Evaluating the Applicability of the TOMCAST Model for the Control of Potato Early Blight in China
Abstract
1. Introduction
2. Results
2.1. Weather Conditions during the Trials
2.2. Fungicide Applications
2.3. Progression of Potato Early Blight from 2020 to 2022
2.4. The Effect of Different Treatments on the Final Severity and Area under the Disease Progress Curve (AUDPC) of Early Blight

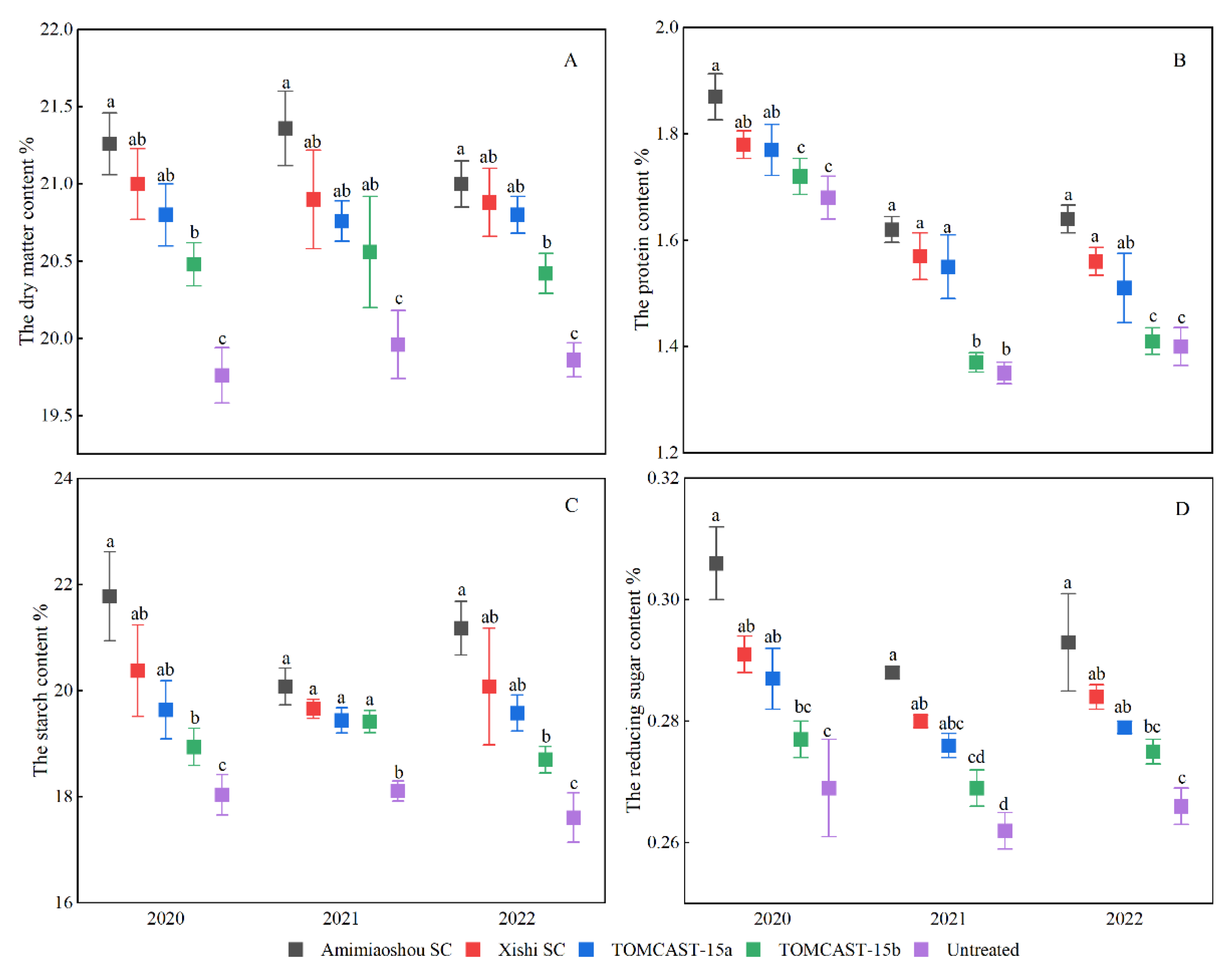
2.5. Tuber Yield and Quality
3. Discussion
4. Materials and Methods
4.1. Experimental Site and Design
4.2. Cultural Practices, Insect Control and Late Blight
4.3. Weather Data Monitoring
4.4. The TOMCAST Model Implementation
4.5. Disease Assessment
4.6. Yield and Quality Estimates, and Statistical Analyses
5. Conclusions
Author Contributions
Funding
Data Availability Statement
Acknowledgments
Conflicts of Interest
References
- Zhang, H.; Xu, F.; Wu, Y.; Hu, H.; Dai, X. Progress of potato staple food research and industry development in China. J. Integr. Agr. 2017, 16, 2924–2932. [Google Scholar] [CrossRef]
- Luo, Q.Y.; Liu, Y.; Gao, M.J.; Yi, X.F. Present situation and prospect of potato industry in China. Agric. Outlook 2015, 11, 35–40. [Google Scholar]
- Li, Q.; Zhang, X.Y.; Li, H.L.; Yu, M.Y.; Song, H.M.; Niu, L.J.; Ma, X. Effects of application time on the control effect, yield and dry matter content of potato early blight. J. Fujian Agric. For. Univ. 2022, 51, 737–742. [Google Scholar]
- Shuman, J.L.; Christ, B.J. Integrating a host-resistance factor into the FAST system to forecast early blight of potato. Am. J. Potato Res. 2005, 82, 9–19. [Google Scholar] [CrossRef]
- Duarte, H.S.; Zambolim, L.; Capucho, A.S.; Júnior, A.F.; Rosado, A.W.; Cardoso, C.R.; Paul, P.A.; Mizubuti, E.S. Development and validation of a set of standard area diagrams to estimate severity of potato early blight. Eur. J. Plant Pathol. 2013, 137, 249–257. [Google Scholar] [CrossRef]
- Van der Waals, J.E.; Korsten, L.; Aveling, T.A. A review of early blight of potato. Afr. Plant Prot. 2001, 7, 91–102. [Google Scholar]
- Abuley, I.K.; Nielsen, B.J. Evaluation of models to control potato early blight (Alternaria solani) in Denmark. Crop Prot. 2017, 102, 118–128. [Google Scholar] [CrossRef]
- Meno, L.; Escuredo, O.; Rodríguez-Flores, M.S.; Seijo, M.C. Looking for a sustainable potato crop. Field assessment of early blight management. Agr. For. Meteorol. 2021, 308–309, 108617. [Google Scholar] [CrossRef]
- Horsfield, A.; Wicks, T.; Davies, K.; Wilson, D.; Paton, S. Effect of fungicide use strategies on the control of early blight (Alternaria solani) and potato yield. Australas. Plant Path. 2010, 39, 368. [Google Scholar] [CrossRef]
