Retrieval of Vegetation Indices Related to Leaf Water Content from a Single Index: A Case Study of Eucalyptus globulus (Labill.) and Pinus radiata (D. Don.)
Abstract
1. Introduction
2. Materials and Methods
2.1. Leaf Sampling
2.2. Reflectance Measurement and Dehydration Process
2.3. Moisture Content and Vegetation Indices
2.4. Vegetation Index Retrieval
2.5. Model Evaluation Metrics
2.6. Non-Water Content Related VIs
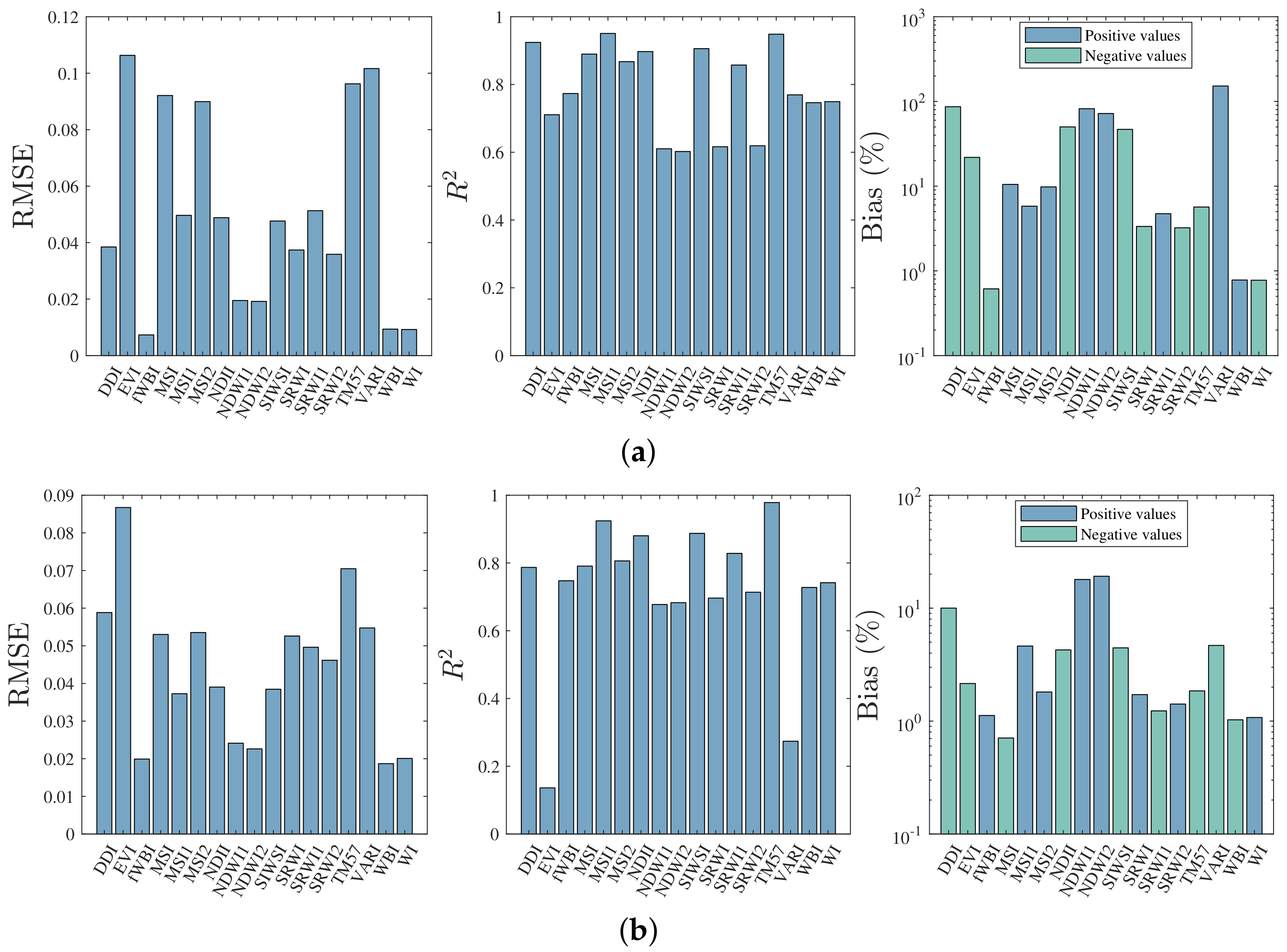
3. Results
3.1. Model Fitting
3.2. Retrieval of Non-Water Content Related VIs
4. Discussion
5. Conclusions
Author Contributions
Funding
Data Availability Statement
Acknowledgments
Conflicts of Interest
Abbreviations
| EM | Electromagnetic |
| FMC | Fuel Moisture Content |
| Coefficient of determination | |
| VI | Vegetation index |
Appendix A. Vegetation Indices Variation versus Fuel Moisture Content


References
- Lutz, D.A.; Washington-Allen, R.A.; Shugart, H.H. Remote sensing of boreal forest biophysical and inventory parameters: A review. Can. J. Remote Sens. 2008, 34, S286–S313. [Google Scholar] [CrossRef]
- Cârlan, I.; Mihai, B.A.; Nistor, C.; Große-Stoltenberg, A. Identifying urban vegetation stress factors based on open access remote sensing imagery and field observations. Ecol. Inform. 2020, 55, 101032. [Google Scholar] [CrossRef]
- Xue, J.; Su, B. Significant remote sensing vegetation indices: A review of developments and applications. J. Sens. 2017, 2017. [Google Scholar] [CrossRef]
- Freitas, W.; Gois, G.; Pereira, E.; Oliveira Junior, J.; Magalhães, L.; Brasil, F.; Sobral, B. Influence of fire foci on forest cover in the Atlantic Forest in Rio de Janeiro, Brazil. Ecol. Indic. 2020, 115, 106340. [Google Scholar] [CrossRef]
- Pôças, I.; Calera, A.; Campos, I.; Cunha, M. Remote sensing for estimating and mapping single and basal crop coefficientes: A review on spectral vegetation indices approaches. Agric. Water Manag. 2020, 106081. [Google Scholar] [CrossRef]
- Le Maire, G.; Francois, C.; Dufrene, E. Towards universal broad leaf chlorophyll indices using PROSPECT simulated database and hyperspectral reflectance measurements. Remote Sens. Environ. 2004, 89, 1–28. [Google Scholar] [CrossRef]
- Wang, Q.; Li, P. Hyperspectral indices for estimating leaf biochemical properties in temperate deciduous forests: Comparison of simulated and measured reflectance data sets. Ecol. Indic. 2012, 14, 56–65. [Google Scholar] [CrossRef]
- Li, F.; Miao, Y.; Feng, G.; Yuan, F.; Yue, S.; Gao, X.; Chen, X. Improving estimation of summer maize nitrogen status with red edge-based spectral vegetation indices. Field Crop. Res. 2014, 111–123. [Google Scholar] [CrossRef]
- Villacrés, J.; Arevalo-Ramirez, T.; Fuentes, A.; Reszka, P.; Cheein, F. Foliar moisture content from the spectral signature for wildfire risk assessments in Valparaíso-Chile. Sensors 2019, 19, 5475. [Google Scholar] [CrossRef]
- Arevalo-Ramirez, T.; Villacrés, J.; Fuentes, A.; Reszka, P.; Auat Cheein, F. Moisture content estimation of Pinus radiata and Eucalyptus globulus from reconstructed leaf reflectance in the SWIR region. Biosyst. Eng. 2020, 193, 187–205. [Google Scholar] [CrossRef]
