Effect of Individual, Simultaneous and Sequential Inoculation of Pseudomonas fluorescens and Meloidogyne incognita on Growth, Biochemical, Enzymatic and Nonenzymatic Antioxidants of Tomato (Solanum lycopersicum L.)
Abstract
1. Introduction
2. Results
2.1. Impacts of Inoculation of Meloidogyne incognita and Pseudomonas fluorescens on Growth Parameters of Tomato
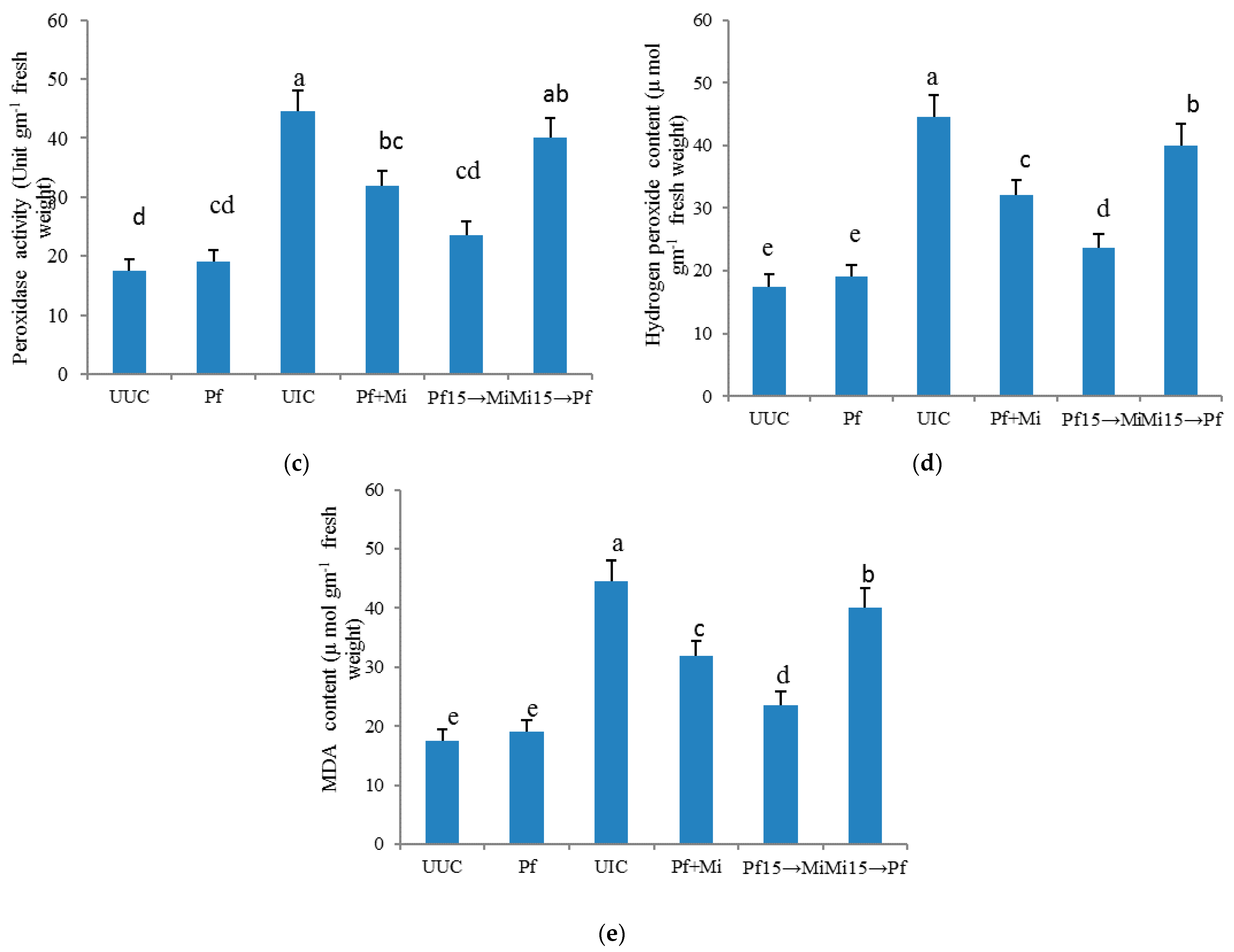
2.2. Impacts of Inoculation of Meloidogyne incognita and Pseudomonas fluorescens on Yield and Biochemical Parameters of Tomato
2.3. Impacts of Inoculation of Meloidogyne incognita and Pseudomonas fluorescens on Nematode Multiplication of Tomato
3. Discussion
4. Materials and Methods
4.1. Nematode Culture
4.2. Culture of Bacterium Inoculum
4.3. Role of M. incognita in Bio-Protection
4.4. Pot Experiment
4.5. Chlorophyll and Carotenoid Contents
4.6. Nitrate Reductase Activity (NRA)
4.7. Estimation of Hydrogen Peroxide (H2O2)
4.8. Estimation of Phenol Content
4.9. Estimation of Peroxidase (POX)
4.10. Estimation of Superoxide Dismutase (SOD)
4.11. Estimation of malondialdehyde (MDA)
4.12. Statistical Analysis
Author Contributions
Funding
Institutional Review Board Statement
Informed Consent Statement
Data Availability Statement
Acknowledgments
Conflicts of Interest
References
- Perry, R.N.; Moens, M. Introduction to Plant-Parasitic Nematodes; Modes of Parasitism. In Genomics and Molecular Genetics of Plant-Nematode Interactions; Springer: Dordrecht, The Netherlands, 2011; pp. 3–20. [Google Scholar]
- Sahebani, N.; Hadavi, N. Biological control of the root-knot nematode Meloidogyne javanica by Trichoderma harzianum. Soil Biol. Biochem. 2008, 40, 2016–2020. [Google Scholar] [CrossRef]
- Khan, F.; Asif, M.; Khan, A.; Tariq, M.; Ansari, T.; Shariq, M.; Siddiqui, M.A. Evaluation of the nematicidal potential of some botanicals against root-knot nematode, Meloidogyne incognita infected carrot: In vitro and greenhouse study. Curr. Plant Biol. 2019, 20, 100115. [Google Scholar] [CrossRef]
- FAOSTAT. Global Tomato Production in 2014. In Crops/Word/2014; UN Food and Agriculture Organization: Rome, Italy, 2017. [Google Scholar]
- Asif, M.; Ahmad, F.; Ansari, T.; Khan, A.; Khan, F.; Tariq, M.; Siddiqu, M.A. Performance of some selected tomato cultivars for their resistance and susceptibility behaviour against root-knot nematode, Meloidogyne incognita. Indian J. Nematol. 2018, 48, 125–128. [Google Scholar]
- Barker, K.R. Perspectives in Plant and Soil Nematology. Ann. Rev. Phytopathol. 2003, 41, 1–25. [Google Scholar] [CrossRef] [PubMed]
