Winter Frosts Reduce Flower Bud Survival in High-Mountain Plants
Abstract
1. Introduction
2. Results
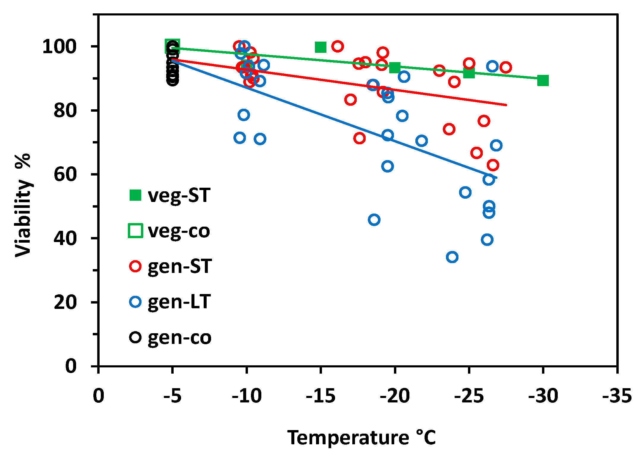
2.1. Effects of Winter Frost on Saxifraga moschata
2.2. Effects of Winter Frost on Saxifraga bryoides
2.3. Effects of Winter Frost on Ranunculus glacialis
3. Discussion
4. Materials and Methods
4.1. Plant Material and Collection
4.2. Freezing Experiments
4.3. Assessment of Viability and Regrowth Test
4.3.1. TTC Staining
4.3.2. Assessment of Flowering Frequency and Regrowth
4.4. Infrared Differential Thermal Analysis (IDTA)
4.5. Statistics
5. Conclusions
Author Contributions
Funding
Institutional Review Board Statement
Informed Consent Statement
Data Availability Statement
Acknowledgments
Conflicts of Interest
References
- Körner, C. Alpine Plant Life. Fuctional Plant Ecology of High Mountain Ecosystems; Springer: Berlin/Heidelberg, Germany, 2021. [Google Scholar]
- Agakhanyantz, O.E.; Lopatin, I.K. Main Characteristics of the Ecosystems of the Pamirs, USSR. Arct. Alp. Res. 1978, 10, 397. [Google Scholar] [CrossRef]
- Giménez-Benavides, L.; Escudero, A.; Iriondo, J.M. Reproductive limits of a late-flowering high-mountain Mediterranean plant along an elevational climate gradient. New Phytol. 2006, 173, 367–382. [Google Scholar] [CrossRef]
- López-Angulo, J.; Pescador, D.S.; Sánchez, A.M.; Mihoč, M.A.K.; Cavieres, L.A.; Escudero, A. Determinants of high mountain plant diversity in the Chilean Andes: From regional to local spatial scales. PLoS ONE 2018, 13, e0200216. [Google Scholar] [CrossRef]
- Lamprecht, A.; Pauli, H.; Calzado, M.R.F.; Lorite, J.; Mesa, J.M.; Steinbauer, K.; Winkler, M. Changes in plant diversity in a water-limited and isolated high-mountain range (Sierra Nevada, Spain). Alp. Bot. 2021, 131, 27–39. [Google Scholar] [CrossRef]
- Buchner, O.; Neuner, G. Variability of Heat Tolerance in Alpine Plant Species Measured at Different Altitudes. Arct. Antarct. Alp. Res. 2003, 35, 411–420. [Google Scholar] [CrossRef]
- Neuner, G.; Buchner, O. Dynamics of tissue heat tolerance and thermotolerance of PS II in alpine plants. In Plants in Alpine Regions: Cell Physiology of Adaptation and Survival Strategies; Lütz, C., Ed.; Springer: Vienna, Austria, 2011; pp. 61–74. [Google Scholar] [CrossRef]
- Ladinig, U.; Pramsohler, M.; Bauer, I.; Zimmermann, S.; Neuner, G.; Wagner, J. Is sexual reproduction of high-mountain plants endangered by heat? Oecologia 2015, 177, 1195–1210. [Google Scholar] [CrossRef]
- Billings, W.D.; Bliss, L.C. An alpine snowbank environment and its effects on vegetation, plant development, and productivity. Ecology 1959, 40, 388–397. [Google Scholar] [CrossRef]
- Löffler, J. The influence of micro-climate, snow cover, and soil moisture on ecosystem functioning in high mountains. J. Geogr. Sci. 2007, 17, 3–19. [Google Scholar] [CrossRef]
- Winkler, D.E.; Butz, R.J.; Germino, M.J.; Reinhardt, K.; Kueppers, L. Snowmelt timing regulates community composition, phenology, and physiological performance of alpine plants. Front. Plant Sci. 2018, 9, 1140. [Google Scholar] [CrossRef] [PubMed]
