Effect of Plateau Pika Disturbance on Plant Aboveground Biomass of Alpine Meadows at Two Different Scales
Abstract
:1. Introduction
2. Results
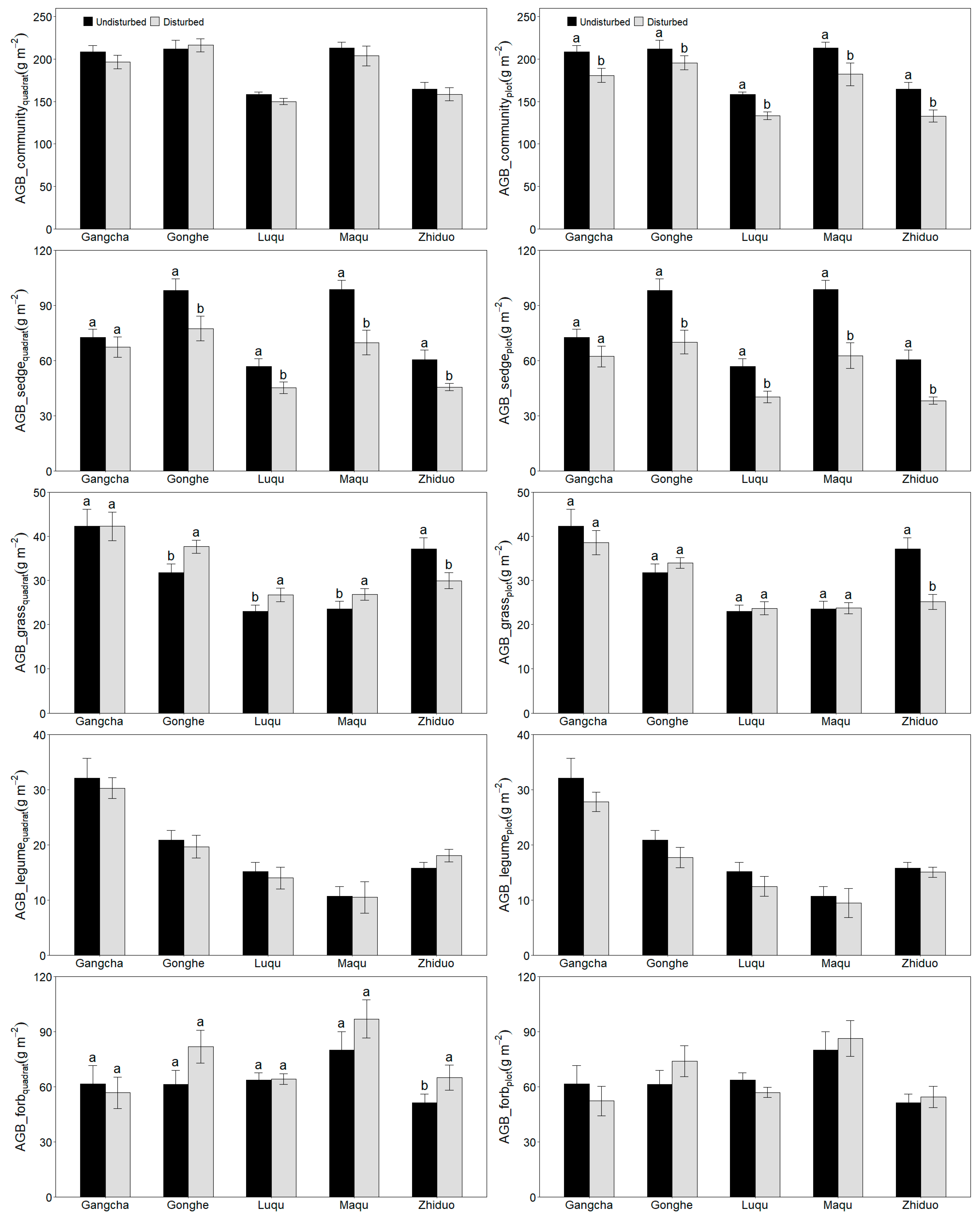
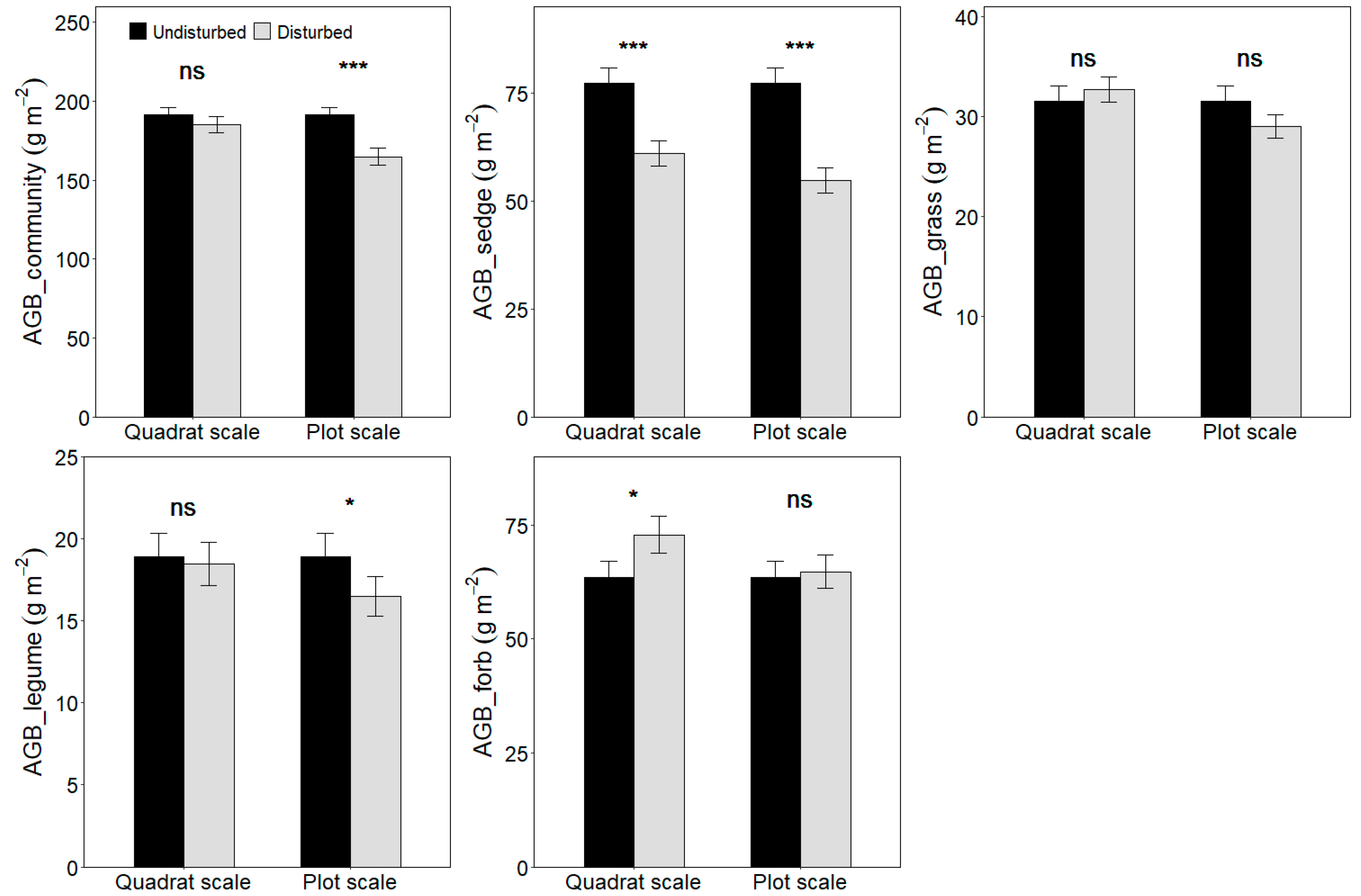
2.1. The Response of Plant Aboveground Biomass at the Quadrat Scale to Plateau Pika Disturbance
2.2. The Response of Plant Aboveground Biomass at the Plot Scale to Plateau Pika Disturbance
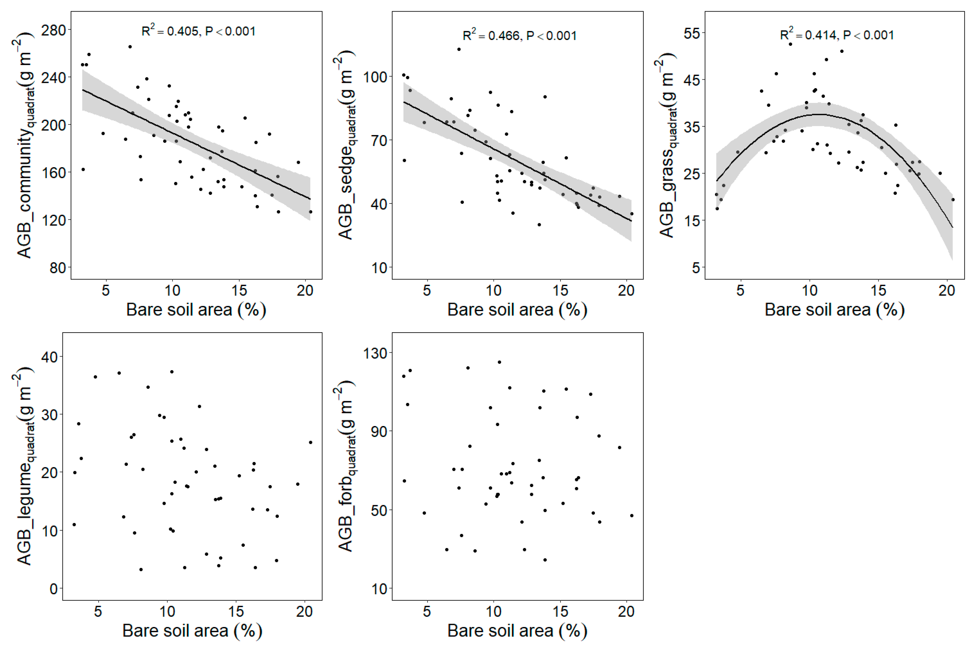
2.3. Response of Plant Aboveground Biomass to Plateau Pika Disturbance Intensity
3. Discussion
4. Methods and Materials
4.1. Sites Description
4.2. Experimental Design
4.3. Field Survey
4.4. Statistical Analyses
5. Conclusions
Author Contributions
Funding
Institutional Review Board Statement
Informed Consent Statement
Data Availability Statement
Acknowledgments
Conflicts of Interest
References
- Gibson, D.J.; Newman, J.A. (Eds.) Grasslands and Climate Change; Cambridge University Press: Cambridge, UK, 2019. [Google Scholar]
- White, R.P.; Murray, S.; Rohweder, M.; Prince, S.D.; Thompson, K.M. Grassland Ecosystems; World Resources Institute: Washington, DC, USA, 2000. [Google Scholar]
- Tilman, D.; Reich, P.B.; Knops, J.; Wedin, D.; Mielke, T.; Lehman, C. Diversity and Productivity in a Long-Term Grassland Experiment. Science 2001, 294, 843–845. [Google Scholar] [CrossRef]
- Hooper, D.U.; Vitousek, P.M. The effects of plant composition and diversity on ecosystem processes. Science 1997, 277, 1302–1305. [Google Scholar] [CrossRef]
- Wu, G.L.; Wang, D.; Liu, Y.; Ding, L.M.; Liu, Z.H. Warm-season Grazing Benefits Species Diversity Conservation and Topsoil Nutrient Sequestration in Alpine Meadow. Land Degrad. Dev. 2017, 28, 1311–1319. [Google Scholar]
- Davidson, A.D.; Detling, J.K.; Brown, J.H. Ecological roles and conservation challenges of social, burrowing, herbivorous mammals in the world’s grasslands. Front. Ecol. Environ. 2012, 10, 477–486. [Google Scholar] [CrossRef]
