Melatonin Reverses High-Temperature-Stress-Inhibited Photosynthesis in the Presence of Excess Sulfur by Modulating Ethylene Sensitivity in Mustard
Abstract
:1. Introduction
2. Results
2.1. Melatonin with Excess-S Reduces High-Temperature-Associated Oxidative Stress
2.2. Melatonin and Excess-S Accelerate Antioxidative Enzymes’ Activity under High Temperature Stress
2.3. Melatonin and Excess-S Effect on S-Assimilation and GSH Content under High Temperature Stress
2.4. Effect of Melatonin and Excess-S on Root and Leaf Sulfate Content and the Sulfur Transport Index under High Temperature Stress
2.5. Impact of Melatonin and Excess-S on 1-Aminocyclopropane Carboxylic Acid Synthase (ACS) Activity and Ethylene Evolution under High Temperature Stress
2.6. Effect of Melatonin and Excess-S on Rubisco Activity and Photosynthetic Sulfur Use Efficiency (p-SUE) under High Temperature Stress
2.7. Effect of Melatonin and Excess-S on Gas Exchange and Growth Attributes under High Temperature Stress
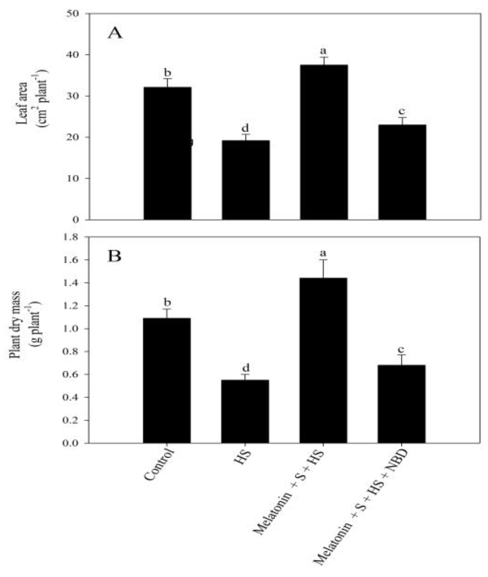
2.8. Application of NBD Suppresses Melatonin Effects under High Temperature Stress
2.9. Principal Component Analysis
2.10. Pearson Correlation
3. Discussion
3.1. Melatonin along with Excess-S Reverses the Heat-Stress-Associated Negative Impact on Plants’ Photosynthetic Attributes and Growth
3.2. Melatonin Alone and with Excess-S Regulates S-Assimilation for Heat Tolerance
3.3. Melatonin with Excess-S Enhanced the Antioxidant Defense System to Reduce Oxidative Stress under High Temperature Stress
3.4. Melatonin and Excess-S under Heat Stress Regulate Ethylene Sensitivity for the Maximum Response
4. Material and Methods
4.1. Plant Material and Growth Conditions
4.2. Measurement of Photosynthetic and Growth Parameters
4.3. Measurement of S-Assimilation-Related Enzymes and Biomolecules
4.4. Measurement of ACS Activity and Ethylene Evolution
4.5. Measurement of Oxidative Stress and Activity of Antioxidative Enzymes
4.6. Statistical Analysis
5. Conclusions
Supplementary Materials
Author Contributions
Funding
Institutional Review Board Statement
Informed Consent Statement
Data Availability Statement
Conflicts of Interest
References
- Singh, M.; Singh, L.; Srivastava, S.B.L. Combining ability analysis in Indian mustard (Brassica juncea L.). J. Oilseed Brassica 2016, 1, 23–27. [Google Scholar]
- Shekhawat, K.; Rathore, S.S.; Premi, O.P.; Kandpal, B.K.; Chauhan, J.S. Advances in agronomic management of Indian Mustard (Brassica juncea (L.) Czernj. Cosson): An overview. Int. J. Agron. 2012, 2012, 408284. [Google Scholar] [CrossRef]
- Rai, A.N.; Saini, N.; Yadav, R.; Suprasanna, P.A. Potential seedling-stage evaluation method for heat tolerance in Indian mustard (Brassica juncea L. Czern and Coss). 3 Biotech 2020, 10, 114. [Google Scholar] [CrossRef]
- Samantaray, D.; Vankanavath, A.B.; Kadumuri, R.V.; Ramadurai, D.; Chavali, S.; Allu, A.D. Thermopriming mitigates the effects of heat stress by modulating the expression of Heat shock factors in Brassica juncea (Indian mustard). Environ. Exp. Bot. 2023, 211, 105371. [Google Scholar] [CrossRef]
