Preliminary Identification of Key Genes Controlling Peach Pollen Fertility Using Genome-Wide Association Study
Abstract
1. Background
2. Results
2.1. Phenotyping
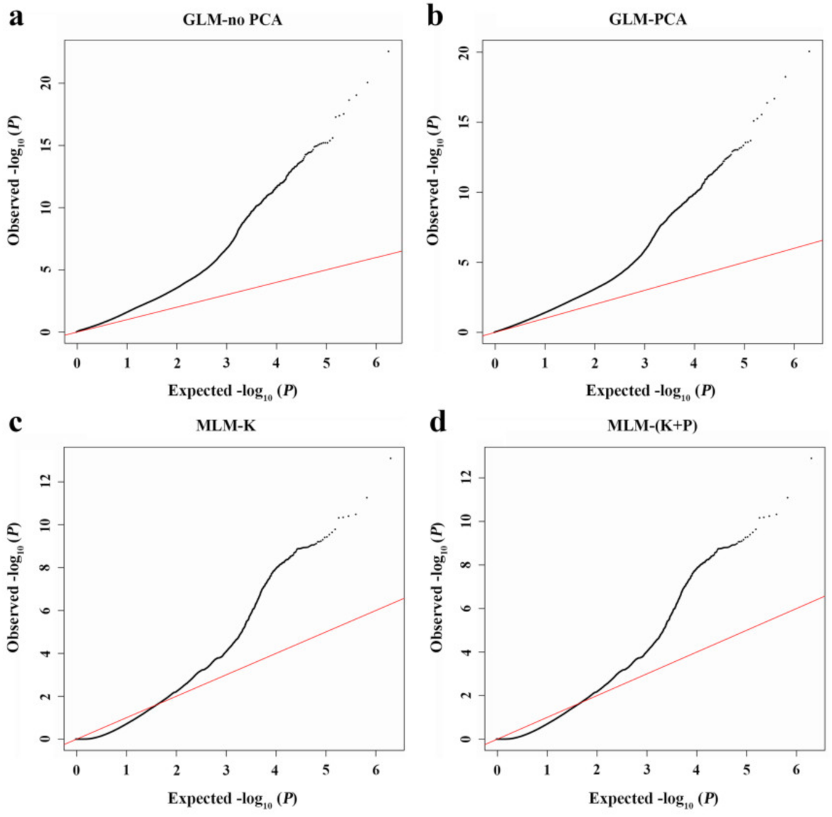
2.2. Candidate Gene Identification via GWAS
2.3. Candidate Gene Expression Analysis
2.4. Candidate Gene Sequence Analysis
3. Discussion
4. Materials and Methods
4.1. Plant Materials
4.2. Phenotyping
4.3. Nucleic Acid Isolation
4.4. DNA Sequencing and Association Study
4.5. Candidate Gene Sequence Analysis
4.6. Candidate Gene Expression Analysis
5. Conclusions
Supplementary Materials
Author Contributions
Funding
Institutional Review Board Statement
Informed Consent Statement
Data Availability Statement
Conflicts of Interest
References
- Kaul, M.L.H. Male Sterility in Higher Plants; Springer: New York, NY, USA, 1988; pp. 2–5. [Google Scholar]
- Wang, L.; Zhu, G.; Fang, W.; Cao, K.; Wang, X.; Chen, C.; Zhao, P.; Wang, X. Peach Genetic Resources in China; China Agricultural Press: Beijing, China, 2012; pp. 118–119. [Google Scholar]
- Goldberg, R.B.; Beals, T.P.; Sanders, P.M.; Goldberg, B.; Beals, T.P.; Sanders, P.M. Anther Development: Basic Principles and Practical Applications. Plant Cell 2015, 5, 1217–1229. [Google Scholar]
- Li, N.; Liu, H.; Yin, C.; Li, X.; Liang, W.; Yuan, Z.; Xu, B.; Chu, H.; Wang, J.; Wen, T.; et al. The Rice Tapetum Degeneration Retardation Gene Is Required for Tapetum Degradation and Anther Development. Plant Cell 2006, 18, 2999–3014. [Google Scholar] [CrossRef]
- Xu, J.; Yang, C.; Yuan, Z.; Zhang, D.; Gondwe, M.Y.; Ding, Z.; Liang, W.; Zhang, D.; Wilson, Z.A. The ABORTED MICROSPORES Regulatory Network Is Required for Postmeiotic Male Reproductive Development in Arabidopsis thaliana. Plant Cell 2010, 22, 91–107. [Google Scholar] [CrossRef]
- Jung, K.; Han, M.; Lee, Y.; Kim, Y.; Hwang, I.; Kim, M.; Kim, Y.; Nahm, B.H.; An, G. Rice Undeveloped Tapetum1 Is a Major Regulator of Early Tapetum Development. Plant Cell 2005, 17, 2705–2722. [Google Scholar] [CrossRef]
- Vizcay-barrena, G.; Wilson, Z.A. Altered tapetal PCD and pollen wall development in the Arabidopsis ms1 mutant. J. Exp. Bot. 2006, 57, 2709–2717. [Google Scholar] [CrossRef]
- Zhang, W.; Sun, Y.; Timofejeva, L.; Chen, C.; Grossniklaus, U.; Ma, H.; Cells, S.; Exs, E.M.S. Regulation of Arabidopsis tapetum development and function by DYSFUNCTIONAL TAPETUM1 (DYT1) encoding a putative bHLH transcription factor. Development 2006, 3095, 3085–3095. [Google Scholar] [CrossRef]
- Zhu, J.; Chen, H.; Li, H.; Gao, J.; Jiang, H.; Wang, C.; Guan, Y.; Yang, Z. Defective in Tapetal Development and Function 1 is essential for anther development and tapetal function for microspore maturation in Arabidopsis. Plant Cell 2008, 55, 266–277. [Google Scholar] [CrossRef] [PubMed]
