Effects of Plant Coverage on the Abundance of Adult Mosquitos at an Urban Park
Abstract
1. Introduction
2. Materials and Methods
2.1. Experiment
2.2. Landscape Variables
2.3. Statistical Models
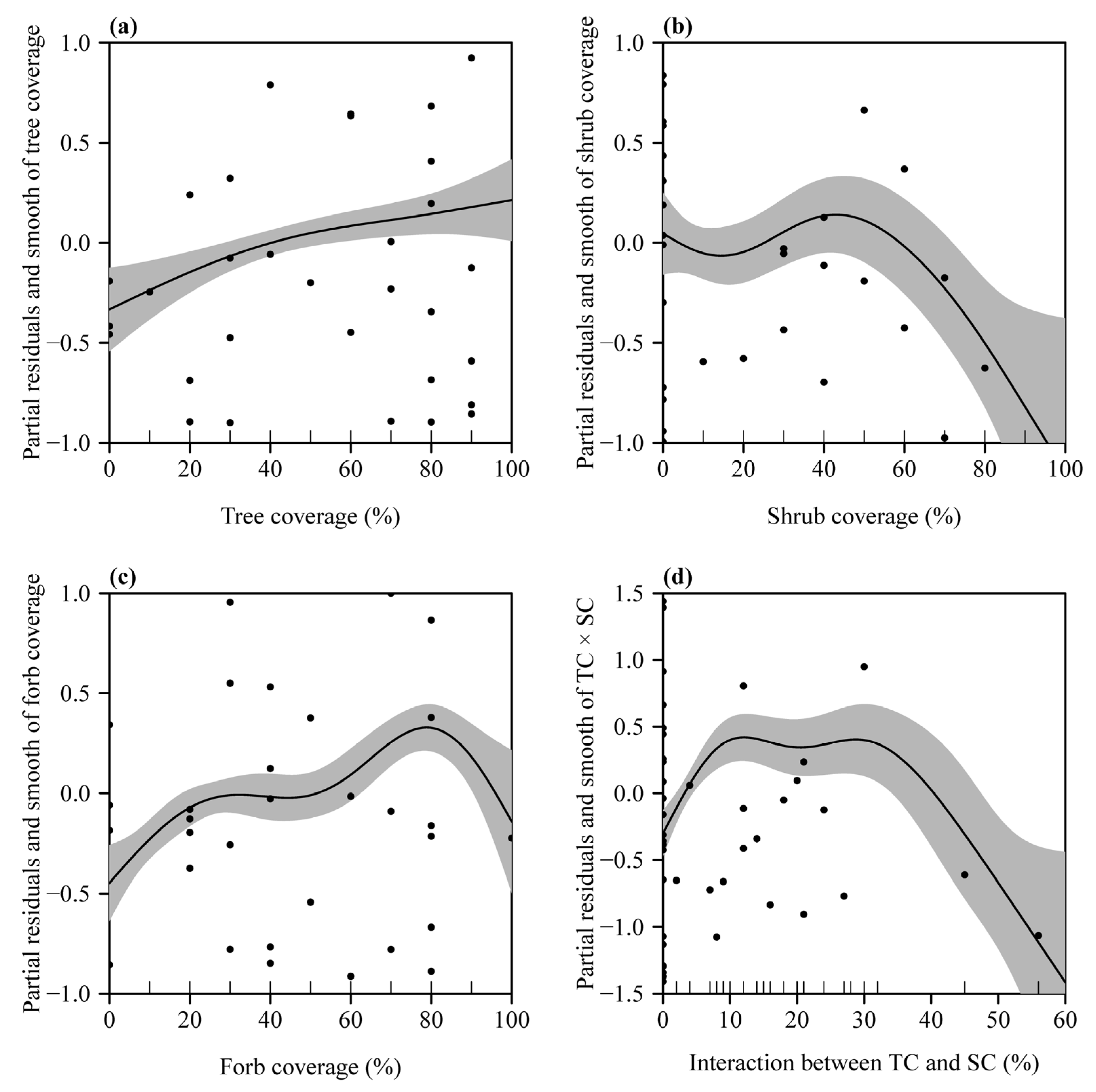
3. Results
4. Discussion
4.1. Why Did the Multiple Linear Model Explain a Lower Proportion of Deviance?
4.2. Interactions between Any Two Plant Coverage Variables
5. Conclusions
Supplementary Materials
Author Contributions
Funding
Institutional Review Board Statement
Informed Consent Statement
Data Availability Statement
Acknowledgments
Conflicts of Interest
References
- Chaves, L.F.; Hamer, G.L.; Walker, E.D.; Brown, W.M.; Ruiz, M.O.; Kitron, U.D. Climatic variability and landscape heterogeneity impact urban mosquito diversity and vector abundance and infection. Ecosphere 2011, 2, 1–21. [Google Scholar] [CrossRef]
- Dillon, P.M. Chironomid larval size and case presence influence capture success achieved by dragonfly larvae. Freshwat. Invertebr. Biol. 1985, 4, 22–29. [Google Scholar] [CrossRef]
- Goyke, A.P.; Hershey, A.E. Effects of fish predation on larval chironomid (Diptera: Chironomidae) communities in an arctic ecosystem. Hydrobiologia 1992, 240, 203–211. [Google Scholar] [CrossRef]
- Ferraguti, M.; Martínez-de la Puente, J.; Roiz, D.; Ruiz, S.; Soriguer, R.; Figuerola, J. Effects of landscape anthropization on mosquito community composition and abundance. Sci. Rep. 2016, 6, 209002. [Google Scholar] [CrossRef]
- Zhao, J.; Tang, T.; Wang, X. Effects of landscape composition on mosquito population in urban green spaces. Urban For. Urban Green. 2020, 49, 126626. [Google Scholar] [CrossRef]
- Stone, C.M.; Jackson, B.T.; Foster, W.A. Effects of plant-community composition on the vectorial capacity and fitness of the Malaria mosquito Anopheles gambiae. Am. J. Trop. Med. Hyg. 2012, 87, 727–736. [Google Scholar] [CrossRef]
- Yang, L.; Turo, K.J.; Riley, C.B.; Inocente, E.A.; Tian, J.; Hoekstra, N.C.; Piermarini, P.M.; Gardiner, M.M. Can urban greening increase vector abundance in cities? The impact of mowing, local vegetation, and landscape composition on adult mosquito populations. Urban Ecosyst. 2019, 22, 827–839. [Google Scholar] [CrossRef]
- Yang, Y.; Yang, J. Urban park design based on mosquito control strategy—A case study of Xuanwu Lake Park in Nanjing. J. Nanjing For. Univ. 2023; in press. [Google Scholar]
