Importance of Application Rates of Compost and Biochar on Soil Metal(Loid) Immobilization and Plant Growth
Abstract
1. Introduction
2. Results
2.1. Evaluation of the Soil Pore Water (SPW) pH and Electrical Conductivity (EC)
2.2. As and Pb Concentration in SPW
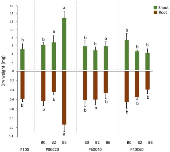
2.3. Plant Dry Weight and Metal(Loid) Concentration
3. Discussion
4. Materials and Methods
4.1. Soil and Amendments
4.2. Experimental Design
4.3. Growth Conditions
4.4. SPW Collection and Analysis
4.5. Plant Dry Weight and Metal(Loid)s Concentration
4.6. Statistical Analysis
5. Conclusions
Supplementary Materials
Author Contributions
Funding
Data Availability Statement
Conflicts of Interest
References
- Khalid, S.; Shahid, M.; Niazi, N.K.; Murtaza, B.; Bibi, I.; Dumat, C. A Comparison of Technologies for Remediation of Heavy Metal Contaminated Soils. J. Geochem. Explor. 2017, 182, 247–268. [Google Scholar] [CrossRef]
- Ding, Z.; Li, Y.; Sun, Q.; Zhang, H. Trace Elements in Soils and Selected Agricultural Plants in the Tongling Mining Area of China. Int. J. Environ. Res. Public Health 2018, 15, 202. [Google Scholar] [CrossRef] [PubMed]
- Guemiza, K.; Coudert, L.; Metahni, S.; Mercier, G.; Besner, S.; Blais, J.-F. Treatment Technologies Used for the Removal of As, Cr, Cu, PCP and/or PCDD/F from Contaminated Soil: A Review. J. Hazard. Mater. 2017, 333, 194–214. [Google Scholar] [CrossRef] [PubMed]
- Galende, M.A.; Becerril, J.M.; Barrutia, O.; Artetxe, U.; Garbisu, C.; Hernández, A. Field Assessment of the Effectiveness of Organic Amendments for Aided Phytostabilization of a Pb–Zn Contaminated Mine Soil. J. Geochem. Explor. 2014, 145, 181–189. [Google Scholar] [CrossRef]
- Rizwan, M.S.; Imtiaz, M.; Zhu, J.; Yousaf, B.; Hussain, M.; Ali, L.; Ditta, A.; Zahid Ihsan, M.; Huang, G.; Ashraf, M.; et al. Immobilization of Pb and Cu by Organic and Inorganic Amendments in Contaminated Soil. Geoderma 2021, 385, 114803. [Google Scholar] [CrossRef]
- Tang, J.; Zhang, L.; Zhang, J.; Ren, L.; Zhou, Y.; Zheng, Y.; Luo, L.; Yang, Y.; Huang, H.; Chen, A. Physicochemical Features, Metal Availability and Enzyme Activity in Heavy Metal-Polluted Soil Remediated by Biochar and Compost. Sci. Total Environ. 2020, 701, 134751. [Google Scholar] [CrossRef]
- Lwin, C.S.; Seo, B.-H.; Kim, H.-U.; Owens, G.; Kim, K.-R. Application of Soil Amendments to Contaminated Soils for Heavy Metal Immobilization and Improved Soil Quality—A Critical Review. Soil Sci. Plant Nutr. 2018, 64, 156–167. [Google Scholar] [CrossRef]
- Medyńska-Juraszek, A.; Bednik, M.; Chohura, P. Assessing the Influence of Compost and Biochar Amendments on the Mobility and Uptake of Heavy Metals by Green Leafy Vegetables. Int. J. Environ. Res. Public Health 2020, 17, 7861. [Google Scholar] [CrossRef]
