Variations in Soil Nitrogen Availability and Crop Yields under a Three-Year Annual Wheat and Maize Rotation in a Fluvo-Aquic Soil
Abstract
1. Introduction
2. Results
2.1. Soil Nutrient Content
2.1.1. Soil Organic Matter and Total Nitrogen Contents
2.1.2. Soil Alkaline Nitrogen, Available Phosphorus, and Available Potassium Contents
2.1.3. Soil Nitrate Nitrogen and Ammonium Nitrogen Contents
2.1.4. The Interaction
2.2. Principal Component Analysis of Soil Nutrient Indicators
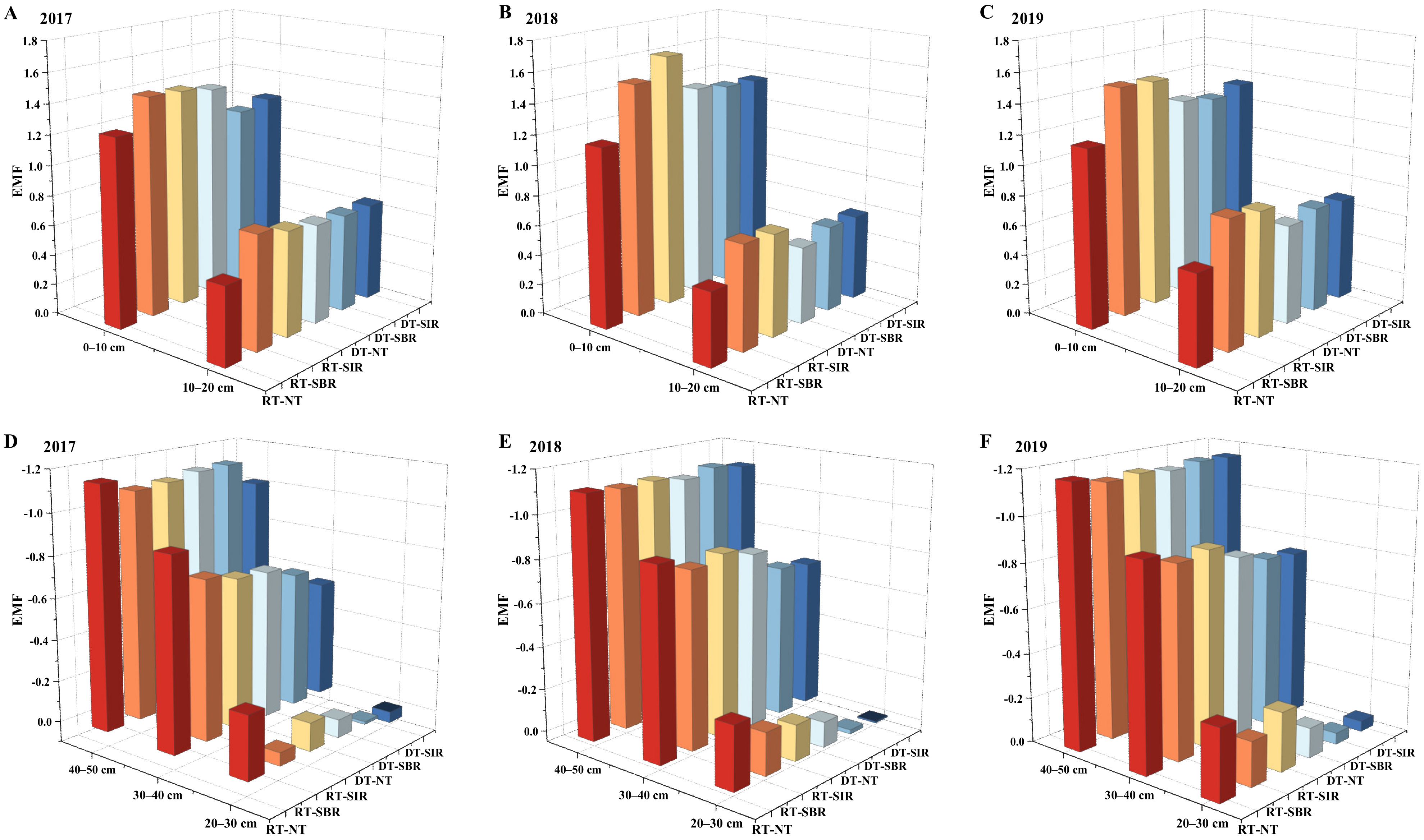
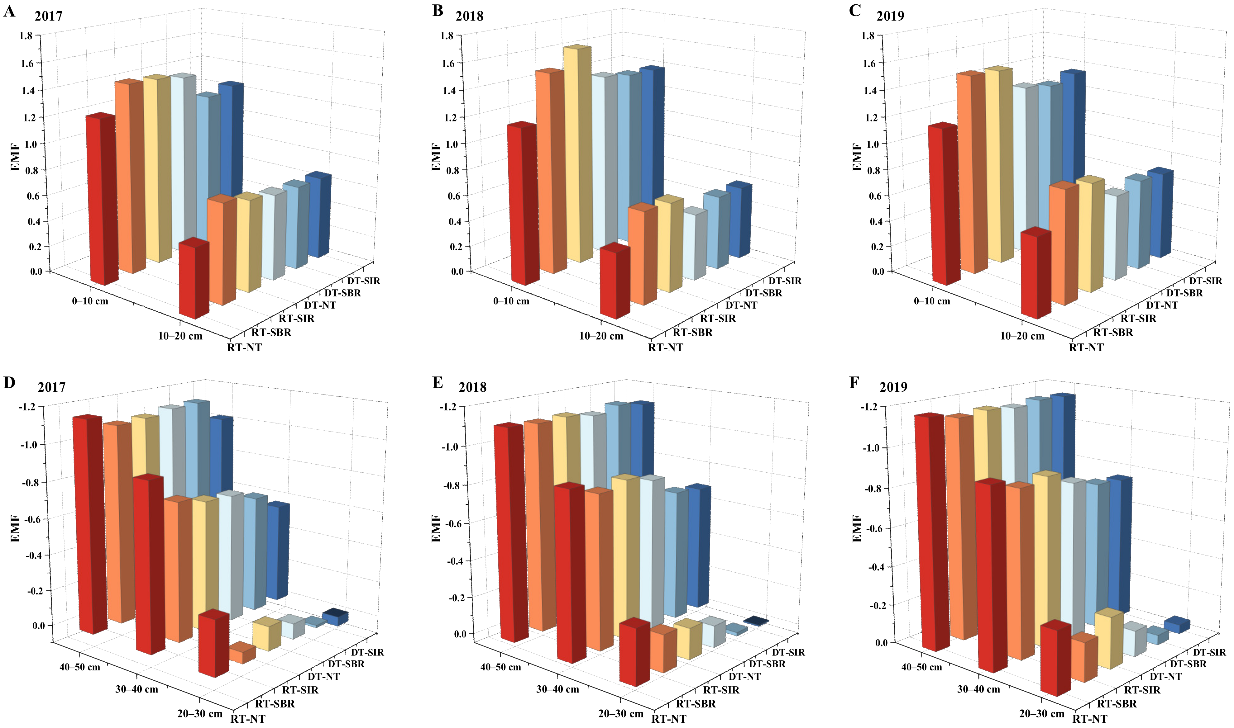
2.3. Soil Ecosystem Multifunctionality
2.4. Maize Yield, Yield Stability, and Coefficient of Variation
2.5. Relationship between the Soil Nutrient Content and Maize Yield
3. Discussion
4. Materials and Methods
4.1. The Experimental Site
4.2. Experimental Design
4.3. Sampling and Analysis
4.4. Calculations
4.5. Statistical Analysis
5. Conclusions
Author Contributions
Funding
Institutional Review Board Statement
Informed Consent Statement
Data Availability Statement
Conflicts of Interest
References
- Zhang, X.F.; Zhu, A.N.; Xin, X.L.; Yang, W.L.; Zhang, J.B.; Ding, S.J. Tillage and residue management for long-term wheat-maize cropping in the North China Plain: I. Crop yield and integrated soil fertility index. Field Crops Res. 2018, 221, 157–165. [Google Scholar] [CrossRef]
- Wang, S.B.; Guo, L.L.; Zhou, P.C.; Wang, X.J.; Shen, Y.; Han, H.F.; Ning, T.Y.; Han, K. Effect of subsoiling depth on soil physical properties and summer maize (Zea mays L.) yield. Plant Soil Environ. 2019, 65, 131–137. [Google Scholar] [CrossRef]
- Madarasz, B.; Juhos, K.; Ruszkiczay-Rudiger, Z.; Benke, S.; Jakab, G.; Szalai, Z. Conservation tillage vs. conventional tillage: Long-term effects on yields in continental, sub-humid Central Europe, Hungary. Int. J. Agr. Sustain. 2016, 14, 408–427. [Google Scholar] [CrossRef]
- Panico, S.C.; Esposito, F.; Memoli, V.; Vitale, L.; Polimeno, F.; Magliulo, V.; Maisto, G.; De Marco, A. Variations of agricultural soil quality during the growth stages of sorghum and sunflower. Appl. Soil Ecol. 2020, 152, 103569. [Google Scholar] [CrossRef]
- Wang, Y.Q.; Zhang, Y.H.; Wang, Z.M.; Tao, H.B.; Zhou, S.L.; Wang, P. Effects of winter wheat season tillage on soil properties and yield of summer maize. Plant Soil Environ. 2017, 63, 22–28. [Google Scholar] [CrossRef]
- Mu, X.Y.; Zhao, Y.L.; Liu, K.; Ji, B.Y.; Guo, H.B.; Xue, Z.W.; Li, C.H. Responses of soil properties, root growth and crop yield to tillage and crop residue management in a wheat-maize cropping system on the North China Plain. Eur. J. Agron. 2016, 78, 32–43. [Google Scholar] [CrossRef]
