Application of Gamma Ray-Responsive Genes for Transcriptome-Based Phytodosimetry in Rice
Abstract
1. Introduction
2. Results and Discussion
2.1. Dose–Response Curves of the DNA Damage Response (DDR) in Rice after Gamma Irradiation
2.2. Transcriptional Changes of Rice Gamma Ray-Responsive Genes According to the Radiation Dose
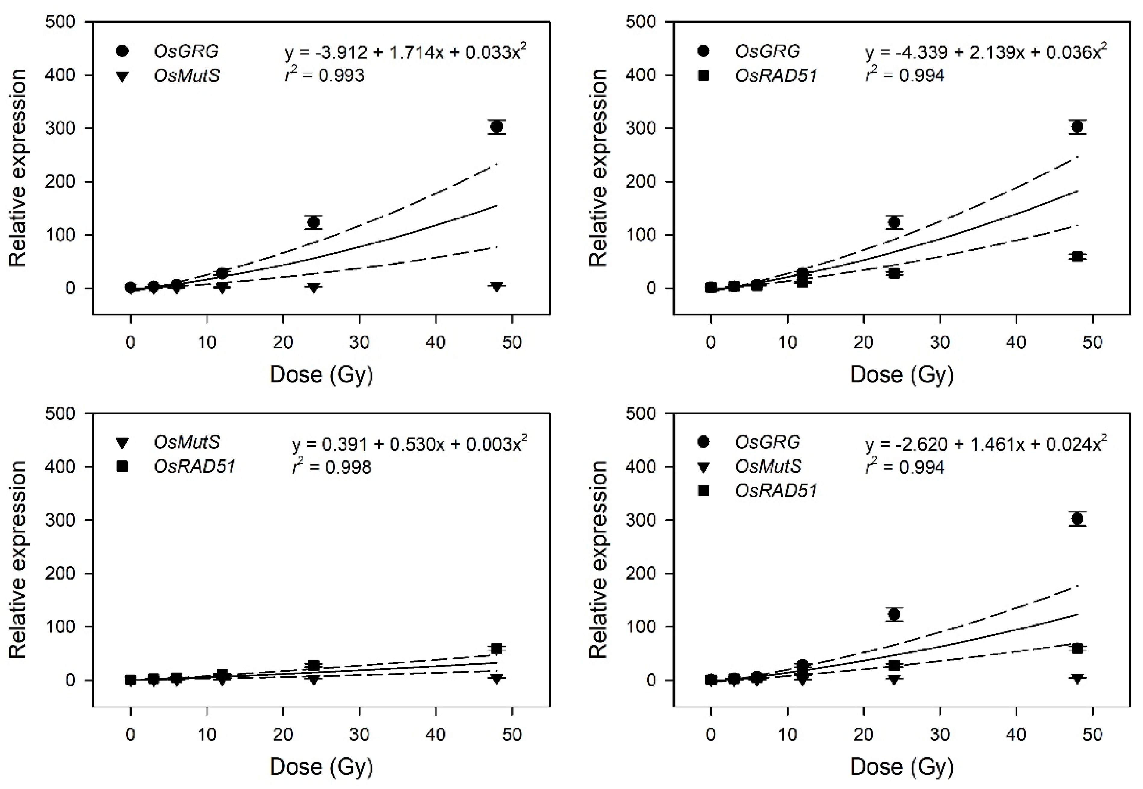
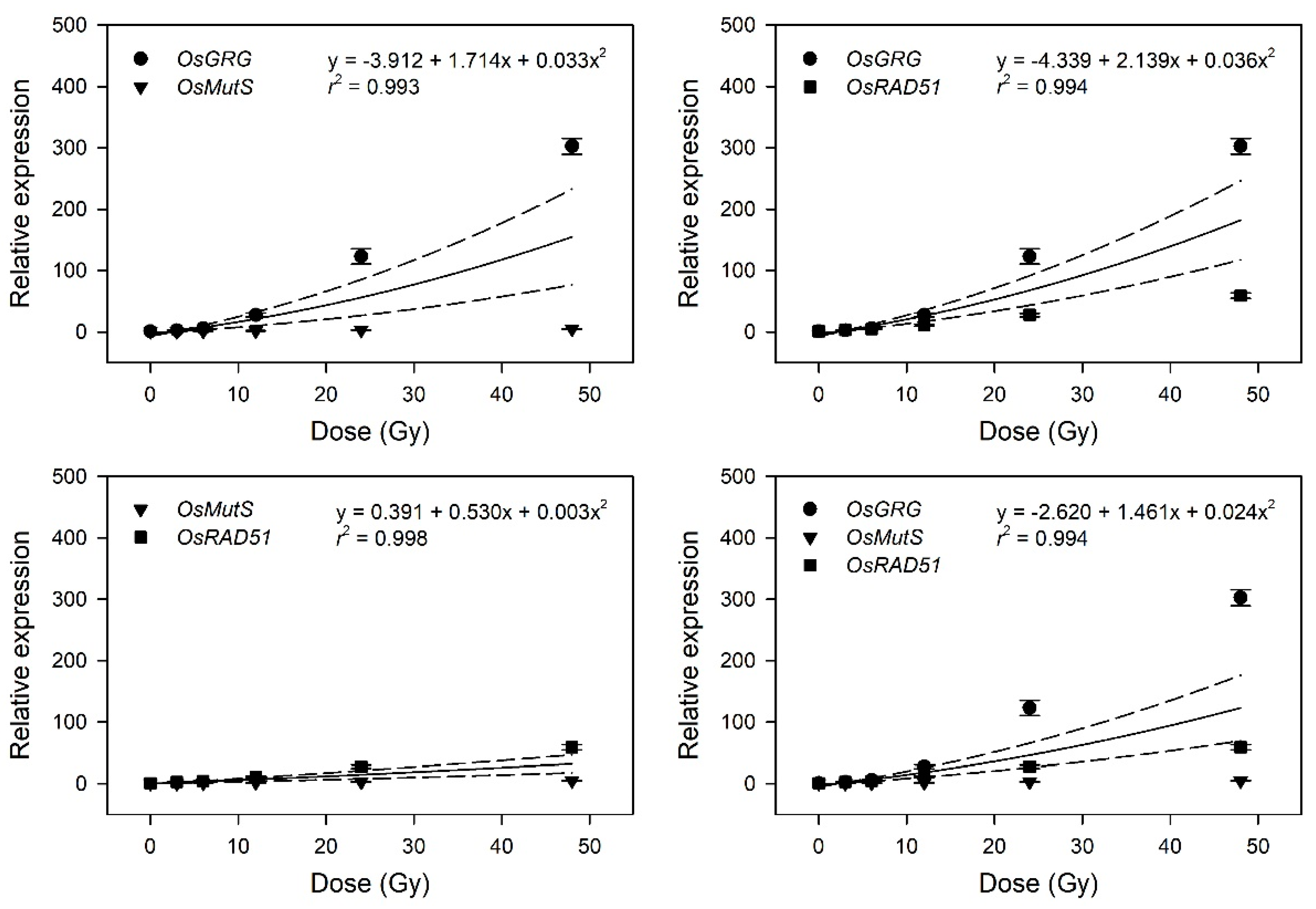
2.3. Dose–Response Curves of the Selected Gamma Ray-Responsive Genes in Rice after Gamma Irradiation
2.4. Distinctive Genotoxicity- and Transcriptome-Based Dose–Response Curves between Rice and Arabidopsis
2.5. Transcriptional Variation of the Selected Gamma-Ray-Responsive Genes in Rice and Arabidopsis at Different Developmental Stages
3. Materials and Methods
3.1. Plant Materials and Gamma Irradiation
3.2. γH2AX and Comet Assays
3.3. Quantitative Real-Time Polymerase Chain Reaction (RT-qPCR) Analysis
3.4. Statistical Analysis
4. Conclusions
Author Contributions
Funding
Institutional Review Board Statement
Informed Consent Statement
Data Availability Statement
Conflicts of Interest
References
- Dinis, M.L.; Fiúza, A. Exposure assessment to radionuclides transfer in food chain. In Multiple Stressors: A Challenge for the Future; Mothersill, C., Mosse, I., Seymour, C., Eds.; Springer: Dordrecht, The Netherlands, 2007; pp. 309–323. [Google Scholar]
- IAEA. Environmental and Source Monitoring for Purposes of Radiation Protection; International Atomic Energy Agency: Vienna, Austria, 2005. [Google Scholar]
- ICRP. Environmental Protection: The Concept and Use of Reference Animals and Plants, ICRP Publication 108. Ann. ICRP 2008, 38, 4–6. [Google Scholar]
- Ryu, T.H.; Kim, J.K.; Kim, J.I.; Kim, J.-H. Transcriptome-based biological dosimetry of gamma radiation in Arabidopsis using DNA damage response genes. J. Environ. Radioactiv. 2018, 181, 94–101. [Google Scholar] [CrossRef] [PubMed]
- Pernot, E.; Hall, J.; Baatout, S.; Benotmane, M.A.; Blanchardon, E.; Bouffler, S.; El Saghire, H.; Gomolka, M.; Guertler, A.; Harms-Ringdahl, M.; et al. Ionizing radiation biomarkers for potential use in epidemiological studies. Mutat. Res. 2012, 751, 258–286. [Google Scholar] [CrossRef]