- Inouye, D.W. Effects of climate change on phenology, frost damage, and floral abundance of montane wildflowers. Ecology 2008, 89, 353–362. [Google Scholar] [CrossRef] [PubMed]
- Wipf, S.; Stoeckli, V.; Bebi, P. Winter climate change in alpine tundra: Plant responses to changes in snow depth and snowmelt timing. Clim. Chang. 2009, 94, 105–121. [Google Scholar] [CrossRef]
- Ladinig, U.; Wagner, J. Timing of sexual reproduction and reproductive success in the high-mountain plant Saxifraga bryoides L. Plant Biol. 2007, 9, 683–693. [Google Scholar] [CrossRef] [PubMed]
- Neuner, G.; Huber, B.; Plangger, A.; Pohlin, J.M.; Walde, J. Low temperatures at higher elevations require plants to exhibit increased freezing resistance throughout the summer months. Environ. Exp. Bot. 2020, 169, 103882. [Google Scholar] [CrossRef]
- Stegner, M.; Lackner, B.; Schäfernolte, T.; Buchner, O.; Xiao, N.; Gierlinger, N.; Holzinger, A.; Neuner, G. Winter nights during summer time: Stress physiological response to ice and the facilitation of freezing cytorrhysis by elastic cell wall components in the leaves of a nival species. Int. J. Mol. Sci. 2020, 21, 7042. [Google Scholar] [CrossRef]
- ZAMG Austria, Central Institute for Meteorology and Geodynamics Austria. Available online: https://www.zamg.ac.at/cms/en/climate (accessed on 31 March 2021).
- Jordan, D.; Smith, W. Energy balance analysis of nighttime leaf temperatures and frost formation in a subalpine environment. Agric. For. Meteorol. 1994, 71, 359–372. [Google Scholar] [CrossRef]
- Ladinig, U.; Hacker, J.; Neuner, G.; Wagner, J. How endangered is sexual reproduction of high-mountain plants by summer frosts? Frost resistance, frequency of frost events and risk assessment. Oecologia 2013, 171, 743–760. [Google Scholar] [CrossRef] [PubMed]
- Larcher, W.; Wagner, J. Temperaturgrenzen der CO2-Aufnahme und Temperaturresistenz der Blätter von Gebirgspflanzen im vegetativen Zustand. Acta Oecol. 1976, 11, 361–374. [Google Scholar]
- Taschler, D.; Neuner, G. Summer frost resistance and freezing patterns measured in situ in leaves of major alpine plant growth forms in relation to their upper distribution boundary. Plant Cell Environ. 2004, 27, 737–746. [Google Scholar] [CrossRef]
- Neuner, G.; Erler, A.; Ladinig, U.; Hacker, J.; Wagner, J. Frost resistance of reproductive tissues during various stages of development in high mountain plants. Physiol. Plant. 2012, 147, 88–100. [Google Scholar] [CrossRef]
- CaraDonna, P.J.; Bain, J. Frost sensitivity of leaves and flowers of subalpine plants is related to tissue type and phenology. J. Ecol. 2016, 104, 55–64. [Google Scholar] [CrossRef]
- Cernusca, A. Bestandesstruktur, Bioklima und Energiehaushalt von alpinen Zwergstrauchbeständen. Acta Oecol. 1976, 11, 71–102. [Google Scholar]
- Larcher, W.; Wagner, J. High mountain bioclimate: Temperatures near the ground recorded from the timberline to the nival zone in the Central Alps. Contrib. Nat. Hist. Berne. 2009, 12, 857–874. [Google Scholar] [CrossRef]
- Schmid, M.O.; Gubler, S.; Fiddes, J.; Gruber, S. Inferring snowpack ripening and melt-out from distributed measurements of near-surface ground temperatures. Cryosphere 2012, 6, 1127–1139. [Google Scholar] [CrossRef]