- Mukhopadhyay, S.; Masto, R.E.; Singh, A.K.; Singh, P.K. Impact of the Combined Application of Biochar and Compost on Mine Soil Quality and Growth of Lady’s Finger (Abelmoschus esculentus). Bull. Environ. Contam. Toxicol. 2022, 108, 396–402. [Google Scholar] [CrossRef]
- Bousdra, T.; Papadimou, S.G.; Golia, E.E. The Use of biochar in the Remediation of Pb, Cd, and Cu-Contaminated Soils. The Impact of biochar Feedstock and Preparation Conditions on Its Remediation Capacity. Land 2023, 12, 383. [Google Scholar] [CrossRef]
- Kwak, J.H.; Islam, M.S.; Wang, S.; Messele, S.A.; Naeth, M.A.; El-Din, M.G.; Chang, S.X. Biochar properties and lead (II) adsorption capacity depend on feedstock type, pyrolysis temperature, and steam activation. Chemosphere 2019, 231, 393–404. [Google Scholar] [CrossRef] [PubMed]
- Lebrun, M.; Nandillon, R.; Miard, F.; Bourgerie, S.; Morabito, D. Chapter 4—Biochar Assisted Phytoremediation for Metal(Loid) Contaminated Soils. In Assisted Phytoremediation; Pandey, V., Ed.; Elsevier: Amsterdam, The Netherlands, 2022; pp. 101–130. ISBN 978-0-12-822893-7. [Google Scholar]
- Liang, J.; Yang, Z.; Tang, L.; Zeng, G.; Yu, M.; Li, X.; Wu, H.; Qian, Y.; Li, X.; Luo, Y. Changes in Heavy Metal Mobility and Availability from Contaminated Wetland Soil Remediated with Combined Biochar-Compost. Chemosphere 2017, 181, 281–288. [Google Scholar] [CrossRef]
- Wang, P.; Tang, L.; Wei, X.; Zeng, G.; Zhou, Y.; Deng, Y.; Wang, J.; Xie, Z.; Fang, W. Synthesis and Application of Iron and Zinc Doped Biochar for Removal of P-Nitrophenol in Wastewater and Assessment of the Influence of Co-Existed Pb(II). Appl. Surf. Sci. 2017, 392, 391–401. [Google Scholar] [CrossRef]
- Simiele, M.; Sferra, G.; Lebrun, M.; Renzone, G.; Bourgerie, S.; Scippa, G.S.; Morabito, D.; Scaloni, A.; Trupiano, D. In-Depth Study to Decipher Mechanisms Underlying Arabidopsis Thaliana Tolerance to Metal(Loid) Soil Contamination in Association with Biochar and/or Bacteria. Environ. Exp. Bot. 2021, 182, 104335. [Google Scholar] [CrossRef]
- Fischer, D.; Glaser, B. Synergisms between Compost and Biochar for Sustainable Soil Amelioration. In Management of Organic Waste; InTech: Rijeka, Croatia, 2012; Volume 1, pp. 167–198. [Google Scholar]
- Huang, M.; Zhu, Y.; Li, Z.; Huang, B.; Luo, N.; Liu, C.; Zeng, G. Compost as a Soil Amendment to Remediate Heavy Metal-Contaminated Agricultural Soil: Mechanisms, Efficacy, Problems, and Strategies. Water Air Soil Pollut. 2016, 227, 359. [Google Scholar] [CrossRef]
