Enhancing Wheat Gluten Content and Processing Quality: An Analysis of Drip Irrigation Nitrogen Frequency
Abstract
1. Introduction
2. Results
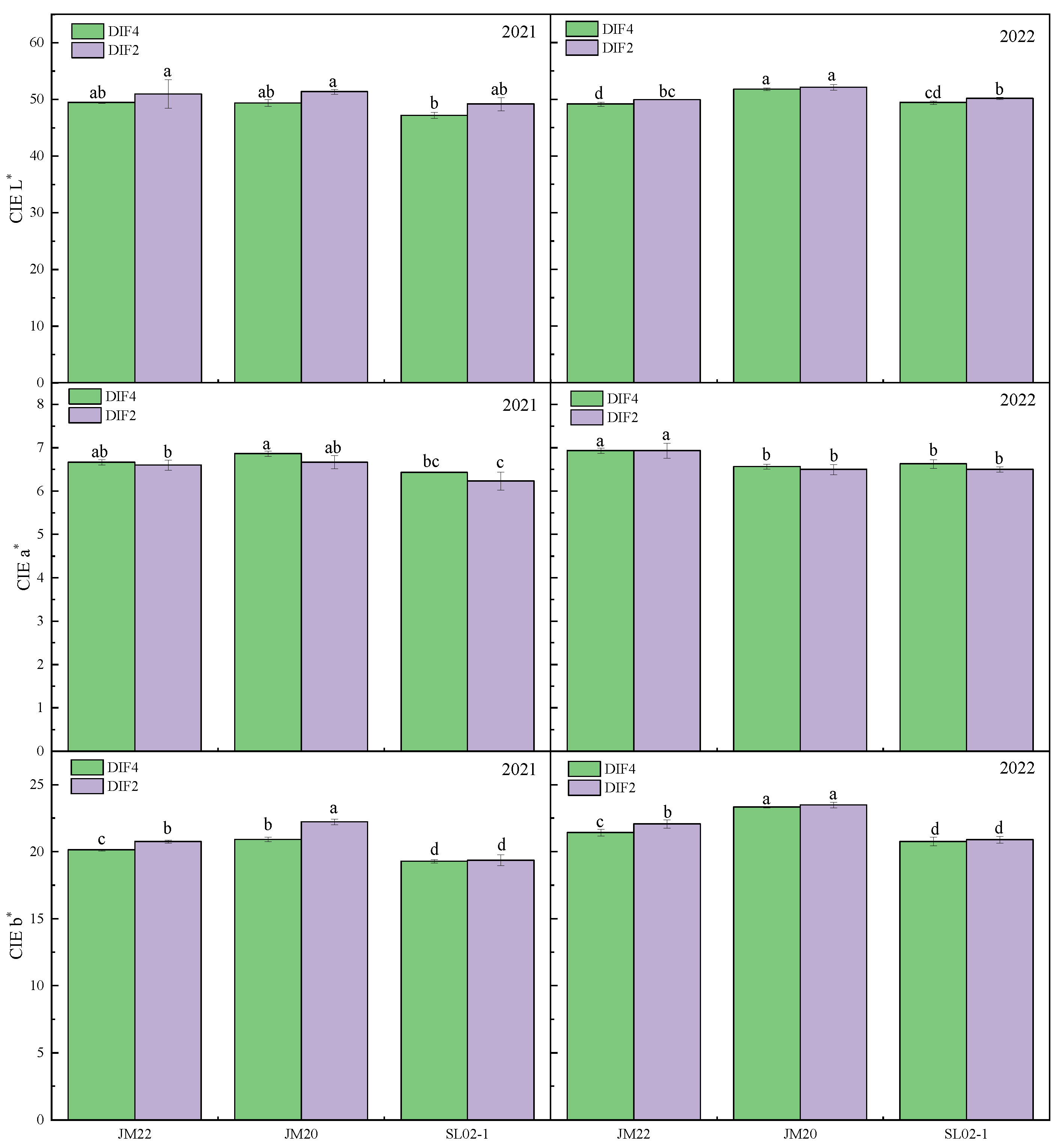
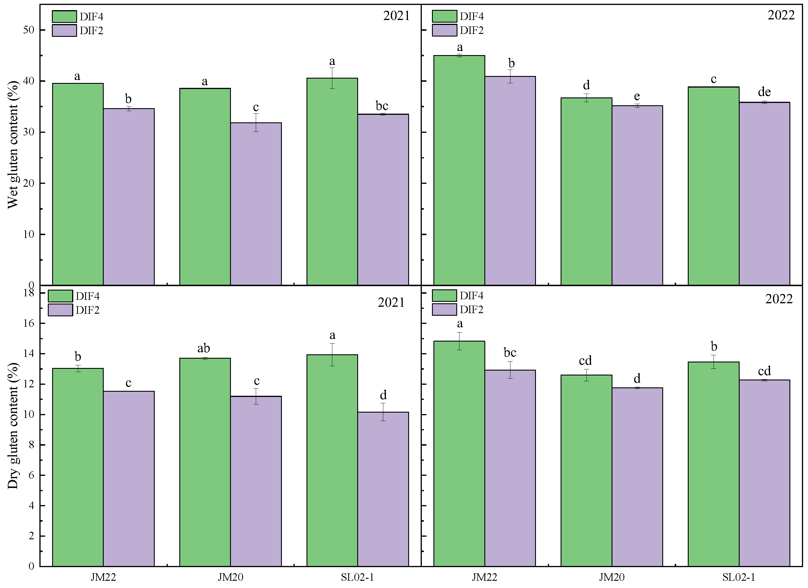
2.1. CIE, Hardness Value, Protein Content, Wet/Dry Gluten Content, Sedimentation Value
2.2. Flour Quality
2.3. Tensile Quality
2.4. Principal Component Analysis (PCA)
2.5. Correlation Analysis
3. Discussion
4. Materials and Methods
4.1. Experimental Design
4.2. Measurements
4.2.1. Preparation of Flour and Whole Wheat Flour
4.2.2. Determination of Protein Content
4.2.3. Determination of Gluten Content and Gluten Index
4.2.4. Determination of Sedimentation Value
4.2.5. Determination of Hardness Value
4.2.6. Powder and Tensile Parameters Testing
4.2.7. Determination of CIE L*a*b*
4.3. Data Analysis
5. Conclusions
Author Contributions
Funding
Data Availability Statement
Conflicts of Interest
References
- Fan, M.; Shen, J.; Yuan, L.; Jiang, R.; Chen, X.; Davies, W.J.; Zhang, F. Improving crop productivity and resource use efficiency to ensure food security and environmental quality in China. J. Exp. Bot. 2012, 63, 13–24. [Google Scholar] [CrossRef]
- Huang, P.; Zhang, J.; Zhu, A.; Xin, X.; Zhang, C.; Ma, D.; Yang, S.; Mirza, Z.; Wu, S. Coupled water and nitrogen (n) management as a key strategy for the mitigation of gaseous N losses in the Huang-Huai-Hai plain. Biol. Fertil. Soils 2014, 51, 333–342. [Google Scholar] [CrossRef]
- Li, H.; Wang, H.; Fang, Q.; Jia, B.; Li, D.; He, J.; Li, R. Effects of irrigation and nitrogen application on NO3−-N distribution in soil, nitrogen absorption, utilization and translocation by winter wheat. Agric. Water Manag. 2023, 276, 108058. [Google Scholar] [CrossRef]
- Li, S.; Li, Z.; Si, J.; Bi, X.; Wang, Z.; Wang, F.; Feng, B.; Shi, J.; Liu, K. Nitrogen fertilizer management on wheat yield and nitrogen utilization. J. Plant Nutr. 2022, 45, 1953–1960. [Google Scholar] [CrossRef]
- Hu, X.; Sun, L.; Zhou, G.; Wu, L.; Lu, W.; Li, W.; Wang, S.; Yang, X.; Song, J.; Wang, B. Variations of wheat quality in China from 2006 to 2015. Sci. Agric. Sin. 2016, 49, 3063–3072. [Google Scholar] [CrossRef]
- Zhang, H.; Hu, Y.; Dai, Q.; Xing, Z.; Wei, H.; Sun, C.; Gao, H.; Hu, Q. Discussions on frontiers and directions of scientific and technological innovation in China’s field crop cultivation. Sci. Agric. Sin. 2022, 55, 4373–7382. [Google Scholar] [CrossRef]
- Pramanick, B.; Mahapatra, B.S.; Datta, D.; Dey, P.; Singh, S.P.; Kumar, A.; Paramanik, B.; Awasthi, N. An innovative approach to improve oil production and quality of mustard (Brassica juncea L.) with multi-nutrient-rich polyhalite. Heliyon 2023, 9, e13997. [Google Scholar] [CrossRef]