- Zhao, Y.L.; Xu, Z.W.; Guo, H.B.; Mu, X.Y.; Li, C.H. Effects of tillage and straw returning on water consumption characteristics and water use efficiency in the winter wheat and summer maize rotation system. Sci. Agric. Sin. 2014, 47, 3359–3371. [Google Scholar]
- Zhu, S.W.; Gao, T.P.; Liu, Z.; Ning, T.Y. Rotary and subsoiling tillage rotations influence soil carbon and nitrogen sequestration and crop yield. Plant Soil Environ. 2022, 68, 89–97. [Google Scholar] [CrossRef]
- Jiang, F.H.; Wang, Y.K.; Guo, Z.C.; Zhang, Z.B.; Peng, X.H. Effect of “rotary-subsoiling” tillage on soil physical properties and crop growth in Fluvo-aquic soil and Shajiang black soil. Chin. J. Soil Sci. 2021, 52, 801–810. [Google Scholar]
- Liu, Q.Y.; Kan, Z.R.; He, C.; Zhang, H.L. Effects of strategic tillage on soil physicochemical properties and grain yield in the North China Plain. Agronomy 2020, 10, 1167. [Google Scholar] [CrossRef]
- Liang, H.; Chen, B.C.; Han, H.F.; Wang, S.B.; Wang, G.W. Subsoiling 35 cm in depth improve soil physicochemical properties and increase grain yields of wheat and maize in aquic brown soil. Plant Nutr. Fert. Sci. 2019, 25, 1879–1886. [Google Scholar]
- Cong, P.; Wang, J.; Li, Y.Y.; Liu, N.; Dong, J.X.; Pang, H.C.; Zhang, L.; Gao, Z.J. Changes in soil organic carbon and microbial community under varying straw incorporation strategies. Soil Tillage Res. 2020, 204, 104735. [Google Scholar] [CrossRef]
- Zhang, W.J.; Li, S.Y.; Xu, Y.D.; Wang, Y.; Liu, X.; Peng, C.; Wang, J.K. Residue incorporation enhances the effect of subsoiling on soil structure and increases SOC accumulation. J. Soil Sediment. 2020, 20, 3537–3547. [Google Scholar] [CrossRef]
- Liu, X.; Peng, C.; Zhang, W.J.; Li, S.Y.; An, T.T.; Xu, Y.D.; Ge, Z.; Xie, N.H.; Wang, J.K. Subsoiling tillage with straw incorporation improves soil microbial community characteristics in the whole cultivated layers: A one-year study. Soil Tillage Res. 2022, 215, 105188. [Google Scholar] [CrossRef]
- Liu, N.; Li, Y.; Cong, P.; Wang, J.; Guo, W.; Pang, H.; Zhang, L. Depth of straw incorporation significantly alters crop yield, soil organic carbon and total nitrogen in the North China Plain. Soil Tillage Res. 2021, 205, 104772. [Google Scholar] [CrossRef]
- Zhao, H.X.; Wu, L.; Zhu, S.W.; Sun, H.C.; Xu, C.L.; Fu, J.D.; Ning, T.Y. Sensitivities of physical and chemical attributes of soil quality to different tillage management. Agronomy 2022, 12, 1153. [Google Scholar] [CrossRef]