- Davidson, C.A.; Scott, J.M.; Hossain, T.H.; Beier, J.C.; Xue, R.-D. Relationship between citizen knowledge, vegetation coverage, and frequency of requests for mosquito control service in St. Johns County, Florida. Tech. Bull. Florida Mosq. Control Assoc. 2016, 10, 30–38. [Google Scholar]
- Ratkowsky, D.A. Nonlinear Regression Modeling: A Unified Practical Approach; Marcel Dekker: New York, NY, USA, 1983. [Google Scholar]
- Ratkowsky, D.A. Handbook of Nonlinear Regression Models; Marcel Dekker: New York, NY, USA, 1990. [Google Scholar]
- Enns, R.H. It’s a Nonlinear World; Springer: New York, NY, USA, 2011. [Google Scholar]
- Hastie, T.J.; Tibshirani, R.J. Generalized additive models (with discussion). Statist. Sci. 1986, 1, 297–318. [Google Scholar]
- Hastie, T.J.; Tibshirani, R.J. Generalized Additive Models; Chapman and Hall: London, UK, 1990. [Google Scholar]
- Wood, S.N. Generalized Additive Models: An Introduction with R, 2nd ed.; Chapman and Hall/CRC Press: New York, NY, USA, 2017. [Google Scholar]
- Guisan, A.; Edwards, T.C.; Hastie, T. Generalized linear and generalized additive models in studies of species distributions: Setting the scene. Ecol. Model. 2002, 157, 89–100. [Google Scholar] [CrossRef]
- Moisen, G.G.; Frescino, T.S. Comparing five modelling techniques for predicting forest characteristics. Ecol. Model. 2002, 157, 209–225. [Google Scholar] [CrossRef]
- Shi, P.; Sandhu, H.S.; Xiao, H. Logistic regression is a better method of analysis than linear regression of arcsine square root transformed proportional diapause data of Pieris melete (Lepidoptera: Pieridae). Fla. Entomol. 2013, 96, 1183–1185. [Google Scholar] [CrossRef]
- Yan, C.; Xu, L.; Xu, T.; Cao, X.; Wang, F.; Wang, S.; Yang, H.; Zhang, Z. Agricultural irrigation mediates climatic effects and density dependence in population dynamics of Chinese striped hamster in North China Plain. J. Animal Ecol. 2013, 82, 334–344. [Google Scholar] [CrossRef]
- Venables, W.N.; Ripley, B.D. Modern Applied Statistics with S, 4th ed.; Springer: New York, NY, USA, 2002. [Google Scholar]
- R Core Team. R: A Language and Environment for Statistical Computing; R Foundation for Statistical Computing: Vienna, Austria, 2022; Available online: https://www.R-project.org/ (accessed on 1 June 2022).