- Rodrigues, G.S.; Ma, T.-H.; Pimentel, D.; Weinstein, L.H. Tradescantia bioassays as monitoring systems for environmental mutagenesis: A review. Crit. Rev. Plant Sci. 1997, 16, 325–359. [Google Scholar] [CrossRef]
- IAEA. Cytogenetic Dosimetry: Applications in Preparedness for and Response to Radiation Emergencies; International Atomic Energy Agency: Vienna, Austria, 2011. [Google Scholar]
- Garaj-Vrhovac, V.; Kopjar, N.; Razem, D.; Vekic, B.; Miljanic, S.; Ranogajec-Komor, M. Application of the alkaline comet assay in biodosimetry: Assessment of in vivo DNA damage in human peripheral leukocytes after a gamma radiation incident. Radiat. Prot. Dosim. 2002, 98, 407–416. [Google Scholar] [CrossRef] [PubMed]
- Horn, S.; Barnard, S.; Rothkamm, K. Gamma-H2AX-based dose estimation for whole and partial body radiation exposure. PLoS ONE 2011, 6, e25113. [Google Scholar] [CrossRef]
- Touil, N.; Aka, P.V.; Buchet, J.P.; Thierens, H.; Kirsch-Volders, M. Assessment of genotoxic effects related to chronic low level exposure to ionizing radiation using biomarkers for DNA damage and repair. Mutagenesis 2002, 17, 223–232. [Google Scholar] [CrossRef][Green Version]
- Zeegers, D.; Venkatesan, S.; Koh, S.W.; Low, G.K.; Srivastava, P.; Sundaram, N.; Sethu, S.; Banerjee, B.; Jayapal, M.; Belyakov, O.; et al. Biomarkers of Ionizing Radiation Exposure: A Multiparametric Approach. Genome Integr. 2017, 8, 6. [Google Scholar] [CrossRef]
- Hall, J.; Jeggo, P.A.; West, C.; Gomolka, M.; Quintens, R.; Badie, C.; Laurent, O.; Aerts, A.; Anastasov, N.; Azimzadeh, O.; et al. Ionizing radiation biomarkers in epidemiological studies—An update. Mutat. Res. 2017, 771, 59–84. [Google Scholar] [CrossRef]
- Kim, J.-H.; Kim, J.E.; Lee, M.H.; Lee, S.W.; Cho, E.J.; Chung, B.Y. Integrated analysis of diverse transcriptomic data from Arabidopsis reveals genetic markers that reliably and reproducibly respond to ionizing radiation. Gene 2013, 518, 273–279. [Google Scholar] [CrossRef] [PubMed]
