The Negative Effects of High Rates of Biochar on Violas Can Be Counteracted with Fertilizer
Abstract
:1. Introduction
2. Results
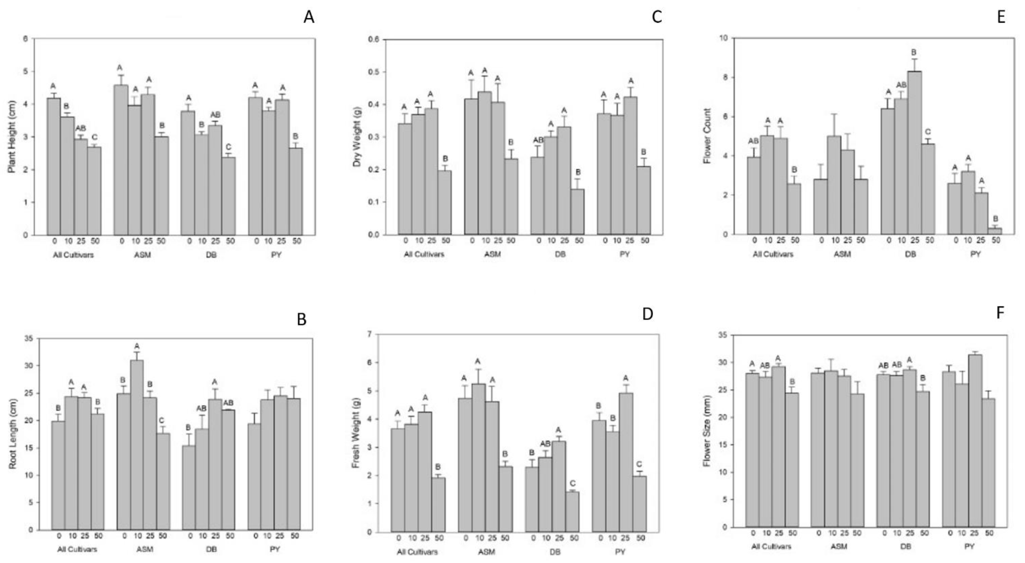
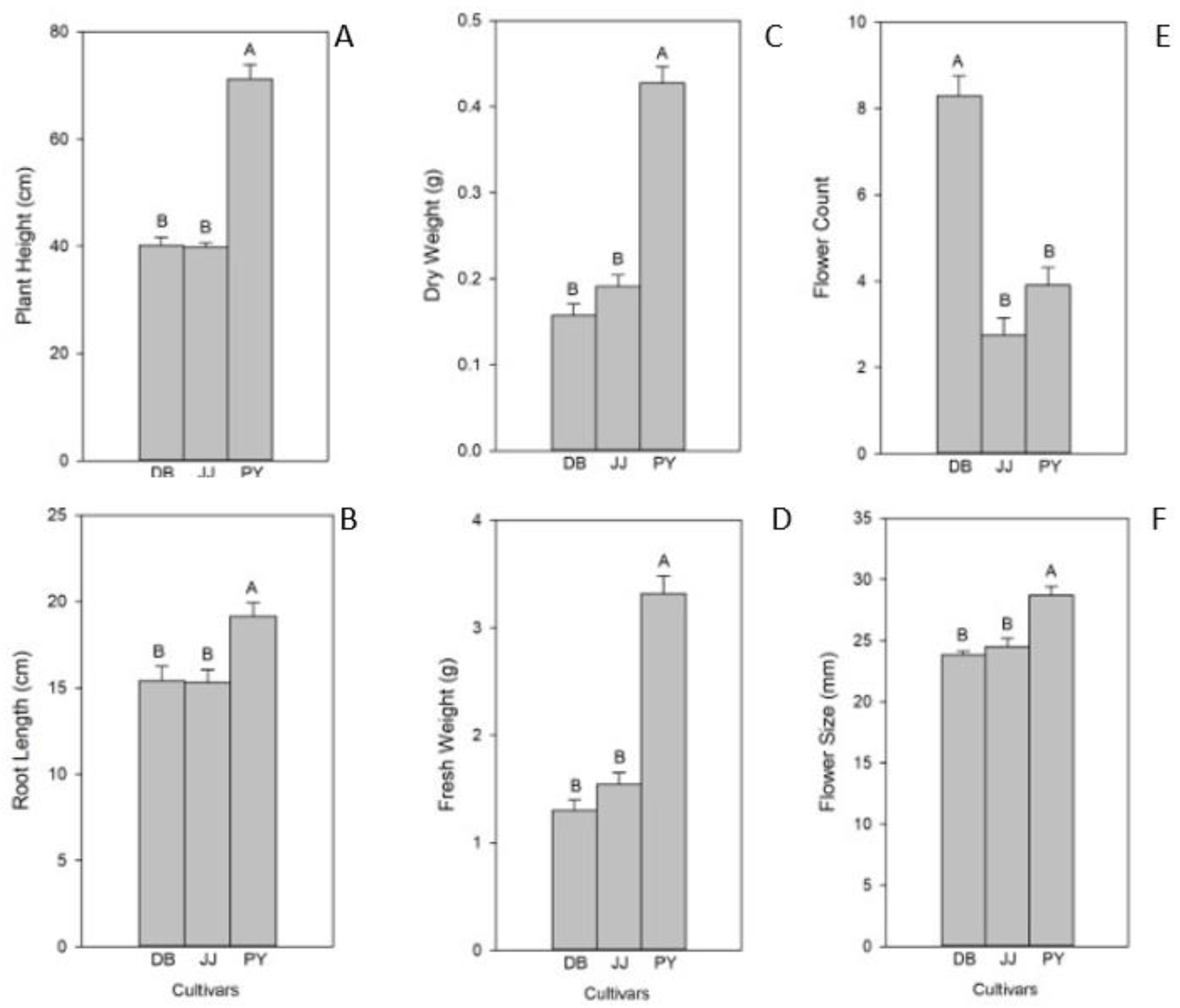
2.1. Growth Parameters
2.2. Plant Flowering
2.3. Plant Nutrients
3. Discussion
3.1. Impacts of Biochar on Plant Growth
3.2. Impacts of Biochar on Plant Flowering and Size
3.3. Impacts of Biochar on Plant Nutrient Content
4. Materials and Methods
4.1. Growing Conditions and Planting Materials
4.2. Growth Parameters
4.3. Plant Nutrient Analysis
4.4. Statistical Analysis
5. Conclusions
Author Contributions
Funding
Institutional Review Board Statement
Informed Consent Statement
Data Availability Statement
Acknowledgments
Conflicts of Interest
References
- Alvarez, J.M.; Pasian, C.; Lal, R.; Lopez-Nuñez, R.; Fernández, M. A biotic strategy to sequester carbon in the ornamental containerized bedding plant production: A review. Span. J. Agric. Res. 2018, 16, e03R01. [Google Scholar] [CrossRef]
- Jahromi, M.G.; Aboutalebi, A.; Farahi, M.H. Influence of different levels of garden compost (garden wastes and cow manure) on growth and stand establishment of tomato and cucumber in greenhouse condition. Afr. J. Biotechnol. 2012, 11, 9036–9039. [Google Scholar]
- Robertson, R.A. Peat, horticulture and environment. Biodivers. Conserv. 1993, 2, 541–547. [Google Scholar] [CrossRef]
- Peng, D.; Gu, M.; Zhao, Y.; Yu, F.; Choi, H.S. Effects of biochar mixes with peat-moss based substrates on growth and development of horticultural crops. Hortic. Sci. Technol. 2018, 36, 501–512. [Google Scholar]
- Robbins, J.A. Growing Media for Container Production in a Greenhouse or Nursery Part I—Components and Mixes; Cooperative Extension Service, University of Arkansas: Little Rock, AR, USA, 2011; pp. 1–4. [Google Scholar]
- Raviv, M.; Chen, Y.; Inbar, Y. Peat and peat substitutes as growth media for container-grown plants. In The Role of Organic Matter in Modern Agriculture; Chen, Y., Avnimelech, Y., Eds.; Springer: Dordrecht, The Netherlands, 1986; Volume 25, pp. 257–287. [Google Scholar]
