Physiological Responses of Two Olive Cultivars to Salt Stress
Abstract
1. Introduction
2. Results
2.1. Impact of Salt Stress on the Osmotic Potential and Osmotic Adjustment of Olive Trees
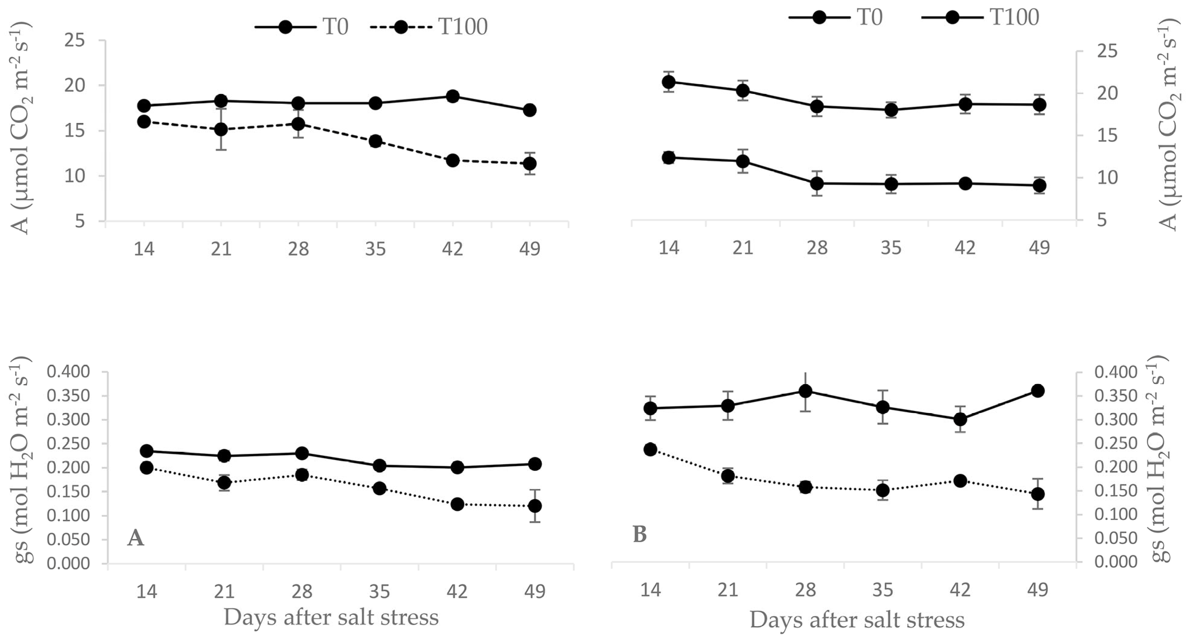
2.2. Impact of Salt Stress on Photosynthesis and Stomatal Conductance of Olive Plants
2.3. Impact of Salt Stress on Water Use Effeciency of Olive Trees
2.4. Impact of Salt Stress on Ion Concentration in Leaves and Roots of Olive Trees
2.5. Impact of Salt Stress on Antioxidant Enzyme Activity
3. Discussion
4. Materials and Methods
4.1. Plant Material and Treatments
4.2. Osmotic Potential
4.3. Simultaneous Gas Exchange Measurements
4.4. Mineral Nutrient Analysis
4.5. Antioxidant Enzyme Analysis
4.6. Statistical Analysis
5. Conclusions
Author Contributions
Funding
Data Availability Statement
Acknowledgments
Conflicts of Interest
References
- Raza, A.; Tabassum, J.; Fakhar, A.Z.; Sharif, R.; Chen, H.; Zhang, C.; Ju, L.; Fotopoulos, V.; Siddique, K.H.M.; Singh, R.K.; et al. Smart Reprograming of Plants against Salinity Stress Using Modern Biotechnological Tools. Crit. Rev. Biotechnol. 2022, 1–28. [Google Scholar] [CrossRef]
- Chartzoulakis, K.; Psarras, G.; Vemmos, S.; Loupassaki, M.; Bertaki, M. Response of Two Olive Cultivars to Salt Stress and Potassium Supplement. J. Plant Nutr. 2006, 29, 2063–2078. [Google Scholar] [CrossRef]
- Regni, L.; Del Pino, A.M.; Mousavi, S.; Palmerini, C.A.; Baldoni, L.; Mariotti, R.; Mairech, H.; Gardi, T.; D’Amato, R.; Proietti, P. Behavior of Four Olive Cultivars during Salt Stress. Front. Plant Sci. 2019, 10, 867. [Google Scholar] [CrossRef] [PubMed]
- Kourgialas, N.N.; Koubouris, G.C.; Dokou, Z. Optimal Irrigation Planning for Addressing Current or Future Water Scarcity in Mediterranean Tree Crops. Sci. Total Environ. 2019, 654, 616–632. [Google Scholar] [CrossRef] [PubMed]
- Mzid, N.; Boussadia, O.; Albrizio, R.; Stellacci, A.M.; Braham, M.; Todorovic, M. Salinity Properties Retrieval from Sentinel-2 Satellite Data and Machine Learning Algorithms. Agronomy 2023, 13, 716. [Google Scholar] [CrossRef]
- Remorini, D.; Melgar, J.C.; Guidi, L.; Degl’Innocenti, E.; Castelli, S.; Traversi, M.L.; Massai, R.; Tattini, M. Interaction Effects of Root-Zone Salinity and Solar Irradiance on the Physiology and Biochemistry of Olea Europaea. Environ. Exp. Bot. 2009, 65, 210–219. [Google Scholar] [CrossRef]
- Petridis, A.; Therios, I.; Samouris, G.; Koundouras, S.; Giannakoula, A. Effect of Water Deficit on Leaf Phenolic Composition, Gas Exchange, Oxidative Damage and Antioxidant Activity of Four Greek Olive (Olea europaea L.) Cultivars. Plant Physiol. Biochem. 2012, 60, 1–11. [Google Scholar] [CrossRef]
- Gupta, A.; Rico-Medina, A.; Caño-Delgado, A.I. The Physiology of Plant Responses to Drought. Science 2020, 368, 266–269. [Google Scholar] [CrossRef]
- Chaves, M.M.; Flexas, J.; Pinheiro, C. Photosynthesis under Drought and Salt Stress: Regulation Mechanisms from Whole Plant to Cell. Ann. Bot. 2009, 103, 551–560. [Google Scholar] [CrossRef]