- El-Hadad, M.; Mustafa, M.I.; Selim, S.M.; Mahgoob, A.E.A.; El-Tayeb, T.S.; Abdel-Aziz, N.H. In vitro evaluation of some bacterial isolates as biofertilizers and biocontrol agents against the second stage juveniles of Meloidogyne incognita. World J. Microbiol. Biotechnol. 2010, 26, 2249–2256. [Google Scholar] [CrossRef]
- Khan, A.; Williams, K.L.; Nevalainen, H.K.M. Effects of Paecilomyces lilacinus protease and chitinase on the eggshell structures and hatching of Meloidogyne javanica juveniles. Biol. Control. 2004, 31, 346–352. [Google Scholar] [CrossRef]
- Setten, L.; Soto, G.; Mozzicafreddo, M.; Fox, A.R.; Lisi, C.; Cuccioloni, M.; Angeletti, M.; Pagano, E.; Díaz-Paleo, A.; Ayub, N.D. Engineering Pseudomonas protegens Pf-5 for Nitrogen Fixation and its Application to Improve Plant Growth under Nitrogen-Deficient Conditions. PLoS ONE 2013, 8, e63666. [Google Scholar]
- Whitelaw, M.A. Growth promotion of plants inoculated with phosphate-solubilizing fungi. Adv. Agron. 1999, 69, 99–151. [Google Scholar]
- Kesba, H.H.; El-Beltagi, H.S. Biochemical changes in grape rootstocks resulted from humic acid treatments in relation to nematode infection. Asian Pac. J. Trop. Biomed. 2012, 2, 287–293. [Google Scholar] [CrossRef]
- Wojtaszek, P. Oxidative burst: An early plant response to pathogen infection. Biochem. J. 1997, 322, 681–692. [Google Scholar] [CrossRef]
- Saed-Moucheshi, A.; Pakniyat, H.; Pirasteh-Anosheh, H.; Azooz, M.M. Role of ROS as Signaling Molecules in Plants. In Reactive Oxygen Species, Antioxidant Network and Signaling in Plants; Ahmad, P., Ed.; Springer: New York, NY, USA, 2014; pp. 585–626. [Google Scholar]
- Das, K.; Roychoudhury, A. Reactive oxygen species (ROS) and response of antioxidants as ROS-scavengers during environmental stress in plants. Front. Environ. Sci. 2014, 2, 53. [Google Scholar] [CrossRef]
- Asif, M.; Tariq, M.; Khan, K.; Siddiqui, M.A. Biocidal and antinemic properties of aqueous extracts of Ageratum and Coccinia against root-knot nematode, Meloidogyne incognita in vitro. J. Agric. Sci. 2017, 12, 108–122. [Google Scholar] [CrossRef]
- Korayem, A.M.; El-Bassiouny, H.M.S.; El-Monem, A.A.A.; Mohamed, M.M.M. Physiological and biochemical changes in different sugar beet genotypes infected with root-knot nematode. Acta Physiol. Plant 2012, 34, 1847–1861. [Google Scholar] [CrossRef]
- Astier, J.; Gross, I.; Durner, J. Nitric oxide production in plants: An update. J. Exp. Bot. 2018, 69, 3401–3411. [Google Scholar] [CrossRef]
- Tejada-Jimenez, M.; Llamas, A.; Galván, A.; Fernández, E. Role of Nitrate Reductase in NO Production in Photosynthetic Eukaryotes. Plants 2019, 8, 56. [Google Scholar] [CrossRef] [PubMed]