- Fornes, F.; Belda, R.M.; Fernández de Córdova, P.; Cebolla-Cornejo, J. Assessment of biochar and hydrochar as minor to major constituents of growing media for containerized tomato production. J. Sci. Food Agric. 2017, 97, 3675–3684. [Google Scholar] [CrossRef] [PubMed]
- Lehmann, J. Bio-energy in the black. Front. Ecol. Environ. 2007, 5, 381–387. [Google Scholar] [CrossRef] [Green Version]
- Ali, M.A.; Mjeed, A.J. Biochar and Nitrogen Fertilizers Effects on Growth and Flowering of Garland Chrysanthemum (Chrysanthemum coronarium L.) Plant. Kurd. J. Appl. Res. 2017, 2, 8–14. [Google Scholar] [CrossRef] [Green Version]
- Manyà, J.J. Pyrolysis for biochar purposes: A review to establish current knowledge gaps and research needs. Environ. Sci. Technol. 2012, 46, 7939–7954. [Google Scholar] [CrossRef]
- Dall’Ora, M.; Jensen, P.A.; Jensen, A.D. Suspension combustion of wood: Influence of pyrolysis conditions on char yield, morphology, and reactivity. Energy Fuels 2008, 22, 2955–2962. [Google Scholar] [CrossRef]
- Kończak, M.; Pan, B.; Ok, Y.S.; Oleszczuk, P. Carbon dioxide as a carrier gas and mixed feedstock pyrolysis decreased toxicity of sewage sludge biochar. Sci. Total Environ. 2020, 723, 137796. [Google Scholar] [CrossRef]
- Godlewska, P.; Ok, Y.S.; Oleszczuk, P. The dark side of black gold: Ecotoxicological aspects of biochar and biochar-amended soils. J. Hazard. Mater. 2021, 403, 123833. [Google Scholar] [CrossRef] [PubMed]
- Lehmann, J.; Da Silva, J.P.; Steiner, C.; Nehls, T.; Zech, W.; Glaser, B. Nutrient availability and leaching in an archaeological Anthrosol and a Ferralsol of the Central Amazon basin: Fertilizer, manure and charcoal amendments. Plant Soil 2003, 249, 343–357. [Google Scholar] [CrossRef]
- Ok, Y.S.; Uchimiya, S.M.; Chang, S.X.; Bolan, N. Biochar: Production, Characterization, and Applications, 1st ed.; CRC Press: Boca Raton, FL, USA, 2016; ISBN 9780367658762. [Google Scholar]
- Biederman, L.A.; Stanley Harpole, W. Biochar and its effects on plant productivity and nutrient cycling: A meta-analysis. GCB Bioenergy 2013, 5, 202–214. [Google Scholar] [CrossRef]
