing province, Fujian province, foreign countries, Shanghai province | Domestic local varieties (27)
|
| III (56 copies) | 4, 6, 7, 8, 14, 15, 18, 19, 22, 33, 40, 41, 47, 52, 59, 67, 73, 76, 79, 82, 83, 85, 86, 87, 88, 90, 91, 92, 93, 99, 102, 103, 104, 105, 106, 107, 108, 110, 111, 113, 114, 118, 120, 122, 126, 148, 153, 156, 164, 165, 169, 177, 178, 179, 181, 191. | Hebei province, Shanxi province, Liaoning province, Jilin province, Zhejiang province, Jiangxi province, Shandong province, Henan province, Hubei province, Guizhou province, Yunnan province, Shaanxi province, Xinjiang Uighur Autonomous Region, Foreign countries | Domestic local varieties (29) Foreign varieties (2)
|
| Vintages | Months | April | May | June | July | August | September | October |
|---|---|---|---|---|---|---|---|---|
| 2022 | Monthly minimum temperature/°C | 9.0 | 16.0 | 17.0 | 19.0 | 15.0 | 13.0 | 3.0 |
| Monthly maximum temperature/°C | 26.0 | 31.0 | 33.0 | 34.0 | 29.0 | 31.0 | 20.0 | |
| Average temperature/°C | 17.5 | 23.5 | 25.0 | 26.5 | 22.0 | 22.0 | 11.5 | |
| Precipitation/mm | 0.0 | 0.0 | 0.0 | 0.5 | 31.7 | 0.0 | 0.0 | |
| 2023 | Monthly minimum temperature/°C | 7.0 | 12.0 | 18.0 | 20.0 | 18.0 | 13.0 | 8.0 |
| Monthly maximum temperature/°C | 22.0 | 26.0 | 33.0 | 35.0 | 34.0 | 29.0 | 26.0 | |
| Average temperature/°C | 14.5 | 19.0 | 25.5 | 27.5 | 26.0 | 21.0 | 17.0 | |
| Precipitation/mm | 3.7 | 2.2 | 0.7 | 6.1 | 9.2 | 2.1 | 0.0 |
| Hierarchy | Trait Observations | Hierarchy | Trait Observations |
|---|---|---|---|
| 1 | < − 2σ | 6 | ≤ < + 0.5σ |
| 2 | − 2σ ≤ < − 1.5σ | 7 | + 0.5σ ≤ < + σ |
| 3 | − 1.5σ ≤ < − 1σ | 8 | + 1σ ≤ < + 1.5σ |
| 4 | − σ ≤ < − 0.5σ | 9 | + 1.5σ ≤ < + 2σ |
| 5 | − 0.5σ ≤ < | 10 | ≥ + 2σ |
Disclaimer/Publisher’s Note: The statements, opinions and data contained in all publications are solely those of the individual author(s) and contributor(s) and not of MDPI and/or the editor(s). MDPI and/or the editor(s) disclaim responsibility for any injury to people or property resulting from any ideas, methods, instructions or products referred to in the content. |
© 2024 by the authors. Licensee MDPI, Basel, Switzerland. This article is an open access article distributed under the terms and conditions of the Creative Commons Attribution (CC BY) license (https://creativecommons.org/licenses/by/4.0/).
Share and Cite
Hu, M.; Tian, H.; Yang, K.; Ding, S.; Hao, Y.; Xu, R.; Zhang, F.; Liu, H.; Zhang, D. Comprehensive Evaluation and Selection of 192 Maize Accessions from Different Sources. Plants 2024, 13, 1397. https://doi.org/10.3390/plants13101397
Hu M, Tian H, Yang K, Ding S, Hao Y, Xu R, Zhang F, Liu H, Zhang D. Comprehensive Evaluation and Selection of 192 Maize Accessions from Different Sources. Plants. 2024; 13(10):1397. https://doi.org/10.3390/plants13101397
Chicago/Turabian StyleHu, Mengting, Huijuan Tian, Kaizhi Yang, Shuqi Ding, Ying Hao, Ruohang Xu, Fulai Zhang, Hong Liu, and Dan Zhang. 2024. "Comprehensive Evaluation and Selection of 192 Maize Accessions from Different Sources" Plants 13, no. 10: 1397. https://doi.org/10.3390/plants13101397
APA StyleHu, M., Tian, H., Yang, K., Ding, S., Hao, Y., Xu, R., Zhang, F., Liu, H., & Zhang, D. (2024). Comprehensive Evaluation and Selection of 192 Maize Accessions from Different Sources. Plants, 13(10), 1397. https://doi.org/10.3390/plants13101397
