Seasonal and Spatial Variability of Phytoplankton Primary Production in a Shallow Temperate Coastal Lagoon (Ria Formosa, Portugal)
Abstract
1. Introduction
2. Results
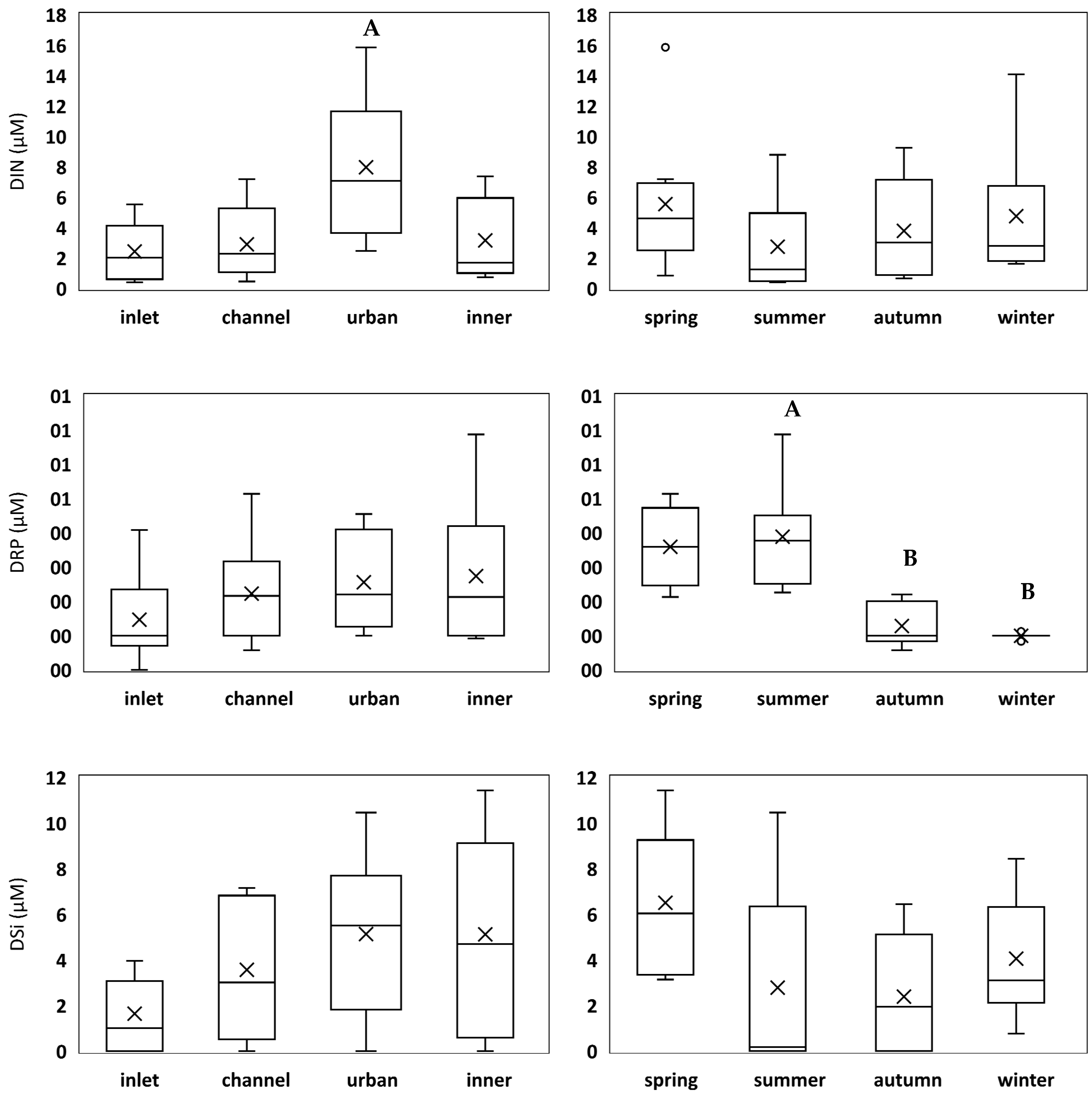
2.1. Environmental Conditions
2.2. Primary Production and Photosynthetic Parameters
2.3. Relationships between Primary Production, Photosynthetic Parameters, and Environmental Variables
3. Discussion
4. Material and Methods
4.1. Study Site and Sampling Strategy
4.2. Light Measurements
4.3. Phytoplankton Primary Production
4.4. Other Analytical Procedures
4.5. Data Analyses
Supplementary Materials
Funding
Data Availability Statement
Conflicts of Interest
References
- Kjerfve, B. (Ed.) Coastal Lagoon Processes; Elsevier Science Publishers: Amsterdam, The Netherlands, 1994; pp. 1–8. ISBN 0444882588. [Google Scholar]
- Adlam, K. Coastal Lagoons: Geologic Evolution in Two Phases. Mar. Geol. 2014, 355, 291–296. [Google Scholar] [CrossRef]
- Kennish, M.; Paerl, H. (Eds.) Coastal Lagoons: Critical Habitats of Environmental Change; CRC Press: Boca Raton, FL, USA, 2010; pp. 1–15. ISBN 9781138111844. [Google Scholar]
- Carrasco, A.R.; Ferreira, Ó.; Roelvink, D. Coastal Lagoons and Rising Sea Level: A Review. Earth-Sci. Rev. 2016, 154, 356–368. [Google Scholar] [CrossRef]
- Newton, A.; Icely, J.; Cristina, S.; Brito, A.; Cardoso, A.C.; Colijn, F.; Riva, S.D.; Gertz, F.; Hansen, J.W.; Holmer, M.; et al. An Overview of Ecological Status, Vulnerability and Future Perspectives of European Large Shallow, Semi-Enclosed Coastal Systems, Lagoons and Transitional Waters. Estuar. Coast. Shelf Sci. 2014, 140, 95–122. [Google Scholar] [CrossRef]
- Newton, A.; Icely, J.; Cristina, S.; Perillo, G.M.E.; Turner, R.E.; Ashan, D.; Cragg, S.; Luo, Y.; Tu, C.; Li, Y.; et al. Anthropogenic, Direct Pressures on Coastal Wetlands. Front. Ecol. Evol. 2020, 8, 144. [Google Scholar] [CrossRef]
- EEA. Eutrophication in Europe’s Coastal Waters; EEA: Copenhagen, Denmark, 2001. [Google Scholar]
- Cloern, J.E.; Foster, S.Q.; Kleckner, A.E. Review: Phytoplankton Primary Production in the World’s Estuarine-Coastal Ecosystems. Biogeosci. Discuss. 2013, 10, 17725–17783. [Google Scholar] [CrossRef]
- Domingues, R.B.; Barbosa, A.; Galvão, H. Constraints on the Use of Phytoplankton as a Biological Quality Element within the Water Framework Directive in Portuguese Waters. Mar. Pollut. Bull. 2008, 56, 1389–1395. [Google Scholar] [CrossRef] [PubMed]
- Smetacek, V.; Cloern, J.E. On Phytoplankton Trends. Science 2008, 319, 1346–1348. [Google Scholar] [CrossRef]
- Finenko, Z.Z.; Churilova, T.Y.; Sosik, H.M.; Basturk, O. Variability of Photosynthetic Parameters of the Surface Phytoplankton in the Black Sea. Oceanology 2002, 42, 60–75. [Google Scholar]
- Falkowski, P.G.; Raven, J.A. Aquatic Photosynthesis; Blackwell Science: Malden, MA, USA, 1997. [Google Scholar]