- Kończak, M.; Oleszczuk, P. Application of biochar to sewage sludge reduces toxicity and improve organisms growth in sewage sludge-amended soil in long term field experiment. Sci. Total Environ. 2018, 625, 8–15. [Google Scholar] [CrossRef]
- Dispenza, V.; De Pasquale, C.; Fascella, G.; Mammano, M.M.; Alonzo, G. Use of biochar as peat substitute for growing substrates of Euphorbia × lomi potted plants. Span. J. Agric. Res. 2016, 14, e0908. [Google Scholar] [CrossRef] [Green Version]
- Semida, W.M.; Beheiry, H.R.; Sétamou, M.; Simpson, C.R.; Abd El-Mageed, T.A.; Rady, M.M.; Nelson, S.D. Biochar implications for sustainable agriculture and environment: A review. S. Afr. J. Bot. 2019, 127, 333–347. [Google Scholar] [CrossRef]
- Yu, P.; Li, Q.; Huang, L.; Qin, K.; Niu, G.; Gu, M. The effects of mixed hardwood biochar, mycorrhizae, and fertigation on container tomato and pepper plant growth. Sustainability 2020, 12, 7072. [Google Scholar] [CrossRef]
- Huang, L.; Niu, G.; Feagley, S.E.; Gu, M. Industrial Crops & Products Evaluation of a hardwood biochar and two composts mixes as replacements for a peat-based commercial substrate. Ind. Crops Prod. 2019, 129, 549–560. [Google Scholar]
- Kavitha, B.; Reddy, P.V.L.; Kim, B.; Lee, S.S.; Pandey, S.K.; Kim, K.H. Benefits and limitations of biochar amendment in agricultural soils: A review. J. Environ. Manag. 2018, 227, 146–154. [Google Scholar] [CrossRef]
- Jiang, S.; Nguyen, T.A.H.; Rudolph, V.; Yang, H.; Zhang, D.; Ok, Y.S.; Huang, L. Characterization of hard- and softwood biochars pyrolyzed at high temperature. Environ. Geochem. Health 2017, 39, 403–415. [Google Scholar] [CrossRef]
- Parkash, V.; Singh, S. Potential of Biochar Application to Mitigate Salinity Stress in Eggplant. HortScience 2020, 55, 1946–1955. [Google Scholar] [CrossRef]
- Yan, J.; Yu, P.; Liu, C.; Li, Q.; Gu, M. Replacing peat moss with mixed hardwood biochar as container substrates to produce five types of mint (Mentha spp.). Ind. Crops Prod. 2020, 155, 112820. [Google Scholar] [CrossRef]