- Chen, G.; Hu, Q.; Luo, L.; Yang, T.; Zhang, S.; Hu, Y.; Yu, L.; Xu, G. Rice Potassium Transporter OsHAK1 Is Essential for Maintaining Potassium-Mediated Growth and Functions in Salt Tolerance over Low and High Potassium Concentration Ranges. Plant Cell Environ. 2015, 38, 2747–2765. [Google Scholar] [CrossRef]
- Tardieu, F.; Simonneau, T.; Muller, B. The Physiological Basis of Drought Tolerance in Crop Plants: A Scenario-Dependent Probabilistic Approach. Annu. Rev. Plant Biol. 2018, 69, 733–759. [Google Scholar] [CrossRef] [PubMed]
- Zhang, Y.; Kaiser, E.; Zhang, Y.; Yang, Q.; Li, T. Short-Term Salt Stress Strongly Affects Dynamic Photosynthesis, but Not Steady-State Photosynthesis, in Tomato (Solanum Lycopersicum). Environ. Exp. Bot. 2018, 149, 109–119. [Google Scholar] [CrossRef]
- Taylaran, R.D.; Adachi, S.; Ookawa, T.; Usuda, H.; Hirasawa, T. Hydraulic Conductance as Well as Nitrogen Accumulation Plays a Role in the Higher Rate of Leaf Photosynthesis of the Most Productive Variety of Rice in Japan. J. Exp. Bot. 2011, 62, 4067. [Google Scholar] [CrossRef] [PubMed]
- Munns, R.; Tester, M. Mechanisms of Salinity Tolerance. Annu. Rev. Plant Biol. 2008, 59, 651–681. [Google Scholar] [CrossRef] [PubMed]
- Liao, Q.; Gu, S.; Kang, S.; Du, T.; Tong, L.; Wood, J.D.; Ding, R. Mild Water and Salt Stress Improve Water Use Efficiency by Decreasing Stomatal Conductance via Osmotic Adjustment in Field Maize. Sci. Total Environ. 2022, 805, 150364. [Google Scholar] [CrossRef] [PubMed]
- Astorga, G.I.A.; Meléndez, L.A. Salinity Effects on Protein Content, Lipid Peroxidation, Pigments, and Proline in Paulownia Imperialis (Siebold & Zuccarini) and Paulownia Fortunei (Seemann & Hemsley) Grown in Vitro. Electron. J. Biotechnol. 2010, 13, 13–14. [Google Scholar]
- Hu, Y.; Schnyder, H.; Schmidhalter, U. Carbohydrate Deposition and Partitioning in Elongating Leaves of Wheat under Saline Soil Conditions. Aust. J. Plant Physiol. 2000, 27, 363–370. [Google Scholar] [CrossRef]
- Hasegawa, P.M.; Bressan, R.A.; Zhu, J.K.; Bohnert, H.J. Plant Cellular and Molecular Responses to High Salinity. Annu. Rev. Plant Biol. 2000, 51, 463–499. [Google Scholar] [CrossRef] [PubMed]
- Kafi, M.; Stewart, W.S.; Borland, A.M. Carbohydrate and Proline Contents in Leaves, Roots, and Apices of Salt-Tolerant and Salt-Sensitive Wheat Cultivars. Russ. J. Plant Physiol. 2003, 50, 155–162. [Google Scholar] [CrossRef]
- Tester, M.; Davenport, R. Na+ Tolerance and Na+ Transport in Higher Plants. Ann. Bot. 2003, 91, 503–527. [Google Scholar] [CrossRef]
- Liu, X.; Fan, Y.; Mak, M.; Babla, M.; Holford, P.; Wang, F.; Chen, G.; Scott, G.; Wang, G.; Shabala, S.; et al. QTLs for Stomatal and Photosynthetic Traits Related to Salinity Tolerance in Barley. BMC Genom. 2017, 18, 9. [Google Scholar] [CrossRef] [PubMed]