- Gao, X.; Huete, A.R.; Ni, W.; Miura, T. Optical—Biophysical relationships of vegetation spectra without background contamination. Remote Sens. Environ. 2000, 74, 609–620. [Google Scholar] [CrossRef]
- Strachan, I.B.; Pattey, E.; Boisvert, J.B. Impact of nitrogen and environmental conditions on corn as detected by hyperspectral reflectance. Remote Sens. Environ. 2002, 80, 213–224. [Google Scholar] [CrossRef]
- Seelig, H.D.; Hoehn, A.; Stodieck, L.; Klaus, D.; Adams Iii, W.; Emery, W. The assessment of leaf water content using leaf reflectance ratios in the visible, near-, and short-wave-infrared. Int. J. Remote Sens. 2008, 29, 3701–3713. [Google Scholar] [CrossRef]
- Hunt Jr, E.R.; Rock, B.N. Detection of changes in leaf water content using near-and middle-infrared reflectances. Remote Sens. Environ. 1989, 30, 43–54. [Google Scholar] [CrossRef]
- Rock, B.; Vogelmann, J.; Williams, D.; Vogelmann, A.; Hoshizaki, T. Remote Detection of Forest Damage: Plant responses to stress may have spectral “signatures” that could be used to map, monitor, and measure forest damage. Bioscience 1986, 36, 439–445. [Google Scholar] [CrossRef]
- Hardisky, M.; Klemas, V.; Smart, M. The influence of soil salinity, growth form, and leaf moisture on the spectral radiance of. Spartina Alterniflora 1983, 49, 77–83. [Google Scholar]
- Gao, B.C. NDWI—A normalized difference water index for remote sensing of vegetation liquid water from space. Remote Sens. Environ. 1996, 58, 257–266. [Google Scholar] [CrossRef]
- Rodríguez-Pérez, J.R.; Riaño, D.; Carlisle, E.; Ustin, S.; Smart, D.R. Evaluation of hyperspectral reflectance indexes to detect grapevine water status in vineyards. Am. J. Enol. Vitic. 2007, 58, 302–317. [Google Scholar]
- Fensholt, R.; Sandholt, I. Derivation of a shortwave infrared water stress index from MODIS near-and shortwave infrared data in a semiarid environment. Remote Sens. Environ. 2003, 87, 111–121. [Google Scholar] [CrossRef]
- Zarco-Tejada, P.J.; Ustin, S. Modeling canopy water content for carbon estimates from MODIS data at land EOS validation sites. In Proceedings of the IGARSS 2001 Scanning the Present and Resolving the Future, IEEE 2001 International Geoscience and Remote Sensing Symposium (Cat. No. 01CH37217), Sydney, Australia, 9–13 July 2001; Volume 1, pp. 342–344. [Google Scholar]
- Elvidge, C.D.; Lyon, R.J. Estimation of the vegetation contribution to the 1· 65/2· 22 μm ratio in airborne thematic-mapper imagery of the Virginia Range, Nevada. Int. J. Remote Sens. 1985, 6, 75–88. [Google Scholar] [CrossRef]
- Gitelson, A.; Kaufman, Y.; Stark, R.; Rundquist, D. Novel algorithms for remote estimation of vegetation fraction. Remote Sens. Environ. 2002, 80, 76–87. [Google Scholar] [CrossRef]
- Peñuelas, J.; Filella, I.; Biel, C.; Serrano, L.; Save, R. The reflectance at the 950–970 nm region as an indicator of plant water status. Int. J. Remote Sens. 1993, 14, 1887–1905. [Google Scholar] [CrossRef]