- Steeman-Nielsen, E. The Use of Radio-Active Carbon (C14) for Measuring Organic Production in the Sea. J. Counseil Int. Pour l’Explor. 1952, 18, 117–140. [Google Scholar] [CrossRef]
- Regaudie-de-Gioux, A.; Lasternas, S.; Agustí, S.; Duarte, C.M. Comparing Marine Primary Production Estimates through Different Methods and Development of Conversion Equations. Front. Mar. Sci. 2014, 1, 19. [Google Scholar] [CrossRef]
- Gazeau, F.; Middelburg, J.J.; Loijens, M.; Vanderborght, J.-P.; Pizay, M.-D.; Gattuso, J.-P. Planktonic Primary Production in Estuaries: Comparison of 14C, O2 and 18O Methods. Aquat. Microb. Ecol. 2007, 46, 95–106. [Google Scholar] [CrossRef]
- Morán, X.; Estrada, M. Short-Term Variability of Photosynthetic Parameters and Particulate and Dissolved Primary Production in the Alboran Sea (SW Mediterranean). Mar. Ecol. Prog. Ser. 2001, 212, 53–67. [Google Scholar] [CrossRef]
- Yoshie, N.; Suzuki, K.; Kuwata, A.; Nishioka, J.; Saito, H. Temporal and Spatial Variations in Photosynthetic Physiology of Diatoms during the Spring Bloom in the Western Subarctic Pacific. Mar. Ecol. Prog. Ser. 2010, 399, 39–52. [Google Scholar] [CrossRef]
- Palmer, M.A.; Arrigo, K.R.; Mundy, C.J.; Ehn, J.K.; Gosselin, M.; Barber, D.G.; Martin, J.; Alou, E.; Roy, S.; Tremblay, J.-É. Spatial and Temporal Variation of Photosynthetic Parameters in Natural Phytoplankton Assemblages in the Beaufort Sea, Canadian Arctic. Polar Biol. 2011, 34, 1915–1928. [Google Scholar] [CrossRef]
- Napoléon, C.; Raimbault, V.; Fiant, L.; Riou, P.; Lefebvre, S.; Lampert, L.; Claquin, P. Spatiotemporal Dynamics of Physicochemical and Photosynthetic Parameters in the Central English Channel. J. Sea Res. 2012, 69, 43–52. [Google Scholar] [CrossRef]
- Jouenne, F.; Lefebvre, S.; Véron, B.; Lagadeuc, Y. Biological and Physicochemical Factors Controlling Short-Term Variability in Phytoplankton Primary Production and Photosynthetic Parameters in a Macrotidal Ecosystem (Eastern English Channel). Estuar. Coast. Shelf Sci. 2005, 65, 421–439. [Google Scholar] [CrossRef]
- Azevedo, I.; Duarte, P.; Bordalo, A. Temporal and Spatial Variability of Phytoplankton Photosynthetic Characteristics in a Southern European Estuary (Douro, Portugal). Mar. Ecol. Prog. Ser. 2010, 412, 29–44. [Google Scholar] [CrossRef][Green Version]
- Domingues, R.B.; Anselmo, T.P.; Barbosa, A.B.; Sommer, U.; Galvão, H.M. Light as a Driver of Phytoplankton Growth and Production in the Freshwater Tidal Zone of a Turbid Estuary. Estuar. Coast. Shelf Sci. 2011, 91, 526–535. [Google Scholar] [CrossRef]
- Domingues, R.B.; Barbosa, A.B.; Sommer, U.; Galvão, H.M. Phytoplankton Composition, Growth and Production in the Guadiana Estuary (SW Iberia): Unraveling Changes Induced after Dam Construction. Sci. Total Environ. 2012, 416, 300–313. [Google Scholar] [CrossRef]