- Wang, A.; Xia, Q.; Xie, W.; Dumonceaux, T.; Zou, J.; Datla, R.; Selvaraj, G. Male gametophyte development in bread wheat (Triticum aestivum L.): Molecular, cellular, and biochemical analyses of a sporophytic contribution to pollen wall ontogeny. Plant J. 2002, 30, 613–623. [Google Scholar] [CrossRef] [PubMed]
- Morant, M.; Schaller, H.; Pinot, F. CYP703 Is an Ancient Cytochrome P450 in Land Plants Catalyzing in-Chain Hydroxylation of Lauric Acid to Provide Building Blocks for Sporopollenin Synthesis in Pollen. Plant Cell 2007, 19, 1473–1487. [Google Scholar] [CrossRef] [PubMed]
- Dobritsa, A.A.; Shrestha, J.; Morant, M.; Pinot, F.; Matsuno, M.; Swanson, R.; Møller, B.L.; Preuss, D.; Frederiksberg, C.; Denmark, M.M.; et al. CYP704B1 Is a Long-Chain Fatty Acid v -Hydroxylase Essential for Sporopollenin Synthesis in Pollen. Plant Physiol. 2009, 151, 574–589. [Google Scholar] [CrossRef]
- Yang, X.; Liang, W.; Chen, M.; Zhang, D.; Zhao, X. Rice fatty acyl-CoA synthetase OsACOS12 is required for tapetum programmed cell death and male fertility. Planta 2017, 246, 105–122. [Google Scholar] [CrossRef] [PubMed]
- Zou, T.; Liu, M.; Xiao, Q.; Wang, T.; Chen, D.; Luo, T.; Yuan, G.; Li, Q.; Zhu, J.; Liang, Y.; et al. OsPKS2 is required for rice male fertility by participating in pollen wall formation. Plant Cell Rep. 2018, 37, 759–773. [Google Scholar] [CrossRef]
- Wang, K.; Guo, Z.; Zhou, W.; Zhang, C.; Zhang, Z.; Lou, Y.; Xiong, S.; Yao, X.; Fan, J.; Zhu, J.; et al. The Regulation of Sporopollenin Biosynthesis Genes for Rapid Pollen Wall Formation. Plant Physiol. 2018, 178, 283–294. [Google Scholar] [CrossRef]
- Quilichini, T.D.; Friedmann, M.C.; Samuels, A.L.; Douglas, C.J. ATP-Binding Cassette Transporter G26 Is Required for Male Fertility and Pollen Exine Formation. Plant Physiol. 2010, 154, 678–690. [Google Scholar] [CrossRef] [PubMed]
- Kuromori, T.; Ito, T.; Sugimoto, E.; Shinozaki, K. Arabidopsis mutant of AtABCG26, an ABC transporter gene, is defective in pollen maturation. J. Plant Physiol. 2011, 168, 2001–2005. [Google Scholar] [CrossRef] [PubMed]
- Choi, H.; Ohyama, K.; Kim, Y.; Jin, J.; Lee, S.B.; Yamaoka, Y.; Muranaka, T.; Suh, M.C.; Fujioka, S.; Lee, Y. The Role of Arabidopsis ABCG9 and ABCG31 ATP Binding Cassette Transporters in Pollen Fitness and the Deposition of Steryl Glycosides on the Pollen Coat. Plant Cell 2014, 26, 310–324. [Google Scholar] [CrossRef] [PubMed]
- Wu, L.; Guan, Y.; Wu, Z.; Yang, K.; Lv, J.; Converse, R. OsABCG15 encodes a membrane protein that plays an important role in anther cuticle and pollen exine formation in rice. Plant Cell Rep. 2014, 33, 1881–1899. [Google Scholar] [CrossRef]
