Physiological and Biochemical Responses of Tomato Plants Grafted onto Solanum pennellii and Solanum peruvianum under Water-Deficit Conditions
Abstract
:1. Introduction
2. Results and Discussion
2.1. Plant Water Status
2.2. Gas Exchange Measurements
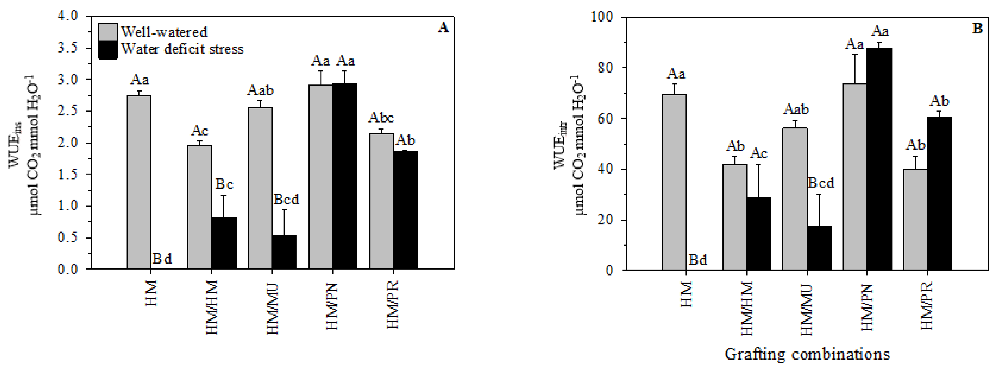
2.2.1. Instantaneous and Intrinsic Leaf Water Use Efficiency
2.2.2. Lipid Peroxidation and Amino Acids
3. Materials and Methods
3.1. Plant Material and Grafted Seedling Production
3.2. Experimental Design and Growth Conditions
3.3. Plant Water Status Determination
3.4. Gas Exchange Measurements
3.5. Instantaneous and Intrinsic Leaf Water Use Efficiency Calculation
3.6. Lipid Peroxidation Determination
3.7. Amino Acids Extraction and Derivatization
3.8. Amino Acids Analysis with Waters UPLC ESI MS-MS
3.9. Statistical Analysis
4. Conclusions
Author Contributions
Funding
Institutional Review Board Statement
Informed Consent Statement
Data Availability Statement
Acknowledgments
Conflicts of Interest
References
- FAOSTAT. Statistics Database. 2019. Available online: http://www.fao.org/faostat/en/#home (accessed on 11 October 2021).
- Sakya, A.T.; Sulistyaningsih, E.; Indradewa, D.; Purwanto, B.H. Physiological characters and tomato yield under drought stress. In Proceedings of the International Conference on Climate Change (ICCC 2018), Solo City, Indonesia, 27–28 November 2018; IOP Publishing: Bristol, UK, 2018; Volume 200, p. 012043. [Google Scholar] [CrossRef]
- Fahad, S.; Bajwa, A.A.; Nazir, U.; Anjum, S.A.; Farooq, A.; Zohaib, A.; Sadia, S.; Nasim, W.; Adkins, S.; Saud, S.; et al. Crop Production under Drought and Heat Stress: Plant Responses and Management Options. Front. Plant Sci. 2017, 8, 1147. [Google Scholar] [CrossRef] [Green Version]
- Omena Garcia, R.; Martins, A.; Medeiros, D.; Vallarino, J.; Ribeiro, D.; Fernie, A.; Araújo, W.; Nunes-Nesi, A. Growth and metabolic adjustments in response to gibberellin deficiency in drought stressed tomato plants. Environ. Exp. Bot. 2019, 159, 95–107. [Google Scholar] [CrossRef]
- Guida, G.; Sellami, M.H.; Mistretta, C.; Oliva, M.; Buonomo, R.; De Mascellis, R.; Patanè, C.; Rouphael, Y.; Albrizio, R.; Giorio, P. Agronomical, physiological and fruit quality responses of two Italian long-storage tomato landraces under rain-fed and full irrigation conditions. Agric. Water Manag. 2017, 180, 126–135. [Google Scholar] [CrossRef]
- Du, Q.; Xing, G.; Jiao, X.; Song, X.; Li, J. Stomatal responses to long-term high vapor pressure deficits mediated most limitation of photosynthesis in tomatoes. Acta Physiol. Plant. 2018, 40. [Google Scholar] [CrossRef]
- Giorio, P.; Guida, G.; Mistretta, C.; Sellami, M.H.; Oliva, M.; Punzo, P.; Iovieno, P.; Arena, C.; De Maio, A.; Grillo, S.; et al. Physiological, biochemical and molecular responses to water stress and rehydration in Mediterranean adapted tomato landraces. Plant Biol. 2018, 20, 995–1004. [Google Scholar] [CrossRef] [PubMed]
- Cantore, V.; Lechkar, O.; Karabulut, E.; Sellami, M.H.; Albrizio, R.; Boari, F.; Stellacci, A.; Todorovic, M. Agricultural Water Management Combined effect of deficit irrigation and strobilurin application on yield, fruit quality and water use efficiency of “cherry” tomato (Solanum lycopersicum L.). Agric. Water Manag. 2016, 167, 53–61. [Google Scholar] [CrossRef]