- Kuhn, M. Rain and snow at high elevation. The interaction of water, energy and trace substances. In Plants in Alpine Regions; Lütz, C., Ed.; Springer: Vienna, Austria, 2012; pp. 1–10. [Google Scholar] [CrossRef]
- Choler, P. Winter soil temperature dependence of alpine plant distribution: Implications for anticipating vegetation changes under a warming climate. Perspect. Plant Ecol. Evol. Syst. 2018, 30, 6–15. [Google Scholar] [CrossRef]
- Bannister, P.; Maegli, T.; Dickinson, K.J.M.; Halloy, S.R.P.; Knight, A.; Lord, J.M.; Mark, A.F.; Spencer, K.L. Will loss of snow cover during climatic warming expose New Zealand alpine plants to increased frost damage? Oecologia 2005, 144, 245–256. [Google Scholar] [CrossRef]
- Sakai, A.; Otsuka, K. Freezing resistance of alpine plants. Ecology 1970, 51, 665–671. [Google Scholar] [CrossRef]
- Sakai, A.; Larcher, W. Frost survival of plants. In Responses and Adaptation to Freezing Stress; Springer: Berlin/Heidelberg, Germany, 1987; Volume 62, p. 321. [Google Scholar]
- Junttila, O.; Robberecht, R. The influence of season and phenology on freezing tolerance in Silene acaulis L., a subarctic and arctic cushion plant of circumpolar distribution. Ann. Bot. 1993, 71, 423–426. [Google Scholar] [CrossRef]
- Larcher, W.; Kainmüller, C.; Wagner, J. Survival types of high mountain plants under extreme temperatures. Flora-Morphol. Distrib. Funct. Ecol. Plants 2010, 205, 3–18. [Google Scholar] [CrossRef]
- Larcher, W. Physiological Plant Ecology: Ecophysiology and Stress Physiology of Functional Groups, 4th ed.; Springer: Berlin/Heidelberg, Germany, 2003; p. 513. [Google Scholar]
- Goldstein, G.; Rada, F.; Azocar, A. Cold hardiness and supercooling along an altitudinal gradient in Andean giant rosette species. Oecologia 1985, 68, 147–152. [Google Scholar] [CrossRef] [PubMed]
- Rada, F.; Goldstein, G.; Azocar, A.; Torres, F. Supercooling along an altitudinal gradient in Espeletia schultzii, a caulescent giant rosette species. J. Exp. Bot. 1987, 38, 491–497. [Google Scholar] [CrossRef]
- Squeo, F.A.; Rada, F.; Azocar, A.; Goldstein, G. Freezing tolerance and avoidance in high tropical Andean plants: Is it equally represented in species with different plant height? Oecologia 1991, 86, 378–382. [Google Scholar] [CrossRef] [PubMed]
- Hacker, J.; Neuner, G. Ice propagation in dehardened alpine plant species studied by infrared differential thermal analysis (IDTA). Arct. Antarct. Alp. Res. 2008, 40, 660–670. [Google Scholar] [CrossRef]
- Arora, R. Mechanism of freeze-thaw injury and recovery: A cool retrospective and warming up to new ideas. Plant Sci. 2018, 270, 301–313. [Google Scholar] [CrossRef] [PubMed]
- Hacker, J.; Ladinig, U.; Wagner, J.; Neuner, G. Inflorescences of alpine cushion plants freeze autonomously and may survive subzero temperatures by supercooling. Plant Sci. 2011, 180, 149–156. [Google Scholar] [CrossRef] [PubMed]
- Neuner, G. Frost resistance in alpine woody plants. Front. Plant Sci. 2014, 5, 654. [Google Scholar] [CrossRef] [PubMed]