- Mathur, S.; Allakhverdiev, S.I.; Jajoo, A. Analysis of high temperature stress on the dynamics of antenna size and reducing side heterogeneity of Photosystem II in wheat leaves (Triticum aestivum L.). Biochim. Biophys. Acta (BBA)-Bioenerg. 2011, 1807, 22–29. [Google Scholar] [CrossRef]
- Afzal, I.; Imran, S.; Javed, T.; Tahir, A.; Kamran, M.; Shakeel, Q.; Mehmood, K.; Ali, H.M.; and Siddiqui, M.H. Alleviation of temperature stress in maize by integration of foliar applied growth promoting substances and sowing dates. PLoS ONE 2022, 17, e0260916. [Google Scholar] [CrossRef]
- Gautam, H.; Fatma, M.; Sehar, Z.; Iqbal, N.; Albaqami, M.; Khan, N.A. Exogenously-sourced ethylene positively modulates photosynthesis, carbohydrate metabolism, and antioxidant defense to enhance heat tolerance in rice. Int. J. Mol. Sci. 2022, 23, 1031. [Google Scholar] [CrossRef]
- Nazar, R.; Khan, M.I.R.; Iqbal, N.; Masood, A.; Khan, N.A. Involvement of ethylene in reversal of salt-inhibited photosynthesis by sulfur in mustard. Physiol. Plantar. 2014, 152, 331–344. [Google Scholar] [CrossRef]
- Khan, N.A.; Nazar, R.; Anjum, N.A. Growth, photosynthesis and antioxidant metabolism in mustard (Brassica juncea L.) cultivars differing in ATP-sulfurylase activity under salinity stress. Sci. Hortic. 2009, 122, 455–460. [Google Scholar] [CrossRef]
- Jahan, M.S.; Guo, S.; Baloch, A.R.; Sun, J.; Shu, S.; Wang, Y.; Ahammed, G.J.; Kabir, K.; Roy, R. Melatonin alleviates nickel phytotoxicity by improving photosynthesis, secondary metabolism and oxidative stress tolerance in tomato seedlings. Ecotoxicol. Environ. Saf. 2020, 197, 110593. [Google Scholar] [CrossRef]
- Khan, S.; Sehar, Z.; Fatma, M.; Mir, I.R.; Tarighat, M.A.; Abdi, G.; Khan, N.A. Involvement of ethylene in melatonin-modified photosynthetic-N use efficiency and antioxidant activity to improve photosynthesis of salt grown wheat. Physiol. Plant. 2022, 174, e13832. [Google Scholar] [CrossRef]
- Song, R.; Ritonga, F.N.; Yu, H.; Ding, C.; Zhao, X. Plant melatonin: Regulatory and protective role. Horticulturae 2022, 8, 810. [Google Scholar] [CrossRef]
- Ahammed, G.J.; Xu, W.; Liu, A.; and Chen, S. Endogenous melatonin deficiency aggravates high temperature-induced oxidative stress in Solanum lycopersicum L. Environ. Exp. Bot. 2019, 161, 303–311. [Google Scholar] [CrossRef]
- Yan, F.; Wei, H.; Ding, Y.; Li, W.; Liu, Z.; Chen, L.; Tang, S.; Ding, C.; Jiang, Y.; Li, G. Melatonin regulates antioxidant strategy in response to continuous salt stress in rice seedlings. Plant Physiol. Biochem. 2021, 165, 239–250. [Google Scholar] [CrossRef]
- Huang, J.; Zhao, X.; Bürger, M.; Chory, J.; Wang, X. The role of ethylene in plant temperature stress response. Trends Plant Sci. 2023, 28, 808–824. [Google Scholar] [CrossRef]
- Siddiqui, M.H.; Alamri, S.; Alsubaie, Q.D.; Ali, H.M.; Ibrahim, A.A.; Alsadon, A. Potential roles of melatonin and sulfur in alleviation of lanthanum toxicity in tomato seedlings. Ecotoxicol. Environ. Saf. 2019, 180, 656–667. [Google Scholar] [CrossRef]
- Altaf, M.A.; Shahid, R.; Ren, M.X.; Naz, S.; Altaf, M.M.; Khan, L.U.; Ahmad, P. Melatonin improves drought stress tolerance of tomato by modulating plant growth, root architecture, photosynthesis, and antioxidant defense system. Antioxidants 2022, 11, 309. [Google Scholar] [CrossRef]
