Salt Stress Tolerance in Casuarina glauca: Insights from the Branchlets Transcriptome
Abstract
1. Introduction
2. Results
2.1. Overall Transcriptome Profiling and De Novo Assembly
2.2. Differential Gene Expression in Response to Increasing NaCl Concentrations
2.3. Differential Gene Expression between KNO3+and NOD+ Plants
2.4. Top NaCl-Responsive Genes in KNO3+ and NOD+ Plants
2.5. Differentially Top-Expressed Genes in KNO3+ and in NOD+ Plants
2.6. Significantly Enriched GO Terms, Metabolic Pathways and PPIs
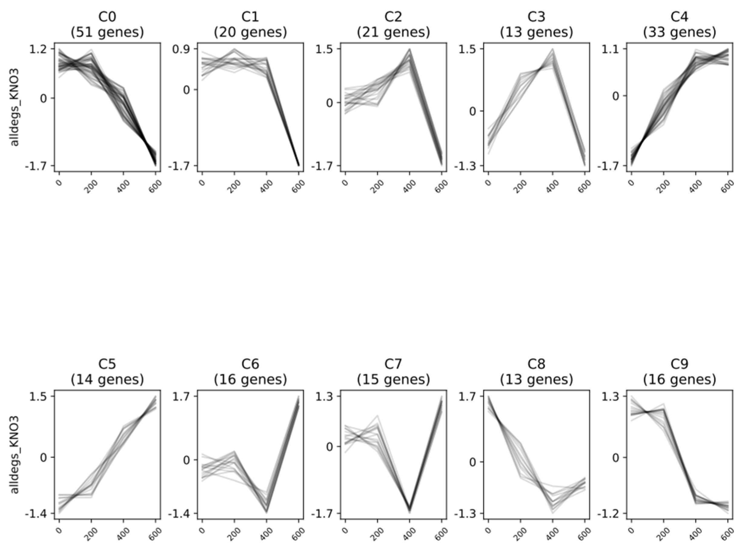
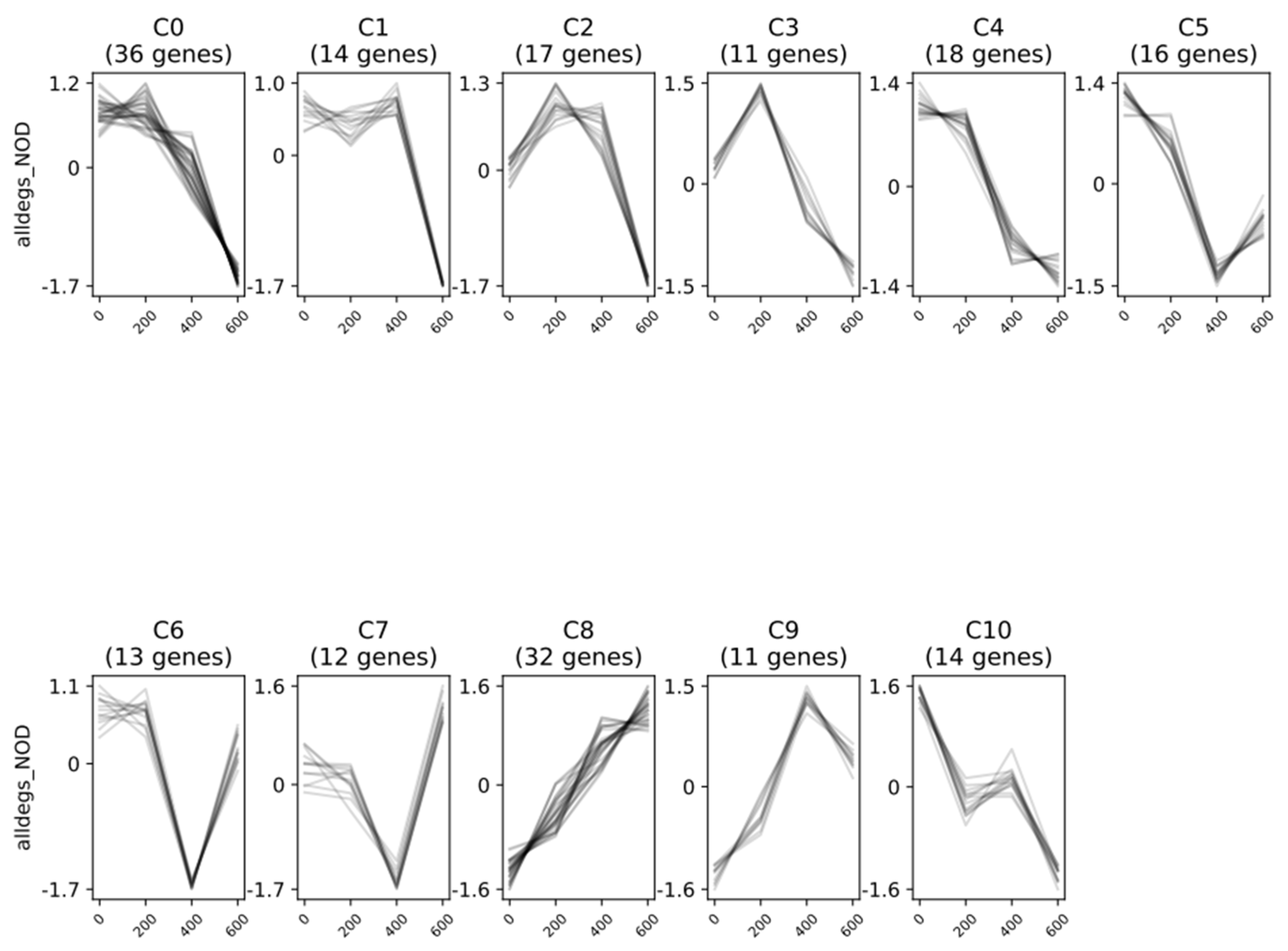
2.7. Genetic Stability and Volatility among DEGs
3. Discussion
4. Materials and Methods
4.1. Growing Conditions and Experimental Setup
4.2. Total RNA Extraction and Library Preparation
4.3. Processing and Mapping of Illumina Reads
4.4. Identification of Differentially Expressed Genes
4.5. Functional Annotation and Enrichment Analysis
4.6. Downstream Bioinformatics Analysis
Supplementary Materials
Author Contributions
Funding
Institutional Review Board Statement
Informed Consent Statement
Data Availability Statement
Acknowledgments
Conflicts of Interest
References
- Lapenis, A. A 50-Year-Old Global Warming Forecast That Still Holds Up. Eos 2020, 101, 1–10. [Google Scholar] [CrossRef]
- Höhne, N.; Elzen, M.D.; Rogelj, J.; Metz, B.; Fransen, T.; Kuramochi, T.; Olhoff, A.; Alcamo, J.; Winkler, H.; Fu, S.; et al. Emissions: World has four times the work or one-third of the time. Nature 2020, 579, 25–28. [Google Scholar] [CrossRef]
- Kulp, S.A.; Strauss, B.H. New elevation data triple estimates of global vulnerability to sea-level rise and coastal flooding. Nat. Commun. 2019, 10, 4844. [Google Scholar] [CrossRef] [PubMed]
- Seto, K.C.; Güneralp, B.; Hutyra, L.R. Global forecasts of urban expansion to 2030 and direct impacts on biodiversity and carbon pools. Proc. Natl. Acad. Sci. USA 2012, 109, 16083–16088. [Google Scholar] [CrossRef] [PubMed]
- Molotoks, A.; Stehfest, E.; Doelman, J.; Albanito, F.; Fitton, N.; Dawson, T.P.; Smith, P. Global projections of future cropland expansion to 2050 and direct impacts on biodiversity and carbon storage. Glob. Chang. Biol. 2018, 24, 5895–5908. [Google Scholar] [CrossRef] [PubMed]
- Chaves, M.M.; Flexas, J.; Pinheiro, C. Photosynthesis under drought and salt stress: Regulation mechanisms from whole plant to cell. Ann. Bot. 2009, 103, 551–560. [Google Scholar] [CrossRef] [PubMed]
- Ribeiro-Barros, A.I.; Pawlowski, K.; Ramalho, J.C. Mechanisms of salt stress tolerance in Casuarina: A review of recent research. J. For. Res. 2022, 27, 113–116. [Google Scholar] [CrossRef]
- Hasegawa, P.M.; Bressan, R.A.; Zhu, J.-K.; Bohnert, H.J. Plant cellular and molecular responses to high salinity. Annu. Rev. Plant Physiol. Plant Mol. Biol. 2000, 51, 463–499. [Google Scholar] [CrossRef]
- Kozlowski, T.T. Responses of woody plants to flooding and salinity. Tree Physiol. 1997, 17, 490. [Google Scholar] [CrossRef]
- Munns, R.; Tester, M. Mechanisms of salinity tolerance. Annu. Rev. Plant Biol. 2008, 59, 651–681. [Google Scholar] [CrossRef]
- Pawlowski, K.; Demchenko, K.N. The diversity of actinorhizal symbiosis. Protoplasma 2012, 249, 967–979. [Google Scholar] [CrossRef] [PubMed]
- Diagne, N.; Arumugam, K.; Ngom, M.; Nambiar-Veetil, M.; Franche, C.; Narayanan, K.K.; Laplaze, L. Use of Frankia and Actinorhizal Plants for Degraded Lands Reclamation. BioMed Res. Int. 2013, 2013, 948258. [Google Scholar] [CrossRef] [PubMed]
- Walentowski, H.; Falk, W.; Mette, T.; Kunz, J.; Bräuning, A.; Meinardus, C.; Zang, C.; Sutcliffe, L.M.; Leuschner, C. Assessing future suitability of tree species under climate change by multiple methods: A case study in southern Germany. Ann. For. Res. 2014, 60, 101–126. [Google Scholar] [CrossRef]
- De Sedas, A.; Turner, B.L.; Winter, K.; Lopez, O.R. Salinity responses of inland and coastal neotropical trees species. Plant Ecol. 2020, 221, 695–708. [Google Scholar] [CrossRef]
- Diem, H.G.; Dommergues, Y.R. Current and potential uses and management of Casuarinaceae in tropics and subtropics. In The Biology of Frankia and Actinorhizal Plants; Schwintzer, C.R., Tjepkma, J.D., Eds.; Academic Press: San Diego, CA, USA, 1990; pp. 317–342. [Google Scholar]
- Dommergues, Y. Contribution of actinorhizal plants to tropical soil productivity and rehabilitation. Soil Biol. Biochem. 1997, 29, 931–941. [Google Scholar] [CrossRef]
- Souguir, D.; Zouari, M.; Hörmann, G.; Hachicha, M. Behavior of some plant species used as alternatives for salt-affected soil reclamation and treated wastewater valorization. Range Manag. Agrofor. 2019, 40, 207–214. [Google Scholar]