- Chang, Z.; Chen, Z.; Yan, W.; Xie, G.; Lu, J.; Wang, N.; Lu, Q.; Yao, N.; Yang, G.; Xia, J.; et al. An ABC transporter, OsABCG26, is required for anther cuticle and pollen exine formation and pollen-pistil interactions in rice. Plant Sci. 2016, 253, 21–30. [Google Scholar] [CrossRef]
- Scott, D.H.; Weinberger, J.H. Inheritance of pollen sterility in some peach varieties. Proc. Am. Soc. Hortic. Sci. 1944, 9, 187–188. [Google Scholar]
- Zhang, L.; Xiao, X.; Wang, X.; Dai, G. Variability and Inheritance of Some Characters in Self-crossed Progeny of Okubo Peach Cultivar. J. Fruit Sci. 2004, 21, 308–310. [Google Scholar]
- Yu, M.; Ma, R.; Shen, Z.; Zhang, Z. Molecular Markers Linked to Specific Characteristics of Prunus Persica (L.) Bastch. Jiangsu Acta Hortic. Sin. 2004, 33, 511–517. [Google Scholar]
- Jun, J.H.; Chung, K.H.; Jeong, S.B.; Lee, H.J. An RAPD marker linked to the pollen sterility gene ps in peach (Prunus persica). J. Hortic. Sci. Biotechnol. 2004, 79, 587–590. [Google Scholar] [CrossRef]
- Dirlewanger, E.; Pronier, V.; Parvery, C.; Rothan, C.; Guye, A.; Monet, R. Genetic linkage map of peach [Prunus persica (L.) Batsch] using morphological and molecular markers. Theor. Appl. Genet. 1998, 97, 888–895. [Google Scholar] [CrossRef]
- Dirlewanger, E.; Cosson, P.; Boudehri, K.; Renaud, C.; Capdeville, G.; Tauzin, Y.; Laigret, F.; Moing, A. Development of a second-generation genetic linkage map for peach [Prunus persica (L.) Batsch] and characterization of morphological traits affecting flower and fruit. Tree Genet. Genomes 2006, 3, 1–13. [Google Scholar] [CrossRef]
- Cao, K.; Wang, S.; Zhu, G.; Fang, W.; Chen, C.; Wang, L. Study on Relationship Between Pollen Fertility and Anther Color and Its SSR Marker Screening in Peach. J. Plant Genet. Resour. 2010, 11, 817–822. [Google Scholar]
- Hall, D.; Tegström, C.; Ingvarsson, P.K. Using association mapping to dissect the genetic basis of complex traits in plants. Brief. Funct. Genom. Proteom. 2010, 9, 157–165. [Google Scholar] [CrossRef]
- Chen, Y. Dissection of Agronomic Traits in Crops by Association Mapping. In Diagnostics in Plant Breeding; Lübberstedt, T., Varshney, R., Eds.; Springer: Dordrecht, The Netherlands, 2013; pp. 119–142. [Google Scholar]
- Cao, K.; Zheng, Z.; Wang, L.; Liu, X.; Zhu, G.; Fang, W.; Cheng, S.; Zeng, P.; Chen, C.; Wang, X.; et al. Comparative population genomics reveals the domestication history of the peach, Prunus persica, and human influences on perennial fruit crops. Genome Biol. 2014, 15, 1–15. [Google Scholar] [CrossRef]
- Micheletti, D.; Dettori, M.T.; Micali, S.; Aramini, V.; Pacheco, I.; da Silva Linge, C.; Foschi, S.; Banchi, E.; Barreneche, T.; Quilot-Turion, B.; et al. Whole-genome analysis of diversity and SNP-major gene association in peach germplasm. PLoS ONE 2015, 10, 1–19. [Google Scholar] [CrossRef]