- Graber, E.R.; Harel, Y.M.; Kolton, M.; Cytryn, E.; Silber, A.; David, D.R.; Tsechansky, L.; Borenshtein, M.; Elad, Y. Biochar impact on development and productivity of pepper and tomato grown in fertigated soilless media. Plant Soil 2010, 337, 481–496. [Google Scholar] [CrossRef]
- Reibe, K.; Götz, K.P.; Roß, C.L.; Döring, T.F.; Ellmer, F.; Ruess, L. Impact of quality and quantity of biochar and hydrochar on soil Collembola and growth of spring wheat. Soil Biol. Biochem. 2015, 83, 84–87. [Google Scholar] [CrossRef]
- Schmidt, H.P.; Kammann, C.; Niggli, C.; Evangelou, M.W.H.; Mackie, K.A.; Abiven, S. Biochar and biochar-compost as soil amendments to a vineyard soil: Influences on plant growth, nutrient uptake, plant health and grape quality. Agric. Ecosyst. Environ. 2014, 191, 117–123. [Google Scholar] [CrossRef]
- Furtado, G.D.F.; Chaves, L.H.G.; De Sousa, J.R.M.; Arriel, N.H.C.; Xavier, D.A.; De Lima, G.S. Soil chemical properties, growth and production of sunflower under fertilization with biochar and NPK. Aust. J. Crop Sci. 2016, 10, 418–424. [Google Scholar] [CrossRef]
- Warner, R.M.; Erwin, J.E. Prolonged high-temperature exposure differentially reduces growth and flowering of 12 Viola × wittrockiana Gams. cvs. Sci. Hortic. 2006, 108, 295–302. [Google Scholar] [CrossRef]
- USDA National Agricultural Statistics Service. Floriculture Crops 2018 Summary; USDA: Washington, DC, USA, 2019.
- Lim, T.K. Edible Medicinal and Non-Medicinal Plants; Springer: Dordrecht, The Netherlands, 2014; Volume 7, ISBN 9789400773943. [Google Scholar]
- NC State Extension. Viola Cornuta. Available online: https://plants.ces.ncsu.edu/plants/viola-cornuta/ (accessed on 20 September 2021).
- Kelly, R.O.; Deng, Z.; Harbaugh, B.K. Evaluation of Viola Cultivars as Bedding Plants for Florida. Horttechnology 2006, 16, 167–171. [Google Scholar] [CrossRef] [Green Version]
- Miyajima, D. Pollination and seed production in Viola. HortScience 2006, 41, 633–639. [Google Scholar] [CrossRef] [Green Version]
- USDA National Agricultural Statistics Service. Floriculture Crops 2020 Summary; USDA: Washington, DC, USA, 2021.