- Han, S.; Wu, J.; Li, M.; Chen, F.; Wang, Y.Q.; Cheng, W.L.; Tang, S.; Wang, H.; Guo, X.S.; Lu, C.A. Deep tillage with straw returning increase crop yield and improve soil physicochemical properties under topsoil thinning treatment. Plant Nutr. Fert. Sci. 2020, 26, 276–284. [Google Scholar]
- Wu, G.; Ling, J.; Zhao, D.Q.; Xu, Y.P.; Liu, Z.X.; Wen, Y.; Zhou, S.L. Deep-injected straw incorporation improves subsoil fertility and crop productivity in a wheat-maize rotation system in the North China Plain. Field Crops Res. 2022, 286, 108612. [Google Scholar] [CrossRef]
- Guan, Y.X.; Wang, Q.; Zhao, H.M.; Jia, X.C.; Yan, Z.H.; Liu, D.Y.; Dong, P.F.; Li, C.H. Effects of deep tillage and fertilization on plant growth, photosynthetic characteristics and yield of summer maize in lime concretion black soil. Henan Agric. Sci. 2021, 50, 31–39. [Google Scholar]
- Yin, B.Z.; Hu, Z.H.; Wang, Y.D.; Zhao, J.; Pan, Z.H.; Zhen, W.C. Effects of optimized subsoiling tillage on field water conservation and summer maize (Zea mays L.) yield in the North China Plain. Agric. Water Manag. 2021, 247, 106732. [Google Scholar] [CrossRef]
- Liang, Y.; Ma, K.; Zhu, H.Y.; Qi, H.; Liu, M. Effect of subsoiling strategies and nitrogen application on the nitrogen utilization efficiency and grain yield of spring maize. J. Maize Sci. 2014, 22, 129–134. [Google Scholar]
- Zhang, R.F.; Yang, H.S.; Gao, J.L.; Zhang, Y.Q.; Wang, Z.G.; Fan, X.Y.; Bi, W.B. Effect of subsoiling on root morphological and physiological characteristics of spring maize. Trans. CSAE 2015, 31, 78–84. [Google Scholar]
- Yuan, J.C.; Liu, J.Z.; Yan, X.G.; Zhang, H.X.; Liang, Y.; Cai, H.G.; Ren, J. Optimization of agronomic management mode for high-yield continuous spring maize cropping system. Plant Nutr. Fert. Sci. 2018, 24, 53–62. [Google Scholar]
- Lynch, J.P.; Wojciechowski, T. Opportunities and challenges in the subsoil: Pathways to deeper rooted crops. J. Exp. Bot 2015, 66, 2199–2210. [Google Scholar] [CrossRef]
- Li, S.; Hu, M.J.; Shi, J.L.; Tian, X.H. Improving long-term crop productivity and soil quality through integrated straw-return and tillage strategies. Agron. J. 2022, 114, 1500–1511. [Google Scholar] [CrossRef]
- Zhou, X.G. Effects of Understory Plant Functional Groups Loss on Soil Ecosystem Multifunctionality in Eucalyptus Plantations. Ph.D. Thesis, Guangxi University, Nanning, Guangxi, 2016. [Google Scholar]
- Hector, A.; Bagchi, R. Biodiversity and ecosystem multifunctionality. Nature 2007, 448, 188–190. [Google Scholar] [CrossRef]
- Allan, E.; Manning, P.; Alt, F.; Binkenstein, J.; Blaser, S.; Bluethgen, N.; Bohm, S.; Grassein, F.; Holzel, N.; Klaus, V.H.; et al. Land use intensification alters ecosystem multifunctionality via loss of biodiversity and changes to functional composition. Ecol. Lett. 2015, 18, 834–843. [Google Scholar] [CrossRef]