- Peñuelas, J.; Pinol, J.; Ogaya, R.; Filella, I. Estimation of plant water concentration by the reflectance water index WI (R900/R970). Int. J. Remote Sens. 1997, 18, 2869–2875. [Google Scholar] [CrossRef]
- Dube, A.C.O.M.T. Remote sensing leaf water stress in coffee (Coffea arabica) using secondary effects of water absorption and random forests. Phys. Chem. Earth Parts A/B/C 2017, 317–324. [Google Scholar] [CrossRef]
- Huang, S.; Tang, L.; Hupy, J.P.; Wang, Y.; Shao, G. A commentary review on the use of normalized difference vegetation index (NDVI) in the era of popular remote sensing. J. For. Res. 2021, 32, 1–6. [Google Scholar] [CrossRef]
- Aparicio, N.; Villegas, D.; Casadesus, J.; Araus, J.; Royo, C. Spectral vegetation indices as nondestructive tools for determining durum wheat yield. Agron. J. 2000, 92, 83–91. [Google Scholar] [CrossRef]
- Gitelson, A.; Merzlyak, M.; Chivkunova, O. Optical properties and nondestructive estimation of anthocyanin content in plant leaves. Photochem. Photobiol. 2001, 74, 38–45. [Google Scholar] [CrossRef]
- Zarco-Tejada, P.; González-Dugo, V.; Berni, J. Fluorescence, temperature and narrow-band indices acquired from a UAV platform for water stress detection using a micro-hyperspectral imager and a thermal camera. Remote Sens. Environ. 2012, 117, 322–337. [Google Scholar] [CrossRef]
- Tucker, C. Red and photographic infrared linear combinations for monitoring vegetation. Remote Sens. Environ. 1979, 8, 127–150. [Google Scholar] [CrossRef]
- Stimson, H.; Breshears, D.; Ustin, S.; Kefauver, S. Spectral sensing of foliar water conditions in two co-occurring conifer species: Pinus edulis and Juniperus monosperma. Remote Sens. Environ. 2005, 96, 108–118. [Google Scholar] [CrossRef]
- Meo, M. Physiological responses of eucalyptus nitens × nitens under experimentally imposed water stress. South. For. 2010, 72, 63–68. [Google Scholar] [CrossRef]



| Instrument | Specifications | |
|---|---|---|
| Spectrometer | Model | Terraspec 4 Hi-Res |
| Manufacturer | ASD | |
| Range | 350–2500 nm | |
| Spectral resolution | 3 nm at 700 nm, 6 nm at 1400 nm | |
| Scale | Model | PFB 120-3 |
| Manufacturer | KERN | |
| Max. weighing | 120 g | |
| Reproducibility | 0.001 g | |
| Oven | Model | UN30 |
| Manufacturer | Memmert | |
| Range | 20 C to 30 C | |
| Temperature accuracy | up to 99.9 C: 0.1 |
| Acronym | Vegetation Index | Formulation | Source |
|---|---|---|---|
| DDI | Double Difference Index | [6,7] | |
| EVI | Enhanced Vegetation Index | [11] | |
| fWBI | Floating-position Water Band Index | [12] | |
| LWI | Leaf Water Index | [13] | |
| MSI | Moisture Stress Index | [14] | |
| MSI1 | Moisture Stress Index 1 | [15] | |
| MSI2 | Moisture Stress Index 2 | [15] | |
| NDII | Normalized Difference Infrared Index | [16] | |
| NDWI1 | Normalized Difference Water Index 1 | [17] | |
| NDWI2 | Normalized Difference Water Index 2 | [18] | |
| SIWSI | Shortwave Infrared Water Stress | [19] | |