- Neuner, G.; Monitzer, K.; Kaplenig, D.; Ingruber, J. Frost survival mechanism of vegetative buds in temperate trees: Deep supercooling and extraorgan freezing vs. ice tolerance. Front. Plant Sci. 2019, 10, 537. [Google Scholar] [CrossRef]
- Kuprian, E.; Briceño, V.F.; Wagner, J.; Neuner, G. Ice barriers promote supercooling and prevent frost injury in reproductive buds, flowers and fruits of alpine dwarf shrubs throughout the summer. Environ. Exp. Bot. 2014, 106, 4–12. [Google Scholar] [CrossRef] [PubMed]
- Kuprian, E.; Tuong, T.D.; Pfaller, K.; Wagner, J.; Livingston, D.P., III; Neuner, G. Persistent supercooling of reproductive shoots is enabled by structural ice barriers being active despite an intact xylem connection. PLoS ONE 2016, 11, e0163160. [Google Scholar] [CrossRef]
- Kuprian, E.; Munkler, C.; Resnyak, A.; Zimmermann, S.; Tuong, T.D.; Gierlinger, N.; Müller, T.; Livingston, D.P., III; Neuner, G. Complex bud architecture and cell-specific chemical patterns enable supercooling of Picea abies bud primordia. Plant Cell Environ. 2017, 40, 3101–3112. [Google Scholar] [CrossRef]
- Ishikawa, M.; Sakai, A. Extraorgan freezing in wintering flower buds of Cornus officinalis Sieb. et Zucc. Plant Cell Environ. 1985, 8, 333–338. [Google Scholar] [CrossRef]
- Ide, H.; Price, W.; Arata, Y.; Ishikawa, M. Freezing behaviors in leaf buds of cold-hardy conifers visualized by NMR microscopy. Tree Physiol. 1998, 18, 451–458. [Google Scholar] [CrossRef]
- Kasuga, J.; Tsumura, Y.; Kondoh, D.; Jitsuyama, Y.; Horiuchi, R.; Arakawa, K. Cryo-scanning electron microscopy reveals that supercooling of overwintering buds of freezing-resistant interspecific hybrid grape ‘Yamasachi’ is accompanied by partial dehydration. J. Plant Physiol. 2020, 253, 153248. [Google Scholar] [CrossRef] [PubMed]
- Neuner, G.; Kreische, B.; Kaplenig, D.; Monitzer, K.; Miller, R. Deep supercooling enabled by surface impregnation with lipophilic substances explains the survival of overwintering buds at extreme freezing. Plant Cell Environ. 2019, 42, 2065–2074. [Google Scholar] [CrossRef]
- Diggle, P.K. Extreme preformation in alpine Polygonum viviparum: An architectural and developmental analysis. Am. J. Bot. 1997, 84, 154–169. [Google Scholar] [CrossRef] [PubMed]
- Aydelotte, A.R.; Diggle, P. Analysis of developmental preformation in the alpine herb Caltha leptosepala (Ranunculaceae). Am. J. Bot. 1997, 84, 1646–1657. [Google Scholar] [CrossRef] [PubMed]
- Wagner, J.; Ladinig, U.; Steinacher, G.; Larl, I. From the flower bud to the mature seed: Timing and dynamics of flower and seed development in high-mountain plants. In Plants in Alpine Regions; Lütz, C., Ed.; Springer: Vienna, Austria, 2012; pp. 135–152. [Google Scholar]
- Larl, I.; Wagner, J. Timing of Reproductive and Vegetative Development in Saxifraga oppositifolia in an alpine and a subnival climate. Plant Biol. 2006, 8, 155–166. [Google Scholar] [CrossRef]
- Ladinig, U.; Wagner, J. Dynamics of flower development and vegetative shoot growth in the high mountain plant Saxifraga bryoides L. Flora Morphol. Distrib. Funct. Ecol. Plants 2009, 204, 63–73. [Google Scholar] [CrossRef]