- Wagg, C.; Bender, S.F.; Widmer, F.; van der Heijden, M.G.A. Soil biodiversity and soil community composition determine ecosystem multifunctionality. PNAS 2014, 111, 5266–5270. [Google Scholar] [CrossRef]
- Li, Q.S.; Yang, K.; Wang, Z.P.; Zhao, H.; Jiao, J.G.; Li, H.X. Effects of organic substitution on soil extracellular enzyme activity and multi-functionality in rice-rapeseed rotation system. J. Soil Water Conserv. 2021, 35, 345–352+360. [Google Scholar]
- Chen, Q.L.; Ding, J.; Zhu, D.; Hu, H.W.; Delgado-Baquerizo, M.; Ma, Y.B.; He, J.Z.; Zhu, Y.G. Rare microbial taxa as the major drivers of ecosystem multifunctionality in long-term fertilized soils. Soil Biol. Biochem. 2020, 141, 107686. [Google Scholar] [CrossRef]
- Zhao, D.; Shen, J.; Lang, K.; Liu, Q.; Li, Q. Effects of irrigation and wide-precision planting on water use, radiation interception, and grain yield of winter wheat in the North China Plain. Agric. Water Manag. 2013, 118, 87–92. [Google Scholar]
- Guan, D.H.; Zhang, Y.S.; Al-Kaisi, M.M.; Wang, Q.Y.; Zhang, M.C.; Li, Z.H. Tillage practices effect on root distribution and water use efficiency of winter wheat under rain-fed condition in the North China Plain. Soil Tillage Res. 2015, 146, 286–295. [Google Scholar] [CrossRef]
- Zhu, C.W.; Long, Q.; Dong, S.G.; Shi, K.; Jiang, G.Y.; Li, X.L.; Zhang, C.Y.; Liu, F.; Shen, F.M.; Liu, S.L. Effects of rotary and deep tillage modes on soil microbial biomass carbon and nitrogen and enzyme activities in fluvo-aquic soil under wheat–maize rotation system. Plant Nutr. Fert. Sci. 2020, 26, 51–63. [Google Scholar]
- Dikgwatlhe, S.B.; Chen, Z.D.; Lal, R.; Zhang, H.L.; Chen, F. Changes in soil organic carbon and nitrogen as affected by tillage and residue management under wheat-maize cropping system in the North China Plain. Soil Tillage Res. 2014, 144, 110–118. [Google Scholar] [CrossRef]
- Ghorbani, M.; Konvalina, P.; Neugschwandtner, R.W.; Kopecký, M.; Amirahmadi, E.; Bucur, D.; Walkiewicz, A. Interaction of Biochar with Chemical, Green and Biological Nitrogen Fertilizers on Nitrogen Use Efficiency Indices. Agronomy 2022, 12, 2106. [Google Scholar] [CrossRef]
- Guo, T.C.; Song, X.; Ma, D.Y.; Wang, Y.H.; Xie, Y.X.; Yue, Y.J.; Zha, F.N. Effects of nitrogen application rate on soil enzyme activities in wheat rhizosphere. Chin. J. Appl. Ecol. 2008, 19, 110–114. [Google Scholar]