- Wang, W.; Scheffler, K.; Esbensen, Y.; Eide, L. Quantification of DNA Damage by Real-Time qPCR. Methods Mol. Biol. 2016, 1351, 27–32. [Google Scholar] [CrossRef]
- Nelson, D.R.; Schuler, M.A.; Paquette, S.M.; Werck-Reichhart, D.; Bak, S. Comparative genomics of rice and Arabidopsis. Analysis of 727 cytochrome P450 genes and pseudogenes from a monocot and a dicot. Plant Physiol. 2004, 135, 756–772. [Google Scholar] [CrossRef] [PubMed]
- Paterson, A.H.; Bowers, J.E.; Chapman, B.A.; Peterson, D.G.; Rong, J.; Wicker, T.M. Comparative genome analysis of monocots and dicots, toward characterization of angiosperm diversity. Curr. Opin. Biotechnol. 2004, 15, 120–125. [Google Scholar] [CrossRef]
- Wu, Y.; Ma, X.; Pan, Z.; Kale, S.D.; Song, Y.; King, H.; Zhang, Q.; Presley, C.; Deng, X.; Wei, C.I.; et al. Comparative genome analyses reveal sequence features reflecting distinct modes of host-adaptation between dicot and monocot powdery mildew. BMC Genomics 2018, 19, 705. [Google Scholar] [CrossRef]
- Kim, J.-H. Functional characteristics of genome-wide rice transcriptomes responded to gamma radiation. J. Radiat. Ind. 2019, 13, 55–60. [Google Scholar]
- Esnault, M.-A.; Legue, F.; Chenal, C. Ionizing radiation: Advances in plant response. Environ. Exp. Bot. 2010, 68, 231–237. [Google Scholar] [CrossRef]
- Zheng, Y.; Sanche, L. Clustered DNA Damages induced by 0.5 to 30 eV Electrons. Int. J. Mol. Sci. 2019, 20, 3749. [Google Scholar] [CrossRef]
- Kim, J.H.; Ryu, T.H.; Lee, S.S.; Lee, S.; Chung, B.Y. Ionizing radiation manifesting DNA damage response in plants: An overview of DNA damage signaling and repair mechanisms in plants. Plant Sci. 2019, 278, 44–53. [Google Scholar] [CrossRef]
- Kim, J.-H.; Chung, B.Y.; Kim, J.-S.; Wi, S.G. Effects of in planta gamma-irradiation on growth, photosynthesis, and antioxidative capacity of red pepper (Capsicum annuum L.) plants. J. Plant Biol. 2005, 48, 47–56. [Google Scholar] [CrossRef]
- Kim, J.-H.; Moon, Y.R.; Lee, M.H.; Chung, B.Y. Change of chlorophyll fluorescence transients in Arabidopsis plants irradiated with low-dose radiation using a gamma phytotron. Int. J. Low Radiat. 2010, 7, 253–258. [Google Scholar] [CrossRef]