- Mauracher, S.; Wagner, J. Flower preformation in the nival plant Ranunculus glacialis L.: Shoot architecture and impact of the growing season length on floral morphogenesis and developmental dynamics. Alp. Bot. 2021, 131, 1–12. [Google Scholar] [CrossRef]
- Meloche, C.G.; Diggle, P. Preformation, architectural complexity, and developmental flexibility in Acomastylis rossii (Rosaceae). Am. J. Bot. 2001, 88, 980–991. [Google Scholar] [CrossRef]
- Bannister, P. Godley review: A touch of frost? Cold hardiness of plants in the southern hemisphere. N. Z. J. Bot. 2007, 45, 1–33. [Google Scholar] [CrossRef]
- Pramsohler, M.; Hacker, J.; Neuner, G. Freezing pattern and frost killing temperature of apple (Malus domestica) wood under controlled conditions and in nature. Tree Physiol. 2012, 32, 819–828. [Google Scholar] [CrossRef] [PubMed]
- Ishikawa, M.; Sakai, A. Characteristics of freezing avoidance in comparison with freezing tolerance: A demonstration of extraorgan freezing. In Plant Cold Hardiness and Freezing Stress; Li, P., Sakai, A., Eds.; Academic Press, Inc.: New York, NY, USA, 1982; Volume 2, pp. 325–340. [Google Scholar]
- Ladinig, U.; Wagner, J. Sexual reproduction of the high mountain plant Saxifraga moschata Wulfen at varying lengths of the growing season. Flora Morphol. Distrib. Funct. Ecol. Plants 2005, 200, 502–515. [Google Scholar] [CrossRef]
- Lipp, C.C.; Goldstein, G.; Meinzer, F.C.; Niemczura, W. Freezing tolerance and avoidance in high-elevation Hawaiian plants. Plant Cell Environ. 1994, 17, 1035–1044. [Google Scholar] [CrossRef]
- Squeo, F.A.; Rada, F.; García, C.; Ponce, M.; Rojas, A.; Azócar, A. Cold resistance mechanisms in high desert Andean plants. Oecologia 1996, 105, 552–555. [Google Scholar] [CrossRef] [PubMed]
- Beck, E. Cold tolerance in tropical alpine plants. In Tropical Alpine Environments. Plant Form and Function; Rundel, P.W., Smith, A.P., Meinzer, F.C., Eds.; University Press: Cambridge, UK, 1994; pp. 77–110. [Google Scholar] [CrossRef]
- Venn, S.E.; Morgan, J.W.; Lord, J.M. Foliar freezing resistance of Australian alpine plants over the growing season. Austral. Ecol. 2012, 38, 152–161. [Google Scholar] [CrossRef]
- Sierra-Almeida, A.; Reyes-Bahamonde, C.; Cavieres, L.A. Drought increases the freezing resistance of high-elevation plants of the Central Chilean Andes. Oecologia 2016, 181, 1011–1023. [Google Scholar] [CrossRef] [PubMed]
- Goldstein, G.; Melcher, P.; Heraux, J.; Drake, D.R.; Giambelluca, T.W. Photosynthetic gas exchange and temperature-induced damage in seedlings of the tropical alpine species Argyroxiphium sandwicense. Oecologia 1996, 106, 298–307. [Google Scholar] [CrossRef]
- Neuner, G.; Hacker, J. Ice formation and propagation in alpine plants. In Plants in Alpine regions: Cell Physiology of Adaptation and Survival Strategies; Lütz, C., Ed.; Springer: Vienna, Austria, 2012; pp. 163–174. [Google Scholar] [CrossRef]
- Neuner, G.; Ambach, D.; Aichner, K. Impact of snow cover on photoinhibition and winter desiccation in evergreen Rhododendron ferrugineum leaves during subalpine winter. Tree Physiol. 1999, 19, 725–732. [Google Scholar] [CrossRef]