- Guaman, V.; Bath, B.; Hagman, J.; Gunnarsson, A.; Persson, P. Short time effects of biological and inter-row subsoiling on yield of potatoes grown on a loamy sand, and on soil penetration resistance, root growth and nitrogen uptake. Eur. J. Agron. 2016, 80, 55–65. [Google Scholar] [CrossRef]
- Li, Y.J.; Wang, H.; Zhao, J.N.; Huangfu, C.H.; Yang, D.L. Effects of tillage methods on soil physicochemical properties and biological characteristics in farmland. Chin. J. Appl. Ecol. 2015, 26, 939–948. [Google Scholar]
- Shao, Y.; Wang, X.J.; Zhang, J.J.; Hu, Y.J.; Feng, R.C.; Yao, L.Q.; Zhao, Y.L.; Li, C.X. Effects of tillage and fertilizer on soil nutrient and wheat yield in wheat-corn rotation area. Acta Agric. Boreali-Sin. 2013, 28, 152–158. [Google Scholar]
- Lü, W.; Li, J.; Yue, Z.F.; Chen, N.N.; Wang, S.L. Effects of rotational tillage on soil organic matter and soil total nitrogen contents of continuous cropping wheat field in Weibei highland. Sci. Agric. Sin. 2015, 48, 3186–3200. [Google Scholar]
- Wang, Y.L.; Li, J. Study of tillage patterns suitable for soil physicochemical properties and crop yields in wheat/maize fields. Plant Nutr. Fert. Sci. 2014, 20, 1139–1150. [Google Scholar]
- Huang, T.; Yang, N.; Lu, C.; Qin, X.; Siddique, K.H.M. Soil organic carbon, total nitrogen, available nutrients, and yield under different straw returning methods. Soil Tillage Res. 2021, 214, 105171. [Google Scholar] [CrossRef]
- Akhtar, K.; Wang, W.; Ren, G.; Khan, A.; Feng, Y.; Yang, G.; Wang, H. Integrated use of straw mulch with nitrogen fertilizer improves soil functionality and soybean production. Environ. Int. 2019, 132, 105092. [Google Scholar] [CrossRef] [PubMed]
- Wang, Y.F.; Chen, P.; Wang, F.H.; Han, W.X.; Qiao, M.; Dong, W.X.; Hu, C.S.; Zhu, D.; Chu, H.Y.; Zhu, Y.G. The ecological clusters of soil organisms drive the ecosystem multifunctionality under long-term fertilization. Environ. Int. 2022, 161, 107133. [Google Scholar] [CrossRef] [PubMed]
- Guo, Y.Q.; Xu, T.Q.; Cheng, J.M.; Wei, G.H.; Lin, Y.B. Above- and belowground biodiversity drives soil multifunctionality along a long-term grassland restoration chronosequence. Sci. Total Environ. 2021, 772, 145010. [Google Scholar] [CrossRef]
- Schneider, F.; Don, A.; Hennings, I.; Schmittmann, O.; Seidel, S.J. The effect of deep tillage on crop yield—What do we really know? Soil Tillage Res. 2017, 174, 193–204. [Google Scholar] [CrossRef]
- Kong, F.L.; Chen, F.; Zhang, H.L.; Huang, G.H. Effects of rotational tillage on soil physical properties and winter wheat yield. Trans CSAE 2010, 26, 150–155. [Google Scholar]
- Nie, L.P.; Guo, L.W.; Niu, H.Y.; Wei, J.; Li, Z.J.; Ning, T.Y. Effects of rotational tillage on tilth soil structure and crop yield and quality in maize–wheat cropping system. Acta Agron. Sin. 2015, 41, 468–478. [Google Scholar] [CrossRef]