- Sustainable Projects Group Inc. Peat Moss: A Gift That Keeps on Taking; Sustainable Projects Group Inc.: Naples, FL, USA, 2019. [Google Scholar]
- Fascella, G. Growing Substrates Alternative to Peat for Ornamental Plants. In Soilless Culture-Use of Substrates for the Production of Qyality Horticultural Crops; Asaduzzaman, M., Ed.; IntechOpen: London, UK, 2015. [Google Scholar]
- Kitir, N.; Yildirim, E.; Şahin, Ü.; Turan, M.; Ekinci, M.; Ors, S.; Kul, R.; Ünlü, H.; Ünlü, H. Peat Use in Horticulture; IntechOpen: London, UK, 2018. [Google Scholar]
- Huang, L.; Gu, M. Effects of biochar on container substrate properties and growth of plants—A review. Horticulturae 2019, 5, 14. [Google Scholar] [CrossRef] [Green Version]
- Conversa, G.; Bonasia, A.; Lazzizera, C.; Elia, A. Influence of biochar, mycorrhizal inoculation, and fertilizer rate on growth and flowering of Pelargonium (Pelargonium zonale L.) plants. Front. Plant Sci. 2015, 6, 429. [Google Scholar] [CrossRef] [PubMed] [Green Version]
- Housley, C.; Kachenko, A.G.; Singh, B. Effects of eucalyptus saligna biochar-amended media on the growth of Acmena smithii, Viola var hybrida, and Viola × wittrockiana. J. Hortic. Sci. Biotechnol. 2015, 90, 187–194. [Google Scholar] [CrossRef]
- Webber, C.L.; White, P.M., Jr.; Spaunhorst, D.J.; Lima, I.M.; Petrie, E.C. Sugarcane Biochar as an Amendment for Greenhouse Growing Media for the Production of Cucurbit Seedlings. J. Agric. Sci. 2018, 10, 104–115. [Google Scholar] [CrossRef] [Green Version]
- Zhang, L.; Sun, X.-Y.; Tian, Y.; Gong, X.-Q. Biochar and humic acid amendments improve the quality of composted green waste as a growth medium for the ornamental plant Calathea insignis. Sci. Hortic. 2014, 176, 70–78. [Google Scholar] [CrossRef]
- Vaughn, S.F.; Kenar, J.A.; Thompson, A.R.; Peterson, S.C. Comparison of biochars derived from wood pellets and pelletized wheat straw as replacements for peat in potting substrates. Ind. Crops Prod. 2013, 51, 437–443. [Google Scholar] [CrossRef]
- Rajkovich, S.; Enders, A.; Hanley, K.; Hyland, C.; Zimmerman, A.R.; Lehmann, J. Corn growth and nitrogen nutrition after additions of biochars with varying properties to a temperate soil. Biol. Fertil. Soils 2012, 48, 271–284. [Google Scholar] [CrossRef]
- Cox, D. Basic Fertilizer Programs for Containerized Greenhouse Crops; Center for Agriculture, Food, and the Environment, University of Massachusetts: Amherst, MA, USA, 1997. [Google Scholar]
- Pérez Leroux, H.A.J.; Long, S.P. Growth analysis of contrasting cultivars of Zea mays L. At different rates of nitrogen supply. Ann. Bot. 1994, 73, 507–513. [Google Scholar] [CrossRef]