- Mackie, K.A.; Marhan, S.; Ditterich, F.; Schmidt, H.P.; Kandeler, E. The Effects of Biochar and Compost Amendments on Copper Immobilization and Soil Microorganisms in a Temperate Vineyard. Agric. Ecosyst. Environ. 2015, 201, 58–69. [Google Scholar] [CrossRef]
- Beesley, L.; Inneh, O.S.; Norton, G.J.; Moreno-Jimenez, E.; Pardo, T.; Clemente, R.; Dawson, J.J.C. Assessing the Influence of Compost and Biochar Amendments on the Mobility and Toxicity of Metals and Arsenic in a Naturally Contaminated Mine Soil. Environ. Pollut. 2014, 186, 195–202. [Google Scholar] [CrossRef]
- Borchard, N.; Prost, K.; Kautz, T.; Moeller, A.; Siemens, J. Sorption of Copper (II) and Sulphate to Different Biochars before and after Composting with Farmyard Manure. Eur. J. Soil Sci. 2012, 63, 399–409. [Google Scholar] [CrossRef]
- Beesley, L.; Moreno-Jiménez, E.; Gomez-Eyles, J.L. Effects of Biochar and Greenwaste Compost Amendments on Mobility, Bioavailability and Toxicity of Inorganic and Organic Contaminants in a Multi-Element Polluted Soil. Environ. Pollut. 2010, 158, 2282–2287. [Google Scholar] [CrossRef]
- Liu, J.; Schulz, H.; Brandl, S.; Miehtke, H.; Huwe, B.; Glaser, B. Short-term Effect of Biochar and Compost on Soil Fertility and Water Status of a Dystric Cambisol in NE Germany under Field Conditions. Z. Pflanzenernähr. Bodenk. 2012, 175, 698–707. [Google Scholar] [CrossRef]
- Sigua, G.C.; Novak, J.M.; Watts, D.W.; Ippolito, J.A.; Ducey, T.F.; Johnson, M.G.; Spokas, K.A. Phytostabilization of Zn and Cd in Mine Soil Using Corn in Combination with Biochars and Manure-Based Compost. Environments 2019, 6, 69. [Google Scholar] [CrossRef]
- Zeng, G.; Wu, H.; Liang, J.; Guo, S.; Huang, L.; Xu, P.; Liu, Y.; Yuan, Y.; He, X.; He, Y. Efficiency of Biochar and Compost (or Composting) Combined Amendments for Reducing Cd, Cu, Zn and Pb Bioavailability, Mobility and Ecological Risk in Wetland Soil. RSC Adv. 2015, 5, 34541–34548. [Google Scholar] [CrossRef]
- Seehausen, M.; Gale, N.; Dranga, S.; Hudson, V.; Liu, N.; Michener, J.; Thurston, E.; Williams, C.; Smith, S.; Thomas, S. Is There a Positive Synergistic Effect of Biochar and Compost Soil Amendments on Plant Growth and Physiological Performance? Agronomy 2017, 7, 13. [Google Scholar] [CrossRef]
- Benhabylès, L.; Djebbar, R.; Miard, F.; Nandillon, R.; Morabito, D.; Bourgerie, S. Biochar and Compost Effects on the Remediative Capacities of Oxalis pes-caprae L. Growing on Mining Technosol Polluted by Pb and As. Environ. Sci. Pollut. Res. 2020, 27, 30133–30144. [Google Scholar] [CrossRef] [PubMed]
- ATSDR. ATSDR Substance Priority List. Available online: https://www.atsdr.cdc.gov/spl/index.html (accessed on 24 March 2023).