- Almaghrabi, O.A.; Massoud, S.I.; Abdelmoneim, T.S. Influence of inoculation with plant growth promoting rhizobacteria (PGPR) on tomato plant growth and nematode reproduction under greenhouse conditions. Saudi J. Bio. Sci. 2013, 20, 57–61. [Google Scholar] [CrossRef] [PubMed]
- Nihorimbere, V.; Ongena, M.; Smargiassi, M.; Thonart, P. Beneficial effect of the rhizosphere microbial community for plant growth and health. Biotechnol. Agron. Soc. Environ. 2011, 15, 327–337. [Google Scholar]
- Wei, G.; Kloepper, J.W.; Tuzun, S. Induced systemic resistance to cucumber diseases and increased plant growth by Plant growth promoting rhizobacteria under field conditions. Phytopathology 1996, 86, 221–224. [Google Scholar] [CrossRef]
- Khan, M.R.; Haque, Z. Soil application of Pseudomonas fluorescens and Trichoderma harzianum reduces root-knot nematode, Meloidogyne incognita, on tobacco. Phytopathol. Mediterr. 2011, 50, 257–266. [Google Scholar]
- Rani, A.; Souche, Y.; Goel, R. Comparative in situ remediation potential of Pseudomonasputida 710A and Commamonasaquatica 710B using plant (Vignaradiata (L.) wilczek) assay. Ann. Microbiol. 2013, 63, 923–928. [Google Scholar] [CrossRef]
- Wang, H.L.; Lee, P.D.; Liu, L.F.; Su, J.C. Effect of sorbitol induced osmotic stress on the changes of carbohydrate and amino acid pools in sweet potato cells suspension cultures. Bot. Bull. Acad. Sin. 1999, 40, 219–225. [Google Scholar]
- Bashan, Y.; Holguin, G. Azospirillum—Plant relationships: Environmental and physiological advances (1990–1996). Can. J. Microbiol. 1997, 43, 103–121. [Google Scholar] [CrossRef]
- Perveen, K.; Haseeb, A.; Shukla, P.K. Influence of Meloidogyne incognita and Sclerotinia sclerotiorum Alone and in Combined Inoculations on Mentha arvensis. Indian J. Nematol. 2007, 37, 15–18. [Google Scholar]
- Varshney, V.P. Changes in Plant Growth, Nematode Population and Nodule Index as a Result Inoculation of Cowpea (Vigna unguiculata) with Meloidogyne incognita and Rhizoctonia solani. Ph.D. Thesis, Aligarh Muslim University, Aligarh, India, 1982; pp. 1–110. [Google Scholar]
- Ganaie, M.A.; Khan, T.A. Biological potential of Paecilomyces lilacinus on the pathogenesis of Meloidogyne javanica infecting tomato plant. Eur. J. App. Sci. 2010, 2, 80–84. [Google Scholar]
- Willcox-Lee, D.; Loria, R. Effect of nematode parasitism on plant water relation. Vistas Nematol. Commem Twenty Fifth Anniv Soc Nematol. 1987, 2, 260–266. [Google Scholar]
- Sharf, R.; Hisamuddin. Effect of Meloidogyne incognita on the growth, physiology and expression of ME-1 gene and pathogenesis related proteins in Phaseolus vulgaris. Acta Sci. Agric. 2019, 3, 111–122. [Google Scholar]