- Bogusz, D.; Franche, C. Frankia and the actinorhizal symbiosis. In Molecular Aspects of Plant Benneficial Microbes in Agriculture; Sharma, V., Sharma, A., Salwan, R., Eds.; Academic Press: Cambridge, MA, USA, 2020; pp. 367–380. [Google Scholar]
- Zhong, C.; Mansour, S.; Nambiar-Veetil, M.; Boguz, D.; Franche, C. Casuarina glauca: A model tree for basic research in actinorhizal symbiosis. J. Biosci. 2013, 38, 815–823. [Google Scholar] [CrossRef]
- Cissoko, M.; Hocher, V.; Gherbi, H.; Gully, D.; Carré-Mlouka, A.; Sane, S.; Pignoly, S.; Champion, A.; Ngom, M.; Pujic, P.; et al. Actinorhizal signaling molecules: Frankia root hair deforming factor shares properties with NIN inducing factor. Front. Plant Sci. 2018, 9, 1494. [Google Scholar] [CrossRef]
- Isla, R.; Guillén, M.; Aragüés, R. Response of five tree species to salinity and waterlogging: Shoot and root biomass and relationships with leaf and root ion concentrations. Agrofor. Syst. 2014, 88, 461–477. [Google Scholar] [CrossRef]
- Batista-Santos, P.; Duro, N.; Rodrigues, A.P.; Semedo, J.N.; Alves, P.; da Costa, M.; Graça, I.; Pais, I.P.; Scotti-Campos, P.; Lidon, F.C.; et al. Is salt stress tolerance in Casuarina glauca Sieb. ex Spreng. associated with its nitrogen-fixing root-nodule symbiosis? An analysis at the photosynthetic level. Plant Physiol. Biochem. 2015, 96, 97–109. [Google Scholar] [CrossRef]
- Duro, N.; Batista-Santos, P.; da Costa, M.; Maia, R.; Castro, I.V.; Ramos, M.; Ramalho, J.C.; Pawlowski, K.; Máguas, C.; Ribeiro-Barros, A.I. The impact of salinity on the symbiosis between Casuarina glauca Sieb. ex Spreng. and N2-fixing Frankia bacteria based on the analysis of Nitrogen and Carbon metabolism. Plant Soil 2016, 398, 327–337. [Google Scholar] [CrossRef]
- Scotti-Campos, P.; Duro, N.; da Costa, M.; Pais, I.P.; Rodrigues, A.P.; Batista-Santos, P.; Semedo, J.N.; Leitão, A.; Lidon, F.C.; Pawlowski, K.; et al. Antioxidative ability and membrane integrity in salt-induced responses of Casuarina glauca Sieber ex Spreng. in symbiosis with N2-fixing Frankia Thr or supplemented with mineral nitrogen. J. Plant Physiol. 2016, 196–197, 60–69. [Google Scholar] [CrossRef]
- Jorge, T.; Duro, N.; da Costa, M.; Florian, A.; Ramalho, J.C.; Ribeiro-Barros, A.; Fernie, A.; António, C. GC-TOF-MS analysis reveals salt stress-responsive metabolites in Casuarina glauca tissues. Metabolomics 2017, 13, 95. [Google Scholar] [CrossRef]
- Jorge, T.; Florêncio, H.; Ribeiro-Barros, A.I.; António, C. Quantification and structural characterization of raffinose family oligosaccharides in Casuarina glauca plant tissues by porous graphitic carbon electrospray quadrupole ion trap mass spectrometry. Int. J. Mass Spectrom. 2017, 413, 127–134. [Google Scholar] [CrossRef]
- Jorge, T.F.; Tohge, T.; Wendenburg, R.; Ramalho, J.C.; Lidon, F.C.; Ribeiro-Barros, A.I.; Fernie, A.R.; António, C. Salt-stress secondary metabolite signatures involved in the ability of Casuarina glauca to mitigate oxidative stress. Environ. Exp. Bot. 2019, 166, 103808. [Google Scholar] [CrossRef]
- Zouari, M.; Souguir, D.; Bloem, E.; Schnug, E.; Hanchi, B.; Hachicha, M. Saline soil reclamation by agroforestry species under Kalaât Landelous conditions and irrigation with treated wastewater in Tunisia. Environ. Sci. Pollut. Res. 2019, 26, 28829–28841. [Google Scholar] [CrossRef] [PubMed]
- Diagne, N.; Ndour, M.; Djighaly, P.I.; Ngom, D.; Ngom, M.C.N.; Ndong, G.; Svistoonoff, S.; Cherif-Silini, H. Effect of Plant Growth Promoting Rhizobacteria (PGPR) and Arbuscular Mycorrhizal Fungi (AMF) on Salt Stress Tolerance of Casuarina obesa (Miq.). Front. Sustain. Food Syst. 2020, 4, 601004. [Google Scholar] [CrossRef]
- Graça, I.; Mendes, V.M.; Marques, I.; Duro, N.; da Costa, M.; Ramalho, J.C.; Pawlowski, K.; Manadas, B.; Ricardo, C.P.P.; Ribeiro-Barros, A.I. Comparative Proteomic Analysis of Nodulated and Non-Nodulated Casuarina glauca Sieb. ex Spreng. Grown under Salinity Conditions Using Sequential Window Acquisition of All Theoretical Mass Spectra (SWATH-MS). Int. J. Mol. Sci. 2019, 21, 78. [Google Scholar] [CrossRef]
- Costa-Silva, J.; Domingues, D.; Lopes, F.M. RNA-Seq differential expression analysis: An extended review and a software tool. PLoS ONE 2017, 12, e0190152. [Google Scholar] [CrossRef]
- Cheng, C.; Krishnakumar, V.; Chan, A.P.; Thibaud-Nissen, F.; Schobel, S.; Town, C.D. Araport11: A complete reannotation of the Arabidopsis thaliana reference genome. Plant J. 2017, 89, 789–804. [Google Scholar] [CrossRef]
- Loraine, A.E.; McCormick, S.; Estrada, A.; Patel, K.; Qin, P. RNA-seq of Arabidopsis pollen uncovers novel transcription and alternative splicing. Plant Physiol. 2013, 162, 1092–1109. [Google Scholar] [CrossRef] [PubMed]