- Choi, S.H.; Ryu, T.H.; Kim, J.I.; Lee, S.; Lee, S.S.; Kim, J.H. Mutation in DDM1 inhibits the homology directed repair of double strand breaks. PLoS ONE 2019, 14, e0211878. [Google Scholar] [CrossRef]
- Friesner, J.D.; Liu, B.; Culligan, K.; Britt, A.B. Ionizing radiation-dependent gamma-H2AX focus formation requires ataxia telangiectasia mutated and ataxia telangiectasia mutated and Rad3-related. Mol. Biol. Cell 2005, 16, 2566–2576. [Google Scholar] [CrossRef] [PubMed]
- Menke, M.; Chen, I.; Angelis, K.J.; Schubert, I. DNA damage and repair in Arabidopsis thaliana as measured by the comet assay after treatment with different classes of genotoxins. Mutat. Res. 2001, 493, 87–93. [Google Scholar] [CrossRef]
- Georgieva, M.; Rashydov, N.M.; Hajduch, M. DNA damage, repair monitoring and epigenetic DNA methylation changes in seedlings of Chernobyl soybeans. DNA Repair 2017, 50, 14–21. [Google Scholar] [CrossRef] [PubMed]
- Aklilu, B.B.; Soderquist, R.S.; Culligan, K.M. Genetic analysis of the Replication Protein A large subunit family in Arabidopsis reveals unique and overlapping roles in DNA repair, meiosis and DNA replication. Nucleic Acids Res. 2014, 42, 3104–3118. [Google Scholar] [CrossRef]
- Chang, Y.; Gong, L.; Yuan, W.; Li, X.; Chen, G.; Li, X.; Zhang, Q.; Wu, C. Replication protein A (RPA1a) is required for meiotic and somatic DNA repair but is dispensable for DNA replication and homologous recombination in rice. Plant Physiol. 2009, 151, 2162–2173. [Google Scholar] [CrossRef]
- Culligan, K.M.; Hays, J.B. Arabidopsis MutS homologs-AtMSH2, AtMSH3, AtMSH6, and a novel AtMSH7-form three distinct protein heterodimers with different specificities for mismatched DNA. Plant Cell 2000, 12, 991–1002. [Google Scholar] [CrossRef]
- De Schutter, K.; Joubes, J.; Cools, T.; Verkest, A.; Corellou, F.; Babiychuk, E.; Van Der Schueren, E.; Beeckman, T.; Kushnir, S.; Inze, D.; et al. Arabidopsis WEE1 kinase controls cell cycle arrest in response to activation of the DNA integrity checkpoint. Plant Cell 2007, 19, 211–225. [Google Scholar] [CrossRef]