- Moula, I.; Boussadia, O.; Koubouris, G.; Hassine, M.B.; Boussetta, W.; van Labeke, M.C.; Braham, M. Ecophysiological and Biochemical Aspects of Olive Tree (Olea europaea L.) in Response to Salt Stress and Gibberellic Acid-Induced Alleviation. S. Afr. J. Bot. 2020, 132, 38–44. [Google Scholar] [CrossRef]
- Gucci, R.; Lombardini, L.; Tattini, M. Analysis of Leaf Water Relations in Leaves of Two Olive (Olea europaea) Cultivars Differing in Tolerance to Salinity. Tree Physiol. 1997, 17, 13–21. [Google Scholar] [CrossRef] [PubMed]
- Tattini, M.; Gucci, R.; Coradeschi, M.A.; Ponzio, C.; Everard, J.D. Growth, Gas Exchange and Ion Content in Olea europaea Plants during Salinity Stress and Subsequent Relief. Physiol. Plant 1995, 95, 203–210. [Google Scholar] [CrossRef]
- De Lacerda, C.F.; Cambraia, J.; Oliva, M.A.; Ruiz, H.A.; Prisco, J.T. Solute Accumulation and Distribution during Shoot and Leaf Development in Two Sorghum Genotypes under Salt Stress. Environ. Exp. Bot. 2003, 49, 107–120. [Google Scholar] [CrossRef]
- Loreto, F.; Centritto, M.; Chartzoulakis, K. Photosynthetic Limitations in Olive Cultivars with Different Sensitivity to Salt Stress. Plant Cell Environ. 2003, 26, 595–601. [Google Scholar] [CrossRef]
- Delfine, S.; Alvino, A.; Villani, M.C.; Loreto, F. Restrictions to Carbon Dioxide Conductance and Photosynthesis in Spinach Leaves Recovering from Salt Stress. Plant Physiol. 1999, 119, 1101–1106. [Google Scholar] [CrossRef]
- Hussain, S.; Zhang, J.H.; Zhong, C.; Zhu, L.F.; Cao, X.C.; Yu, S.M.; Bohr, J.A.; Hu, J.J.; Jin, Q.Y. Effects of Salt Stress on Rice Growth, Development Characteristics, and the Regulating Ways: A Review. J. Integr. Agric. 2017, 16, 2357–2374. [Google Scholar] [CrossRef]
- Yamane, K.; Mitsuya, S.; Taniguchi, M.; Miyake, H. Salt-Induced Chloroplast Protrusion Is the Process of Exclusion of Ribulose-1,5-Bisphosphate Carboxylase/Oxygenase from Chloroplasts into Cytoplasm in Leaves of Rice. Plant Cell Environ. 2012, 35, 1663–1671. [Google Scholar] [CrossRef]
- Acosta-Motos, J.R.; Ortuño, M.F.; Bernal-Vicente, A.; Diaz-Vivancos, P.; Sanchez-Blanco, M.J.; Hernandez, J.A. Plant Responses to Salt Stress: Adaptive Mechanisms. Agronomy 2017, 7, 18. [Google Scholar] [CrossRef]
- Chakraborty, K.; Bose, J.; Shabala, L.; Eyles, A.; Shabala, S. Evaluating Relative Contribution of Osmotolerance and Tissue Tolerance Mechanisms toward Salinity Stress Tolerance in Three Brassica Species. Physiol. Plant 2016, 158, 135–151. [Google Scholar] [CrossRef]
- Araújo, M.; Prada, J.; Mariz-ponte, N.; Santos, C.; Pereira, J.A.; Pinto, D.C.G.A.; Silva, A.M.S.; Dias, M.C. Antioxidant Adjustments of Olive Trees (Olea europaea) under Field Stress Conditions. Plants 2021, 10, 684. [Google Scholar] [CrossRef] [PubMed]
- Abdelaal, K.; Alsubeie, M.S.; Hafez, Y.; Emeran, A.; Moghanm, F.; Okasha, S.; Omara, R.; Basahi, M.A.; Darwish, D.B.E.; Ibrahim, M.F.M.; et al. Physiological and Biochemical Changes in Vegetable and Field Crops under Drought, Salinity and Weeds Stresses: Control Strategies and Management. Agriculture 2022, 12, 2084. [Google Scholar] [CrossRef]