- Yang, W.; Luo, L.; Bostick, B.C.; Wiita, E.; Cheng, Y.; Shen, Y. Effect of Combined Arsenic and Lead Exposure on Their Uptake and Translocation in Indian Mustard. Environ. Pollut. 2021, 274, 116549. [Google Scholar] [CrossRef]
- Lomaglio, T.; Hattab-Hambli, N.; Bret, A.; Miard, F.; Trupiano, D.; Scippa, G.S.; Motelica-Heino, M.; Bourgerie, S.; Morabito, D. Effect of Biochar Amendments on the Mobility and (Bio) Availability of As, Sb and Pb in a Contaminated Mine Technosol. J. Geochem. Explor. 2017, 182, 138–148. [Google Scholar] [CrossRef]
- Lebrun, M.; Miard, F.; Nandillon, R.; Scippa, G.S.; Bourgerie, S.; Morabito, D. Biochar Effect Associated with Compost and Iron to Promote Pb and As Soil Stabilization and Salix viminalis L. Growth. Chemosphere 2019, 222, 810–822. [Google Scholar] [CrossRef]
- Chintala, R.; Mollinedo, J.; Schumacher, T.E.; Malo, D.D.; Julson, J.L. Effect of Biochar on Chemical Properties of Acidic Soil. Arch. Agron. Soil Sci. 2014, 60, 393–404. [Google Scholar] [CrossRef]
- Li, H.; Dong, X.; da Silva, E.B.; de Oliveira, L.M.; Chen, Y.; Ma, L.Q. Mechanisms of Metal Sorption by Biochars: Biochar Characteristics and Modifications. Chemosphere 2017, 178, 466–478. [Google Scholar] [CrossRef]
- Bolan, N.; Kunhikrishnan, A.; Thangarajan, R.; Kumpiene, J.; Park, J.; Makino, T.; Kirkham, M.B.; Scheckel, K. Remediation of Heavy Metal(Loid)s Contaminated Soils—To Mobilize or to Immobilize? J. Hazard. Mater. 2014, 266, 141–166. [Google Scholar] [CrossRef]
- Moreno-Jiménez, E.; Clemente, R.; Mestrot, A.; Meharg, A.A. Arsenic and Selenium Mobilisation from Organic Matter Treated Mine Spoil with and without Inorganic Fertilisation. Environ. Pollut. 2013, 173, 238–244. [Google Scholar] [CrossRef] [PubMed]
- Karami, N.; Clemente, R.; Moreno-Jiménez, E.; Lepp, N.W.; Beesley, L. Efficiency of Green Waste Compost and Biochar Soil Amendments for Reducing Lead and Copper Mobility and Uptake to Ryegrass. J. Hazard. Mater. 2011, 191, 41–48. [Google Scholar] [CrossRef]
- Beesley, L.; Moreno-Jiménez, E.; Gomez-Eyles, J.L.; Harris, E.; Robinson, B.; Sizmur, T. A Review of Biochars’ Potential Role in the Remediation, Revegetation and Restoration of Contaminated Soils. Environ. Pollut. 2011, 159, 3269–3282. [Google Scholar] [CrossRef] [PubMed]
- Paz-Ferreiro, J.; Lu, H.; Fu, S.; Méndez, A.; Gascó, G. Use of Phytoremediation and Biochar to Remediate Heavy Metal Polluted Soils: A Review. Solid Earth 2014, 5, 65–75. [Google Scholar] [CrossRef]
- Mujtaba, G.; Hayat, R.; Hussain, Q.; Ahmed, M. Physio-Chemical Characterization of Biochar, Compost and Co-Composted Biochar Derived from Green Waste. Sustainability 2021, 13, 4628. [Google Scholar] [CrossRef]
- Lebrun, M.; Miard, F.; Renouard, S.; Nandillon, R.; Scippa, G.S.; Morabito, D.; Bourgerie, S. Effect of Fe-Functionalized Biochar on Toxicity of a Technosol Contaminated by Pb and As: Sorption and Phytotoxicity Tests. Environ. Sci. Pollut. Res. 2018, 25, 33678–33690. [Google Scholar] [CrossRef]