- Landesfeind, M.; Meinicke, P. Predicting the functional repertoire of an organism from unassembled RNA-seq data. BMC Genom. 2014, 15, 1003. [Google Scholar] [CrossRef] [PubMed][Green Version]
- Han, B.; Xu, W.; Ahmed, N.; Yu, A.; Wang, Z.; Liu, A. Changes and Associations of genomic transcription and histone methylation with salt stress in Castor Bean. Plant Cell Physiol. 2020, 61, 1120–1133. [Google Scholar] [CrossRef]
- Younesi-Melerdi, E.; Nematzadeh, G.-A.; Pakdin-Parizi, A.; Bakhtiarizadeh, M.R.; Motahari, S.A. De novo RNA sequencing analysis of Aeluropus littoralis halophyte plant under salinity stress. Sci. Rep. 2020, 10, 9148. [Google Scholar] [CrossRef] [PubMed]
- Wang, Y.; Zhang, J.; Qiu, Z.; Zeng, B.; Zhang, Y.; Wang, X.; Chen, J.; Zhong, C.; Deng, R.; Fan, C. Transcriptome and structure analysis in root of Casuarina equisetifolia under NaCl treatment. PeerJ 2021, 9, e12133. [Google Scholar] [CrossRef]
- Li, H.-B.; Li, N.; Yang, S.-Z.; Peng, H.-Z.; Wang, L.-L.; Wang, Y.; Zhang, X.-M.; Gao, Z.-H. Transcriptomic analysis of Casuarina equisetifolia L. in responses to cold stress. Tree Genet. Genomes 2017, 13, 1–5. [Google Scholar] [CrossRef]
- Vikashini, B.; Shanthi, A.; Dasgupta, M.G. Identification and expression profiling of genes governing lignin biosynthesis in Casuarina equisetifolia L. Gene 2018, 676, 37–46. [Google Scholar] [CrossRef]
- Wang, Y.; Dong, F.; Tang, M. Transcriptome analysis of arbuscular mycorrhizal Casuarina glauca in damage mitigation of roots on NaCl stress. Microorganisms 2022, 10, 15. [Google Scholar] [CrossRef]
- Nayak, S.S.; Pradhan, S.; Sahoo, D.; Parida, A. De novo transcriptome assembly and analysis of Phragmites karka, an invasive halophyte, to study the mechanism of salinity stress tolerance. Sci. Rep. 2020, 10, 86–101. [Google Scholar] [CrossRef]
- Fortunato, A.; Santos, P.; Graça, I.; Gouveia, M.M.; Martins, S.M.; Ricardo, C.P.P.; Pawlowski, K.; Ribeiro, A.; Ribeiro-Barros, A. Isolation and characterization of cgchi3, a nodule-specific gene from Casuarina glauca encoding a class III chitinase. Physiol. Plant. 2007, 130, 418–426. [Google Scholar] [CrossRef]
- Ribeiro, A.; Graça, I.; Pawlowski, K.; Santos, P.; I Ribeiro-Barros, A. Actinorhizal plant defence-related genes in response to symbiotic Frankia. Funct. Plant Biol. 2011, 38, 639–644. [Google Scholar] [CrossRef] [PubMed]
- Nikalje, G.C.; Srivastava, A.K.; Pandey, G.K.; Suprasanna, P. Halophytes in biosaline agriculture: Mechanism, utilization, and value addition. Land Degrad. Dev. 2017, 29, 1081–1095. [Google Scholar] [CrossRef]
- Munns, R. Comparative physiology of salt and water stress. Plant Cell Environ. 2002, 25, 239–250. [Google Scholar] [CrossRef] [PubMed]
- Essemine, J.; Qu, M.; Lyu, M.-J.A.; Song, Q.; Khan, N.; Chen, G.; Wang, P.; Zhu, X.-G. Photosynthetic and transcriptomic responses of two C4 grass species with different NaCl tolerance. J. Plant Physiol. 2020, 253, 153244. [Google Scholar] [CrossRef] [PubMed]
- Vaziriyeganeh, M.; Khan, S.; Zwiazek, J.J. Transcriptome and Metabolome Analyses Reveal Potential Salt Tolerance Mechanisms Contributing to Maintenance of Water Balance by the Halophytic Grass Puccinellia nuttalliana. Front. Plant Sci. 2021, 12, 760863. [Google Scholar] [CrossRef]
- Falk, K.L.; Tokuhisa, J.G.; Gershenzon, J. The Effect of Sulfur Nutrition on Plant Glucosinolate Content: Physiology and Molecular Mechanisms. Plant Biol. 2007, 9, 573–581. [Google Scholar] [CrossRef]
- Howarth, J.R.; Parmar, S.; Barraclough, P.B.; Hawkesford, M.J. A sulphur deficiency-induced gene sdi1, involved in the utilization of stored sulphate pools under sulphur-limiting conditions has potential as a diagnostic indicator of sulphur nutritional status. Plant Biotechnol. J. 2009, 7, 200–209. [Google Scholar] [CrossRef]
- Aarabi, F.; Kusajima, M.; Tohge, T.; Konishi, T.; Gigolashvili, T.; Takamune, M.; Sasazaki, Y.; Watanabe, M.; Nakashita, H.; Fernie, A.R.; et al. Sulfur deficiency–induced repressor proteins optimize glucosinolate biosynthesis in plants. Sci. Adv. 2016, 2, e1601087. [Google Scholar] [CrossRef]
- Cao, M.J.; Wang, Z.; Wirtz, M.; Hell, R.; Oliver, D.J.; Xiang, C.B. SULTR3;1 is a chloroplast-localized sulfate transporter in Arabidopsis thaliana. Plant J. 2013, 73, 607–616. [Google Scholar] [CrossRef]
- Cao, M.-J.; Wang, Z.; Zhao, Q.; Mao, J.-L.; Speiser, A.; Wirtz, M.; Hell, R.; Zhu, J.-K.; Xiang, C.-B. Sulfate availability affects ABA levels and germination response to ABA and salt stress in Arabidopsis thaliana. Plant J. 2013, 77, 604–615. [Google Scholar] [CrossRef]