| SRWI | Simple Ratio Water Index | [20] | |
| SRWI1 | Simple Ratio Water Index 1 | [18] | |
| SRWI2 | Simple Ratio Water Index 2 | [18] | |
| TM57 | Ratio of Thematic Mapper Band 5 to Band 7 | [21] | |
| VARI | Visible Atmospheric Resistant Index | [22] | |
| WBI | Water Band Index | [23] | |
| WI | Water Index | [24] |
| Acronym | Vegetation Index | Formulation | Source |
|---|---|---|---|
| NRI | Nitrogen reflectance index | [27] | |
| ARI | Anthocyanin reflectance index | [28] | |
| CI | Carotenoid Index | [29] | |
| NDVI | Normalized Difference Vegetation Index | [30] |
| Vegetation Index | P. radiata | E. globulus |
|---|---|---|
| DDI | 0.5263 | 0.7379 |
| EVI | 0.2898 | 0.2061 |
| fWBI | 0.6286 | 0.6567 |
| LWI | 0.7742 | 0.8699 |
| MSI | 0.6668 | 0.7892 |
| MSI1 | 0.6497 | 0.7637 |
| MSI2 | 0.6566 | 0.7559 |
| NDII | 0.6599 | 0.7600 |
| NDWI1 | 0.5702 | 0.6062 |
| NDWI2 | 0.5643 | 0.6042 |
| SIWSI | 0.6681 | 0.7696 |
| SRWI | 0.5710 | 0.6068 |
| SRWI1 | 0.7321 | 0.7818 |
| SRWI2 | 0.5733 | 0.6146 |
| TM57 | 0.6450 | 0.7497 |
| VARI | 0.5101 | 0.1525 |
| WBI | 0.6359 | 0.6606 |
| WI | 0.6344 | 0.6616 |
| Pinus radiata | Eucalyptus globulus | |||||
|---|---|---|---|---|---|---|
| RMSE | Bias (%) | RMSE | Bias (%) | |||
| NRI | 0.0338 | 0.9243 | −75.9749 | 0.0588 | 0.7870 | −9.9942 |
| ARI | 0.0073 | 0.7735 | −0.6143 | 0.0201 | 0.7475 | 1.0940 |
| CI | 0.0898 | 0.8898 | 10.2368 | 0.0530 | 0.7908 | −0.6564 |
| NDVI | 0.0464 | 0.9507 | 5.4369 | 0.0364 | 0.9244 | 4.5324 |
Publisher’s Note: MDPI stays neutral with regard to jurisdictional claims in published maps and institutional affiliations. |
© 2021 by the authors. Licensee MDPI, Basel, Switzerland. This article is an open access article distributed under the terms and conditions of the Creative Commons Attribution (CC BY) license (https://creativecommons.org/licenses/by/4.0/).
Share and Cite
Villacrés, J.; Fuentes, A.; Reszka, P.; Cheein, F.A. Retrieval of Vegetation Indices Related to Leaf Water Content from a Single Index: A Case Study of Eucalyptus globulus (Labill.) and Pinus radiata (D. Don.). Plants 2021, 10, 697. https://doi.org/10.3390/plants10040697
Villacrés J, Fuentes A, Reszka P, Cheein FA. Retrieval of Vegetation Indices Related to Leaf Water Content from a Single Index: A Case Study of Eucalyptus globulus (Labill.) and Pinus radiata (D. Don.). Plants. 2021; 10(4):697. https://doi.org/10.3390/plants10040697
Chicago/Turabian StyleVillacrés, Juan, Andrés Fuentes, Pedro Reszka, and Fernando Auat Cheein. 2021. "Retrieval of Vegetation Indices Related to Leaf Water Content from a Single Index: A Case Study of Eucalyptus globulus (Labill.) and Pinus radiata (D. Don.)" Plants 10, no. 4: 697. https://doi.org/10.3390/plants10040697
APA StyleVillacrés, J., Fuentes, A., Reszka, P., & Cheein, F. A. (2021). Retrieval of Vegetation Indices Related to Leaf Water Content from a Single Index: A Case Study of Eucalyptus globulus (Labill.) and Pinus radiata (D. Don.). Plants, 10(4), 697. https://doi.org/10.3390/plants10040697