- Zheng, R.-L.; Cai, C.; Liang, J.-H.; Huang, Q.; Chen, Z.; Huang, Y.-Z.; Arp, H.P.H.; Sun, G.-X. The Effects of Biochars from Rice Residue on the Formation of Iron Plaque and the Accumulation of Cd, Zn, Pb, As in Rice (Oryza sativa L.) Seedlings. Chemosphere 2012, 89, 856–862. [Google Scholar] [CrossRef]
- Beesley, L.; Marmiroli, M.; Pagano, L.; Pigoni, V.; Fellet, G.; Fresno, T.; Vamerali, T.; Bandiera, M.; Marmiroli, N. Biochar Addition to an Arsenic Contaminated Soil Increases Arsenic Concentrations in the Pore Water but Reduces Uptake to Tomato Plants (Solanum lycopersicum L.). Sci. Total Environ. 2013, 454–455, 598–603. [Google Scholar] [CrossRef]
- Wilson, S.C.; Lockwood, P.V.; Ashley, P.M.; Tighe, M. The Chemistry and Behaviour of Antimony in the Soil Environment with Comparisons to Arsenic: A Critical Review. Environ. Pollut. 2010, 158, 1169–1181. [Google Scholar] [CrossRef]
- Norini, M.-P.; Thouin, H.; Miard, F.; Battaglia-Brunet, F.; Gautret, P.; Guégan, R.; Le Forestier, L.; Morabito, D.; Bourgerie, S.; Motelica-Heino, M. Mobility of Pb, Zn, Ba, As and Cd toward Soil Pore Water and Plants (Willow and Ryegrass) from a Mine Soil Amended with Biochar. J. Environ. Manag. 2019, 232, 117–130. [Google Scholar] [CrossRef]
- Glaser, B.; Lehr, V.-I. Biochar Effects on Phosphorus Availability in Agricultural Soils: A Meta-Analysis. Sci. Rep. 2019, 9, 9338. [Google Scholar] [CrossRef] [PubMed]
- Nandillon, R.; Lebrun, M.; Miard, F.; Gaillard, M.; Sabatier, S.; Morabito, D.; Bourgerie, S. Contrasted Tolerance of Agrostis Capillaris Metallicolous and Non-Metallicolous Ecotypes in the Context of a Mining Technosol Amended by Biochar, Compost and Iron Sulfate. Environ. Geochem. Health 2021, 43, 1457–1475. [Google Scholar] [CrossRef] [PubMed]
- Soares, M.B.; Milori, D.M.B.P.; Alleoni, L.R.F. How does the biochar of sugarcane straw pyrolysis temperature change arsenic and lead availabilities and the activity of the microorganisms in a contaminated sediment? J. Soils Sediments 2021, 21, 3185–3200. [Google Scholar] [CrossRef]
- Hossain, M.Z.; Bahar, M.M.; Sarkar, B.; Donne, S.W.; Ok, Y.S.; Palansooriya, K.N.; Kirkham, M.B.; Chowdhury, S.; Bolan, N. Biochar and Its Importance on Nutrient Dynamics in Soil and Plant. Biochar 2020, 2, 379–420. [Google Scholar] [CrossRef]
- Stamatiadis, S.; Werner, M.; Buchanan, M. Field Assessment of Soil Quality as Affected by Compost and Fertilizer Application in a Broccoli Field (San Benito County, California). Appl. Soil Ecol. 1999, 12, 217–225. [Google Scholar] [CrossRef]
- Stewart, D.P.C.; Cameron, K.C.; Cornforth, I.S.; Main, B.E. Release of Sulphate, Potassium, Calcium and Magnesium from Spent Mushroom Compost under Laboratory Conditions. Biol. Fertil. Soils 1997, 26, 146–151. [Google Scholar] [CrossRef]
- Prost, K.; Borchard, N.; Siemens, J.; Kautz, T.; Séquaris, J.-M.; Möller, A.; Amelung, W. Biochar Affected by Composting with Farmyard Manure. J. Environ. Qual. 2013, 42, 164–172. [Google Scholar] [CrossRef]
- Steiner, C.; Das, K.C.; Melear, N.; Lakly, D. Reducing Nitrogen Loss during Poultry Litter Composting Using Biochar. J. Environ. Qual. 2010, 39, 1236–1242. [Google Scholar] [CrossRef]