- Hänsch, R.; Lang, C.; Riebeseel, E.; Lindigkeit, R.; Gessler, A.; Rennenberg, H.; Mendel, R.R. Plant sulfite oxidase as novel producer of H2O2 combination of enzyme catalysis with a subsequent non-enzymatic reaction step. J. Biol. Chem. 2006, 281, 6884–6888. [Google Scholar] [CrossRef]
- Hermsen, C.; Koprivova, A.; Matthewman, C.; Wesenberg, D.; Krauss, G.J.; Kopriva, S. Regulation of sulfate assimilation in Physcomitrella patens: Mosses are different! Planta 2010, 232, 461–470. [Google Scholar] [CrossRef]
- Lappartient, A.G.; Touraine, B. Demand-driven control of root ATP sulfurylase activity and SO42− uptake in intact canola (the role of phloem-translocated glutathione). Plant Physiol. 1996, 111, 147–157. [Google Scholar] [CrossRef]
- Kopriva, S. Regulation of sulfate assimilation in Arabidopsis and beyond. Ann. Bot. 2006, 97, 479–495. [Google Scholar] [CrossRef]
- Davidian, J.C.; Kopriva, S. Regulation of sulfate uptake and assimilation—The same or not the same? Mol. Plant 2010, 3, 314–325. [Google Scholar] [CrossRef] [PubMed]
- Takahashi, H.; Yamazaki, M.; Sasakura, N.; Watanabe, A.; Leustek, T.; Engler, J.D.A.; Engler, G.; Van Montagu, M.; Saito, K. Regulation of sulfur assimilation in higher plants: A sulfate transporter induced in sulfate-starved roots plays a central role in Arabidopsis thaliana. Proc. Natl. Acad. Sci. USA 1997, 94, 11102–11107. [Google Scholar] [CrossRef]
- Hopkins, L.; Parmar, S.; Błaszczyk, A.; Hesse, H.; Hoefgen, R.; Hawkesford, M.J. O-acetylserine and the regulation of expression of genes encoding components for sulfate uptake and assimilation in potato. Plant Physiol. 2005, 138, 433–440. [Google Scholar] [CrossRef] [PubMed]
- Hasan, M.; Liu, C.X.; Pan, Y.T.; Ahammed, G.J.; Qi, Z.Y.; Zhou, J. Melatonin alleviates low-sulfur stress by promoting sulfur homeostasis in tomato plants. Sci. Rep. 2018, 8, 10182. [Google Scholar] [CrossRef]
- Khan, M.I.R.; Nazir, F.; Asgher, M.; Per, T.; Khan, N.A. Selenium and sulfur influence ethylene formation and alleviate cadmium-induced oxidative stress by improving proline and glutathione production in wheat. J. Plant Physiol. 2015, 173, 9–18. [Google Scholar] [CrossRef]
- Hasan, M.K.; Ahammed, G.J.; Sun, S.; Li, M.; Yin, H.; Zhou, J. Melatonin inhibits cadmium translocation and enhances plant tolerance by regulating sulfur uptake and assimilation in Solanum lycopersicum L. J. Agr. Food Chem. 2019, 67, 10563–10576. [Google Scholar] [CrossRef]
- Ali, M.M.; Waleed Shafique, M.; Gull, S.; Afzal Naveed, W.; Javed, T.; Yousef, A.F.; Mauro, R.P. Alleviation of heat stress in tomato by exogenous application of sulfur. Horticulturae 2021, 7, 21. [Google Scholar] [CrossRef]
- Iqbal, N.; Masood, A.; Khan, M.I.R.; Asgher, M.; Fatma, M.; Khan, N.A. Cross-talk between sulfur assimilation and ethylene signaling in plants. Plant Signal. Behav. 2013, 8, e22478. [Google Scholar] [CrossRef]
- Liu, C.; Kang, H.; Wang, Y.; Yao, Y.; Gao, Z.; Du, Y. Melatonin relieves ozone stress in grape leaves by inhibiting ethylene biosynthesis. Front. Plant Sci. 2021, 12, 702874. [Google Scholar] [CrossRef]