- He, X.; Szewczyk, P.; Karyakin, A.; Evin, M.; Hong, W.-X.; Zhang, Q.; Chang, G. Structure of a cation-bound multidrug and toxic compound extrusion transporter. Nature 2010, 467, 991–994. [Google Scholar] [CrossRef] [PubMed]
- Miyauchi, H.; Moriyama, S.; Kusakizako, T.; Kumazaki, K.; Nakane, T.; Yamashita, K.; Hirata, K.; Dohmae, N.; Nishizawa, T.; Ito, K.; et al. Structural basis for xenobiotic extrusion by eukaryotic MATE transporter. Nat. Commun. 2017, 8, 1633. [Google Scholar] [CrossRef] [PubMed]
- Dong, B.; Niu, L.; Meng, D.; Song, Z.; Wang, L.; Jian, Y.; Fan, X.; Dong, M.; Yang, Q.; Fu, Y. Genome-wide analysis of MATE transporters and response to metal stress in Cajanus cajan. J. Plant Interact. 2019, 14, 265–275. [Google Scholar] [CrossRef]
- Zhang, H.; Zhu, H.; Pan, Y.; Yu, Y.; Luan, S.; Li, L. A DTX/MATE-type transporter facilitates abscisic acid efflux and modulates ABA sensitivity and drought tolerance in Arabidopsis. Mol. Plant. 2014, 7, 1522–1532. [Google Scholar] [CrossRef]
- Ali, E.; Saand, M.A.; Khan, A.R.; Shah, J.M.; Feng, S.; Ming, C.; Sun, P. Genome-wide identification and expression analysis of detoxification efflux carriers (DTX) genes family under abiotic stresses in flax. Physiol. Plant. 2021, 171, 483–501. [Google Scholar] [CrossRef]
- Singh, R.K.; Jaishankar, J.; Muthamilarasan, M.; Shweta, S.; Dangi, A.; Prasad, M. Genome-wide analysis of heat shock proteins in C4 model, foxtail millet identifies potential candidates for crop improvement under abiotic stress. Sci. Rep. 2016, 6, 32641. [Google Scholar] [CrossRef]
- Marques, I.; Gouveia, D.; Gaillard, J.-C.; Martins, S.; Semedo, M.C.; Lidon, F.C.; DaMatta, F.M.; Ribeiro-Barros, A.I.; Armengaud, J.; Ramalho, J.C. Next-Generation Proteomics Reveals a Greater Antioxidative Response to Drought in Coffea arabica THAN in Coffea canephora. Agronomy 2022, 12, 148. [Google Scholar] [CrossRef]
- Martins, M.Q.; Rodrigues, W.P.; Fortunato, A.S.; Leitão, A.E.; Rodrigues, A.P.; Pais, I.P.; Martins, L.D.; Silva, M.J.; Reboredo, F.H.; Partelli, F.L.; et al. Protective Response Mechanisms to Heat Stress in Interaction with High [CO2] Conditions in Coffea spp. Front. Plant Sci. 2016, 7, 947. [Google Scholar] [CrossRef]
- Tsai, K.-J.; Lin, C.-Y.; Ting, C.-Y.; Shih, M.-C. Ethylene-Regulated Glutamate Dehydrogenase Fine-Tunes Metabolism during Anoxia-Reoxygenation. Plant Physiol. 2016, 172, 1548–1562. [Google Scholar] [CrossRef]
- Tercé-Laforgue, T.; Clément, G.; Marchi, L.; Restivo, F.M.; Lea, P.J.; Hirel, B. Resolving the role of plant NAD-Glutamate Dehydrogenase: III. Overexpressing individually or simultaneously the two enzyme subunits under salt stress induces changes in the leaf metabolic profile and increases plant biomass production. Plant Cell Physiol. 2015, 56, 1918–1929. [Google Scholar] [CrossRef]
- Suttle, J.C.; Abrams, S.R.; De Stefano-Beltrán, L.; Huckle, L.L. Chemical inhibition of potato ABA-8′-hydroxylase activity alters in vitro and in vivo ABA metabolism and endogenous ABA levels but does not affect potato microtuber dormancy duration. J. Exp. Bot. 2012, 63, 5717–5725. [Google Scholar] [CrossRef] [PubMed]
- Takeuchi, J.; Okamoto, M.; Mega, R.; Kanno, Y.; Ohnishi, T.; Seo, M.; Todoroki, Y. Abscinazole-E3M, a practical inhibitor of abscisic acid 8′-hydroxylase for improving drought tolerance. Sci. Rep. 2016, 6, 37060. [Google Scholar] [CrossRef] [PubMed]
- Marusig, D.; Tombesi, S. Abscisic acid mediates drought and salt stress responses in Vitis vinifera—A review. Int. J. Mol. Sci. 2020, 21, 8648. [Google Scholar] [CrossRef] [PubMed]
- Razzaq, A.; Ali, A.; Safdar, L.B.; Zafar, M.M.; Rui, Y.; Shakeel, A.; Shaukat, A.; Ashraf, M.; Gong, W.; Yuan, Y. Salt stress induces physiochemical alterations in rice grain composition and quality. J. Food Sci. 2020, 85, 14–20. [Google Scholar] [CrossRef]
- Thitisaksakul, M.; Tananuwong, K.; Shoemaker, C.F.; Chun, A.; Tanadul, O.-U.; Labavitch, J.M.; Beckles, D.M. Effects of Timing and Severity of Salinity Stress on Rice (Oryza sativa L.) Yield, Grain Composition, and Starch Functionality. J. Agric. Food Chem. 2015, 63, 2296–2304. [Google Scholar] [CrossRef] [PubMed]
- He, J.-F.; Goyal, R.; Laroche, A.; Zhao, M.-L.; Lu, Z.-X. Effects of salinity stress on starch morphology, composition and thermal properties during grain development in triticale. Can. J. Plant Sci. 2013, 93, 765–771. [Google Scholar] [CrossRef]
- Tejos, R.; Rodriguez-Furlán, C.; Adamowski, M.; Sauer, M.; Norambuena, L.; Friml, J. PATELLINS are regulators of auxin-mediated PIN1 relocation and plant development in Arabidopsis thaliana. J. Cell Sci. 2018, 131, jcs204198. [Google Scholar] [CrossRef] [PubMed]