- Fascella, G.; Mammano, M.M.; D’Angiolillo, F.; Rouphael, Y. Effects of conifer wood biochar as a substrate component on ornamental performance, photosynthetic activity, and mineral composition of potted Rosa rugosa. J. Hortic. Sci. Biotechnol. 2018, 93, 519–528. [Google Scholar] [CrossRef]
- Lenzi, A.; Nannicini, M.; Mazzeo, P.; Baldi, A. Effect of paclobutrazol in potted plants of four cultivars of Dianthus barbatus × chinensis. Eur. J. Hortic. Sci. 2015, 80, 87–93. [Google Scholar] [CrossRef]
- Gentili, R.; Ambrosini, R.; Montagnani, C.; Caronni, S.; Citterio, S. Effect of soil ph on the growth, reproductive investment and pollen allergenicity of Ambrosia artemisiifolia L. Front. Plant Sci. 2018, 9, 1335. [Google Scholar] [CrossRef] [Green Version]
- Fornes, F.; Belda, R.M. Biochar versus hydrochar as growth media constituents for ornamental plant cultivation. Sci. Agric. 2018, 75, 304–312. [Google Scholar] [CrossRef] [Green Version]
- Alvarez, J.M.; Pasian, C.; Lal, R.; López, R.; Fernández, M. Vermicompost and biochar as substitutes of growing media in ornamental-plant production. J. Appl. Hortic. 2017, 19, 205–214. [Google Scholar] [CrossRef]
- Plank, C.O.; Kissel, D.E. Plant Analysis Handbook for Georgia; Cooperative Extension Service, University of Georgia College of Agriculture: Athens, GA, USA, 2021. [Google Scholar]
- Angst, T.E.; Sohi, S.P. Establishing Release Dynamics for Plant Nutrients from Biochar. GCB Bioenergy 2013, 5, 221–226. [Google Scholar] [CrossRef]
- Krug, B.A.; Whipker, B.E.; Frantz, J.; Mccall, I. Characterization of Calcium and Boron Deficiency and the Effects of Temporal Disruption of Calcium and Boron Supply on Pansy, Petunia, and Gerbera Plugs. HortScience 2009, 44, 1566–1572. [Google Scholar] [CrossRef]
- Pitchay, D. Impact of 11 Elemental Nutrient Deficiencies on Shoot and Root Growth, and Foliar Analysis Standard of 13 Ornamental Taxa with Emphasis on ca and b Control of Root Apical Meristem Development; North Carolina State University: Raleigh, NC, USA, 2002. [Google Scholar]
- Fisher, P.; Douglas, A.; Argo, W. Use the 1:2 Testing Method for Media-pH and EC. 2008. Available online: https://www.greenhousemag.com/article/use-the-1-2-testing-method-for-media-ph-and-ec/ (accessed on 20 September 2021).




| Cultivar (C) | Biochar Rate (B) | N (%) | P (%) | K (%) | Mg (%) | Ca (%) | S (%) | B (ppm) | Zn (ppm) | Mn (ppm) | Fe (ppm) | Cu (ppm) |
|---|---|---|---|---|---|---|---|---|---|---|---|---|
| Experiment 1 | ||||||||||||
| ASM | Control | 1.90 bcd | 0.43 A | 3.63 | 0.83 A | 1.26 abcde | 0.19 B | 38.00 A | 107.33 A | 206.00 A | 630.00 | 8.67 |
| 10% | 2.08 abcd | 0.38 A | 3.63 | 0.79 AB | 1.18 bcde | 0.21 A | 30.00 B | 96.67 A | 138.33 B | 329.33 | 8.67 | |
| 25% | 1.91 bcd | 0.39 AB | 3.6 | 0.71 BC | 1.29 abcde | 0.19 AB | 31.67 B | 91.67 B | 103.67 C | 245.33 | 7.67 | |