- Spiess, A.-N.; Neumeyer, N. An evaluation of R squared as an inadequate measure for nonlinear models in pharmacological and biochemical research: A Monte Carlo approach. BMC Pharmacol. 2010, 10, 6. [Google Scholar] [CrossRef] [PubMed]
- Shi, P.; Preisler, H.K.; Quinn, B.K.; Zhao, J.; Huang, W.; Röll, A.; Cheng, X.; Li, H.; Hölscher, D. Precipitation is the most crucial factor determining the distribution of moso bamboo in Mainland China. Global Ecol. Conser. 2020, 22, e00924. [Google Scholar] [CrossRef]
- Liu, Z.; Brin, K.P.; Yin, F.C.P. Estimation of total arterial compliance: An improved method and evaluation of current methods. Amer. Physiol.-Heart C. 1986, 251, H588–H600. [Google Scholar] [CrossRef] [PubMed]
- Yee, T.W.; Mitchell, N.D. Generalized additive models in plant ecology. J. Veg. Sci. 1991, 2, 587–602. [Google Scholar] [CrossRef]
- Hastie, T.; Tibshirani, R.; Friedman, J. The Elements of Statistical Learning: Data Mining, Inference, and Prediction, 2nd ed.; Springer: Berlin/Heidelberg, Germany, 2009. [Google Scholar]
- Ouyang, F.; Ge, F. Nonlinear analysis of insect population dynamics based on generalized additive models and statistical computing using R. Chin. J. Appl. Entomol. 2013, 50, 1170–1177. [Google Scholar]
- Diggle, P.J.; Rowlingson, B.S. A conditional approach to point process modelling of elevated risk. J. Royal Statist. Soc. Ser. A 1994, 157, 433–440. [Google Scholar] [CrossRef]
- Shi, P.; Ge, F.; Sun, Y.; Chen, C. A simple mode for describing the effect of temperature on insect developmental rate. J. Asia-Pac. Entomol. 2011, 14, 15–20. [Google Scholar] [CrossRef]
- Bell, R.; Koren, Y.; Volinsky, C. Modeling relationships at multiple scales to improve accuracy of large recommender systems. In Proceedings of the 13th ACM SIGKDD International Conference on Knowledge Discovery and Data Mining (KDD’ 07), San Jose, CA, USA, 12–15 August 2007. [Google Scholar]




| Formula | AIC |
|---|---|
| ln(y) ~ TC + SC + FC + PHP + PWB + APC | −72.66 |
| ln(y) ~ TC + SC + FC + PHP + PWB | −74.66 |
| ln(y) ~ TC + SC + FC + PHP | −76.54 |
| ln(y) ~ TC + SC + FC | −78.17 |
| Smooth Terms | df | χ2 | p-Value |
|---|---|---|---|
| s(TC) | 3.31 | 53.94 | <0.001 |
| s(SC) | 2.94 | 108.51 | <0.001 |
| s(FC) | 4.30 | 39.70 | <0.001 |
| Formula | AIC | Deviance Explained | Insignificant Items |
|---|---|---|---|
| y ~ s(TC) + s(SC) + s(FC) | 538.99 | 55.2% | − |
| y ~ s(TC) + s(SC) + s(FC) + s(TS) + s(TF) + s(SF) | 483.26 | 72.6% | s(TC) and s(SF) |
| y ~ s(TC) + s(SC) + s(FC) + s(TF) + s(SF) | 501.82 | 65.5% | − |
| y ~ s(TC) + s(SC) + s(FC) + s(TS) + s(SF) | 501.11 | 65.7% | s(SF) |
| y ~ s(TC) + s(SC) + s(FC) + s(TS) + s(TF) | 485.23 | 70.5% | s(TC) |
| y ~ s(TC) + s(SC) + s(FC) + s(TS) | 499.48 | 65.7% | − |
| y ~ s(TC) + s(SC) + s(FC) + s(TF) | 523.60 | 59.6% | − |
| y ~ s(TC) + s(SC) + s(FC) + s(SF) | 523.25 | 59.7% | − |
| y ~ s(TC) + s(SC) + s(FC) + s(TSF) | 509.67 | 63.4% | − |
Disclaimer/Publisher’s Note: The statements, opinions and data contained in all publications are solely those of the individual author(s) and contributor(s) and not of MDPI and/or the editor(s). MDPI and/or the editor(s) disclaim responsibility for any injury to people or property resulting from any ideas, methods, instructions or products referred to in the content. |
© 2023 by the authors. Licensee MDPI, Basel, Switzerland. This article is an open access article distributed under the terms and conditions of the Creative Commons Attribution (CC BY) license (https://creativecommons.org/licenses/by/4.0/).
Share and Cite
Yang, Y.; Ratkowsky, D.A.; Yang, J.; Shi, P. Effects of Plant Coverage on the Abundance of Adult Mosquitos at an Urban Park. Plants 2023, 12, 983. https://doi.org/10.3390/plants12050983
Yang Y, Ratkowsky DA, Yang J, Shi P. Effects of Plant Coverage on the Abundance of Adult Mosquitos at an Urban Park. Plants. 2023; 12(5):983. https://doi.org/10.3390/plants12050983
Chicago/Turabian StyleYang, Yunfeng, David A. Ratkowsky, Jiaqi Yang, and Peijian Shi. 2023. "Effects of Plant Coverage on the Abundance of Adult Mosquitos at an Urban Park" Plants 12, no. 5: 983. https://doi.org/10.3390/plants12050983
APA StyleYang, Y., Ratkowsky, D. A., Yang, J., & Shi, P. (2023). Effects of Plant Coverage on the Abundance of Adult Mosquitos at an Urban Park. Plants, 12(5), 983. https://doi.org/10.3390/plants12050983