- Avci, U.; Petzold, H.E.; Ismail, I.O.; Beers, E.P.; Haigler, C.H. Cysteine proteases XCP1 and XCP2 aid micro-autolysis within the intact central vacuole during xylogenesis in Arabidopsis roots. Plant J. 2008, 56, 303–315. [Google Scholar] [CrossRef]
- Ni, L.; Wang, Z.; Guo, J.; Pei, X.; Liu, L.; Li, H.; Yuan, H.; Gu, C. Full-Length Transcriptome Sequencing and Comparative Transcriptome Analysis to Evaluate Drought and Salt Stress in Iris lactea var. chinensis. Genes 2021, 12, 434. [Google Scholar] [CrossRef]
- Hamaguchi, A.; Yamashino, T.; Koizumi, N.; Kiba, T.; Kojima, M.; Sakakibara, H.; Mizuno, T. A Small Subfamily of Arabidopsis radialis-like sant/MYB Genes: A Link to HOOKLESS1-Mediated Signal Transduction during Early Morphogenesis. Biosci. Biotechnol. Biochem. 2008, 72, 2687–2696. [Google Scholar] [CrossRef]
- Yang, B.; Song, Z.; Li, C.; Jiang, J.; Zhou, Y.; Wang, R.; Wang, Q.; Ni, C.; Liang, Q.; Chen, H.; et al. RSM1, an Arabidopsis MYB protein, interacts with HY5/HYH to modulate seed germination and seedling development in response to abscisic acid and salinity. PLoS Genet. 2018, 14, e1007839. [Google Scholar] [CrossRef] [PubMed]
- Huault, E.; Laffont, C.; Wen, J.; Mysore, K.; Ratet, P.; Duc, G.; Frugier, F. Local and Systemic Regulation of Plant Root System Architecture and Symbiotic Nodulation by a Receptor-Like Kinase. PLoS Genet. 2014, 10, e1004891. [Google Scholar] [CrossRef]
- Okuma, N.; Kawaguchi, M. Systemic Optimization of Legume Nodulation: A Shoot-Derived Regulator, miR2111. Front. Plant Sci. 2021, 12, 682486. [Google Scholar] [CrossRef] [PubMed]
- Wall, L.G.; Valverde, C.; Huss-Danell, K. Regulation of nodulation in the absence of N2 is different in actinorhizal plants with different infection pathways. J. Exp. Bot. 2003, 54, 1253–1258. [Google Scholar] [CrossRef] [PubMed]
- Zhong, C.; Zhang, Y.; Chen, Y.; Jiang, Q.; Chen, Z.; Liang, J.; Pinyopusarerk, K.; Franche, C.; Bogusz, D. Casuarina research and applications in China. Symbiosis 2010, 50, 107–114. [Google Scholar] [CrossRef]
- Tromas, A.; Parizot, B.; Diagne, N.; Champion, A.; Hocher, V.; Cissoko, M.; Crabos, A.; Prodjinoto, H.; Lahouze, B.; Bogusz, D.; et al. Heart of Endosymbioses: Transcriptomics Reveals a Conserved Genetic Program among Arbuscular Mycorrhizal, Actinorhizal and Legume-Rhizobial Symbioses. PLoS ONE 2012, 7, e44742. [Google Scholar] [CrossRef]
- Andrews, S. FastQC: A Quality Control tool for High Throughput Sequence Data. Available online: http://www.bioinformatics.babraham.ac.uk/projects/fastqc (accessed on 25 October 2022).
- Wingett, S.W.; Andrews, S. FastQ Screen: A tool for multi-genome mapping and quality control. F1000Research 2018, 7, 1338. [Google Scholar] [CrossRef]
- Bolger, A.M.; Lohse, M.; Usadel, B. Trimmomatic: A flexible trimmer for Illumina sequence data. Bioinformatics 2014, 30, 2114–2120. [Google Scholar] [CrossRef]
- Haas, B.J.; Papanicolaou, A.; Yassour, M.; Grabherr, M.; Blood, P.D.; Bowden, J.; Couger, M.B.; Eccles, D.; Li, B.; Lieber, M.; et al. De novo transcript sequence reconstruction from RNA-seq using the Trinity platform for reference generation and analysis. Nat. Protoc. 2013, 8, 1494–1512. [Google Scholar] [CrossRef]
- Grabherr, M.G.; Haas, B.J.; Yassour, M.; Levin, J.Z.; Thompson, D.A.; Amit, I.; Adiconis, X.; Fan, L.; Raychowdhury, R.; Zeng, Q.D.; et al. Full-length transcriptome assembly from RNA-Seq data without a reference genome. Nat. Biotechnol. 2011, 29, 644–652. [Google Scholar] [CrossRef]
- Nishimura, O.; Hara, Y.; Kuraku, S. gVolante for standardizing completeness assessment of genome and transcriptome assemblies. Bioinformatics 2017, 33, 3635–3637. [Google Scholar] [CrossRef] [PubMed]
- Simão, F.A.; Waterhouse, R.M.; Ioannidis, P.; Kriventseva, E.V.; Zdobnov, E.M. BUSCO: Assessing genome assembly and annotation completeness with single-copy orthologs. Bioinformatics 2015, 31, 3210–3212. [Google Scholar] [CrossRef]
- Langmead, B.; Salzberg, S.L. Fast gapped-read alignment with Bowtie 2. Nat. Methods 2012, 9, 357–359. [Google Scholar] [CrossRef] [PubMed]
- Dobin, A.; Gingeras, T.R. Mapping RNA-seq Reads with STAR. Curr. Protoc. Bioinform. 2015, 51, 11.14.1–11.14.19. [Google Scholar] [CrossRef] [PubMed]
- Li, B.; Dewey, C.N. RSEM: Accurate transcript quantification from RNA-Seq data with or without a reference genome. BMC Bioinform. 2011, 12, 323. [Google Scholar] [CrossRef]
- R Core Team. R: A Language and Environment for Statistical Computing; R Foundation for Statistical Computing: Vienna, Austria, 2022; Available online: https://www.R-project.org/ (accessed on 25 October 2022).