- Deng, X.; Shan, L.; Zhang, H.; Turner, N.C. Improving agricultural water use efficiency in arid and semiarid areas of China. Agric. Water Manag. 2006, 80, 23–40. [Google Scholar] [CrossRef]
- Kang, S.; Hao, X.; Du, T.; Tong, L.; Su, X.; Lu, H.; Li, X.; Huo, Z.; Li, S.; Ding, R. Improving agricultural water productivity to ensure food security in China under changing environment: From research to practice. Agric. Water Manag. 2017, 179, 5–17. [Google Scholar] [CrossRef]
- Shi, X.; Pei, X.; Dang, J.; Zhang, D. Research progress on high-yield, high-quality, high-efficiency and ecology cultivation of wheat micro-sprinkling and drip fertigation. Crops 2022, 1–10. [Google Scholar] [CrossRef]
- Ma, C.; Liu, S.; Wang, X.; Wang, L.; Muhammad, T.; Xiao, Y.; Wang, Y.; Sun, Z.; Li, Y. Coupling regulation of root-zone soil water and fertilizer for summer maize with drip irrigation. Water 2022, 14, 3680. [Google Scholar] [CrossRef]
- Wu, X.; Cai, X.; Li, Q.; Ren, B.; Bi, Y.; Zhang, J.; Wang, D. Effects of nitrogen application rate on summer maize (Zea mays L.) yield and water–nitrogen use efficiency under micro–sprinkling irrigation in the huang–huai–hai plain of China. Arch. Agron. Soil Sci. 2022, 68, 1915–1929. [Google Scholar] [CrossRef]
- Sui, J.; Wang, J.; Gong, S.; Xu, D.; Zhang, Y. Effect of nitrogen and irrigation application on water movement and nitrogen transport for a wheat crop under drip irrigation in the north China plain. Water 2015, 7, 6651–6672. [Google Scholar] [CrossRef]
- Feng, Y.; Zhang, Y.; Li, S.; Wang, C.; Yin, X.; Chu, Q.; Chen, F. Sustainable options for reducing carbon inputs and improving the eco-efficiency of smallholder wheat-maize cropping systems in the huanghuaihai farming region of China. J. Clean. Prod. 2020, 244, 118887. [Google Scholar] [CrossRef]
- Blandino, M.; Marinaccio, F.; Reyneri, A. Effect of late-season nitrogen fertilization on grain yield and on flour rheological quality and stability in common wheat, under different production situations. Ital. J. Agron. 2016, 11, 107–113. [Google Scholar] [CrossRef]
- Trevisan, S.; Salimi Khorshidi, A.; Scanlon, M.G. Relationship between nitrogen functionality and wheat flour dough rheology: Extensional and shear approaches. Food Res. Int. 2022, 162 Pt B, 112049. [Google Scholar] [CrossRef]
- Edwards, N.M.; Dexter, J.E.; Scanlon, M.G.; Cenkowski, S. Relationship of creep-recovery and dynamic oscillatory measurements to durum wheat physical dough properties. Cereal Chem. 1999, 76, 638–645. [Google Scholar] [CrossRef]