- Komac, B.; Pladevall, C.; Penuelas, J.; Conesa, J.V.; Domènech, M. Variations in functional diversity in snowbed plant communities determining snowbed continuity. Plant Ecol. 2015, 216, 1257–1274. [Google Scholar] [CrossRef]
- Körner, C. Coldest places on earth with angiosperm plant life. Alp. Bot. 2011, 121, 11–22. [Google Scholar] [CrossRef]
- Beniston, M. Variations of snow depth and duration in the Swiss Alps over the last 50 years: Links to changes in large-scale climatic forcings. Clim. Chang. 1997, 36, 281–300. [Google Scholar] [CrossRef]
- Scheifinger, H.; Menzel, A.; Koch, E.; Peter, C. Trends of spring time frost events and phenological dates in Central Europe. Theor. Appl. Climatol. 2003, 74, 41–51. [Google Scholar] [CrossRef]
- Semenchuk, P.R.; Elberling, B.; Cooper, E.J. Snow cover and extreme winter warming events control flower abundance of some, but not all species in high arctic Svalbard. Ecol. Evol. 2013, 3, 2586–2599. [Google Scholar] [CrossRef] [PubMed]
- Klein, G.; Vitasse, Y.; Rixen, C.; Marty, C.; Rebetez, M. Shorter snow cover duration since 1970 in the Swiss Alps due to earlier snowmelt more than to later snow onset. Clim. Chang. 2016, 139, 637–649. [Google Scholar] [CrossRef]
- Hantel, M.; Maurer, C.; Mayer, D. The snowline climate of the Alps 1961–2010. Theor. Appl. Climatol. 2012, 110, 517–537. [Google Scholar] [CrossRef]
- Hacker, J.; Neuner, G. Photosynthetic capacity and PSII efficiency of the evergreen alpine cushion plant Saxifraga paniculata during winter at different altitudes. Arct. Antarct. Alp. Res. 2006, 38, 198–205. [Google Scholar] [CrossRef][Green Version]
- Preece, C.; Phoenix, G. Impact of early and late winter icing events on sub-arctic dwarf shrubs. Plant Biol. 2013, 16, 125–132. [Google Scholar] [CrossRef] [PubMed]
- Abeli, T.; Rossi, G.; Gentili, R.; Mondoni, A.; Cristofanelli, P. Response of alpine plant flower production to temperature and snow cover fluctuation at the species range boundary. Plant Ecol. 2011, 213, 1–13. [Google Scholar] [CrossRef]
- Rumpf, S.; Semenchuk, P.R.; Dullinger, S.; Cooper, E.J. Idiosyncratic responses of high arctic plants to changing snow regimes. PLoS ONE 2014, 9, e86281. [Google Scholar] [CrossRef]
- Kaplan, K. Saxifragaceae. In Gustav Hegi—Illustrierte Flora von Mitteleuropa; Weber, H.E., Ed.; Blackwell: Berlin, Germany, 1995; Volume 4, pp. 130–229. [Google Scholar]
- Rauh, W. Über polsterförmigen Wuchs. Nova Acta Leopold. 1939, 7, 267–508. [Google Scholar]
- Larl, I. Flower Development in High Mountain Saxifrages. Ph.D. Thesis, University of Innsbruck, Innsbruck, Austria, 2007. [Google Scholar]
- Gottfried, M.; Hantel, M.; Maurer, C.; Toechterle, R.; Pauli, H.; Grabherr, G. Coincidence of the alpine–nival ecotone with the summer snowline. Environ. Res. Lett. 2011, 6, 6. [Google Scholar] [CrossRef]
- Pauli, H.; Gottfried, M.; Grabherr, G. Vascular plant distribution patterns at the low temperature limits of plant life—The alpine-nival ecotone of Mount Schrankogel (Tyrol, Austria). Phytocoenologia 1999, 29, 297–325. [Google Scholar] [CrossRef]