- Robinson, M.D.; McCarthy, D.J.; Smyth, G.K. edgeR: A Bioconductor package for differential expression analysis of digital gene expression data. Bioinformatics 2010, 26, 139–140. [Google Scholar] [CrossRef]
- Anders, S.; Huber, W. Differential expression analysis for sequence count data. Genome Biol. 2010, 11, R106. [Google Scholar] [CrossRef]
- Tarazona, S.; Garcia-Alcalde, F.; Dopazo, J.; Ferrer, A.; Conesa, A. Differential expression in RNA-seq: A matter of depth. Genome Res. 2011, 21, 2213–2223. [Google Scholar] [CrossRef]
- Chen, Y.; Lun, A.T.L.; Smyth, G.K. Differential expression analysis of complex RNA-seq experiments using edgeR. In Statistical Analysis of Next Generation Sequence Data; Somnath, D., Daniel, S.N., Eds.; Springer: New York, NY, USA, 2014. [Google Scholar]
- Benjamini, Y.; Hochberg, Y. On the adaptive control of the false discovery rate in multiple testing with independent statistics. J. Educ. Behav. Statist. 2000, 25, 60–83. [Google Scholar] [CrossRef]
- Caswell, T.A.; Droettboom, M.; Lee, A.; Hunter, J.; Firing, E.; Sales De Andrade, E.; Hoffmann, T.; Stansby, D.; Klymak, J.; Varoquaux, N.; et al. matplotlib/matplotlib: REL: v3. 3.1; Zenodo: Genève, Switzerland, 2020. [Google Scholar] [CrossRef]
- Abu-Jamous, B.; Kelly, S. Clust: Automatic extraction of optimal co-expressed gene clusters from gene expression data. Genome Biol. 2018, 19, 172. [Google Scholar] [CrossRef]
- Altschul, S.F.; Gish, W.; Miller, W.; Myers, E.W.; Lipman, D.J. Basic Local Alignment Search Tool. J. Mol. Biol. 1990, 215, 403–410. [Google Scholar] [CrossRef]
- Chen, C.; Huang, H.; Wu, C.H. Protein Bioinformatics Databases and Resources. Methods Mol. Biol. 2017, 1558, 3–39. [Google Scholar] [CrossRef] [PubMed]
- Binns, D.; Dimmer, E.; Huntley, R.; Barrell, D.; O’Donovan, C.; Apweiler, R. QuickGO: A web-based tool for Gene Ontology searching. Bioinformatics 2009, 25, 3045–3046. [Google Scholar] [CrossRef] [PubMed]
- Xijin, G.; Jung, D.; Yao, R. ShinyGO: A graphical gene-set enrichment tool for animals and plants. Bioinformatics 2020, 36, 2628–2629. [Google Scholar] [CrossRef]






| Plant Series | [NaCl] mM | Expressed Genes | Detected DEGs | Overlapping DEGs | |||||||||
|---|---|---|---|---|---|---|---|---|---|---|---|---|---|
| Stressed | Control | Common | DESeq | NOISeq | edgeR | All | Annotated | ||||||
| Total (%) | Up | Down | Total (%) | Up | Down | ||||||||
| KNO3+ | 200 | 20,765 | 19,913 | 15,928 (78%) | 58 | 330 | 23 | 9 (0.04%) | 0 | 9 | 2 (22%) | 0 | 2 |
| 400 | 19,078 | 19,913 | 15,079 (77%) | 524 | 1213 | 381 | 238 (1%) | 28 | 210 | 125 (53%) | 8 | 117 | |
| 600 | 19,092 | 19,913 | 14,976 (77%) | 650 | 1450 | 612 | 359 (2%) | 45 | 314 | 164 (46%) | 18 | 146 | |
| NOD+ | 200 | 19,397 | 20,278 | 16,386 (83%) | 44 | 204 | 20 | 6 (0.03%) | 3 | 3 | 4 (67%) | 3 | 1 |
| 400 | 20,470 | 20,278 | 16,137 (79%) | 359 | 962 | 184 | 104 (0.5%) | 42 | 62 | 49 (47%) | 21 | 28 | |
| 600 | 19,472 | 20,278 | 15,547 (78%) | 548 | 1261 | 373 | 254 (1%) | 37 | 217 | 111 (44%) | 14 | 97 | |
| Gene | Protein Name | Log2FC | Molecular Function/Biological Process |
|---|---|---|---|
| Downregulated | |||
| XCP1 | Cysteine protease XCP1 | −6.883 | Programmed cell death; proteolysis |
| AT3G10080 | Germin-like protein subfamily 3 member 2 | −6.658 | Manganese ion binding; nutrient reservoir activity |
| ACA13 | Putative calcium-transporting ATPase 13, plasma membrane-type | −6.476 | ATP, calmodulin and metal ion binding; ATPase-coupled cation and calcium transmembrane transporter activity |
| RL5 | Protein RADIALIS-like 5 | −5.931 | DNA binding |
| ERF020 | Ethylene-responsive transcription factor ERF020 | −5.644 | Ethylene-activated signaling pathway; response to chitin |
| YAH3 | Histone H3.2 | −5.476 | DNA binding; protein heterodimerization activity |
| LRX2 | Leucine-rich repeat extensin-like protein 2 | −5.157 | Cell wall organization |
| PATL4 | Patellin-4 | −5.129 | Cell cycle and division; cellular response to auxin stimulus; auxin polar transport |
| PGL3 | Polygalacturonase 1 beta-like protein 3 | −5.073 | Cell size determination |
| FLA12 | Fasciclin-like arabinogalactan protein 12 | −5.055 | Plant-type secondary cell wall biogenesis |
| Upregulated | |||
| WAXY | Granule-bound starch synthase 1, chloroplastic/amyloplastic | 3.459 | Starch biosynthetic process |
| HSP70 | Heat shock 70 kDa protein | 3.363 | Cellular response to unfolded protein; chaperone cofactor-dependent protein refolding |
| N/A | Myrcene synthase, chloroplastic | 3.129 | Magnesium ion binding; myrcene synthase activity |
| SDI1 | Protein sulfur deficiency-induced 1 | 3.000 | Cellular response to sulfur starvation; regulation of glucosinolate biosynthetic process and sulfur utilization |
| UGT87A1 | UDP-glycosyltransferase 87A1 | 2.824 | UDP-glycosyltransferase activity |
| ARF16 | Auxin response factor 16 | 2.644 | Auxin-activated signaling pathway; cell division; pattern specification process; response to auxin; root cap development |
| LECRK111 | Putative L-type lectin-domain containing receptor kinase I.11 | 2.369 | Defense response to bacterium and oomycetes |
| TOGT1 | Scopoletin glucosyltransferase | 2.290 | Identical protein binding; scopoletin glucosyltransferase activity; UDP-glycosyltransferase activity |
| Gene | Protein Name | Log2FC | Molecular Function/Biological Process |
|---|---|---|---|
| Downregulated | |||
| XCP1 | Cysteine protease XCP1 | −6.883 | Programmed cell death; proteolysis |
| AT3G61750 | Cytochrome b561 and DOMON domain-containing protein At3g61750 | −6.775 | Metal ion binding |
| N/A | Lectin | −6.600 | Mannose binding |
| LAC22 | Laccase-22 | −6.459 | Iron ion homeostasis and transport; lignin catabolic process |
| N/A | Seed lectin | −6.392 | Carbohydrate binding; metal ion binding |
| CESA9 | Cellulose synthase A catalytic subunit 9 [UDP-forming] | −6.109 | Cell wall organization and biogenesis |
| SERK4 | Somatic embryogenesis receptor kinase 4 | −5.954 | Cell death; phosphorylation; response to hypoxia and chitin; leaf senescence and seedling development |
| RL5 | Protein RADIALIS-like 5 | −5.931 | DNA binding |