- Rajanikant, C.; Melzer, M.; Rao, B.J.; Sainis, J.K. Homologous recombination properties of OsRad51, a recombinase from rice. Plant Mol. Biol. 2008, 68, 479–491. [Google Scholar] [CrossRef]
- Seeliger, K.; Dukowic-Schulze, S.; Wurz-Wildersinn, R.; Pacher, M.; Puchta, H. BRCA2 is a mediator of RAD51- and DMC1-facilitated homologous recombination in Arabidopsis thaliana. N. Phytol. 2012, 193, 364–375. [Google Scholar] [CrossRef]
- Olive, P.L.; Banath, J.P.; Durand, R.E. Heterogeneity in radiation-induced DNA damage and repair in tumor and normal cells measured using the “comet” assay. 1990. Radiat. Res. 2012, 178, AV35–AV42. [Google Scholar] [CrossRef] [PubMed]
- Kim, J.-H.; Moon, Y.R.; Lee, M.H.; Kim, J.H.; Wi, S.G.; Park, B.J.; Kim, C.S.; Chung, B.Y. Photosynthetic capacity of Arabidopsis plants at the reproductive stage tolerates gamma irradiation. J. Radiat. Res. 2011, 52, 441–449. [Google Scholar] [CrossRef] [PubMed]
- Sidler, C.; Li, D.; Kovalchuk, O.; Kovalchuk, I. Development-dependent expression of DNA repair genes and epigenetic regulators in Arabidopsis plants exposed to ionizing radiation. Radiat. Res. 2015, 183, 219–232. [Google Scholar] [CrossRef]
- Song, J.; Bent, A.F. Microbial pathogens trigger host DNA double-strand breaks whose abundance is reduced by plant defense responses. PLoS Pathog. 2014, 10, e1004030. [Google Scholar] [CrossRef]
- Liu, W.; Saint, D.A. A new quantitative method of real time reverse transcription polymerase chain reaction assay based on simulation of polymerase chain reaction kinetics. Anal. Biochem. 2002, 302, 52–59. [Google Scholar] [CrossRef]







| Gene | Primer Sequence (Forward/Reverse) |
|---|---|
| OsACT1 (Os03g0718100) | 5′-CCTCTTCCAGCCTTCCTTCAT-3′/5′-ACGGCGATAACAGCTCCTCTT-3′ |
| OsBRCA2 (Os01g0164900) | 5′-GCAAAATGAAGTAGCTAAGAAG-3′/5′-GTCTGTGCGGTTGCTAAAGG-3′ |
| OsGRG (Os04g0403400) | 5′-CTACTGAAGCCAGAGCCGTTTC-3′/5′-CTAACGATGTCGCAGGCCTATC-3′ |
| OsH2A (Os03g0279200) | 5′-GCCGGGAAGTCCCCCAAGAAG-3′/5′-GACACAAGCACAGATCACAAGG-3′ |
| OsMutS (Os05g0498300) | 5′-ACTTGGTTGGAAAGGCCAATTC-3′/5′-TTCATTGGCTGACACCTGCTC-3′ |