- Peterson, C.J.; Shelton, D.R.; Martin, T.J.; Sears, R.G.; Williams, E.; Graybosch, R.A. Grain color stability and classification of hard white wheat in the U.S. Euphytica 2001, 119, 101–107. [Google Scholar] [CrossRef]
- Pasha, I.; Anjum, F.M.; Morris, C.F. Grain hardness: A major determinant of wheat quality. Food Sci. Technol. Int. 2010, 16, 511–522. [Google Scholar] [CrossRef]
- Symes, K.J. The inheritance of grain hardness in wheat as measured by the particle size index. Aust. J. Agric. Res. 1964, 16, 116–123. [Google Scholar] [CrossRef]
- Yang, X.; Wu, L.; Zhu, Z.; Ren, G.; Liu, S. Variation and trends in dough rheological properties and flour quality in 330 chinese wheat varieties. Crop J. 2014, 2, 195–200. [Google Scholar] [CrossRef][Green Version]
- Xue, X.; Gao, Q.; Yang, Z. Principal components analysis on major quality traits of winter wheat. Chin. Agric. Sci. Bull. 2011, 27, 38–41. [Google Scholar]
- Belton, P.S. Mini review on the elasticity of wheat gluten. J. Cereal Sci. 1999, 29, 103–107. [Google Scholar] [CrossRef]
- Ewart, J.A.D. A modified hypothesis for the structure and rheology of glutelins. J. Sci. Food Agric. 1972, 23, 687–699. [Google Scholar] [CrossRef] [PubMed]
- Rasheed, A.; Xia, X.; Yan, Y.; Appels, R.; Mahmood, T.; He, Z. Wheat seed storage proteins: Advances in molecular genetics, diversity and breeding applications. J. Cereal Sci. 2014, 60, 11–24. [Google Scholar] [CrossRef]
- Yu, X.; Chen, X.; Wang, L.; Yang, Y.; Zhu, X.; Shao, S.; Cui, W.; Xiong, F. Novel insights into the effect of nitrogen on storage protein biosynthesis and protein body development in wheat caryopsis. J. Exp. Bot. 2017, 68, 2259–2274. [Google Scholar] [CrossRef] [PubMed]
- Cornec, M.; Popineau, Y.; Lefebvre, J. Characterisation of gluten subfractions by se-hplc and dynamic rheological analysis in shear. J. Cereal Sci. 1994, 19, 131–139. [Google Scholar] [CrossRef]
- Khatkar, B.S.; Bell, A.E.; Schofield, J.D. The dynamic rheological properties of glutens and gluten sub-fractions from wheats of good and poor bread making quality. J. Cereal Sci. 1995, 22, 29–44. [Google Scholar] [CrossRef]
- Dhaka, V.; Khatkar, B.S. Influence of gluten addition on rheological, pasting, thermal, textural properties and bread making quality of wheat varieties. Qual. Assur. Saf. Crops Foods 2015, 7, 239–249. [Google Scholar] [CrossRef]
- Zhao, P.; Zhao, W.; Luo, H.; Zhai, Z.; Li, B.; Gou, S. The main quality traits of wheat: Correlation analysis and principal components analysis. Chin. Agric. Sci. Bull. 2019, 35, 7–13. [Google Scholar] [CrossRef]