- Abuley, I.K.; Nielsen, B.J. Integrating cultivar resistance into the TOMCAST model to control early blight of potato, caused by Alternaria solani. Crop Prot. 2019, 117, 69–76. [Google Scholar] [CrossRef]
- Van der Waals, J.E.; Denner, F.D.N.; van Rij, N.; Korsten, L. Evaluation of PLANT-Plus, a decision support system for control of early blight on potatoes in South Africa. Crop Prot. 2003, 22, 821–828. [Google Scholar] [CrossRef]
- Ribeiro Ávila, M.C.; Lourenço, V.; Quezado, A.M.; Becker, W.F.; Fiori De Abreu, M.; Borges, L.C.; Nascimento, A.D.R. Field validation of TOMCAST modified to manage Septoria leaf spot on tomato in the central-west region of Brazil. Crop Prot. 2020, 138, 105333. [Google Scholar] [CrossRef]
- Pitblado, R.E. The Development and Implementation of TOMCAST—A Weather Timed Fungicide Spray Program for Field Tomatoes; Ministry of Agriculture and Food, Ridgetown College of Agricultural Technology: Ridgetown, ON, Canada, 1992; p. 22. [Google Scholar]
- Madden, L. FAST, a Forecast System for Alternaria solani on Tomato. Phytopathology 1978, 68, 1354. [Google Scholar] [CrossRef]
- Foster, J.M.; McDonald, M.R. Evaluation of the TOMCAST Forecasting Model in Asparagus for Management of Stemphylium Leaf Spot in Ontario, Canada. Plant Dis. 2018, 102, 2253–2257. [Google Scholar] [CrossRef] [PubMed]
- Bounds, R.S.; Podolsky, R.H.; Hausbeck, M.K. Integrating disease thresholds with TOMCAST for carrot foliar blight management. Plant Dis. 2007, 91, 798–804. [Google Scholar] [CrossRef] [PubMed]
- Abuley, I.K.; Nielsen, B.J.; Labouriau, R. Resistance status of cultivated potatoes to early blight (Alternaria solani) in Denmark. Plant Pathol. 2018, 67, 315–326. [Google Scholar] [CrossRef]
- Xu, D.; Chen, C.; Zhou, F.; Liu, C.; Tian, M.; Zeng, X.; Jiang, A. Vacuum packaging and ascorbic acid synergistically maintain the quality and flavor of fresh-cut potatoes. LWT 2022, 162, 113356. [Google Scholar] [CrossRef]
- Thayer, B.A.; Riedel, R.M.; Bennett, M.A.; Welty, C.; Jasinski, J.R.; Precheur, R.J. Complementing TOMCAST by Developing a Comprehensive Tomato Integrated Pest Management (IPM) Program. J. Veg. Crop Prod. 2001, 7, 57–73. [Google Scholar] [CrossRef]
- Meno, L.; Abuley, I.K.; Escuredo, O.; Seijo, M.C. Suitability of Early Blight Forecasting Systems for Detecting First Symptoms in Potato Crops of NW Spain. Agronomy 2022, 12, 1611. [Google Scholar] [CrossRef]