| LECRK91 | L-type lectin-domain containing receptor kinase IX.1 | −5.781 | Defense response to bacterium and oomycetes; positive regulation of cell death and hydrogen peroxide metabolic process |
| LRK10L-1.4 | Leaf rust 10 disease-resistance locus receptor-like protein kinase-like 1.4 | −5.700 | Cellular response to hypoxia; phosphorylation |
| Upregulated | |||
| PLT6 | Probable polyol transporter 6 | 4.555 | Glucose import |
| MAKR6 | Probable membrane-associated kinase regulator 6 | 4.366 | Abscisic acid-activated signaling pathway |
| UGT709C2 | 7-deoxyloganetic acid glucosyltransferase | 3.415 | (-)-secologanin biosynthetic process |
| SAT | Stemmadenine O-acetyltransferase | 3.392 | Alkaloid metabolic process |
| DTX56 | Protein DETOXIFICATION 56 | 3.392 | Cellular response to carbon dioxide; regulation of stomatal opening |
| HSP70 | Heat shock 70 kDa protein | 3.123 | Cellular response to unfolded protein; chaperone cofactor-dependent protein refolding |
| N/A | Chitinase 2 | 2.807 | Chitin catabolic process |
| TOGT1 | Scopoletin glucosyltransferase | 2.713 | Identical protein binding; UDP-glycosyltransferase activity |
| DTX27 | Protein DETOXIFICATION 27 | 2.690 | Antiporter activity; xenobiotic transmembrane transporter activity |
| CNGC4 | Cyclic nucleotide-gated ion channel 4 | 2.672 | Plant-type hypersensitive response |
| Gene | Protein Name | Log2FC | Molecular Function/Biological Process |
|---|---|---|---|
| Downregulated | |||
| RL5 | Protein RADIALIS-like 5 | −7.794 | DNA binding |
| CCD8 | Carotenoid cleavage dioxygenase 8, chloroplastic | −7.249 | Auxin polar transport; carotene catabolic process; leaf morphogenesis; response to auxin; secondary shoot formation; strigolactone biosynthetic process; xanthophyll catabolic process |
| PER64 | Peroxidase 64 | −5.977 | Hydrogen peroxide catabolic process; response to oxidative stress |
| PME6 | Probable pectinesterase/pectinesterase inhibitor 6 | −5.274 | Cell wall modification; pectin catabolic process |
| GLR2.8 | Glutamate receptor 2.8 | −5.247 | Calcium ion transport; calcium-mediated signaling; cellular response to amino acid stimulus |
| FLA12 | Fasciclin-like arabinogalactan protein 12 | −4.542 | Plant-type secondary cell wall biogenesis |
| RL3 | Protein RADIALIS-like 3 | −4.261 | DNA binding; DNA-binding transcription factor activity |
| COBL4 | COBRA-like protein 4 | −4.087 | Cellulose microfibril organization; plant-type cell wall biogenesis; plant-type cell wall cellulose biosynthetic process; plant-type cell wall organization; plant-type secondary cell wall biogenesis |
| YAH3 | Histone H3.2 | −3.906 | DNA binding; protein heterodimerization activity |
| ROMT | Trans-resveratrol di-O-methyltransferase | −3.729 | Aromatic compound biosynthetic process; methylation |
| Upregulated | |||
| GDH2 | Glutamate dehydrogenase 2 | 5.087 | Glutamate catabolic process; response to cadmium ion |
| CYP707A2 | Abscisic acid 8’-hydroxylase 2 | 4.321 | Abscisic acid catabolic process; abscisic acid metabolic process; oxidation-reduction process; release of seed from dormancy; response to red light; response to red or far red light; sterol metabolic process |
| MYBAS1 | Myb-related protein MYBAS1 | 4.129 | Regulation of transcription, DNA-templated |
| Pathogenesis-related thaumatin-like protein 3.5 | 3.954 | Defense response; response to abscisic acid; response to biotic stimulus | |
| DTX27 | Protein DETOXIFICATION 27 | 3.762 | Antiporter activity; transmembrane transporter activity; xenobiotic transmembrane transporter activity |
| EPS1 | Protein enhanced pseudomonas susceptibility 1 | 3.654 | Defense response; regulation of defense response to bacterium; regulation of defense response to fungus; response to bacterium; response to jasmonic acid; salicylic acid biosynthetic process |
| PEPR1 | Leucine-rich repeat receptor-like protein kinase PEPR1 | 3.584 | Immune response; innate immune response; response to jasmonic acid; Response to wounding |
| UGT73E1 | UDP-glycosyltransferase 73E1 | 3.523 | Transferase activity, transferring hexosyl groups |
| SDI1 | Protein sulfur deficiency-induced 1 | 3.459 | Cellular response to sulfur starvation; regulation of glucosinolate biosynthetic process; regulation of sulfur utilization |
| HSP70 | Heat shock 70 kDa protein | 3.301 | Cellular response to unfolded protein; chaperone cofactor-dependent protein refolding; protein refolding; response to unfolded protein |
| Gene | Protein Name | Log2FC | Biological Process |
|---|---|---|---|
| Downregulated | |||
| RL5 | Protein RADIALIS-like 5 | −7.794 | DNA binding |
| CCD8 | Carotenoid cleavage dioxygenase 8, chloroplastic | −6.134 | auxin polar transport; carotene catabolic process; leaf morphogenesis; response to auxin; secondary shoot formation; strigolactone biosynthetic process Xanthophyll catabolic process |
| TAO1 | Disease resistance protein TAO1 | −5.727 | defense response to bacterium; defense response to bacterium, incompatible Interaction; signal transduction |
| N/A | Lectin | −5.643 | Mannose binding |
| pod | Peroxidase 15 | −5.529 | Hydrogen peroxide catabolic process; response to oxidative stress |
| GLR2.8 | Glutamate receptor 2.8 | −5.247 | calcium ion transport; calcium-mediated signaling; cellular response to amino Acid stimulus |
| LAC22 | Laccase-22 | −5.183 | Iron ion homeostasis; iron ion transport; lignin catabolic process |
| COBL4 | COBRA-like protein 4 | −5.087 | cellulose microfibril organization; plant-type cell wall biogenesis; plant-type cell wall cellulose biosynthetic process; plant-type cell wall organization; plant-type Secondary cell wall biogenesis |
| LECRK91 | L-type lectin-domain containing receptor kinase IX.1 | −5.087 | defense response; defense response to bacterium; defense response to oomycetes; positive regulation of cell death; positive regulation of hydrogen peroxide Metabolic process |
| LRK10L-1.4 | Leaf rust 10 disease-resistance locus receptor-like protein kinase-like 1.4 | −5.058 | Cellular response to hypoxia; phosphorylation |
| Upregulated | |||
| At3g18200 | WAT1-related protein At3g18200 | 2.906 | Transmembrane transporter activity |