- Zimmermann, W. Ranunculaceae. In Gustav Hegi—Illustrierte Flora von Mitteleuropa; Rechinger, K.H., Damboldt, J., Eds.; Paul Parey: Berlin, Germany, 1975; pp. 53–341. [Google Scholar]
- Rønning, O.L. The Flora of Svalbard; Norwegian Polar Institute: Oslo, Norway, 1996. [Google Scholar]
- Sørensen, T. Temperature relations and phenology of the northeast Greenland flowering plants. Medd. Om Gronl. 1941, 125, 1–307. [Google Scholar]
- Totland, Ø.; Alatalo, J. Effects of temperature and date of snowmelt on growth, reproduction, and flowering phenology in the arctic/alpine herb, Ranunculus glacialis. Oecologia 2002, 133, 168–175. [Google Scholar] [CrossRef] [PubMed]
- Leuzinger, S.; Vogt, R.; Körner, C. Tree surface temperature in an urban environment. Agric. For. Meteorol. 2010, 150, 56–62. [Google Scholar] [CrossRef]
- Larcher, W. Vitalitätsbestimmung. In Methoden zur Pflanzenökologie und Bioindikation, 2nd ed.; Kreeb, K.H., Ed.; Fischer: Jena, Germany, 1990; pp. 251–265. [Google Scholar]
- Neuner, G.; Kuprian, E. Infrared thermal analysis of plant freezing processes. In Plant Cold Acclimation; Hincha, D.K., Zuther, E., Eds.; Humana Press: New York, NY, USA, 2014. [Google Scholar] [CrossRef]
- Zar, J.H. Biostatistical Analysis, 4th ed.; Prentice Hall: Upper Saddle River, NJ, USA, 1999. [Google Scholar]
- Bärlocher, F. Biostatistik; Thieme Verlag: Stuttgart, Germany; New York, NY, USA, 1999. [Google Scholar]
- Losapio, G.; Cerabolini, B.E.L.; Maffioletti, C.; Tampucci, D.; Gobbi, M.; Caccianiga, M. The consequences of glacier retreat are uneven between plant species. Front. Ecol. Evol. 2021, 8, 8. [Google Scholar] [CrossRef]
- Dullinger, S.; Gattringer, A.; Thuiller, W.; Moser, D.; Zimmermann, N.; Guisan, A.; Willner, W.; Plutzar, C.; Leitner, M.; Mang, T.; et al. Extinction debt of high-mountain plants under twenty-first-century climate change. Nat. Clim. Chang. 2012, 2, 619–622. [Google Scholar] [CrossRef]











Publisher’s Note: MDPI stays neutral with regard to jurisdictional claims in published maps and institutional affiliations. |
© 2021 by the authors. Licensee MDPI, Basel, Switzerland. This article is an open access article distributed under the terms and conditions of the Creative Commons Attribution (CC BY) license (https://creativecommons.org/licenses/by/4.0/).
Share and Cite
Wagner, J.; Gruber, K.; Ladinig, U.; Buchner, O.; Neuner, G. Winter Frosts Reduce Flower Bud Survival in High-Mountain Plants. Plants 2021, 10, 1507. https://doi.org/10.3390/plants10081507
Wagner J, Gruber K, Ladinig U, Buchner O, Neuner G. Winter Frosts Reduce Flower Bud Survival in High-Mountain Plants. Plants. 2021; 10(8):1507. https://doi.org/10.3390/plants10081507
Chicago/Turabian StyleWagner, Johanna, Karla Gruber, Ursula Ladinig, Othmar Buchner, and Gilbert Neuner. 2021. "Winter Frosts Reduce Flower Bud Survival in High-Mountain Plants" Plants 10, no. 8: 1507. https://doi.org/10.3390/plants10081507
APA StyleWagner, J., Gruber, K., Ladinig, U., Buchner, O., & Neuner, G. (2021). Winter Frosts Reduce Flower Bud Survival in High-Mountain Plants. Plants, 10(8), 1507. https://doi.org/10.3390/plants10081507