- Schans, J.; Arntzen, F.K. Photosynthesis, transpiration and plant growth characters of different potato cultivars at various densities of Globodera pallida. Neth. J. Plant Pathol. 1991, 97, 297–310. [Google Scholar] [CrossRef]
- Srivastava, J.P.; Gupta, S.C.; Lal, P.; Muralia, R.N.; Kumar, A. Effect of salt stress on physiological and biochemical parameters of wheat. Ann. Arid Zone 1988, 27, 197–204. [Google Scholar]
- Farnese, F.S.; Menezes-Silva, P.E.; Gusman, G.S.; Oliveira, J.A. When Bad Guys Become Good Ones: The Key Role of Reactive Oxygen Species and Nitric Oxide in the Plant Responses to Abiotic Stress. Front. Plant Sci. 2016, 7, 471. [Google Scholar] [CrossRef]
- Maia, L.B.; Moura, J.J.G. Putting xanthine oxidoreductase and aldehyde oxidase on the NO metabolism map: Nitrite reduction by molybdoenzymes. Redox Biol. 2018, 19, 274–289. [Google Scholar] [CrossRef] [PubMed]
- Burelle, N.K.; Samas, D.A. Use of gram-positive bacteria as biological control agents for plant parasitic nematodes. J. Nematol. 2003, 35, 347–348. [Google Scholar]
- Siddiqui, I.A.; Shaukat, S.S. Plant species, host age and host genotype effects on Meloidogyne incognita biocontrol by Pseudomonas fluorescens strain CHA0 and its genetically-modified derivatives. J. Phytopathol. 2003, 151, 231–238. [Google Scholar] [CrossRef]
- Safiuddin, S.A.; Tiyagi, R.R.; Mahmood, I. Biological control of disease complex involving Meloidogyne incognita and Rhizoctonia solani on growth of okra through microbial inoculants. J. Microbiol. Biotechnol. Res. 2014, 4, 46–51. [Google Scholar]
- Griffiths, B.S. Microbial-feeding nematodes and protozoa in soil: Their effects on microbial activity and nitrogen mineralization in decomposition hotspots and the rhizosphere. Plant Soil 1994, 164, 25–33. [Google Scholar] [CrossRef]
- Mfarrej, M.F.B.; Sharaf, N. Host Selection of Peach Rootborer Capnodis tenebrionis L. (Coleoptera: Buprestidae) to Stone-Fruit Trees in Jordan. Jordan J. Agric. Sci. 2011, 7, 682–689. [Google Scholar]
- Sarathchandra, S.U.; Ghani, A.; Yeates, G.W.; Burch, G.; Cox, N.R. Effect of nitrogen and phosphate fertilisers on microbial and nematode diversity in pasture soils. Soil Biol. Biochem. 2001, 33, 953–964. [Google Scholar] [CrossRef]
- Ahemad, M.; Khan, M.S. Assessment of plant growth promoting activities of rhizobacterium Pseudomonas putida under insecticide-stress. Microbiol. J. 2011, 1, 54–64. [Google Scholar] [CrossRef][Green Version]