| 50% | 1.58 d | 0.32 B | 3.48 | 0.74 C | 1.06 de | 0.16 AB | 27.67 B | 78.33 B | 151.33 B | 289.00 | 7.33 | |
| DB | Control | 1.94 bcd | 0.35 A | 3.78 | 0.93 A | 1.49 abc | 0.19 B | 28.33 A | 95.00 A | 225.00 A | 635.00 | 8.00 |
| 10% | 2.21 abc | 0.36 A | 3.74 | 0.94 AB | 1.67 a | 0.22 A | 24.33 B | 104.33 A | 226.67 B | 639.33 | 8.33 | |
| 25% | 2.11 abc | 0.37 AB | 3.61 | 0.81 BC | 1.62 b | 0.20 AB | 22.67 B | 71.33 B | 132.33 C | 382.00 | 8.33 | |
| 50% | 1.78 cd | 0.30 B | 3.64 | 0.82 C | 1.43 abcd | 0.18 AB | 24.67 B | 75.00 B | 181.00 B | 363.33 | 7.33 | |
| PY | Control | 2.49 a | 0.57 A | 2.86 | 0.92 A | 1.53 ab | 0.13 B | 35.33 A | 147.00 A | 331.67 A | 627.67 | 8.67 |
| 10% | 2.31 ab | 0.49 A | 3.39 | 0.85 AB | 1.27 abcde | 0.16 A | 32.00 B | 136.33 A | 205.67 B | 544.33 | 7.67 | |
| 25% | 1.89 bcd | 0.37 AB | 3.68 | 0.67 BC | 1.11 cde | 0.18 AB | 28.33 B | 87.33 B | 106.00 C | 341.00 | 7.33 | |
| 50% | 1.8 bcd | 0.32 B | 3.78 | 0.75 C | 0.99 e | 0.17 AB | 26.67 B | 99.33 B | 228.67 B | 292.33 | 9.67 | |
| F-ratio | 5.97 | 3.20 | 1.52 | 2.92 | 7.66 | 4.46 | 6.81 | 6.20 | 5.58 | 0.86 | 1.26 | |
| df | 11,24 | 11,24 | 11,24 | 11,24 | 11,24 | 11,24 | 11,24 | 11,24 | 11,24 | 11,24 | 11,24 | |
| P C | 0.0065 | 0.0242 | 0.2110 | 0.0147 | <0.0001 | 0.0003 | <0.0001 | 0.0002 | 0.0067 | 0.5557 | 0.7469 | |
| P B | <0.0001 | 0.0047 | 0.5553 | 0.0023 | 0.0026 | 0.0144 | 0.0001 | <0.0001 | <0.0001 | 0.0920 | 0.6413 | |
| P B × C | 0.0374 | 0.1858 | 0.1278 | 0.8520 | 0.0260 | 0.0759 | 0.3441 | 0.1884 | 0.1745 | 0.9835 | 0.1165 | |
| Experiment 2 | ||||||||||||
| JJ | Control | 3.35 abc | 0.64 abc | 2.24 abc | 1.01 B | 1.57 B | 0.07 b | 36.00 A | 228.00 ab | 359.67 A | 263.00 bc | 10.67 |
| 10% | 3.32 abc | 0.71 abc | 1.80 bc | 1.11 A | 1.67 A | 0.07 b | 31.00 AB | 253.33 a | 289.00 AB | 286.67 abc | 10.67 | |
| 25% | 2.90 abcd | 0.56 bc | 1.73 bc | 0.98 AB | 1.58 AB | 0.06 b | 31.00 B | 191.33 bc | 249.00 BC | 221.00 c | 9.67 | |
| 50% | 2.75 bcd | 0.51 bc | 2.50 ab | 0.95 B | 1.41 AB | 0.10 b | 30.67 B | 167.33 cde | 224.67 C | 487.67 ab | 10.00 | |
| DB | Control | 3.07 abcd | 0.62 abc | 1.76 bc | 1.04 B | 1.94 B | 0.06 b | 29.00 A | 151.00 cde | 226.33 A | 304.33 abc | 10.00 |
| 10% | 3.37 ab | 0.72 abc | 1.73 bc | 1.09 A | 2.28 A | 0.07 b | 27.33 AB | 157.33 cde | 209.67 AB | 303.67 abc | 11.00 | |
| 25% | 3.64 a | 0.87 a | 1.82 bc | 1.03 AB | 2.1 AB | 0.06 b | 23.67 B | 146.00 cde | 141.00 BC | 253.33 bc | 12.67 | |
| 50% | 3.09 abcd | 0.59 abc | 1.41 c | 1.03 B | 2.07 AB | 0.07 b | 21.33 B | 130.33 de | 138.00 C | 392.67 abc | 16.33 | |
| PY | Control | 2.36 d | 0.45 c | 3.03 a | 0.83 B | 1.38 B | 0.15 a | 31.67 A | 123.00 e | 172.00 A | 539.00 a | 8.33 |