- Gameiro, C.; Zwolinski, J.; Brotas, V. Light Control on Phytoplankton Production in a Shallow and Turbid Estuarine System. Hydrobiologia 2011, 669, 249–263. [Google Scholar] [CrossRef]
- Barbosa, A.B. Seasonal and Interanual Variability of Planktonic Microbes in a Mesotidal Coastal Lagoon (Ria Formosa, SE Portugal). Impact of Climatic Changes and Local Human Influences. In Coastal Lagoons: Critical Habitats of Environmental Change; Kennish, M.J., Paerl, H.W., Eds.; CRC Press: Boca Raton, FL, USA, 2010; pp. 334–366. [Google Scholar]
- Cravo, A.; Fernandes, D.; Damião, T.; Pereira, C.; Reis, M.P. Determining the Footprint of Sewage Discharges in a Coastal Lagoon in South-Western Europe. Mar. Pollut. Bull. 2015, 96, 197–209. [Google Scholar] [CrossRef] [PubMed]
- Domingues, R.B.; Guerra, C.C.; Barbosa, A.B.; Galvão, H.M. Will Nutrient and Light Limitation Prevent Eutrophication in an Anthropogenically-Impacted Coastal Lagoon? Cont. Shelf Res. 2017, 141, 11–25. [Google Scholar] [CrossRef]
- Domingues, R.B.; Guerra, C.C.; Barbosa, A.B.; Galvão, H.M. Are Nutrients and Light Limiting Summer Phytoplankton in a Temperate Coastal Lagoon? Aquat. Ecol. 2015, 49, 127–146. [Google Scholar] [CrossRef]
- Cravo, A.; Cardeira, S.; Pereira, C.; Rosa, M.; Alcântara, P.; Madureira, M.; Rita, F.; Luis, J.; Jacob, J. Exchanges of Nutrients and Chlorophyll a through Two Inlets of Ria Formosa, South of Portugal, during Coastal Upwelling Events. J. Sea Res. 2014, 93, 63–74. [Google Scholar] [CrossRef]
- Cravo, A.; Ferreira, C.; Jacob, J. Water Quality Improvement in Ria Formosa since the Early 2000. In Sanitation Approaches and Solutions and The Sustainable Development Goals; Saldanha Matos, J., Rosa, M.J., Eds.; ERSAR—Entidade Reguladora dos Serviços de Águas e Serviços: Lisbon, Portugal; EWA—European Water Association: Munich, Germany; APESB—Associação Portuguesa de Engenharia Sanitária e Ambiental: Lisboa, Portugal, 2018; pp. 307–322. [Google Scholar]
- Domingues, R.B.; Guerra, C.C.; Barbosa, A.B.; Brotas, V.; Galvão, H.M. Effects of Ultraviolet Radiation and CO2 Increase on Winter Phytoplankton Assemblages in a Temperate Coastal Lagoon. J. Plankton Res. 2014, 36, 672–684. [Google Scholar] [CrossRef]
- Loureiro, S.; Newton, A.; Icely, J. Effects of Nutrient Enrichments on Primary Production in the Ria Formosa Coastal Lagoon (Southern Portugal). Hydrobiologia 2005, 550, 29–45. [Google Scholar] [CrossRef]
- Loureiro, S.; Newton, A.; Icely, J. Boundary Conditions for the European Water Framework Directive in the Ria Formosa Lagoon, Portugal (Physico-Chemical and Phytoplankton Quality Elements). Estuar. Coast. Shelf Sci. 2006, 67, 382–398. [Google Scholar] [CrossRef]
- Pereira, M.G.; Icely, J.; Mudge, S.; Newton, A.; Rodrigues, R. Temporal and Spatial Variation of Phytoplankton Pigments in the Western Part of Ria Formosa Lagoon, Southern Portugal. Environ. Forensics 2007, 8, 205–220. [Google Scholar] [CrossRef]