- Qin, Y.; Yi, S.; Ding, Y.; Qin, Y.; Zhang, W.; Sun, Y.; Hou, X.; Yu, H.; Meng, B.; Zhang, H.; et al. Effects of plateau pikas’ foraging and burrowing activities on vegetation biomass and soil organic carbon of alpine grasslands. Plant Soil 2021, 458, 201–216. [Google Scholar] [CrossRef]
- Hoogland, J.L. The Black-Tailed Prairie Dog: Social Life of a Burrowing Mammal; University of Chicago Press: Chicago, IL, USA, 1995. [Google Scholar]
- Liu, W.; Zhang, Y.; Wang, X.; Zhao, J.Z.; Xu, Q.M.; Zhou, L. The relationship of the harvesting behavior of plateau pikas with the plant community. Acta Theriol. Sin. 2009, 29, 40–49, (In Chinese with English Abstract). [Google Scholar]
- Hagenah, N.; Bennett, N.C. Mole rats act as ecosystem engineers within a biodiversity hotspot, the Cape Fynbos. J. Zool. 2013, 289, 19–26. [Google Scholar] [CrossRef]
- Yi, S.; Chen, J.; Qin, Y.; Xu, G. The burying and grazing effects of plateau pika on alpine grassland are small: A pilot study in a semiarid basin on the Qinghai-Tibet Plateau. Biogeosciences 2016, 13, 6273–6284. [Google Scholar] [CrossRef]
- Yu, C.; Zhang, J.; Pang, X.P.; Wang, Q.; Zhou, Y.P.; Guo, Z.G. Soil disturbance and disturbance intensity: Response of soil nutrient concentrations of alpine meadow to plateau pika bioturbation in the Qinghai-Tibetan Plateau, China. Geoderma 2017, 307, 98–106. [Google Scholar] [CrossRef]
- McNaughton, S.J. Compensatory plant growth as a response to herbivory. Oikos 1983, 40, 329–336. [Google Scholar] [CrossRef]
- Martínez-Estévez, L.; Balvanera, P.; Pacheco, J.; Ceballos, G. Prairie dog decline reduces the supply of ecosystem services and leads to desertification of semiarid grasslands. PLoS ONE 2013, 8, e75229. [Google Scholar] [CrossRef]
- Spencer, S.R.; Cameron, G.N.; Eshelman, B.D.; Cooper, L.C.; Williams, L.R. Influence of pocket gopher mounds on a Texas coastal prairie. Oecologia 1985, 66, 111–115. [Google Scholar] [CrossRef]
- Fahnestock, J.T.; Detling, J.K. Bison-prairie dog-plant interactions in a North American mixed-grass prairie. Oecologia 2002, 132, 86–95. [Google Scholar] [CrossRef]