- Duan, J.; Shao, Y.; He, L.; Li, X.; Hou, G.; Li, S.; Feng, W.; Zhu, Y.; Wang, Y.; Xie, Y. Optimizing nitrogen management to achieve high yield, high nitrogen efficiency and low nitrogen emission in winter wheat. Sci. Total Environ. 2019, 697, 134088. [Google Scholar] [CrossRef]
- Zhou, M.; Yang, J. Delaying or promoting? Manipulation of leaf senescence to improve crop yield and quality. Planta 2023, 258, 48. [Google Scholar] [CrossRef]
- Acreche, M.M.; Slafer, G.A. Variation of grain nitrogen content in relation with grain yield in old and modern spanish wheats grown under a wide range of agronomic conditions in a mediterranean region. J. Agric. Sci. 2009, 147, 657–667. [Google Scholar] [CrossRef]
- Munier-Jolain, N.G.; Salon, C. Are the carbon costs of seed production related to the quantitative and qualitative performance? An appraisal for legumes and other crops. Plant Cell Environ. 2005, 28, 1388–1395. [Google Scholar] [CrossRef]
- Hao, T.; Zhu, Z.; Zhang, Y.; Liu, S.; Xu, Y.; Xu, X.; Zhao, C. Effects of drip irrigation and fertilization frequency on yield, water and nitrogen use efficiency of medium and strong gluten wheat in the Huang-Huai-Hai plain of China. Agronomy 2023, 13, 1564. [Google Scholar] [CrossRef]
- Lukow, O.M.; Adams, K.; Suchy, J.; DePauw, R.M.; Humphreys, G. The effect of the environment on the grain colour and quality of commercially grown canada hard white spring wheat, Triticum aestivum L. ‘Snowbird’. Can. J. Plant Sci. 2013, 93, 1–11. [Google Scholar] [CrossRef]
- Matuscadiz, M.A.; Hucl, P.; Perron, C.E.; Tyler, R.T. Genotype × environment interaction for grain color in hard white spring wheat. Crop Sci. 2003, 43, 219–226. [Google Scholar] [CrossRef]
- Oury, F.X.; Brancourthulmel, M.; Depatureaux, C.; Doussinault, G.; Galic, N.; Giraud, A.; Heumez, E.; Lecomte, C.; Pluchard, P.; Rolland, B. Yield and grain protein concentration in bread wheat: A review and a study of multi-annual data from a french breeding program. J. Genet. Breed. 2003, 57, 59–68. [Google Scholar] [CrossRef]
- Li, S.; Wang, R.j.; Zhang, X.; Wu, W.; Shao, M. Research advancement of wheat nitrogen nutrition and nitrogen transportation in wheat grain filling. J. Soil Water Conserv. 2004, 18, 106–111. [Google Scholar] [CrossRef]
- Fuertes-Mendizabal, T.; Aizpurua, A.; Gonzalez-Moro, M.B.; Estavill, J.M. Improving wheat breadmaking quality by splitting the n fertilizer rate. Eur. J. Agron. 2010, 33, 52–61. [Google Scholar] [CrossRef]