- Pietikäinen, J.; Kiikkilä, O.; Fritze, H. Charcoal as a Habitat for Microbes and Its Effect on the Microbial Community of the Underlying Humus. Oikos 2000, 89, 231–242. [Google Scholar] [CrossRef]
- Tuomela, M. Biodegradation of Lignin in a Compost Environment: A Review. Bioresour. Technol. 2000, 72, 169–183. [Google Scholar] [CrossRef]
- Yaashikaa, P.R.; Kumar, P.S.; Jeevanantham, S.; Saravanan, R. A review on bioremediation approach for heavy metal detoxification and accumulation in plants. Environ. Pollut. 2022, 301, 119035. [Google Scholar] [CrossRef] [PubMed]
- Vamerali, T.; Bandiera, M.; Coletto, L.; Zanetti, F.; Dickinson, N.M.; Mosca, G. Phytoremediation Trials on Metal- and Arsenic-Contaminated Pyrite Wastes (Torviscosa, Italy). Environ. Pollut. 2009, 157, 887–894. [Google Scholar] [CrossRef] [PubMed]
- Gupta, D.K.; Huang, H.G.; Corpas, F.J. Lead Tolerance in Plants: Strategies for Phytoremediation. Environ. Sci. Pollut. Res. 2013, 20, 2150–2161. [Google Scholar] [CrossRef] [PubMed]
- Mahdavian, K.; Ghaderian, S.M.; Torkzadeh-Mahani, M. Accumulation and Phytoremediation of Pb, Zn, and Ag by Plants Growing on Koshk Lead–Zinc Mining Area, Iran. J. Soils Sediments 2017, 17, 1310–1320. [Google Scholar] [CrossRef]
- Sharma, P.; Dubey, R.S. Lead Toxicity in Plants. Braz. J. Plant Physiol. 2005, 17, 35–52. [Google Scholar] [CrossRef]
- Bhattacharya, P.; Samal, A.C.; Majumdar, J.; Santra, S.C. Accumulation of Arsenic and Its Distribution in Rice Plant (Oryza sativa L.) in Gangetic West Bengal, India. Paddy Water Environ. 2010, 8, 63–70. [Google Scholar] [CrossRef]
- Lebrun, M.; Miard, F.; Nandillon, R.; Léger, J.-C.; Hattab-Hambli, N.; Scippa, G.S.; Bourgerie, S.; Morabito, D. Assisted Phytostabilization of a Multicontaminated Mine Technosol Using Biochar Amendment: Early Stage Evaluation of Biochar Feedstock and Particle Size Effects on As and Pb Accumulation of Two Salicaceae Species (Salix viminalis and Populus euramericana). Chemosphere 2018, 194, 316–326. [Google Scholar] [CrossRef]
- Lebrun, M.; Van Poucke, R.; Miard, F.; Scippa, G.S.; Bourgerie, S.; Morabito, D.; Tack, F.M.G. Effects of Carbon-based Materials and Redmuds on Metal(Loid) Immobilization and Growth of Salix dasyclados Wimm. on a Former Mine Technosol Contaminated by Arsenic and Lead. Land Degrad. Dev. 2021, 32, 467–481. [Google Scholar] [CrossRef]
- Nandillon, R.; Lebrun, M.; Miard, F.; Gaillard, M.; Sabatier, S.; Villar, M.; Bourgerie, S.; Morabito, D. Capability of Amendments (Biochar, Compost and Garden Soil) Added to a Mining Technosol Contaminated by Pb and As to Allow Poplar Seed (Populus nigra L.) Germination. Environ. Monit. Assess. 2019, 191, 465. [Google Scholar] [CrossRef]
- Lebrun, M.; Miard, F.; Nandillon, R.; Hattab-Hambli, N.; Scippa, G.S.; Bourgerie, S.; Morabito, D. Eco-Restoration of a Mine Technosol According to Biochar Particle Size and Dose Application: Study of Soil Physico-Chemical Properties and Phytostabilization Capacities of Salix Viminalis. J. Soils Sediments 2018, 18, 2188–2202. [Google Scholar] [CrossRef]