- Cravo, A.; Barbosa, A.B.; Correia, C.; Matos, A.; Caetano, S.; Lima, M.J.; Jacob, J. Unravelling the Effects of Treated Wastewater Discharges on the Water Quality in a Coastal Lagoon System (Ria Formosa, South Portugal): Relevance of Hydrodynamic Conditions. Mar. Pollut. Bull. 2022, 174, 113296. [Google Scholar] [CrossRef]
- Barbosa, A.B. Estrutura e Dinâmica Da Teia Alimentar Microbiana Na Ria Formosa. Ph.D. Thesis, University of Algarve, Faro, Portugal, 2006. [Google Scholar]
- Galvão, H.M.; Mendes, P.J.; Caetano, S.M.; Icely, J.D.; Newton, A. Role of Microbes in the Ria Formosa Lagoon. In Ria Formosa—Challenges of a Coastal Lagoon in a Changing Environment; Universidade do Algarve: Faro, Portugal, 2019; pp. 67–81. [Google Scholar]
- Newton, A.; Icely, J.D. Oceanographic Applications to Eutrophication in Tidal, Coastal Lagoons: The Ria Formosa, Portugal. J. Coast. Res. 2006, 39, 1346–1350. [Google Scholar]
- Rosa, A.; Cravo, A.; Jacob, J.; Correia, C. Water Quality of a Southwest Iberian Coastal Lagoon: Spatial and Temporal Variability. Cont. Shelf Res. 2022, 245, 104804. [Google Scholar] [CrossRef]
- Santos, R.; Silva, J.; Alexandre, A.; Navarro, N.; Barrón, C.; Duarte, C.M. Ecosystem Metabolism and Carbon Fluxes of a Tidally- Dominated Coastal Lagoon. Estuaries 2004, 27, 977–985. [Google Scholar] [CrossRef]
- Azevedo, I.C.; Duarte, P.M.; Bordalo, A.A. Pelagic Metabolism of the Douro Estuary (Portugal)—Factors Controlling Primary Production. Estuar. Coast. Shelf Sci. 2006, 69, 133–146. [Google Scholar] [CrossRef]
- Kocum, E.; Underwood, G.J.C.; Nedwell, D.B. Simultaneous Measurement of Phytoplanktonic Primary Production, Nutrient and Light Availability along a Turbid, Eutrophic UK East Coast Estuary (the Colne Estuary). Mar. Ecol. Prog. Ser. 2002, 231, 1–12. [Google Scholar] [CrossRef]
- Cloern, J.E. The Relative Importance of Light and Nutrient Limitation of Phytoplankton Growth: A Simple Index of Coastal Ecosystem Sensitivity to Nutrient Enrichment. Aquat. Ecol. 1999, 33, 3–16. [Google Scholar] [CrossRef]
- Kromkamp, J.; Peene, J.; Rijswijk, P.; Sandee, A.; Goosen, N. Nutrients, Light and Primary Production by Phytoplankton and Microphytobenthos in the Eutrophic, Turbid Westerschelde Estuary (The Netherlands). Hydrobiologia 1995, 311, 9–19. [Google Scholar] [CrossRef]
- Loken, L.C.; Sadro, S.; Lenoch, L.E.K.; Stumpner, P.R.; Dahlgren, R.A.; Burau, J.R.; Van Nieuwenhuyse, E.E. Whole-Ecosystem Experiment Illustrates Short Timescale Hydrodynamic, Light, and Nutrient Control of Primary Production in a Terminal Slough. Estuaries Coasts 2022, 45, 2428–2449. [Google Scholar] [CrossRef]
- Domingues, R.B.; Nogueira, P.; Barbosa, A.B. Co-Limitation of Phytoplankton by N and P in a Shallow Coastal Lagoon (Ria Formosa, Southern Portugal): Implications for Eutrophication Evaluation. Estuar. Coast. Shelf Sci. 2022, submitted.