- Alam, M.N.; Yang, L.; Yi, X.; Wang, Q.; Robin, A.H.K. Role of melatonin in inducing the physiological and biochemical processes associated with heat stress tolerance in tall fescue (Festuca arundinaceous). J. Plant Growth Regul. 2022, 41, 2759–2768. [Google Scholar] [CrossRef]
- Li, Z.G.; Xu, Y.; Bai, L.K.; Zhang, S.Y.; Wang, Y. Melatonin enhances thermotolerance of maize seedlings (Zea mays L.) by modulating antioxidant defense, methylglyoxal detoxification, and osmoregulation systems. Protoplasma 2019, 256, 471–490. [Google Scholar] [CrossRef]
- Hassan, M.U.; Mahmood, A.; Awan, M.I.; Maqbool, R.; Aamer, M.; Alhaithloul, H.A.; Qari, S.H. Melatonin-induced protection against plant abiotic stress: Mechanisms and prospects. Front. Plant Sci. 2022, 13, 902694. [Google Scholar] [CrossRef] [PubMed]
- Xia, X.J.; Zhou, Y.H.; Shi, K.; Zhou, J.; Foyer, C.H.; Yu, J.Q. Interplay between reactive oxygen species and hormones in the control of plant development and stress tolerance. J. Exp. Bot. 2015, 66, 2839–2856. [Google Scholar] [CrossRef] [PubMed]
- Wu, Y.S.; Yang, C.Y. Ethylene-mediated signaling confers thermotolerance and regulates transcript levels of heat shock factors in rice seedlings under heat stress. Bot. Stud. 2019, 60, 23. [Google Scholar] [CrossRef]
- Zhang, Q.; Liu, X.; Zhang, Z.; Liu, N.; Li, D.; Hu, L. Melatonin improved waterlogging tolerance in alfalfa (Medicago sativa) by reprogramming polyamine and ethylene metabolism. Front. Plant Sci. 2019, 10, 44. [Google Scholar] [CrossRef]
- Xu, L.; Xiang, G.; Sun, Q.; Ni, Y.; Jin, Z.; Gao, S.; Yao, Y. Melatonin enhances salt tolerance by promoting MYB108A-mediated ethylene biosynthesis in grapevines. Hortic. Res. 2019, 6, 114. [Google Scholar] [CrossRef]
- Nazar, R.; Khan, N.A.; and Anjum, N.A. ATP-sulfurylase activity, photosynthesis, and shoot dry mass of mustard (Brassica juncea L.) cultivars differing in sulfur accumulation capacity. Photosynthetica 2008, 46, 279–282. [Google Scholar] [CrossRef]
- Usuda, H. The activation state of ribulose 1, 5-bisphosphate carboxylase in maize leaves in dark and light. Plant Cell Physiol. 1985, 26, 1455–1463. [Google Scholar]
- Kredich, N.M.; Tomkins, G.M. The enzymic synthesis of L-cysteine in Escherichia coli and Salmonella typhimurium. J. Biol. Chem. 1966, 241, 4955–4965. [Google Scholar] [CrossRef]
- Gaitonde, M.K. A spectrophotometric method for the direct determination of cysteine in the presence of other naturally occurring amino acids. Biochem. J. 1967, 104, 627. [Google Scholar] [CrossRef] [PubMed]
- Griffith, O.W. Determination of Glutathione and Glutathione Disulfide Using Glutathione Reductase and 2-Vinylpyridine. Anal. Biochem. 1980, 106, 207–212. [Google Scholar] [CrossRef] [PubMed]
- Horn, M.J.; Jones, D.B.; and Blum, A.E. Colorimetric determination of methionine in proteins and foods. J. Biol. Chem. 1946, 166, 313–320. [Google Scholar] [CrossRef]
- Chesnin, L.; Yien, C.H. Turbidimetric Determination of Available Sulphates. Soil Sci. Soc. Am. J. 1950, 15, 149–151. [Google Scholar] [CrossRef]