| 10% | 3.00 abcd | 0.65 abc | 2.28 ab | 0.98 A | 1.68 A | 0.08 b | 31.00 AB | 182.67 bcd | 188.00 AB | 380.33 abc | 9.00 | |
| 25% | 3.03 abcd | 0.75 ab | 1.86 bc | 0.96 AB | 1.72 AB | 0.06 b | 31.67 B | 179.00 bcde | 152.67 BC | 281.67 abc | 8.67 | |
| 50% | 2.57 cd | 0.52 bc | 2.08 bc | 0.84 B | 1.61 AB | 0.06 b | 29.00 B | 130.33 de | 131.00 C | 239.67 bc | 9.00 | |
| F-ratio | 5.53 | 4.37 | 6.81 | 4.51 | 10.86 | 7.81 | 7.23 | 12.48 | 7.63 | 3.86 | 1.96 | |
| df | 11,24 | 11,24 | 11,24 | 11,24 | 11,24 | 11,24 | 11,24 | 11,24 | 11,24 | 11,24 | 11,24 | |
| P C | 0.0001 | 0.0266 | <0.0001 | <0.0001 | <0.0001 | 0.0049 | <0.0001 | <0.0001 | <0.0001 | 0.3534 | 0.0088 | |
| P B | 0.0055 | 0.0080 | 0.0042 | 0.0075 | 0.0087 | 0.0073 | 0.0017 | <0.0001 | 0.0006 | 0.0270 | 0.4137 | |
| P B × C | 0.0232 | 0.0395 | 0.0024 | 0.4671 | 0.3228 | <0.0001 | 0.2429 | 0.0055 | 0.4948 | 0.0021 | 0.3631 | |
| Expt. 1 | Expt. 2 | |||||||
|---|---|---|---|---|---|---|---|---|
| ECinitial | pHinitial | ECfinal | pHfinal | ECinitial | pHinitial | ECfinal | pHfinal | |
| Control | 0.45 dS/m | 6.32 | 1.40 ds/m | 6.29 | 0.47 dS/m | 6.28 | 0.12 dS/m | 6.41 |
| Biochar 10% | 0.43 dS/m | 6.70 | 1.19 ds/m | 6.35 | 0.42 dS/m | 6.63 | 0.98 dS/m | 6.53 |
| Biochar 25% | 0.37 dS/m | 6.87 | 1.19 ds/m | 6.66 | 0.39 dS/m | 6.81 | 0.67 dS/m | 6.94 |
| Biochar 50% | 0.28 dS/m | 7.17 | 1.03 ds/m | 6.96 | 0.29 dS/m | 7.10 | 0.51 dS/m | 7.06 |
Publisher’s Note: MDPI stays neutral with regard to jurisdictional claims in published maps and institutional affiliations. |
© 2022 by the authors. Licensee MDPI, Basel, Switzerland. This article is an open access article distributed under the terms and conditions of the Creative Commons Attribution (CC BY) license (https://creativecommons.org/licenses/by/4.0/).
Share and Cite
Regmi, A.; Singh, S.; Moustaid-Moussa, N.; Coldren, C.; Simpson, C. The Negative Effects of High Rates of Biochar on Violas Can Be Counteracted with Fertilizer. Plants 2022, 11, 491. https://doi.org/10.3390/plants11040491
Regmi A, Singh S, Moustaid-Moussa N, Coldren C, Simpson C. The Negative Effects of High Rates of Biochar on Violas Can Be Counteracted with Fertilizer. Plants. 2022; 11(4):491. https://doi.org/10.3390/plants11040491
Chicago/Turabian StyleRegmi, Abishkar, Sukhbir Singh, Naima Moustaid-Moussa, Cade Coldren, and Catherine Simpson. 2022. "The Negative Effects of High Rates of Biochar on Violas Can Be Counteracted with Fertilizer" Plants 11, no. 4: 491. https://doi.org/10.3390/plants11040491
APA StyleRegmi, A., Singh, S., Moustaid-Moussa, N., Coldren, C., & Simpson, C. (2022). The Negative Effects of High Rates of Biochar on Violas Can Be Counteracted with Fertilizer. Plants, 11(4), 491. https://doi.org/10.3390/plants11040491