- Tedeschini, E.; Proietti, P.; Timorato, V.; D’Amato, R.; Nasini, L.; Del Buono, D.; Businelli, D.; Frenguelli, G. Selenium as Stressor and Antioxidant Affects Pollen Performance in Olea Europaea. Flora—Morphol. Distrib. Funct. Ecol. Plants 2015, 215, 16–22. [Google Scholar] [CrossRef]
- Proietti, P.; Nasini, L.; Del Buono, D.; D’Amato, R.; Tedeschini, E.; Businelli, D. Selenium Protects Olive (Olea europaea L.) from Drought Stress. Sci. Hortic. 2013, 164, 165–171. [Google Scholar] [CrossRef]
- Bose, J.; Rodrigo-Moreno, A.; Shabala, S. ROS Homeostasis in Halophytes in the Context of Salinity Stress Tolerance. J. Exp. Bot. 2014, 65, 1241–1257. [Google Scholar] [CrossRef] [PubMed]
- Elsawy, H.; Almalki, M.; Elmenshawy, O.; Abdel-Moneim, A. In Vivo Evaluation of the Protective Effects of Arjunolic Acid against Lipopolysaccharide-Induced Septic Myocardial Injury. PeerJ 2022, 10, e12986. [Google Scholar] [CrossRef]
- Ahmed, C.B.; Rouina, B.B.; Sensoy, S.; Boukhriss, M.; Abdullah, F.B. Saline Water Irrigation Effects on Antioxidant Defense System and Proline Accumulation in Leaves and Roots of Field-Grown Olive. J. Agric. Food Chem. 2009, 57, 11484–11490. [Google Scholar] [CrossRef] [PubMed]
- Bhaduri, A.M.; Fulekar, M.H. Antioxidant Enzyme Responses of Plants to Heavy Metal Stress. Rev. Environ. Sci. Biotechnol. 2012, 11, 55–69. [Google Scholar] [CrossRef]
- Keunen, E.; Peshev, D.; Vangronsveld, J.; Van Den Ende, W.; Cuypers, A. Plant Sugars Are Crucial Players in the Oxidative Challenge during Abiotic Stress: Extending the Traditional Concept. Plant Cell Environ. 2013, 36, 1242–1255. [Google Scholar] [CrossRef]
- Pang, C.H.; Wang, B.S. Role of Ascorbate Peroxidase and Glutathione Reductase in Ascorbate-Glutathione Cycle and Stress Tolerance in Plants. In Ascorbate-Glutathione Pathway and Stress Tolerance in Plants; Springer: Heidelberg, Netherlands, 2010; pp. 91–113. [Google Scholar]
- Del Buono, D.; Ioli, G.; Nasini, L.; Proietti, P. A Comparative Study on the Interference of Two Herbicides in Wheat and Italian Ryegrass and on Their Antioxidant Activities and Detoxification Rates. J. Agric. Food Chem. 2011, 59, 12109–12115. [Google Scholar] [CrossRef] [PubMed]
- Nath, M.; Bhatt, D.; Prasad, R.; Gill, S.S.; Anjum, N.A.; Tuteja, N. Reactive Oxygen Species Generation-Scavenging and Signaling during Plant-Arbuscular Mycorrhizal and Piriformospora Indica Interaction under Stress Condition. Front. Plant Sci. 2016, 7, 1574. [Google Scholar] [CrossRef] [PubMed]
- Hameed, A.; Goher, M.; Iqbal, N. Drought Induced Programmed Cell Death and Associated Changes in Antioxidants, Proteases, and Lipid Peroxidation in Wheat Leaves. Biol. Plant 2013, 57, 370–374. [Google Scholar] [CrossRef]