- Fu, G.Z.; Li, C.H.; Wang, J.Z.; Wang, Z.L.; Cao, H.M.; Jiao, N.Y.; Chen, M.C. Effects of stubble mulch and tillage managements on soil physical properties and water use efficiency of summer maize. Trans. CSAE 2005, 21, 52–56. [Google Scholar]
- Gao, F.; Li, X.; Ren, B.Z.; Dong, S.T.; Liu, P.; Zhao, B.; Zhang, J.W. Root characteristics and grain yield of summer maize under different winter wheat-summer maize tillage systems. Sci. Agric. Sin. 2017, 50, 2141–2149. [Google Scholar]
- Zhai, L.; Xu, P.; Zhang, Z.; Li, S.; Xie, R.; Zhai, L.; Wei, B. Effects of deep vertical rotary tillage on dry matter accumulation and grain yield of summer maize in the Huang-Huai-Hai Plain of China. Soil Tillage Res. 2017, 170, 167–174. [Google Scholar] [CrossRef]
- Amirahmadi, E.; Ghorbani, M.; Moudrý, J. Effects of Zeolite on Aggregation, Nutrient Availability, and Growth Characteristics of Corn (Zea mays L.) in Cadmium-Contaminated Soils. Water Air Soil Pollut. 2022, 233, 436. [Google Scholar] [CrossRef]
- Hou, X.Q.; Wang, W.; Han, Q.F.; Jia, Z.K.; Yan, B.; Li, Y.P.; Su, Q. Effects of rotational tillage during summer fallow on wheat field soil water regime and grain yield. Chin. J. Appl. Ecol. 2011, 22, 2524–2532. [Google Scholar]
- Wang, S.L.; Wang, H.; Li, J.; Lü, W.; Chen, N.N.; Li, J. Effects of long-term straw mulching on soil organic carbon, nitrogen and moisture and spring maize yield on rain-fed croplands under different patterns of soil tillage practice. Chin. J. Appl. Ecol. 2016, 27, 1530–1540. [Google Scholar]
- Lyu, G.H.; Xie, Y.B.; Wen, R.H.; Wang, X.Y.; Jia, Q.Y. Modeling root biomass of maize in Northeast China. Chin. J. Eco-Agric. 2019, 27, 572–580. [Google Scholar]
- Cong, P.; Li, Y.Y.; Wang, J.; Feng, H.C.; Zhang, L.; Liu, N.; Gao, J.S. Effect of one-off bury of different amounts of straws at 40 cm deep on subsoil fertility. Plant Nutr. Fert. Sci. 2020, 26, 74–85. [Google Scholar]
- Dou, S. Improving subsoil fertility through a new technology of continuous in belt and deep incorporation of corn stover. Plant Nutr. Fert. Sci. 2017, 23, 1670–1675. [Google Scholar]
- IUSS Working Group WRB. World Reference Base for Soil Resources 2006; first update 2007; World Soil Resources Reports No. 103; FAO: Rome, Italy, 2007. [Google Scholar]
- Bao, S.D. Soil Agro-Chemistrical Analysis, 3rd ed.; China Agricultural Press: Beijing, China, 2000; pp. 30–108. [Google Scholar]
- Vance, E.D.; Brookes, P.C.; Jenkinson, D.S. An extraction method for measuring soil microbial biomass C. Soil Biol. Biochem. 1987, 19, 703–707. [Google Scholar] [CrossRef]