- Ko, E.; Gorbunov, M.Y.; Jung, J.; Lee, Y.; Cho, K.-H.; Yang, E.J.; Park, J. Phytoplankton Photophysiology Varies Depending on Nitrogen and Light Availability at the Subsurface Chlorophyll Maximum in the Northern Chukchi Sea. Front. Mar. Sci. 2022, 9, 979998. [Google Scholar] [CrossRef]
- Steeman-Nielsen, E.; Jorgensen, E.G. The Adaptation of Plankton Algae. I. General Part. Physiol. Plant. 1968, 21, 401–413. [Google Scholar] [CrossRef]
- Behrenfeld, M.J.; Halsey, K.H.; Milligan, A.J. Evolved Physiological Responses of Phytoplankton to Their Integrated Growth Environment. Philos. Trans. R. Soc. B Biol. Sci. R. Soc. 2008, 363, 2687–2703. [Google Scholar] [CrossRef]
- Lamont, T.; Barlow, R.G.; Kyewalyanga, M.S. Physical Drivers of Phytoplankton Production in the Southern Benguela Upwelling System. Deep Sea Res. Part I Oceanogr. Res. Pap. 2014, 90, 1–16. [Google Scholar] [CrossRef]
- Bouman, H.A.; Platt, T.; Doblin, M.; Figueiras, F.G.; Gudmundsson, K.; Gudfinnsson, H.G.; Huang, B.; Hickman, A.; Hiscock, M.; Jackson, T.; et al. Photosynthesis-Irradiance Parameters of Marine Phytoplankton: Synthesis of a Global Data Set. Earth Syst. Sci. Data 2018, 10, 251–266. [Google Scholar] [CrossRef]
- Cullen, J.J.; Yang, X.; Macintyre, H.L. Nutrient Limitation of Marine Photosynthesis. In Primary Productivity and Biogeochemical Cycles in the Sea; Falkowski, P.G., Woodhead, A.D., Eds.; Plenum Press: New York, NY, USA, 1992; pp. 69–88. ISBN 9781489907622. [Google Scholar]
- Sakshaug, E.; Bricaud, A.; Dandonneau, Y.; Falkowski, P.G.; Kiefer, D.A.; Legendre, L.; Morel, A.; Parslow, J.; Takahashi, M. Parameters of Photosynthesis: Definitions, Theory and Interpretation of Results. J. Plankton Res. 1997, 19, 1637–1670. [Google Scholar] [CrossRef]
- Tilstone, G.; Figueiras, F.; Lorenzo, L.; Arbones, B. Phytoplankton Composition, Photosynthesis and Primary Production during Different Hydrographic Conditions at the Northwest Iberian Upwelling System. Mar. Ecol. Prog. Ser. 2003, 252, 89–104. [Google Scholar] [CrossRef]
- Relvas, P.; Barton, E.D.; Dubert, J.; Oliveira, P.B.; Peliz, Á.; da Silva, J.C.B.; Santos, A.M.P. Physical Oceanography of the Western Iberia Ecosystem: Latest Views and Challenges. Prog. Oceanogr. 2007, 74, 149–173. [Google Scholar] [CrossRef]
- Chassot, E.; Bonhommeau, S.; Dulvy, N.K.; Mélin, F.; Watson, R.; Gascuel, D.; Le Pape, O. Global Marine Primary Production Constrains Fisheries Catches. Ecol. Lett. 2010, 13, 495–505. [Google Scholar] [CrossRef]
- Andrade, C. O Ambiente de Barreira Da Ria Formosa (Algarve, Portugal). Ph.D. Thesis, University of Lisbon, Lisbon, Portugal, 1990. [Google Scholar]
- Cloern, J.E. Turbidity as a Control on Phytoplankton Biomass and Productivity in Estuaries. Cont. Shelf Res. 1987, 7, 1367–1381. [Google Scholar] [CrossRef]
- Morel, A.; Smith, R.C. Relation between Total Quanta and Total Energy for Aquatic Photosynthesis. Limnol. Oceanogr. 1974, 19, 591–600. [Google Scholar] [CrossRef]