- Godfrey, D.; Hawkesford, M.J.; Powers, S.J.; Millar, S.; Shewry, P.R. Effects of crop nutrition on wheat grain composition and end use quality. J. Agric. Food Chem. 2010, 58, 3012–3021. [Google Scholar] [CrossRef]
- Cao, Y.; Zhao, G.; Xin, Y.; Hao, X.; Hu, W.; Yu, D.; Chai, H.; Feng, D.; Pei, J.; Liu, J. Flour blending of weak gluten wheat and its effect on processing quality. J. Triticeae Crops 2022, 42, 178–187. [Google Scholar] [CrossRef]
- Park, H.; Clay, D.E.; Hall, R.G.; Rohila, J.S.; Kharel, T.P.; Clay, S.A.; Lee, S. Winter wheat quality responses to water, environment, and nitrogen fertilization. Commun. Soil Sci. Plant Anal. 2014, 45, 1894–1905. [Google Scholar] [CrossRef][Green Version]
- Hao, T.; Qu, W.; Zhao, J.; Deng, X.; Zhang, X.; Li, K.; Xu, X.; Zhao, C. Trends of yield and quality related traits of the wheat varieties released in China from 1991 to 2018. J. Chin. Cereals Oils Assoc. 2023, 1–18. [Google Scholar] [CrossRef]
- Li, X.; Jiang, L.; Ma, X.; Wang, M.; Cao, Y.; Hao, J.; Zhang, D.; Ji, H. Comprehensive processing quality evaluation of strong gluten wheat basedon principal component analysis. J. Triticeae Crops 2022, 42, 1473–1483. [Google Scholar]
- Zhou, Y.; Cui, L.; You, X.; Chen, J.; Li, X.; Geng, Q.; Liu, J.; Fang, X. Effect of quinoa flour on the rheological properties of wheat dough and the quality of crisp biscuits. Food Sci. Technol. 2022, 47, 191–196. [Google Scholar] [CrossRef]
- Peng, Y.; Zhao, Y.; Yu, Z.; Zeng, J.; Xu, D.; Dong, J.; Ma, W. Wheat quality formation and its regulatory mechanism. Front. Plant Sci. 2022, 13, 834654. [Google Scholar] [CrossRef]








| Factor | Protein Content | Hardness Value | Avg CIE L* | Avg CIE a* | Avg CIE b* | Wet Gluten Content | Dry Gluten Content | Sedimentation Value |
|---|---|---|---|---|---|---|---|---|
| Year | ** | ns | ** | * | ** | ** | ** | ns |
| Variety | ** | ns | ** | ** | ** | ** | ** | ** |
| Frequency | ** | ** | ** | ** | ** | ** | ** | ** |
| Year * Variety | ** | * | ** | ** | * | ** | ** | ** |
| Year * Frequency | * | ns | * | ns | * | ** | ** | ns |
| Variety * Frequency | ns | ns | ns | ns | ** | ns | * | ** |
| Year * Variety * Frequency | * | ns | ns | ns | ** | * | ** | ns |
| Year | Variety | Drip Irrigation Fertilization Frequency | Water Absorption (%) | Moisture Content (%) | Development Time (min) | Stability Time (min) | Tolerance Index | Lowering Value in the 10th Minute (B·U) | Weakening Degree | Lowering Value in the 20th Minute (B·U) | FQC |
|---|---|---|---|---|---|---|---|---|---|---|---|
| JM22 | DIF4 | 54.4 b | 12.8 a | 1.4 b | 1.7 d | 245.0 a | 306.0 a | 331.0 a | 372.7 a | 19.5 d | |