- Avni, A.; Bailey, B.A.; Mattoo, A.K.; Anderson, J.D. Induction of ethylene biosynthesis in Nicotiana tabacum by a Trichoderma viride xylanase is correlated to the accumulation of 1-aminocyclopropane-1-carboxylic acid (ACC) synthase and ACC oxidase transcripts. Plant Physiol. 1994, 106, 1049–1055. [Google Scholar] [CrossRef] [PubMed]
- Woeste, K.E.; Ye, C.; Kieber, J.J. Two Arabidopsis mutants that overproduce ethylene are affected in the posttranscriptional regulation of 1-aminocyclopropane-1-carboxylic acid synthase. Plant Physiol. 1999, 119, 521–530. [Google Scholar] [CrossRef]
- Okuda, T.; Matsuda, Y.; Yamanaka, A.; Sagisaka, S. Abrupt increase in the level of hydrogen peroxide in leaves of winter wheat is caused by cold treatment. Plant Physiol. 1991, 97, 1265–1267. [Google Scholar] [CrossRef]
- Dhindsa, R.S.; Plumb-Dhindsa, P.A.M.E.L.A.; Thorpe, T.A. Leaf senescence: Correlated with increased levels of membrane permeability and lipid peroxidation, and decreased levels of superoxide dismutase and catalase. J. Exp. Bot. 1981, 32, 93–101. [Google Scholar] [CrossRef]
- Giannopolitis, C.N.; Ries, S.K. Superoxide dismutases: I. Occurrence in higher plants. Plant Physiol. 1977, 59, 309–314. [Google Scholar] [CrossRef]
- Beyer Jr, W.F.; Fridovich, I. Assaying for superoxide dismutase activity: Some large consequences of minor changes in conditions. Anal. Biochem. 1987, 161, 559–566. [Google Scholar] [CrossRef]
- Nakano, Y.; Asada, K. Hydrogen peroxide is scavenged by ascorbate-specific peroxidase in spinach chloroplasts. Plant Cell Physiol. 1981, 22, 867–880. [Google Scholar]
- Foyer, C.H.; Halliwell, B. The Presence of Glutathione and Glutathione Reductase in Chloroplasts: A Proposed Role in Ascorbic Acid Metabolism. Planta 1976, 133, 21–25. [Google Scholar] [CrossRef] [PubMed]









| Treatments | H2O2 (nmol g−1 FW) | TBARS (nmol g−1 FW) | SOD (U mg−1 Protein min−1) | APX (U mg−1 Protein min−1) | GR (U mg−1 Protein min−1) | 
|---|---|---|---|---|---|
| Control | 21.8 ± 0.9 d | 08.0 ± 0.5 d | 6.73 ± 0.35 g | 2.03 ± 0.14 g | 0.14 ± 0.008 g | 
| HS | 37.4 ± 1.7 a | 14.8 ± 1.2 a | 12.5 ± 0.58 f | 3.20 ± 0.19 f | 0.21 ± 0.014 ef | 
| S | 26.6 ± 1.3 b | 9.88 ± 0.8 b | 13.9 ± 0.66 e | 2.70 ± 0.25 e | 0.28 ± 0.015 e | 
| Melatonin | 11.4 ± 0.5 f | 3.66 ± 0.2 g | 14.7 ± 0.84 d | 4.50 ± 0.16 d | 0.34 ± 0.016 d | 
| HS + S | 24.3 ± 1.3 c | 08.9 ± 0.5 cd | 17.8 ± 0.99 c | 7.09 ± 0.38 c | 0.39 ± 0.017 c | 
| Melatonin + HS | 20.5 ± 1.2 d | 07.3 ± 0.2 de | 19.1 +1.15 b | 8.01 ± 0.4 b | 0.44 ± 0.018 b | 
| Melatonin + S + HS | 15.3 ± 0.8 e | 4.94 ± 0.2 f | 22.6 ± 1.27 a | 9.4 ± 0.71 a | 0.52 ± 0.023 a | 
| Treatments | ATPS (U mg−1 Protein min−1) | SAT (U mg−1 Protein min−1) | Cys (nmol g−1 FW) | Meth (nmol g−1 FW) | GSH (nmol g−1 FW) | 
|---|---|---|---|---|---|
| Control | 1.59 ± 0.79 g | 1.04 ± 0.39 g | 38.7 ± 1.3 g | 14.3 ± 0.5 f | 244 ± 13.7 f | 
| HS | 1.73 ± 0.98 f | 1.28 ± 0.77 f | 43.2 ± 1.5 f | 48.2 ± 1.7 a | 287 ± 14.8 e | 
| S | 1.91 ± 1.17 e | 1.44 ± 0.85 e | 48.9 ± 1.9 e | 34.7 ± 1.9 b | 292 ±15.9 e | 
| Melatonin | 2.38 ± 1.46 b | 1.99 ± 0.98 b | 56.7 ± 2.3 d | 21.5 ± 2.1 e | 345 ± 19.6 c | 
| HS + S | 2.09 ± 1.31 d | 1.69 ± 1.05 d | 49.2 ± 1.8 c | 22.11 ± 2.3 e | 318 ± 20.6 d | 
| Melatonin + HS | 2.21 ± 1.38 c | 1.81 ± 1.29 c | 60.3 +2.5 b | 26.9 ± 2.4 d | 366 ± 22.4 b | 