- Dorman, E.A.; Webster, B.J.; Hausbeck, M.K. Managing Foliar Blights on Carrot Using Copper, Azoxystrobin, and Chlorothalonil Applied According to TOM-CAST. Plant Dis. 2009, 93, 402–407. [Google Scholar] [CrossRef]
- Chubey, B.B.; Mazza, G. A non-destructive method for rapid evaluation of boiling quality of potato tubers. Am. Potato J. 1983, 60, 693–698. [Google Scholar] [CrossRef]
- Abebe, T.; Wong, S.; Taychasinpitak, T. Dry matter content, starch content and starch yield variability and stability of potato varieties in amhara region of Ethiopia. Kasetsart J. Nat. Sci. 2012, 46, 671–683. [Google Scholar]
- Koua, A.P.; Baig, M.M.; Oyiga, B.C.; Léon, J.; Ballvora, A. Fungicide Application Affects Nitrogen Utilization Efficiency, Grain Yield, and Quality of Winter Wheat. Agronomy 2021, 11, 1295. [Google Scholar] [CrossRef]
- Singh, B.; Pandya, R.K.; Jaiswal, S.; Gupta, P.K. The biochemical changes in mustard leaves and seed due to alternaria blight infection. Ann. Plant Prot. Sci. 2021, 29, 196–199. [Google Scholar] [CrossRef]
- An, H.Y.; Long, H.Y.; Liu, Y.; Mu, Z.; Lei, Q.L. Taxonomic classification of the typical soils on Bashang Plateau of Chengde. Acta Pedol. Sin. 2013, 50, 448–458. [Google Scholar]
- Gleason, M.L. Disease-warning systems for processing tomatoes in eastern North America: Are we there yet? Plant Dis. 1995, 79, 113. [Google Scholar] [CrossRef]
- Meyer, M.P.; Hausbeck, M.K.; Podolsky, R. Optimal Fungicide Management of Purple Spot of Asparagus and Impact on Yield. Plant Dis. 2000, 84, 525–530. [Google Scholar] [CrossRef] [PubMed]
- Landschoot, S.; De Reu, J.; Audenaert, K.; Vanhaverbeke, P.; Haesaert, G.; De Baets, B.; Waegeman, W. Potentials and Limitations of Existing Forecasting Models for Alternaria on Potatoes: Challenges for Model Improvement. Potato Res. 2017, 60, 61–76. [Google Scholar] [CrossRef]
- Sands, P.J.; Hackett, C.; Nix, H.A. A model of the development and bulking of potatoes (Solanum tuberosum L.) I. Derivation from well-managed field crops. Field Crops Res. 1979, 2, 309–331. [Google Scholar] [CrossRef]
- Zhou, D.Y.; Zhao, Z.J.; Hu, T.L.; Zhu, J.H.; Cao, K.Q. The dynamics of airborne conidia of Alternaria solani in potato canopy and its influence factor during growing season. Acta Phytopathol. Sin. 2014, 44, 687–692. [Google Scholar]
- Zhu, Z.Y.; Huang, X.L.; Lu, Y.H. A new technique for inducing the formation of hyphal martyrs in oil-cast gram-holding bacteria. Acta Mycol. Sin. 1985, 4, 180–183. [Google Scholar]
- Shaner, G.; Finney, R.E. The effect of nitrogen fertilization on the expression of slow-mildewing resistance in Knox wheat. Phytopathology 1977, 67, 1051–1056. [Google Scholar] [CrossRef]