- Do Carmo, L.I.; Bursztyn Fuentes, A.L.; de los Ríos, A.; Fabrizio de Iorio, A.; Rendina, A.E. Effects of Green Waste Compost Addition to Dredged Sediments of the Matanza-Riachuelo River (Argentina) on Heavy Metal Extractability and Bioaccumulation in Lettuce (Lactuca sativa). Water Air Soil Pollut. 2021, 232, 200. [Google Scholar] [CrossRef]
- Sylvain, B.; Mikael, M.-H.; Florie, M.; Emmanuel, J.; Marilyne, S.; Sylvain, B.; Domenico, M. Phytostabilization of As, Sb and Pb by Two Willow Species (S. viminalis and S. purpurea) on Former Mine Technosols. Catena 2016, 136, 44–52. [Google Scholar] [CrossRef]





| Group | Abbreviation | Soil Mixtures |
|---|---|---|
| Control | P100 | 100% Pontgibaud |
| 1 | P80C20B0 | 80% Pontgibaud; 20% compost |
| P80C20B2 | 80% Pontgibaud; 20% compost; 2% biochar | |
| P80C20B6 | 80% Pontgibaud; 20% compost; 6% biochar | |
| 2 | P60C40B0 | 60% Pontgibaud; 40% compost |
| P60C40B2 | 60% Pontgibaud; 40% compost; 2% biochar | |
| P60C40B6 | 60% Pontgibaud; 40% compost; 6% biochar | |
| 3 | P40C60B0 | 40% Pontgibaud; 60% compost |
| P40C60B2 | 40% Pontgibaud; 60% compost; 2% biochar | |
| P40C60B6 | 40% Pontgibaud; 60% compost; 6% biochar |
Disclaimer/Publisher’s Note: The statements, opinions and data contained in all publications are solely those of the individual author(s) and contributor(s) and not of MDPI and/or the editor(s). MDPI and/or the editor(s) disclaim responsibility for any injury to people or property resulting from any ideas, methods, instructions or products referred to in the content. |
© 2023 by the authors. Licensee MDPI, Basel, Switzerland. This article is an open access article distributed under the terms and conditions of the Creative Commons Attribution (CC BY) license (https://creativecommons.org/licenses/by/4.0/).
Share and Cite
Hassan, S.H.; Chafik, Y.; Sena-Velez, M.; Lebrun, M.; Scippa, G.S.; Bourgerie, S.; Trupiano, D.; Morabito, D. Importance of Application Rates of Compost and Biochar on Soil Metal(Loid) Immobilization and Plant Growth. Plants 2023, 12, 2077. https://doi.org/10.3390/plants12112077
Hassan SH, Chafik Y, Sena-Velez M, Lebrun M, Scippa GS, Bourgerie S, Trupiano D, Morabito D. Importance of Application Rates of Compost and Biochar on Soil Metal(Loid) Immobilization and Plant Growth. Plants. 2023; 12(11):2077. https://doi.org/10.3390/plants12112077
Chicago/Turabian StyleHassan, Sayyeda Hira, Yassine Chafik, Marta Sena-Velez, Manhattan Lebrun, Gabriella Stefania Scippa, Sylvain Bourgerie, Dalila Trupiano, and Domenico Morabito. 2023. "Importance of Application Rates of Compost and Biochar on Soil Metal(Loid) Immobilization and Plant Growth" Plants 12, no. 11: 2077. https://doi.org/10.3390/plants12112077
APA StyleHassan, S. H., Chafik, Y., Sena-Velez, M., Lebrun, M., Scippa, G. S., Bourgerie, S., Trupiano, D., & Morabito, D. (2023). Importance of Application Rates of Compost and Biochar on Soil Metal(Loid) Immobilization and Plant Growth. Plants, 12(11), 2077. https://doi.org/10.3390/plants12112077