- Zhang, Y.; Liu, J. Effects of plateau zokors (Myospalax fontanierii) on plant community and soil in an alpine meadow. J. Mammal. 2003, 84, 644–651. [Google Scholar] [CrossRef]
- Liu, Y.; Fan, J.; Harris, W.; Shao, Q.; Zhou, Y.; Wang, N.; Li, Y. Effects of plateau pika (Ochotona curzoniae) on net ecosystem carbon exchange of grassland in the Three Rivers Headwaters region, Qinghai-Tibet, China. Plant Soil 2013, 366, 491–504. [Google Scholar] [CrossRef]
- Rogers, W.E.; Hartnett, D.C.; Elder, B. Effects of plains pocket gopher (Geomys bursarius) disturbances on tallgrass-prairie plant community structure. Am. Midl. Nat. 2001, 145, 344–357. [Google Scholar] [CrossRef]
- Pang, X.P.; Guo, Z.G. Plateau pika disturbances alter plant productivity and soil nutrients in alpine meadows of the Qinghai-Tibetan Plateau, China. Rangel. J. 2017, 39, 133–144. [Google Scholar] [CrossRef]
- Guo, Z.G.; Li, X.F.; Liu, X.Y.; Zhou, X.R. Response of alpine meadow communities to burrow density changes of plateau pika (Ochotona curzoniae) in the Qinghai-Tibet plateau. Acta Ecol. Sin. 2012, 32, 44–49. [Google Scholar] [CrossRef]
- Liu, Y.; Fan, J.; Shi, Z.; Yang, X.; Harris, W. Relationships between plateau pika (Ochotona curzoniae) densities and biomass and biodiversity indices of alpine meadow steppe on the Qinghai–Tibet Plateau China. Ecol. Eng. 2017, 102, 509–518. [Google Scholar] [CrossRef]
- Yu, C.; Pang, X.P.; Wang, Q.; Jin, S.H.; Shu, C.C.; Guo, Z.G. Soil nutrient changes induced by the presence and intensity of plateau pika (Ochotona curzoniae) disturbances in the Qinghai-Tibet Plateau, China. Ecol. Eng. 2017, 106, 1–9. [Google Scholar] [CrossRef]
- Pang, X.P.; Yu, C.Q.; Zhang, J.; Wang, Q.; Guo, Z.G.; Tian, Y. Effect of disturbance by plateau pika on soil nitrogen stocks in alpine meadows. Geoderma 2020, 372, 114392. [Google Scholar] [CrossRef]