| OsRAD51 (Os12g0497300) | 5′-CTTCAGGATACAGCATGAGTTTGC-3′/5′-GTACACCCCCGCTGAAACAC-3′ |
| OsRPA1 (Os03g0214100) | 5′-GTTCTCTCCAAGCCCACGAAC-3′/5′-TTGTACGTCCTCAGGTTGCC-3′ |
| OsUbi (Os01g0328400) | 5′-ACCACTTCGACCGCCACTACT-3′/5′-ACGCCTAAGCCTGCTGGTT-3′ |
| OsWEE1 (Os02g0135300) | 5′-CCATCTGCGAAAGAAGTCCTG-3′/5′-TTGGGGAGTTTCTCTTGGTG-3′ |
| AtACT2 (At3g18780) | 5′-GCCCAGAAGTCTTGTTCCA-3′/5′-CTTGGTGCAAGTGCTGTGAT-3′ |
| AtGRG (At4g22960) | 5′-AGGGTACAAAAGGGCTCACG-3′/5′-TGCGGAACAGGACACAAAGT-3′ |
| AtRAD51 (At5g20850) | 5′-TACCGCTCTCTACAGAACAG-3′/5′-ATTCTCTCCTCTGCTCTTCC-3′ |
| AtRPA1E (At4g19130) | 5′-TGGAGAAGTGACGACTGAAGC-3′/5′-ACCTCCAGTTGCGGAACAAT-3′ |
| AtPARP1 (At2g31320) | 5′-ACCCATCAGAGGCTCAAACA-3′/5′-ACGCATCTTGATTTGTTCCACA-3′ |
Publisher’s Note: MDPI stays neutral with regard to jurisdictional claims in published maps and institutional affiliations. |
© 2021 by the authors. Licensee MDPI, Basel, Switzerland. This article is an open access article distributed under the terms and conditions of the Creative Commons Attribution (CC BY) license (https://creativecommons.org/licenses/by/4.0/).
Share and Cite
Kim, J.-H.; Hwangbo, K.; Lee, E.; Dubey, S.K.; Chung, M.-S.; Chung, B.-Y.; Lee, S. Application of Gamma Ray-Responsive Genes for Transcriptome-Based Phytodosimetry in Rice. Plants 2021, 10, 968. https://doi.org/10.3390/plants10050968
Kim J-H, Hwangbo K, Lee E, Dubey SK, Chung M-S, Chung B-Y, Lee S. Application of Gamma Ray-Responsive Genes for Transcriptome-Based Phytodosimetry in Rice. Plants. 2021; 10(5):968. https://doi.org/10.3390/plants10050968
Chicago/Turabian StyleKim, Jin-Hong, Kwon Hwangbo, Eujin Lee, Shubham Kumar Dubey, Moon-Soo Chung, Byung-Yeoup Chung, and Sungbeom Lee. 2021. "Application of Gamma Ray-Responsive Genes for Transcriptome-Based Phytodosimetry in Rice" Plants 10, no. 5: 968. https://doi.org/10.3390/plants10050968
APA StyleKim, J.-H., Hwangbo, K., Lee, E., Dubey, S. K., Chung, M.-S., Chung, B.-Y., & Lee, S. (2021). Application of Gamma Ray-Responsive Genes for Transcriptome-Based Phytodosimetry in Rice. Plants, 10(5), 968. https://doi.org/10.3390/plants10050968