- Hoffmann-Hergarten, S.; Sikora, R.A. Enhancing the biological control efficacy of nematode-trapping fungi towards Heterodera schachtii with green manure. Z. Pflanzenkrankh. Pflanzenschutz 1993, 100, 170–175. [Google Scholar]
- Siddiqui, Z.A.; Mahmood, I. Role of bacteria in the management of plant parasitic nematodes: A review. Biores. Technol. 1999, 69, 167–179. [Google Scholar] [CrossRef]
- Daykin, M.E.; Hussey, R.S. Staining and Histopathological Techniques in Nematology. In An Advanced Treatise on Meloidogyne: Methodology; Baker, K.R., Carter, C.C., Sasser, J.N., Eds.; North Carolina State University Graphics: Raleigh, NC, USA, 1985; Volume II, pp. 39–48. [Google Scholar]
- Been, T.H.; Schomaker, C.H. Quantitative analysis of growth, mineral composition and ion balance of the potato cultivar Irene infested with Globodera pallida. Nematologica 1986, 32, 339–355. [Google Scholar]
- Farkas, G.L.; Kiraaly, Z. Role of phenolic compounds in the physiology of plant diseases and disease resistance. J. Phytopathol. 1962, 44, 105–150. [Google Scholar] [CrossRef]
- Lee, J.W.; Kim, J.K.; Srinivasan, P.; Choi, J.; Kim, J.H.; Han, S.B.; Kim, D.J.; Byun, M.W. Effect of gamma irradiation on microbial analysis, antioxidant activity, sugar content and color of ready-to-use tamarind juice during storage. LWT Food Sci. Technol. 2009, 42, 101–105. [Google Scholar] [CrossRef]
- Benhamou, N.; Nicole, M. Cell biology of plant immunization against microbial infection: The potential of induced resistance in controlling plant diseases. Plant Physiol. Biochem. 1999, 37, 703–719. [Google Scholar] [CrossRef]
- Taiz, L.; Zeiger, E. Plant Physiology, 3rd ed.; Sinaur Associates Inc.: Sunderland, MA, USA, 2002; p. 290. [Google Scholar]
- Mellersh, D.G.; Foulds, I.V.; Higgins, V.J.; Heath, M. H2O2 plays different roles in determining penetration failure in three diverse plant-fungal interactions. Plant J. 2002, 29, 257–268. [Google Scholar] [CrossRef]
- Horvathova, J.; Suhaj, M.; Šimko, P. Effect of thermal treatment and storage on antioxidant activity of some spices. J. Food Nutri. Res. 2007, 46, 20–27. [Google Scholar]
- Kuźniak, K.; Skłodowska, M. Ascorbate, glutathione and related enzymes in chloroplasts of tomato leaves infected by Botrytis cinerea. Plant Sci. 2001, 160, 723–731. [Google Scholar] [CrossRef]
- Zacheo, G.; Bleve-Zacheo, T.; Pacoda, D.; Orlando, C.; Durbin, R.D. The association between heat-induced susceptibility of tomato to Meloidogyne incognita and peroxidase activity. Physiol. Mol. Plant Pathol. 1995, 46, 491–507. [Google Scholar] [CrossRef]