| DIF2 | 60.1 a | 12.7 a | 1.7 b | 1.9 d | 262.0 a | 292.0 a | 316.7 a | 362.0 a | 22.0 d | ||
| 2021 | JM20 | DIF4 | 55.8 b | 10.8 b | 2.4 ab | 6.4 c | 94.0 b | 134.0 b | 158.5 b | 185.7 b | 45.5 b |
| DIF2 | 51.1 c | 11.6 ab | 2.1 b | 5.8 c | 103.0 b | 136.0 b | 162.5 b | 203.0 b | 37.0 c | ||
| SL02-1 | DIF4 | 54.0 bc | 11.6 ab | 3.9 a | 9.2 a | 70.3 c | 79.7 c | 139.0 b | 180.7 b | 64.7 a | |
| DIF2 | 53.5 bc | 11.6 ab | 2.5 ab | 8.0 b | 60.0 c | 119.0 b | 144.0 b | 200.0 b | 36.0 c | ||
| JM22 | DIF4 | 49.4 ab | 9.2 b | 1.9 b | 3.5 d | 142.3 a | 191.3 a | 211.7 a | 232.7 a | 28.7 c | |
| DIF2 | 52.1 a | 10.1 ab | 2.1 b | 3.7 d | 118.7 a | 158.7 a | 170.0 b | 183.7 b | 34.0 bc | ||
| 2022 | JM20 | DIF4 | 52.3 a | 10.0 ab | 4.0 a | 11.5 b | 48.7 c | 63.7 bc | 91.0 cd | 101.3 cd | 72.0 a |
| DIF2 | 47.1 b | 9.0 b | 2.9 ab | 8.7 c | 84.3 b | 99.7 b | 116.3 c | 129.3 c | 49.0 b | ||
| SL02-1 | DIF4 | 49.9 ab | 9.7 ab | 3.1 ab | 18.9 a | 37.3 c | 53.3 c | 59.0 d | 60.3 d | 55.7 ab | |
| DIF2 | 49.8 ab | 11.0 a | 3.0 ab | 18.8 a | 33.3 c | 62.0 bc | 77.3 d | 78.0 d | 49.3 b | ||
| Year | ** | ** | * | ** | ** | ** | ** | ** | ** | ||
| Variety | ** | * | ** | ** | ** | ** | ** | ** | ** | ||
| Frequency | ns | ns | ns | ** | ns | ns | ns | ns | ** | ||
| Year * Variety | ns | ns | ns | ** | ** | ** | ** | ** | * | ||
| Year * Frequency | ns | ns | ns | ns | ns | ns | ns | ns | ns | ||
| Variety * Frequency | ** | ns | ns | ** | ** | ** | ** | ** | ** | ||
| Year * Variety * Frequency | ns | * | ns | ** | * | ns | ns | ns | * | ||
| Year | Treatment | Gluten Index (%) |
|---|---|---|
| 2021 | DIF4 | 80.5 a |
| DIF2 | 86.2 a | |
| 2022 | DIF4 | 57.7 b |
| DIF2 | 71.0 a |
| Year | Variety | Drip Irrigation Fertilization Frequency | Tensile Area (cm2) | Resistance Value at 5 cm (B·U) | Extensibility (mm) | Maximum Drag (B·U) | Stretch Ratio | Maximum Stretch Ratio |
|---|---|---|---|---|---|---|---|---|
| 2021 | JM22 | DIF4 | 39.7 bc | 172.7 d | 129.0 c | 200.7 d | 1.6 e | 1.6 d |
| DIF2 | 32.0 c | 178.0 d | 118.0 d | 210.7 d | 1.7 e | 1.8 d | ||
| JM20 | DIF4 | 58.0 b | 380.7 c | 97.7 e | 385.0 c | 4.0 b | 4.0 b | |
| DIF2 | 57.0 b | 468.7 a | 85.0 f | 468.7 ab | 5.6 a | 5.6 a | ||
| SL02-1 | DIF4 | 129.0 a | 417.3 b | 165.7 a | 445.7 b | 2.6 d | 3.4 c | |
| DIF2 | 117.0 a | 419.7 b | 137.7 b | 491.7 a | 3.2 c | 3.6 c | ||
| 2022 | JM22 | DIF4 | 78.0 cd | 437.0 d | 118.3 a | 441.0 d | 3.7 d | 3.8 e |
| DIF2 | 73.7 d | 480.7 d | 102.7 bc | 485.0 d | 4.7 d | 4.8 de | ||
| JM20 | DIF4 | 107.7 b | 627.0 c | 113.0 ab | 695.7 c | 5.6 d | 6.3 d | |