- Boshkovski, B.; Doupis, G.; Zapolska, A.; Kalaitzidis, C.; Koubouris, G. Hyperspectral Imagery Detects Water Deficit and Salinity Effects on Photosynthesis and Antioxidant Enzyme Activity of Three Greek Olive Varieties. Sustainability 2022, 14, 1432. [Google Scholar] [CrossRef]
- Chartzoulakis, K.S. Salinity and Olive: Growth, Salt Tolerance, Photosynthesis and Yield. Agric. Water Manag. 2005, 78, 108–121. [Google Scholar] [CrossRef]
- Chartzoulakis, K.; Loupassaki, M.; Bertaki, M.; Androulakis, I. Effects of NaCl Salinity on Growth, Ion Content and CO2 Assimilation Rate of Six Olive Cultivars. Sci. Hortic. 2002, 96, 235–247. [Google Scholar] [CrossRef]
- Tattini, M.; Lombardini, L.; Gucci, R. The Effect of NaCl Stress and Relief on Gas Exchange Properties of Two Olive Cultivars Differing in Tolerance to Salinity. Plant Soil 1997, 197, 87–93. [Google Scholar] [CrossRef]
- Centritto, M.; Loreto, F.; Chartzoulakis, K. The Use of Low [CO2] to Estimate Diffusional and Non-Diffusional Limitations of Photosynthetic Capacity of Salt-Stressed Olive Saplings. Plant Cell Environ. 2003, 26, 585–594. [Google Scholar] [CrossRef]
- Tabatabaei, S.J. Effects of Salinity and N on the Growth, Photosynthesis and N Status of Olive (Olea europaea L.) Trees. Sci. Hortic. 2006, 108, 432–438. [Google Scholar] [CrossRef]
- Iqbal, M.; Ashraf, M. Gibberellic Acid Mediated Induction of Salt Tolerance in Wheat Plants: Growth, Ionic Partitioning, Photosynthesis, Yield and Hormonal Homeostasis. Environ. Exp. Bot. 2013, 86, 76–85. [Google Scholar] [CrossRef]
- Tabatabaei, S.J. Salinity Stress and Olive: An Overview. Plant Stress 2007, 1, 105–112. [Google Scholar]
- Kchaou, H.; Larbi, A.; Chaieb, M.; Sagardoy, R.; Msallem, M.; Morales, F. Genotypic Differentiation in the Stomatal Response to Salinity and Contrasting Photosynthetic and Photoprotection Responses in Five Olive (Olea europaea L.) Cultivars. Sci. Hortic. 2013, 160, 129–138. [Google Scholar] [CrossRef]
- Azimi, M.; Khoshzaman, T.; Taheri, M.; Dadras, A. Evaluation of Salinity Tolerance of Three Olive (Olea europaea L.) Cultivars. J. Cent. Eur. Agric. 2021, 22, 571–581. [Google Scholar] [CrossRef]
- Xue, F.; Liu, W.; Cao, H.; Song, L.; Ji, S.; Tong, L.; Ding, R. Stomatal Conductance of Tomato Leaves Is Regulated by Both Abscisic Acid and Leaf Water Potential under Combined Water and Salt Stress. Physiol. Plant 2021, 172, 2070–2078. [Google Scholar] [CrossRef] [PubMed]
- Li, H.; Hou, X.; Bertin, N.; Ding, R.; Du, T. Quantitative Responses of Tomato Yield, Fruit Quality and Water Use Efficiency to Soil Salinity under Different Water Regimes in Northwest China. Agric. Water Manag. 2023, 277, 108134. [Google Scholar] [CrossRef]
- Syvertsen, J.P.; Melgar, J.C.; García-Sánchez, F. Salinity Tolerance and Leaf Water Use Efficiency in Citrus. J. Am. Soc. Hortic. Sci. 2010, 135, 33–39. [Google Scholar] [CrossRef]
- Greenway, H.; Munns, R. Mechanisms of Salt Tolerance in Nonhalophytes. Annu. Rev. Plant Physiol. 2003, 31, 149–190. [Google Scholar] [CrossRef]