- Anita, B.; Samiyappan, R. Induction of systemic resistance in rice by Pseudomonas fluorescens against rice root-knot nematode Meloidogyne graminicola. J. Biopest. 2012, 5, 53–59. [Google Scholar]
- Meena, B.; Radhajeyalakshmi, R.; Marimuthu, T.; Vidhyasekaran, P.; Doraiswamy, S.; Velazhahan, R. Induction of pathogenesis related proteins, phenolics and phenylalanine ammonialyase in groundnut by Pseudomonas fluorescens. J. Plant Dis. Prot. 2000, 107, 514–527. [Google Scholar]
- Shabaev, V.P.; Olyunina, L.N.; Smolin, Y.Y. Functional activity of maize roots after inoculation with growth promoting rhizosphere bacteria, Pseudomonas. Biol. Bull. Russ. Acad. Sci. 1999, 26, 30–35. [Google Scholar]
- Labudda, M.; Tokarz, K.; Tokarz, P.; Muszyńska, E.; Gietler, M.; Górecka, M.; Różańska, E.; Rybarczyk-Płońska, A.; Fidler, J.; Prabucka, B.; et al. Reactive oxygen species metabolism and photosynthetic performance in leaves of Hordeum vulgare plants co-infested with Heteroderafilipjevi and Aceria tosichella. Plant Cell Rep. 2020, 39, 1719–1741. [Google Scholar] [CrossRef]
- Sundararaju, P.; Suba, K.P. Biochemical and molecular changes in banana plants induced by Pratylenchus coffeae and Meloidogyne incognita. Indian J. Nematol. 2006, 36, 239–242. [Google Scholar]
- Eisenback, J.D. Detailed morphology and anatomy of second-stage juveniles, males, and females of the genus Meloidogyne (root-knot nematodes). J. Chem. Inf. Model. 1989, 53, 160. [Google Scholar]
- Vidhyasekaran, P.; Muthamilan, M. Development of formulations of Pseudomonas fluorescens for control of chickpea wilt. Plant Dis. 1995, 79, 782–786. [Google Scholar] [CrossRef]
- Hussey, R.S.; Barker, K.R. A comparison of methods of collecting inocula of Meloidogyne spp. including a new technique. Plant Dis. Rep. 1973, 57, 1925–1928. [Google Scholar]
- Southey, J.F. Laboratory Methods to Work with Plant and Soil Nematodes; Ministry of Agriculture, Fisheries and Food; HMSO: London, UK, 1986; Volume 202, p. 148. [Google Scholar]
- Taylor, A.L.; Sasser, J.N. Biology, Identification and Control of Root-Knot Nematodes; Department of Plant Pathology, North Carolina State University; United States Agency for International Development: Raleigh, NC, USA, 1978; p. 111. [Google Scholar]
- Mackinney, G. Absorption of light by chlorophyll solutions. J. Biol. Chem. 1941, 140, 315–322. [Google Scholar] [CrossRef]
- Jaworski, E.G. Nitrate reductase assay in intact plant tissues. Biochem. Biophysical. Res. Commun. 1971, 43, 1274–1279. [Google Scholar] [CrossRef]
- Alexieva, V.; Sergiev, I.; Mapelli, S.; Karanov, E. The effect of drought and ultraviolet radiation on growth and stress markers in pea and wheat. Plant Cell Environ. 2001, 24, 1337–1344. [Google Scholar] [CrossRef]