- Brookes, P.C.; Landman, A.; Pruden, G.; Jenkinson, D.S. Chloroform fumigation and the release of soil nitrogen: A rapid direct extraction method to measure microbial biomass nitrogen in soil—ScienceDirect. Soil Biol. Biochem. 1985, 17, 837–842. [Google Scholar] [CrossRef]
- Guan, S.M. Soil Enzyme and Its Research Method; China Agricultural Press: Beijing, China, 1986; pp. 274–313. [Google Scholar]
- Delgado-Baquerizo, M.; Maestre, F.T.; Reich, P.B.; Jeffries, T.C.; Gaitan, J.J.; Encinar, D.; Berdugo, M.; Campbell, C.D.; Singh, B.K. Microbial diversity drives multifunctionality in terrestrial ecosystems. Nat. Commun. 2016, 7, 10541. [Google Scholar] [CrossRef]
- Pooniya, V.; Zhiipao, R.R.; Biswakarma, N.; Kumar, D.; Shivay, Y.S.; Babu, S.; Das, K.; Choudhary, A.K.; Swarnalakshmi, K.; Jat, R.D.; et al. Conservation agriculture based integrated crop management sustains productivity and economic profitability along with soil properties of the maize-wheat rotation. Sci. Rep. 2022, 12, 1962. [Google Scholar] [CrossRef] [PubMed]
- Manna, M.C.; Swarup, A.; Wanjari, R.H.; Ravankar, H.N.; Mishra, B.; Saha, M.N.; Singh, Y.V.; Sahi, D.K.; Sarap, P.A. Long-term effect of fertilizer and manure application on soil organic carbon storage, soil quality and yield sustainability under sub-humid and semi-arid tropical India. Field Crops Res. 2005, 93, 264–280. [Google Scholar] [CrossRef]
- Reddy, D.D.; Rao, A.S.; Reddy, K.S.; Takkar, P.N. Yield sustainability and phosphorus utilization in soybean±wheat system on vertisols in response to integrated use of manure and fertilizer phosphorus. Field Crops Res. 1999, 62, 181–190. [Google Scholar] [CrossRef]










| Source of Variation | SOM | TN | C/N | AN | AP | AK | NO3−-N | NH4+-N |
|---|---|---|---|---|---|---|---|---|
| Depth | 7087.83 *** | 7363.19 *** | 1012.51 *** | 3035.45 *** | 5305.48 *** | 5733.86 ** | 5182.04 *** | 3697.76 *** |
| Year | 88.69 *** | 925.08 *** | 86.10 *** | 6.26 *** | 25.78 *** | 47.99 *** | 622.36 *** | 502.33 *** |
| Treatment | 32.57 *** | 14.06 *** | 15.19 *** | 12.51 *** | 16.29 *** | 18.10 *** | 16.74 *** | 9.52 *** |
| Depth × Year | 13.33 *** | 119.56 *** | 29.52 *** | 14.34 *** | 4.65 *** | 72.94 *** | 171.68 *** | 61.88 *** |
| Depth × Treatment | 12.35 *** | 10.19 *** | 5.80 *** | 5.07 *** | 2.22 ** | 13.95 *** | 7.03 *** | 9.81 *** |
| Year × Treatment | 5.03 *** | 6.34 *** | 3.85 *** | 1.24 NS | 4.14 *** | 2.36 * | 7.20 *** | 5.90 *** |
| Depth × Year × Treatment | 2.48 *** | 5.18 *** | 2.24 *** | 0.90 NS | 3.51 *** | 3.07 *** | 4.90 *** | 7.13 *** |