- Loupassaki, M.H.; Chartzoulakis, K.S.; Digalaki, N.B.; Androulakis, I.I. Effects of Salt Stress on Concentration of Nitrogen, Phosphorus, Potassium, Calcium, Magnesium, and Sodium in Leaves, Shoots, and Roots of Six Olive Cultivars. J. Plant Nutr. 2002, 25, 2457–2482. [Google Scholar] [CrossRef]
- Tattini, M.; Bertoni, P.; Caselli, S. Genotipic Responses of Olive Plants to Sodium Chloride. J. Plant Nutr. 1992, 15, 1467–1485. [Google Scholar] [CrossRef]
- Tattini, M. Ionic Relations of Aeroponically-Grown Olive Genotypes, during Salt Stress. Plant Soil 1994, 161, 251–256. [Google Scholar]
- Marschner, H. Mineral Nutrition of Higher Plants; Academic Press: Cambridge, MA, USA, 1955; ISBN 9780080571874. [Google Scholar]
- Zhu, J.K. Plant Salt Tolerance. Trends Plant Sci. 2001, 6, 66–71. [Google Scholar] [CrossRef] [PubMed]
- Alkahtani, S.; Alarifi, S.; Alkahtane, A.A.; Albasher, G.; AL-Zharani, M.; Alhoshani, N.M.; AL-Johani, N.S.; Aljarba, N.H.; Saquib Hasnain, M. Pyrroloquinoline Quinone Alleviates Oxidative Damage Induced by High Glucose in HepG2 Cells. Saudi J. Biol. Sci. 2021, 28, 6127–6132. [Google Scholar] [CrossRef] [PubMed]
- Meloni, D.A.; Oliva, M.A.; Martinez, C.A.; Cambraia, J. Photosynthesis and Activity of Superoxide Dismutase, Peroxidase and Glutathione Reductase in Cotton under Salt Stress. Environ. Exp. Bot. 2003, 49, 69–76. [Google Scholar] [CrossRef]
- Munns, R. Physiological Processes Limiting Plant Growth in Saline Soils: Some Dogmas and Hypotheses. Plant Cell Environ. 1993, 16, 15–24. [Google Scholar] [CrossRef]
- Mittler, R. ROS Are Good. Trends Plant Sci. 2017, 22, 11–19. [Google Scholar] [CrossRef] [PubMed]
- Sofo, A.; Dichio, B.; Xiloyannis, C.; Masia, A. Antioxidant Defences in Olive Trees during Drought Stress: Changes in Activity of Some Antioxidant Enzymes. Funct. Plant Biol. 2005, 32, 45–53. [Google Scholar] [CrossRef]
- Jiao, L.; Wang, L.; Zhou, Q.; Huang, X. Stomatal and Non-Stomatal Factors Regulated the Photosynthesis of Soybean Seedlings in the Present of Exogenous Bisphenol A. Ecotoxicol. Environ. Saf. 2017, 145, 150–160. [Google Scholar] [CrossRef]
- Yang, Z.; Li, J.L.; Liu, L.N.; Xie, Q.; Sui, N. Photosynthetic Regulation Under Salt Stress and Salt-Tolerance Mechanism of Sweet Sorghum. Front. Plant Sci. 2019, 10, 1722. [Google Scholar] [CrossRef] [PubMed]
- Chazen, O.; Hartung, W.; Neumann, P.M. The Different Effects of PEG 6000 and NaCI on Leaf Development Are Associated with Differential Inhibition of Root Water Transport. Plant Cell Environ. 1995, 18, 727–735. [Google Scholar] [CrossRef]
- Martin-Prevel, P.; Martin-Prevel, P.; Gagnard, J.; Gautier, P. L’analyse Végétale Dans Le Contrôle de l’alimentation Des. Plantes Tempérées et Tropicales; Lavoisier: Paris, France, 1984; ISBN 978-2-85206-228-3. [Google Scholar]
- Teranishi, Y.; Tanaka, A.; Osumi, M.; Fukui, S. Catalase Activities of Hydrocarbon-Utilizing Candida Yeasts. Agric. Biol. Chem. 1974, 38, 1213–1220. [Google Scholar] [CrossRef]