| TIC214 | Protein TIC 214 | 2.906 | Protein transport |
| SAT | Stemmadenine O-acetyltransferase | 2.700 | Alkaloid metabolic process |
| DTX56 | Protein DETOXIFICATION 56 | 2.929 | Cellular response to carbon dioxide; regulation of stomatal opening |
| MAKR6 | Probable membrane-associated kinase regulator 6 | 2.861 | Abscisic acid-activated signaling pathway |
| HSP70 | Heat shock 70 kDa protein | 2.728 | Cellular response to unfolded protein; chaperone cofactor-dependent protein refolding; protein refolding; response to unfolded protein |
| HSP22.7 | 22.7 kDa class IV heat shock protein | 2.357 | Endoplasmic reticulum lumen |
| SDI1 | Protein sulfur deficiency-induced 1 | 4.087 | Cellular response to sulfur starvation; regulation of glucosinolate biosynthetic process; regulation of sulfur utilization |
| PEPR1 | Leucine-rich repeat receptor-like protein kinase PEPR1 | 4.584 | Immune response; innate immune response; response to jasmonic acid; response to wounding |
| At1g48100 | Polygalacturonase At1g48100 | 2.495 | Carbohydrate metabolic process; plant-type cell wall modification involved in multidimensional cell growth |
| Aspect | GO ID | GO Name | FDR | Intersection Size | Effective Domain Size | Intersections |
|---|---|---|---|---|---|---|
| KNO3+ | ||||||
| MF | GO:0008194 | UDP-glycosyltransferase activity | 0.02845 | 6 | 21,106 | GATL2 |
| BP | GO:0071555 | cell wall organization | 0.00081 | 9 | 23,362 | LRX2 |
| GO:0045229 | external encapsulating structure organization | 0.00134 | 9 | 23,362 | LRX2 | |
| GO:0050829 | defense response to Gram-negative bacteria | 0.00667 | 3 | 23,362 | EDS1 | |
| GO:0060866 | leaf abscission | 0.02170 | 2 | 23,362 | EDS1 | |
| GO:0000271 | polysaccharide biosynthetic process | 0.04131 | 5 | 23,362 | GATL2 | |
| CC | GO:0071944 | cell periphery | 0.00013 | 24 | 21,026 | XCP1 |
| GO:0046658 | anchored component of plasma membrane | 0.01625 | 4 | 21,026 | FLA10 | |
| NOD+ | ||||||
| MF | GO:0004352 | glutamate dehydrogenase (NAD+) activity | 0.01952 | 1 | 21,106 | GDH2 |
| BP | GO:0016115 | terpenoid catabolic process | 0.02074 | 2 | 23,362 | CYP707A2 |
| CC | GO:0005886 | plasma membrane | 0.00174 | 10 | 21,026 | GDH2 |
| GO:0071944 | cell periphery | 0.00842 | 10 | 21,026 | GDH2 | |
| Aspect | GO ID | GO Name | FDR | Intersection Size | Effective Domain Size | Intersections |
|---|---|---|---|---|---|---|
| KNO3+ | ||||||
| MF | GO:0004674 | protein serine/threonine kinase activity | 0.00289 | 11 | 21,106 | STN8 |
| GO:0005524 | ATP binding | 0.01405 | 17 | 21,106 | AT2G40270 | |
| GO:0035639 | purine ribonucleoside triphosphate binding | 0.01480 | 18 | 21,106 | AT2G40270 | |
| GO:0032559 | adenyl ribonucleotide binding | 0.02552 | 17 | 21,106 | AT2G40270 | |
| GO:0008144 | drug binding | 0.03319 | 17 | 21,106 | AT2G40270 | |
| GO:0097367 | carbohydrate derivative binding | 0.03632 | 18 | 21,106 | AT2G40270 | |
| BP | GO:0006468 | protein phosphorylation | 0.00152 | 13 | 23,362 | AT2G40270 |
| GO:0009814 | defense response, incompatible interaction | 0.02407 | 5 | 23,362 | RPP1 | |
| GO:0009838 | abscission | 0.04514 | 3 | 23,362 | SAG101 | |
| NOD+ | ||||||
| MF | GO:0004674 | protein serine/threonine kinase activity | 0.00439 | 9 | 21,106 | CCR4 |
| GO:0005524 | ATP binding | 0.00930 | 14 | 21,106 | TAO1 | |
| GO:0102251 | all-trans-beta-apo-10’-carotenal cleavage oxygenase activity | 0.01331 | 1 | 21,106 | CCD8 | |
| GO:0102396 | 9-cis-10’-apo-beta-carotenal cleavage oxygenase activity | 0.01331 | 1 | 21,106 | CCD8 | |
| GO:0032559 | adenyl ribonucleotide binding | 0.01575 | 14 | 21,106 | TAO1 | |
| GO:0008144 | drug binding | 0.01988 | 14 | 21,106 | TAO1 | |
| GO:0004620 | phospholipase activity | 0.02127 | 3 | 21,106 | AT1G06800 | |
| GO:0035639 | purine ribonucleoside triphosphate binding | 0.03000 | 8 | 21,106 | TAO1 | |
| GO:0032555 | purine ribonucleotide binding | 0.04092 | 8 | 21,106 | TAO1 | |
| BP | GO:0051704 | multi-organism process | 0.00033 | 13 | 23,362 | TAO1 |
| GO:0042742 | defense response to bacterium | 0.00076 | 7 | 23,362 | TAO1 | |
| GO:0006468 | protein phosphorylation | 0.00869 | 10 | 23,362 | CCR4 | |
| GO:0031349 | positive regulation of defense response | 0.00903 | 4 | 23,362 | SOBIR1 | |
| GO:0016042 | lipid catabolic process | 0.01363 | 5 | 23,362 | CCD8 | |
| GO:0060866 | leaf abscission | 0.01451 | 2 | 23,362 | SAG101 | |
| GO:0008219 | cell death | 0.01457 | 5 | 23,362 | SOBIR1 | |
| GO:0009814 | defense response, incompatible interaction | 0.03085 | 4 | 23,362 | TAO1 | |
| GO:0001666 | response to hypoxia | 0.04357 | 5 | 23,362 | PLP2 | |
Publisher’s Note: MDPI stays neutral with regard to jurisdictional claims in published maps and institutional affiliations. |
© 2022 by the authors. Licensee MDPI, Basel, Switzerland. This article is an open access article distributed under the terms and conditions of the Creative Commons Attribution (CC BY) license (https://creativecommons.org/licenses/by/4.0/).
Share and Cite
Fernandes, I.; Paulo, O.S.; Marques, I.; Sarjkar, I.; Sen, A.; Graça, I.; Pawlowski, K.; Ramalho, J.C.; Ribeiro-Barros, A.I. Salt Stress Tolerance in Casuarina glauca: Insights from the Branchlets Transcriptome. Plants 2022, 11, 2942. https://doi.org/10.3390/plants11212942
Fernandes I, Paulo OS, Marques I, Sarjkar I, Sen A, Graça I, Pawlowski K, Ramalho JC, Ribeiro-Barros AI. Salt Stress Tolerance in Casuarina glauca: Insights from the Branchlets Transcriptome. Plants. 2022; 11(21):2942. https://doi.org/10.3390/plants11212942
Chicago/Turabian StyleFernandes, Isabel, Octávio S. Paulo, Isabel Marques, Indrani Sarjkar, Arnab Sen, Inês Graça, Katharina Pawlowski, José C. Ramalho, and Ana I. Ribeiro-Barros. 2022. "Salt Stress Tolerance in Casuarina glauca: Insights from the Branchlets Transcriptome" Plants 11, no. 21: 2942. https://doi.org/10.3390/plants11212942
APA StyleFernandes, I., Paulo, O. S., Marques, I., Sarjkar, I., Sen, A., Graça, I., Pawlowski, K., Ramalho, J. C., & Ribeiro-Barros, A. I. (2022). Salt Stress Tolerance in Casuarina glauca: Insights from the Branchlets Transcriptome. Plants, 11(21), 2942. https://doi.org/10.3390/plants11212942