| Soil Depth | Factor | PC1 | PC2 | PC3 |
|---|---|---|---|---|
| 0–10 cm | Eigenvalues | 2.778 | 2.185 | 1.036 |
| Percent (%) | 34.729 | 27.314 | 12.946 | |
| Cumulative (%) | 34.729 | 62.043 | 74.989 | |
| 10–20 cm | Eigenvalues | 3.484 | 2.11 | 1.219 |
| Percent (%) | 43.544 | 26.38 | 15.239 | |
| Cumulative (%) | 43.544 | 69.924 | 85.163 | |
| 20–30 cm | Eigenvalues | 3.597 | 2.403 | 1.087 |
| Percent (%) | 44.956 | 30.034 | 13.59 | |
| Cumulative (%) | 44.956 | 74.991 | 88.58 | |
| 30–40 cm | Eigenvalues | 3.355 | 1.967 | 1.211 |
| Percent (%) | 41.939 | 24.59 | 15.14 | |
| Cumulative (%) | 41.939 | 66.528 | 81.668 | |
| 40–50 cm | Eigenvalues | 3.283 | 2.28 | 1.111 |
| Percent (%) | 41.035 | 28.505 | 13.889 | |
| Cumulative (%) | 41.035 | 69.539 | 83.429 |
Disclaimer/Publisher’s Note: The statements, opinions and data contained in all publications are solely those of the individual author(s) and contributor(s) and not of MDPI and/or the editor(s). MDPI and/or the editor(s) disclaim responsibility for any injury to people or property resulting from any ideas, methods, instructions or products referred to in the content. |
© 2023 by the authors. Licensee MDPI, Basel, Switzerland. This article is an open access article distributed under the terms and conditions of the Creative Commons Attribution (CC BY) license (https://creativecommons.org/licenses/by/4.0/).
Share and Cite
Niu, R.; Zhu, C.; Jiang, G.; Yang, J.; Zhu, X.; Li, L.; Shen, F.; Jie, X.; Liu, S. Variations in Soil Nitrogen Availability and Crop Yields under a Three-Year Annual Wheat and Maize Rotation in a Fluvo-Aquic Soil. Plants 2023, 12, 808. https://doi.org/10.3390/plants12040808
Niu R, Zhu C, Jiang G, Yang J, Zhu X, Li L, Shen F, Jie X, Liu S. Variations in Soil Nitrogen Availability and Crop Yields under a Three-Year Annual Wheat and Maize Rotation in a Fluvo-Aquic Soil. Plants. 2023; 12(4):808. https://doi.org/10.3390/plants12040808
Chicago/Turabian StyleNiu, Runzhi, Changwei Zhu, Guiying Jiang, Jin Yang, Xuanlin Zhu, Lianyi Li, Fengmin Shen, Xiaolei Jie, and Shiliang Liu. 2023. "Variations in Soil Nitrogen Availability and Crop Yields under a Three-Year Annual Wheat and Maize Rotation in a Fluvo-Aquic Soil" Plants 12, no. 4: 808. https://doi.org/10.3390/plants12040808
APA StyleNiu, R., Zhu, C., Jiang, G., Yang, J., Zhu, X., Li, L., Shen, F., Jie, X., & Liu, S. (2023). Variations in Soil Nitrogen Availability and Crop Yields under a Three-Year Annual Wheat and Maize Rotation in a Fluvo-Aquic Soil. Plants, 12(4), 808. https://doi.org/10.3390/plants12040808