- Nakano, Y.; Asada, K. Hydrogen Peroxide Is Scavenged by Ascorbate-Specific Peroxidase in Spinach Chloroplasts. Plant Cell Physiol. 1981, 22, 867–880. [Google Scholar]
- Pütter, J. Peroxidases. Methods Enzym. Anal. 1974, 2, 685–690. [Google Scholar]
- Duncan, D.B. Multiple Range and Multiple F Tests. Biometrics 1955, 11, 1. [Google Scholar] [CrossRef]



| Leaves | Roots | ||||||
|---|---|---|---|---|---|---|---|
| Cultivar | T | K+ (%dw) | Na+ (%dw) | K+/Na+ | K+ (%dw) | Na+ (%dw) | K+/Na+ |
| Chemlali | T0 | 0.52 ± 0.02 A,a | 0.10 ± 0.02 B,a | 5.2 ± 1.11 A,a | 0.43 ± 0.07 A,a | 0.20 ± 0.04 A,a | 2.15 ± 0.19 A,a |
| T100 | 0.51 ± 0.02 A,a | 0.13 ± 0.04 A,b | 3.92 ± 0.03 A,b | 0.47 ± 0.04 A,a | 0.20 ± 0.04 A,a | 2.35 ± 0.05 A,b | |
| Koroneiki | T0 | 0.56 ± 0.02 AB,a | 0.11 ± 0.03 B,a | 5.09 ± 1.5 A,a | 0.38 ± 0.05 A,a | 0.24 ± 0.00 A,a | 1.58 ± 0.19 B,a |
| T100 | 0.47 ± 0.03 B,b | 0.15 ± 0.02 A,a | 3.13 ± 0.05 B,b | 0.50 ± 0.12 A,ab | 0.23 ± 0.03 A,a | 2.17 ± 0.27 A,b | |
| Cultivar | Treatment | CAT (Units g−1 FM) | GPX (Units g−1 FM) | APX (Units g−1 FM) |
|---|---|---|---|---|
| Chemlali | T0 | 170 ± 24 A,a | 13.8 ± 0.8 B,ab | 0.825 ± 0.487 AB,a |
| T100 | 38 ± 8 A,b | 19.2 ± 16.8 AB,a | 0.362 ± 0.287 A,b | |
| Koroneiki | T0 | 185 ± 75 A,a | 13.6 ± 3.2 B,b | 1.037 ± 0.575 A,a |
| T100 | 54 ± 2.5 A,b | 47.2 ± 0.8 A,a | 0.500 ± 0.175 A,b |
Disclaimer/Publisher’s Note: The statements, opinions and data contained in all publications are solely those of the individual author(s) and contributor(s) and not of MDPI and/or the editor(s). MDPI and/or the editor(s) disclaim responsibility for any injury to people or property resulting from any ideas, methods, instructions or products referred to in the content. |
© 2023 by the authors. Licensee MDPI, Basel, Switzerland. This article is an open access article distributed under the terms and conditions of the Creative Commons Attribution (CC BY) license (https://creativecommons.org/licenses/by/4.0/).
Share and Cite
Boussadia, O.; Zgallai, H.; Mzid, N.; Zaabar, R.; Braham, M.; Doupis, G.; Koubouris, G. Physiological Responses of Two Olive Cultivars to Salt Stress. Plants 2023, 12, 1926. https://doi.org/10.3390/plants12101926
Boussadia O, Zgallai H, Mzid N, Zaabar R, Braham M, Doupis G, Koubouris G. Physiological Responses of Two Olive Cultivars to Salt Stress. Plants. 2023; 12(10):1926. https://doi.org/10.3390/plants12101926
Chicago/Turabian StyleBoussadia, Olfa, Hatem Zgallai, Nada Mzid, Rihem Zaabar, Mohamed Braham, Georgios Doupis, and Georgios Koubouris. 2023. "Physiological Responses of Two Olive Cultivars to Salt Stress" Plants 12, no. 10: 1926. https://doi.org/10.3390/plants12101926
APA StyleBoussadia, O., Zgallai, H., Mzid, N., Zaabar, R., Braham, M., Doupis, G., & Koubouris, G. (2023). Physiological Responses of Two Olive Cultivars to Salt Stress. Plants, 12(10), 1926. https://doi.org/10.3390/plants12101926