- Zieslin, N.; Ben Zaken, R. Peroxidase activity and presence of phenolic substances in peduncles of rose flowers. Plant Physiol. Biochem. 1993, 31, 333–339. [Google Scholar]
- Hammerschmidt, R.; Nuckles, E.M.; Kuć, J. Association of enhanced peroxidase activity with induced systemic resistance of cucumber to Colletotrichum lagenarium. Physiol. Plant Pathol. 1982, 20, 73–82. [Google Scholar] [CrossRef]
- Beauchamp, C.; Fridovich, I. Superoxide dismutase: Improved assays and an assay applicable to acryl amide gels. Anal. Biochem. 1971, 44, 276–287. [Google Scholar] [CrossRef]
- Heath, R.L.; Packer, L. Photoperoxidation in isolated chloroplast: I. Kinetics and stoichiometry of fatty acid peroxidation. Arc. Biochem. Biophy. 1968, 125, 189–198. [Google Scholar] [CrossRef]


| Table | Legth (cm) | Weight (g) | |||||||
|---|---|---|---|---|---|---|---|---|---|
| Fresh | Dry | ||||||||
| Shoot | Root | Total | Shoot | Root | Total | Shoot | Root | Total | |
| Pf | 59.2 a ± 2.60 | 28.3 a ± 1.45 | 87.5 a ± 3.13 | 57.4 a ± 2.30 | 23.8 a ± 1.30 | 81.2 a ± 3.92 | 21.6 a ± 1.00 | 8.2 a ± 0.55 | 29.8 a ± 1.23 |
| Pf + Mi | 42.0 d ± 2.10 | 20.0 d ± 1.12 | 62.0 d ± 2.56 | 34.6 d ± 1.76 | 14.9 d ± 0.80 | 49.5 d ± 1.79 | 13.0 d ± 0.66 | 3.7 d ± 0.39 | 16.7 d ± 0.87 |
| Mi15→Pf | 32.0 e ± 1.89 | 15.5 e ± 0.63 | 47.5 e ± 2.10 | 25.5 e ± 1.32 | 10.3 e ± 0.67 | 35.8 e ± 1.37 | 10.7 e ± 0.70 | 2.7 e ± 0.47 | 13.4 e ± 0.71 |
| Pf15→Mi | 47.0 c ± 2.12 | 23.6 c ± 1.25 | 71.6 c ± 2.89 | 42.0 c ± 1.96 | 18.0 c ± 0.90 | 60.0 c ± 3.10 | 16.0 c ± 0.82 | 5.0 c ± 0.50 | 21.0 c ± 0.95 |
| UIC UUC | 26.2 f ± 1.67 54.7 b ± 2.42 | 12.3 f ± 0.90 26.5 b ± 1.20 | 38.5 f ± 2.00 81.2 b ± 3.15 | 23.0 f ± 1.30 50.7 b ± 2.16 | 8.5 f ± 0.42 22.3 b ± 1.12 | 31.5 f ± 1.35 73.2 b ± 3.57 | 7.9 f ± 0.48 19.4 b ± 0.96 | 1.4 f ± 0.57 7.0 b ± 0.51 | 9.3 f ± 0.53 26.4 b ± 1.20 |
| Treatment | Pollen Fertility (%) | Yield/Plant (g) | Chlorophyll Content (mg/g) | Carotenoid Content (mg/g) | NRA (nMg−1 h−1) |
|---|---|---|---|---|---|
| Pf | 91.6 a ± 3.00 | 385 a ± 11.42 | 2.95 a ± 0.046 | 0.924 a ± 0.007 | 332 a ± 9.22 |
| Pf + Mi | 72.0 d ± 2.62 | 250 d ± 8.65 | 2.12 d ± 0.048 | 0.689 d ± 0.011 | 250 d ± 6.89 |
| Mi15→Pf | 61.0 e ± 2.50 | 194 e ± 4.22 | 1.69 e ± 0.058 | 0.540 e ± 0.012 | 220 e ± 6.12 |
| Pf15→Mi | 79.4 c ± 2.75 | 300 c ± 9.00 | 2.32 c ± 0.043 | 0.816 c ± 0.009 | 285 c ± 7.50 |
| UIC UUC | 47.0 f ± 1.75 89.5 b ± 2.89 | 148 f ± 3.78 355 b ± 9.76 | 1.12 f ± 0.072 2.78 b ± 0.039 | 0.272 f ± 0.019 0.880 b ± 0.012 | 142 f ± 3.25 307 b ± 8.54 |