- Pang, X.P.; Wang, Q.; Zhang, J.; Xu, H.P.; Zhang, W.N.; Wang, J.; Guo, Z.G. Responses of soil inorganic and organic carbon stocks of alpine meadows to the disturbance by plateau pikas. Eur. J. Soil Sci. 2020, 71, 706–715. [Google Scholar] [CrossRef]
- Fan, N.; Zhou, W.; Wei, W.; Wang, Q.; Jiang, Y. Rodent pest management in the Qinghai-Tibet alpine meadow ecosystem. In Ecologically-Based Rodent Management; Singleton, G.R., Hinds, L.A., Leirs, H., Zhang, Z., Eds.; Australian Centre for International Agricultural Research: Canberra, Australia, 1999; pp. 285–304. [Google Scholar]
- Zhang, Y.; Dong, S.; Gao, Q.; Liu, S.; Liang, Y.; Cao, X. Responses of alpine vegetation and soils to the disturbance of plateau pika (Ochotona curzoniae) at burrow level on the Qinghai-Tibetan Plateau of China. Ecol. Eng. 2016, 88, 232–236. [Google Scholar] [CrossRef]
- Qu, J.; Li, W.; Yang, M.; Ji, W.; Zhang, Y. Life history of the plateau pika (Ochotona curzoniae) in alpine meadows of the Tibetan Plateau. Mamm. Biol. 2013, 78, 68–72. [Google Scholar] [CrossRef]
- Liu, J.K.; Liang, J.R.; Zhou, X.M. Communities and quantity of rodents in Alpine Meadow Ecosystems. In Alpine Meadow Ecosystem; Xia, W.P., Ed.; Gansu People’s Publishing House: Lanzhou, China, 1982; pp. 24–43. [Google Scholar]
- Sun, F.; Chen, W.; Liu, L.; Liu, W.; Lu, C.; Smith, P. The density of active burrows of plateau pika in relation to biomass allocation in the alpine meadow ecosystems of the Tibetan Plateau. Biochem. Syst. Ecol. 2015, 58, 257–264. [Google Scholar] [CrossRef]
- Smith, A.T.; Foggin, J.M. The plateau pika (Ochotona curzoniae) is a keystone species for biodiversity on the Tibetan plateau. Anim. Conserv. 1999, 2, 235–240. [Google Scholar] [CrossRef]
- Roemer, D.M.; Forrest, S.C. Prairie dog poisoning in northern Great Plains: An analysis of programs and policies. Environ. Manag. 1996, 20, 349–359. [Google Scholar] [CrossRef]
- Delibes-Mateos, M.; Smith, A.T.; Slobodchikoff, C.N.; Swenson, J. The paradox of keystone species persecuted as pests: A call for the conservation of abundant small mammals in their native range. Biol. Conserv. 2011, 144, 1335–1346. [Google Scholar] [CrossRef]