| Melatonin + S + HS | 2.74 ± 1.85 a | 2.26 ± 1.46 a | 69.5 ± 2.7 a | 30.4 ± 3.3 c | 455 ± 25.4 a | 
| Treatments | Root SO42− Content (mg kg−1 DW) | Leaf SO42− Content (mg kg−1 DW) | STI (%) | 
|---|---|---|---|
| Control | 1.00 ± 0.02 e | 2.99 ± 0.28 e | 33.44 ± 5.44 f | 
| HS | 0.74 ± 0.01 g | 2.05 ± 0.14 f | 36.10 ± 6.24 e | 
| S | 0.88 ± 0.32 f | 3.08 ± 0.56 e | 28.57 ± 4.83 g | 
| Melatonin | 1.54 ± 0.51 a | 3.68 ± 0.78 a | 41.85 ± 7.19 ab | 
| HS + S | 1.23 ± 1.21 d | 3.17 ± 0.64 d | 38.8 ± 6.48 d | 
| Melatonin + HS | 1.35 ± 1.46 c | 3.31 + 0.83 c | 40.78 ± 6.21 bc | 
| Melatonin + S + HS | 1.44 ± 0.78 b | 3.43 ± 0.96 b | 41.98 ± 8.19 a | 
| Treatments | Net Photosynthesis (µmol CO2 m−2 s−1) | Stomatal Conductance (mmol CO2 m−2 s−1) | Intercellular CO2 Concentration (µmol CO2 mol−1) | 
|---|---|---|---|
| Control | 11.1 ± 0.78 d | 342 ± 14.2 b | 193 ± 10.11 c | 
| HS | 6.9 ± 0.22 g | 245 ± 13.4 e | 141 ± 6.99 f | 
| S | 8.3 ± 0.66 f | 289. ± 12.3 d | 152 ± 13.68 e | 
| Melatonin | 15.7 ± 0.83 a | 429 ± 10.4 a | 278 ± 10.67 a | 
| HS + S | 10.3 ± 0.71 e | 310 ± 13.8 c | 156 ± 14.4 d | 
| Melatonin + HS | 13.4 ± 0.62 c | 329 ± 17.1 b | 200 + 11.12 c | 
| Melatonin + S + HS | 14.4 ± 0.81 ab | 418 ± 19.6 a | 261 ± 12.6 ab | 
| Disclaimer/Publisher’s Note: The statements, opinions and data contained in all publications are solely those of the individual author(s) and contributor(s) and not of MDPI and/or the editor(s). MDPI and/or the editor(s) disclaim responsibility for any injury to people or property resulting from any ideas, methods, instructions or products referred to in the content. | 
© 2023 by the authors. Licensee MDPI, Basel, Switzerland. This article is an open access article distributed under the terms and conditions of the Creative Commons Attribution (CC BY) license (https://creativecommons.org/licenses/by/4.0/).
Share and Cite
Iqbal, N.; Sehar, Z.; Fatma, M.; Khan, S.; Alvi, A.F.; Mir, I.R.; Masood, A.; Khan, N.A. Melatonin Reverses High-Temperature-Stress-Inhibited Photosynthesis in the Presence of Excess Sulfur by Modulating Ethylene Sensitivity in Mustard. Plants 2023, 12, 3160. https://doi.org/10.3390/plants12173160
Iqbal N, Sehar Z, Fatma M, Khan S, Alvi AF, Mir IR, Masood A, Khan NA. Melatonin Reverses High-Temperature-Stress-Inhibited Photosynthesis in the Presence of Excess Sulfur by Modulating Ethylene Sensitivity in Mustard. Plants. 2023; 12(17):3160. https://doi.org/10.3390/plants12173160
Chicago/Turabian StyleIqbal, Noushina, Zebus Sehar, Mehar Fatma, Sheen Khan, Ameena Fatima Alvi, Iqbal R. Mir, Asim Masood, and Nafees A. Khan. 2023. "Melatonin Reverses High-Temperature-Stress-Inhibited Photosynthesis in the Presence of Excess Sulfur by Modulating Ethylene Sensitivity in Mustard" Plants 12, no. 17: 3160. https://doi.org/10.3390/plants12173160
APA StyleIqbal, N., Sehar, Z., Fatma, M., Khan, S., Alvi, A. F., Mir, I. R., Masood, A., & Khan, N. A. (2023). Melatonin Reverses High-Temperature-Stress-Inhibited Photosynthesis in the Presence of Excess Sulfur by Modulating Ethylene Sensitivity in Mustard. Plants, 12(17), 3160. https://doi.org/10.3390/plants12173160
 
        







 
       