| Treatment | Eggmasses/Root | Eggs/Eggmass | Nematodepopulation/250 g Soil | Root-Knot Index |
|---|---|---|---|---|
| Pf | 0 e ± 0.00 | 0 e ± 0.00 | 0 e ± 0.00 | 0 e ± 0.00 |
| Pf + Mi | 94 c ± 2.45 | 160 c ± 2.50 | 790 c ± 19.20 | 2.0 c ± 0.13 |
| Mi15→Pf | 118 b ± 3.20 | 189 b ± 2.85 | 907 b ± 22.42 | 2.4 b ± 0.11 |
| Pf15→Mi | 64 d ± 1.89 | 118 d ± 3.82 | 640 d ± 17.50 | 1.4 d ± 0.15 |
| UIC UUC | 175 a ± 3.80 0 e ± 0.00 | 266 a ± 12.34 0 e ± 0.00 | 1608 a ± 32.34 0 e ± 00 | 5.0 a ± 0.57 0 e ± 0.00 |
Publisher’s Note: MDPI stays neutral with regard to jurisdictional claims in published maps and institutional affiliations. |
© 2021 by the authors. Licensee MDPI, Basel, Switzerland. This article is an open access article distributed under the terms and conditions of the Creative Commons Attribution (CC BY) license (https://creativecommons.org/licenses/by/4.0/).
Share and Cite
Noureldeen, A.; Asif, M.; Ansari, T.; Khan, F.; Shariq, M.; Ahmad, F.; Mfarrej, M.F.B.; Khan, A.; Tariq, M.; Siddiqui, M.A.; et al. Effect of Individual, Simultaneous and Sequential Inoculation of Pseudomonas fluorescens and Meloidogyne incognita on Growth, Biochemical, Enzymatic and Nonenzymatic Antioxidants of Tomato (Solanum lycopersicum L.). Plants 2021, 10, 1145. https://doi.org/10.3390/plants10061145
Noureldeen A, Asif M, Ansari T, Khan F, Shariq M, Ahmad F, Mfarrej MFB, Khan A, Tariq M, Siddiqui MA, et al. Effect of Individual, Simultaneous and Sequential Inoculation of Pseudomonas fluorescens and Meloidogyne incognita on Growth, Biochemical, Enzymatic and Nonenzymatic Antioxidants of Tomato (Solanum lycopersicum L.). Plants. 2021; 10(6):1145. https://doi.org/10.3390/plants10061145
Chicago/Turabian StyleNoureldeen, Ahmed, Mohd Asif, Taruba Ansari, Faryad Khan, Mohammad Shariq, Faheem Ahmad, Manar Fawzi Bani Mfarrej, Amir Khan, Moh Tariq, Mansoor Ahmad Siddiqui, and et al. 2021. "Effect of Individual, Simultaneous and Sequential Inoculation of Pseudomonas fluorescens and Meloidogyne incognita on Growth, Biochemical, Enzymatic and Nonenzymatic Antioxidants of Tomato (Solanum lycopersicum L.)" Plants 10, no. 6: 1145. https://doi.org/10.3390/plants10061145
APA StyleNoureldeen, A., Asif, M., Ansari, T., Khan, F., Shariq, M., Ahmad, F., Mfarrej, M. F. B., Khan, A., Tariq, M., Siddiqui, M. A., Al-Barty, A., & Darwish, H. (2021). Effect of Individual, Simultaneous and Sequential Inoculation of Pseudomonas fluorescens and Meloidogyne incognita on Growth, Biochemical, Enzymatic and Nonenzymatic Antioxidants of Tomato (Solanum lycopersicum L.). Plants, 10(6), 1145. https://doi.org/10.3390/plants10061145