- Cao, K.; Zhou, Z.; Wang, Q.; Guo, J.; Zhao, P.; Zhu, G.; Fang, W.; Chen, C.; Wang, X.; Wang, X.; et al. Genome-wide association study of 12 agronomic traits in peach. Nat. Commun. 2016, 7, 1–10. [Google Scholar] [CrossRef]
- Yu, Y.; Fu, J.; Xu, Y.; Zhang, J.; Ren, F.; Zhao, H.; Tian, S.; Guo, W.; Tu, X.; Zhao, J.; et al. Genome re-sequencing reveals the evolutionary history of peach fruit edibility. Nat. Commun. 2018, 9, 1–13. [Google Scholar] [CrossRef]
- Meng, G.; Zhu, G.; Fang, W.; Chen, C.; Wang, X.; Wang, L.; Cao, K. Identification of loci for single/double flower trait by combining genome-wide association analysis and bulked segregant analysis in peach (Prunus persica). Plant Breed. 2019, 138, 360–367. [Google Scholar] [CrossRef]
- Li, Y.; Cao, K.; Zhu, G.; Fang, W.; Chen, C.; Wang, X.; Zhao, P.; Guo, J.; Ding, T.; Guan, L.; et al. Genomic analyses of an extensive collection of wild and cultivated accessions provide new insights into peach breeding history. Genome Biol. 2019, 20, 1–18. [Google Scholar] [CrossRef] [PubMed]
- Guo, J.; Cao, K.; Deng, C.; Li, Y.; Zhu, G.; Fang, W.; Chen, C.; Wang, X.; Wu, J.; Guan, L.; et al. An integrated peach genome structural variation map uncovers genes associated with fruit traits. Genome Biol. 2020, 21, 1–19. [Google Scholar] [CrossRef] [PubMed]
- Yadav, V.; Molina, I.; Ranathunge, K.; Castillo, I.Q.; Rothstein, S.J.; Reed, J.W. ABCG transporters are required for suberin and pollen wall extracellular barriers in Arabidopsis. Plant Cell 2014, 26, 3569–3588. [Google Scholar] [CrossRef] [PubMed]
- Zhao, G.; Shi, J.; Liang, W.; Zhang, D. ATP binding cassette G transporters and plant male reproduction. Plant Signal. Behav. 2016, 11, 1–6. [Google Scholar] [CrossRef][Green Version]
- Wang, L.; Zhu, G. Descriptors and Data Standard for Peach (Prunus persica L.); China Agricultural Press: Beijing, China, 2005; pp. 21–22. [Google Scholar]
- Verde, I.; Jenkins, J.; Dondini, L.; Micali, S.; Pagliarani, G.; Vendramin, E.; Paris, R.; Aramini, V.; Gazza, L.; Rossini, L.; et al. The Peach v2.0 release: High-resolution linkage mapping and deep resequencing improve chromosome-scale assembly and contiguity. BMC Genom. 2017, 18, 1–18. [Google Scholar] [CrossRef]
- Li, H.; Durbin, R. Fast and accurate long-read alignment with Burrows-Wheeler transform. Bioinformatics 2010, 26, 589–595. [Google Scholar] [CrossRef]
- McKenna, A.; Hanna, M.; Banks, E.; Sivachenko, A.; Cibulskis, K.; Kernytsky, A.; Garimella, K.; Altshuler, D.; Gabriel, S.; Daly, M.; et al. The genome analysis toolkit: A MapReduce framework for analyzing next-generation DNA sequencing data. Genome Res. 2010, 20, 1297–1303. [Google Scholar] [CrossRef]