- Kleyer, M. Validation of plant functional types across two contrasting landscapes. J. Veg. Sci. 2002, 13, 167–178. [Google Scholar] [CrossRef]
- Lavorel, S.; Garnier, É. Predicting changes in community composition and ecosystem functioning from plant traits: Revisiting the Holy Grail. Funct. Ecol. 2002, 16, 545–556. [Google Scholar] [CrossRef]
- Luo, J.; Liu, X.; Yang, J.; Liu, Y.; Zhou, J. Variation in plant functional groups indicates land degradation on the Tibetan Plateau. Sci. Rep. 2018, 8, 17606. [Google Scholar] [CrossRef] [PubMed]
- Jin, S.H.; Liu, T.; Pang, X.P.; Yu, C.; Guo, Z.G. Effects of plateau pika (Ochotona curzoniae) disturbances on plant species diversity and aboveground plant biomass in a Kobresia pygmaea meadow in the Qinghai Lake Region. Acta Prataculturae Sin. 2017, 25, 29–39, (In Chinese with English Abstract). [Google Scholar]
- Sun, D.S.; Wesche, K.; Chen, D.D.; Zhang, S.H.; Wu, G.L.; Du, G.Z.; Comerford, N.B. Grazing depresses soil carbon storage through changing plant biomass and composition in a Tibetan alpine meadow. Plant Soil Environ. 2011, 57, 271–278. [Google Scholar] [CrossRef] [Green Version]
- Pang, X.P.; Guo, Z.G. Response of leaf traits of common plants in alpine meadow to plateau pika disturbance. Rangel. J. 2018, 40, 39–46. [Google Scholar] [CrossRef]
- Bueno, C.G.; Azorín, J.; Gómez-García, D.; Alados, C.L.; Badía, D. Occurrence and intensity of wild boar disturbances, effects on the physical and chemical soil properties of alpine grasslands. Plant Soil 2013, 373, 243–256. [Google Scholar] [CrossRef]
- Wang, C.T.; Long, R.J.; Wang, Q.L.; Jing, Z.C.; Shi, J.J. Changes in plant diversity, biomass and soil C, in alpine meadows at different degradation stages in the headwater region of three rivers, China. Land Degrad. Dev. 2009, 20, 187–198. [Google Scholar] [CrossRef]