- Nissen, M. The weight of potatoes in water. Am. J. Potato Res. 1955, 32, 332–339. [Google Scholar] [CrossRef]
- Zhu, H.X.; Shi, Y.; Zhang, Q.N.; Chen, Y.L. Applying 3,5-dinnitrosalicylic aid method to analyzing the content of potato reducing sugar. Potato Res. 2005, 19, 14–17. [Google Scholar]
- Tang, Y.; Yan, H.Y.; Zhao, Y.X.; Xun, D.; Zong, W.W.; Song, F.H. Determination of amylose and amylopectin in sorghum by iodine colorimetric method. Sci. Technol. Food Ind. 2022, 4, 1–14. [Google Scholar]
- Shi, W.; Sun, Y.; Xu, Z.B. Determination of Protein Content in Grain by Kjeldahl Method. Food Sci. Technol. Econ. 2013, 38, 31–32. [Google Scholar]




| Date 1 | 4 July | 11 July | 18 July | 25 July | 1 August | 8 August | 15 August | 22 August |
|---|---|---|---|---|---|---|---|---|
| Fungicide schedule | ||||||||
| Untreated | − | − | − | − | − | − | − | − |
| Amimiaoshou SC | + | + | + | + | + | + | ||
| Xishi SC | + | + | + | + | + | + | ||
| TOMCAST-15a | + | + | + | + | ||||
| TOMCAST-15b | + | + | + | + |
| Date 1 | 7 July | 14 July | 21 July | 28 July | 4 August | 11 August | 18 August | 25 August |
|---|---|---|---|---|---|---|---|---|
| Fungicide schedule | ||||||||
| Untreated | − | − | − | − | − | − | − | − |
| Amimiaoshou SC | + | + | + | + | + | + | ||
| Xishi SC | + | + | + | + | + | + | ||
| TOMCAST-15a | + | + | + | + | ||||
| TOMCAST-15b | + | + | + | + |
| Date 1 | 10 July | 17 July | 24 July | 31 July | 6 August | 13 August | 20 August | 27 August |
|---|---|---|---|---|---|---|---|---|
| Fungicide schedule | ||||||||
| Untreated | − | − | − | − | − | − | − | − |
| Amimiaoshou SC | + | + | + | + | + | |||
| Xishi SC | + | + | + | + | + | |||
| TOMCAST-15a | + | + | + | |||||
| TOMCAST-15b | + | + | + |
| Fungicide Schedule | Tuber Yield (Tons ha−1) * | ||
|---|---|---|---|
| 2020 | 2021 | 2022 | |
| Amimiaoshou SC | 39.36 ± 1.46 | 36.78 ± 1.31 | 36.78 ± 1.46 |
| Xishi SC | 37.53 ± 1.45 | 34.66 ± 2.25 | 36.46 ± 1.70 |
| TOMCAST-15a | 36.00 ± 1.12 | 33.21 ± 3.18 | 36.50 ± 2.32 |
| TOMCAST-15b | 35.20 ± 1.42 | 32.52 ± 2.82 | 35.21 ± 1.91 |
| Untreated | 33.35 ± 0.66 | 29.96 ± 1.31 | 29.96 ± 0.91 |
| Fungicide Schedule | Description |
|---|---|
| Untreated | No fungicide application to control early blight. The untreated served as a reference for the general development of early blight. |
| Amimiaoshou SC | Fungicide application started when the first disease symptoms appear on leaves in the trial and continued at a 7-day interval. |