| DIF2 | 92.0 c | 716.3 c | 91.3 c | 723.0 c | 8.0 c | 8.1 c | ||
| SL02-1 | DIF4 | 147.7 a | 1044.3 b | 101.7 bc | 1111.7 b | 10.4 b | 11.0 b | |
| DIF2 | 145.7 a | 1171.3 a | 95.7 c | 1233.3 a | 12.3 a | 13.0 a | ||
| Year | ** | ** | ** | ** | ** | ** | ||
| Variety | ** | ** | ** | ** | ** | ** | ||
| Frequency | * | ** | ** | ** | ** | ** | ||
| Year * Variety | * | ** | ** | ** | ** | ** | ||
| Year * Frequency | ns | * | ns | ns | * | * | ||
| Variety * Frequency | ns | ns | ns | ns | * | ns | ||
| Year * Variety * Frequency | ns | ns | ** | ns | ns | ns | ||
| Amount of Water and Nitrogen Fertilizer | Treatment | Wheat Growth Period | |||||
|---|---|---|---|---|---|---|---|
| Seeding | Jointing | Booting | Flowering | Filling | Total | ||
| N application (kg·ha−1) | DIF4 | 90 | 30 | 30 | 30 | 30 | 210 |
| DIF2 | 90 | 60 | 60 | 210 | |||
| Irrigation volumes (mm) | DIF4 | 30 | 30 | 30 | 30 | 120 | |
| DIF2 | 60 | 60 | 120 | ||||
Disclaimer/Publisher’s Note: The statements, opinions and data contained in all publications are solely those of the individual author(s) and contributor(s) and not of MDPI and/or the editor(s). MDPI and/or the editor(s) disclaim responsibility for any injury to people or property resulting from any ideas, methods, instructions or products referred to in the content. |
© 2023 by the authors. Licensee MDPI, Basel, Switzerland. This article is an open access article distributed under the terms and conditions of the Creative Commons Attribution (CC BY) license (https://creativecommons.org/licenses/by/4.0/).
Share and Cite
Hao, T.; Chen, R.; Jia, J.; Zhao, C.; Du, Y.; Li, W.; Zhao, L.; Duan, H. Enhancing Wheat Gluten Content and Processing Quality: An Analysis of Drip Irrigation Nitrogen Frequency. Plants 2023, 12, 3974. https://doi.org/10.3390/plants12233974
Hao T, Chen R, Jia J, Zhao C, Du Y, Li W, Zhao L, Duan H. Enhancing Wheat Gluten Content and Processing Quality: An Analysis of Drip Irrigation Nitrogen Frequency. Plants. 2023; 12(23):3974. https://doi.org/10.3390/plants12233974
Chicago/Turabian StyleHao, Tianjia, Rong Chen, Jing Jia, Changxing Zhao, Yihang Du, Wenlu Li, Ludi Zhao, and Hongxiao Duan. 2023. "Enhancing Wheat Gluten Content and Processing Quality: An Analysis of Drip Irrigation Nitrogen Frequency" Plants 12, no. 23: 3974. https://doi.org/10.3390/plants12233974
APA StyleHao, T., Chen, R., Jia, J., Zhao, C., Du, Y., Li, W., Zhao, L., & Duan, H. (2023). Enhancing Wheat Gluten Content and Processing Quality: An Analysis of Drip Irrigation Nitrogen Frequency. Plants, 12(23), 3974. https://doi.org/10.3390/plants12233974