| Location | MAT (°C) | MAP (mm) | Dominant Species | Main Associate Species | Bare Soil Area (%) |
|---|---|---|---|---|---|
| Gangcha (99.3°–100.6° E, 36.9°–38° N; 3265 m) | −0.6 | 370.5 | Kobresia humilis | P. pratensis Leontopodium nanum Potentilla bifurca | 8.20 ± 0.897 b |
| Gonghe (99°–101.5° E, 35.5°–37.2° N; 3750 m) | 4.1 | 350 | Kobresia pygmaea | E. nutans P. pratensis A. obtusiloba | 9.78 ± 0.586 b |
| Luqu (101.6°–103° E, 34°–34.8° N; 3550 m) | 3.3 | 630 | K. pygmaea | Elymus nutans Poa pratensis Anemone obtusiloba | 11.41 ±1.234 b |
| Maqu (100.8°–102.5° E, 33.1°–34.5° N; 3530 m) | 2.9 | 611.9 | K. pygmaea | E. nutans P. pratensis A. obtusiloba | 11.39 ± 1.651 b |
| Zhiduo (33°–36.3° E, 89.4°–96.4° N; 4640 m) | −3.8 | 290.9 | Carex moorcroftii | K. pygmaea Poa poophagorum L. nanum | 16.41 ± 0.758 a |
Publisher’s Note: MDPI stays neutral with regard to jurisdictional claims in published maps and institutional affiliations. |
© 2022 by the authors. Licensee MDPI, Basel, Switzerland. This article is an open access article distributed under the terms and conditions of the Creative Commons Attribution (CC BY) license (https://creativecommons.org/licenses/by/4.0/).
Share and Cite
Wei, X.; Guo, Z. Effect of Plateau Pika Disturbance on Plant Aboveground Biomass of Alpine Meadows at Two Different Scales. Plants 2022, 11, 2266. https://doi.org/10.3390/plants11172266
Wei X, Guo Z. Effect of Plateau Pika Disturbance on Plant Aboveground Biomass of Alpine Meadows at Two Different Scales. Plants. 2022; 11(17):2266. https://doi.org/10.3390/plants11172266
Chicago/Turabian StyleWei, Xiaoxing, and Zhenggang Guo. 2022. "Effect of Plateau Pika Disturbance on Plant Aboveground Biomass of Alpine Meadows at Two Different Scales" Plants 11, no. 17: 2266. https://doi.org/10.3390/plants11172266
APA StyleWei, X., & Guo, Z. (2022). Effect of Plateau Pika Disturbance on Plant Aboveground Biomass of Alpine Meadows at Two Different Scales. Plants, 11(17), 2266. https://doi.org/10.3390/plants11172266