- Bradbury, P.J.; Zhang, Z.; Kroon, D.E.; Casstevens, T.M.; Ramdoss, Y.; Buckler, E.S. TASSEL: Software for association mapping of complex traits in diverse samples. Bioinformatics 2007, 23, 2633–2635. [Google Scholar] [CrossRef]
- Turner, S.D. qqman: An R package for visualizing GWAS results using Q-Q and manhattan plots. J. Open Source Softw. 2018, 3, 731. [Google Scholar] [CrossRef]
- Wang, K.; Li, J.; Wang, L.; Li, M.; Fang, Q. Study on characteristics of flower bud differentiation of different peach species. J. Fruit Sci. 2006, 23, 809–813. [Google Scholar]






| Gene ID | Physical Position (bp) | Functional Annotation |
|---|---|---|
| Prupe.6G026600 | Chr.06: 2,092,736–2,096,757 | Heterogeneous nuclear ribonucleoprotein 1 |
| Prupe.6G026700 | Chr.06: 2,100,008–2,106,576 | Kinase-related protein of unknown function |
| Prupe.6G026800 | Chr.06: 2,106,907–2,110,035 | Nucleotide/sugar transporter family protein |
| Prupe.6G026900 | Chr.06: 2,111,266–2,114,599 | Coiled-coil domain-containing protein 22 |
| Prupe.6G027000 | Chr.06: 2,115,131–2,118,488 | ABC transporter G family member 26 |
| Prupe.6G027100 | Chr.06: 2,118,854–2,122,002 | Transmembrane protein 245 |
| Prupe.6G027200 | Chr.06: 2,122,159–2,125,309 | Protein CWC15 homolog A |
| Prupe.6G027300 | Chr.06: 2,132,488–2,134,587 | Viral IAP-associated factor homolog |
| Prupe.6G027400 | Chr.06: 2,135,267–2,145,546 | Mediator of RNA polymerase II transcription subunit 15a |
Publisher’s Note: MDPI stays neutral with regard to jurisdictional claims in published maps and institutional affiliations. |
© 2021 by the authors. Licensee MDPI, Basel, Switzerland. This article is an open access article distributed under the terms and conditions of the Creative Commons Attribution (CC BY) license (http://creativecommons.org/licenses/by/4.0/).
Share and Cite
Huang, Z.; Shen, F.; Chen, Y.; Cao, K.; Wang, L. Preliminary Identification of Key Genes Controlling Peach Pollen Fertility Using Genome-Wide Association Study. Plants 2021, 10, 242. https://doi.org/10.3390/plants10020242
Huang Z, Shen F, Chen Y, Cao K, Wang L. Preliminary Identification of Key Genes Controlling Peach Pollen Fertility Using Genome-Wide Association Study. Plants. 2021; 10(2):242. https://doi.org/10.3390/plants10020242
Chicago/Turabian StyleHuang, Zhenyu, Fei Shen, Yuling Chen, Ke Cao, and Lirong Wang. 2021. "Preliminary Identification of Key Genes Controlling Peach Pollen Fertility Using Genome-Wide Association Study" Plants 10, no. 2: 242. https://doi.org/10.3390/plants10020242
APA StyleHuang, Z., Shen, F., Chen, Y., Cao, K., & Wang, L. (2021). Preliminary Identification of Key Genes Controlling Peach Pollen Fertility Using Genome-Wide Association Study. Plants, 10(2), 242. https://doi.org/10.3390/plants10020242