| Xishi SC | Fungicide application started when the first disease symptoms appear on leaves in the trial and continued at a 7-day interval. |
| TOMCAST-15 a | Beginning with the accumulation of P-days to 300 days, the Amimiaoshou SC fungicide application was started at each accumulation of DSV to 15. |
| TOMCAST-15 b | Beginning with the accumulation of P-days to 300 days, the Xishi SC fungicide application was started at each accumulation of DSV to 15. |
| Activity | 2020 | 2021 | 2022 |
|---|---|---|---|
| Planting | 2 May | 5 May | 7 May |
| Date of 50% emergence | 6 June | 10 June | 12 June |
| Fertilizer application | 30 April | 2 May | 31 April |
| Rate of fertilization | 900 kghm−212-18-15 N-P-K | 900 kghm−212-18-15 N-P-K | 900 kghm−212-18-15 N-P-K |
| Irrigation | 35 mm 20 June, 10 and 28 July, 11 August | 35 mm 25 June, 16 and 29 July, 7 August | 35 mm 28 June, 7, 15, 23 and 30 July, 18 August |
| Insect control a | 19 June and 25 July | 24 June and 28 July | 26 June and 28 July |
| Weed control b | 30 May and 26 June | 30 May and 26 June | 30 May and 26 June |
Disclaimer/Publisher’s Note: The statements, opinions and data contained in all publications are solely those of the individual author(s) and contributor(s) and not of MDPI and/or the editor(s). MDPI and/or the editor(s) disclaim responsibility for any injury to people or property resulting from any ideas, methods, instructions or products referred to in the content. |
© 2023 by the authors. Licensee MDPI, Basel, Switzerland. This article is an open access article distributed under the terms and conditions of the Creative Commons Attribution (CC BY) license (https://creativecommons.org/licenses/by/4.0/).
Share and Cite
Li, Q.; Zhang, X.; Ma, X.; Li, H. Evaluating the Applicability of the TOMCAST Model for the Control of Potato Early Blight in China. Plants 2023, 12, 1634. https://doi.org/10.3390/plants12081634
Li Q, Zhang X, Ma X, Li H. Evaluating the Applicability of the TOMCAST Model for the Control of Potato Early Blight in China. Plants. 2023; 12(8):1634. https://doi.org/10.3390/plants12081634
Chicago/Turabian StyleLi, Qing, Xueyan Zhang, Xin Ma, and Hailong Li. 2023. "Evaluating the Applicability of the TOMCAST Model for the Control of Potato Early Blight in China" Plants 12, no. 8: 1634. https://doi.org/10.3390/plants12081634
APA StyleLi, Q., Zhang, X., Ma, X., & Li, H. (2023). Evaluating the Applicability of the TOMCAST Model for the Control of Potato Early Blight in China. Plants, 12(8), 1634. https://doi.org/10.3390/plants12081634