- Kirk, J.T.O. The Total Radiant Energy, and the Average Depth of All the Photons, in the Water Column. Am. Soc. Limnol. Oceanogr. 2013, 58, 93–98. [Google Scholar] [CrossRef]
- Jacobs, P.; Kromkamp, J.C.; Van Leeuwen, S.M.; Philippart, C.J.M. Planktonic Primary Production in the Western Dutch Wadden Sea. Mar. Ecol. Prog. Ser. 2020, 639, 53–71. [Google Scholar] [CrossRef]
- Eilers, P.H.C.; Peeters, J.C.H. A Model for the Relationship between Light and Intensity and the Rate of Photosynthesis in Phytoplankton. Ecol. Modell. 1988, 42, 199–215. [Google Scholar] [CrossRef]
- Parsons, T.R.; Maita, Y.; Lalli, C.M. A Manual of Chemical and Biological Methods for Seawater Analysis; Pergamon Press: Oxford, UK, 1984. [Google Scholar]
- Hansen, H.P.; Koroleff, F. Determination of Nutrients. In Methods of Seawater Analysis; Grasshoff, K., Kremling, K., Ehrhardt, M., Eds.; WILEY-VCH Verlag GmbH: Hoboken, NJ, USA, 1999; pp. 159–228. ISBN 9783527613984. [Google Scholar]
- Borcard, D.; Gillet, F.; Legendre, P. Canonical Ordination; Springer: Berlin/Heidelberg, Germany, 2018; ISBN 9783319714042. [Google Scholar]
- Oksanen, J.; Simpson, G.L.; Blanchet, F.G.; Kindt, R.; Legendre, P.; Minchin, P.R.; O’Hara, R.B.; Solymos, P.; Henry, M.; Stevens, H.; et al. Vegan: Community Ecology Package. R Package Version 2.6-2. 2022. Available online: https://cran.r-project.org/Package=vegan (accessed on 11 December 2022).
- R Core Team R. A Language and Environment for Statistical Computing. R Foundation for Statistical Computing, Vienna, Austria. 2022. Available online: https://www.r-project.org/ (accessed on 11 December 2022).
- RStudio Team RStudio. Integrated Development Environment for R. RStudio, PBC, Boston, MA, USA. 2022. Available online: http://www.rstudio.com/ (accessed on 11 December 2022).





Publisher’s Note: MDPI stays neutral with regard to jurisdictional claims in published maps and institutional affiliations. |
© 2022 by the author. Licensee MDPI, Basel, Switzerland. This article is an open access article distributed under the terms and conditions of the Creative Commons Attribution (CC BY) license (https://creativecommons.org/licenses/by/4.0/).
Share and Cite
Domingues, R.B. Seasonal and Spatial Variability of Phytoplankton Primary Production in a Shallow Temperate Coastal Lagoon (Ria Formosa, Portugal). Plants 2022, 11, 3511. https://doi.org/10.3390/plants11243511
Domingues RB. Seasonal and Spatial Variability of Phytoplankton Primary Production in a Shallow Temperate Coastal Lagoon (Ria Formosa, Portugal). Plants. 2022; 11(24):3511. https://doi.org/10.3390/plants11243511
Chicago/Turabian StyleDomingues, Rita B. 2022. "Seasonal and Spatial Variability of Phytoplankton Primary Production in a Shallow Temperate Coastal Lagoon (Ria Formosa, Portugal)" Plants 11, no. 24: 3511. https://doi.org/10.3390/plants11243511
APA StyleDomingues, R. B. (2022). Seasonal and Spatial Variability of Phytoplankton Primary Production in a Shallow Temperate Coastal Lagoon (Ria Formosa, Portugal). Plants, 11(24), 3511. https://doi.org/10.3390/plants11243511