- Jangid, K.; Dwivedi, P. Physiological responses of drought stress in Tomato: A review. Int. J. Agric. Environ. Biotechnol. 2016, 9, 53–61. [Google Scholar] [CrossRef]
- Foolad, M.; Subbiah, P.; Kramer, C.; Hargrave, G.; Lin, G.Y. Genetic relationships among cold, salt and drought tolerance during seed germination in an interspecific cross of tomato. Euphytica 2003, 130, 199–206. [Google Scholar] [CrossRef]
- Marguerit, E.; Brendel, O.; Lebon, E.; Van Leeuwen, C.; Ollat, N. Rootstock control of scion transpiration and its acclimation to water deficit are controlled by different genes. New Phytol. 2012, 194, 416–429. [Google Scholar] [CrossRef]
- Rouphael, Y.; Cardarelli, M.; Colla, G.; Rea, E. Yield, Mineral Composition, Water Relations, and Water Use Efficiency of Grafted Mini-watermelon Plants Under Deficit Irrigation. HortScience 2008, 43, 730. [Google Scholar] [CrossRef] [Green Version]
- Sánchez-Rodríguez, E.; Rubio-Wilhelmi Mdel, M.; Blasco, B.; Leyva, R.; Romero, L.; Ruiz, J.M. Antioxidant response resides in the shoot in reciprocal grafts of drought-tolerant and drought-sensitive cultivars in tomato under water stress. Plant Sci. 2012, 188–189, 89–96. [Google Scholar] [CrossRef] [PubMed]
- Yao, X.; Yang, R.; Zhao, F.; Wang, S.; Li, C.; Zhao, W. An analysis of physiological index of differences in drought tolerance of tomato rootstock seedlings. J. Plant Biol. 2016, 59, 311–321. [Google Scholar] [CrossRef]
- Anjum, S.; Farooq, M.; Xie, X.-Y.; Liu, X.-J.; Ijaz, M. Antioxidant defense system and proline accumulation enables hot pepper to perform better under drought. Sci. Hortic. 2012, 140, 66–73. [Google Scholar] [CrossRef]
- Penella, C.; Nebauer, S.G.; Bautista, A.S.; López-Galarza, S.; Calatayud, Á. Rootstock alleviates PEG-induced water stress in grafted pepper seedlings: Physiological responses. J. Plant Physiol. 2014, 171, 842–851. [Google Scholar] [CrossRef]
- Sánchez-Rodríguez, E.; Romero, L.; Ruiz, J. Role of Grafting in Resistance to Water Stress in Tomato Plants: Ammonia Production and Assimilation. J. Plant Growth Regul. 2013, 32, 831–842. [Google Scholar] [CrossRef]
- Rao, E.S.; Kadirvel, P.; Symonds, R.C.; Ebert, A.W. Relationship between survival and yield related traits in Solanum pimpinellifolium under salt stress. Euphytica 2013, 190, 215–228. [Google Scholar] [CrossRef] [Green Version]
- Colla, G.; Rouphael, Y.; Leonardi, C.; Bie, Z.-L. Role of grafting in vegetable crops grown under saline conditions. Sci. Hortic. 2010, 127, 147–155. [Google Scholar] [CrossRef]
- Keatinge, J.D.H.; Lin, L.J.; Ebert, A.W.; Chen, W.Y.; Hughes, J.d.A.; Luther, G.C.; Wang, J.F.; Ravishankar, M. Overcoming biotic and abiotic stresses in the Solanaceae through grafting: Current status and future perspectives. Biol. Agric. Hortic. 2014, 30, 272–287. [Google Scholar] [CrossRef]
- Petran, A.; Hoover, E. Solanum torvum as a compatible rootstock in interspecific tomato grafting. J. Hortic. 2014, 103, 1–4. [Google Scholar] [CrossRef]
- Rick, C.M.; Tanksley, S.D. Genetic Variation in Solanum pennellii: Comparisons with Two Other Sympatric Tomato Species. Plant Syst. Evol. 1981, 139, 11–45. [Google Scholar] [CrossRef]
- Coneva, V.; Frank, M.H.; Balaguer, M.A.D.L.; Li, M.; Sozzani, R.; Chitwood, D.H. Genetic Architecture and Molecular Networks Underlying Leaf Thickness in Desert-Adapted Tomato Solanum Pennellii. Plant Physiol. 2017, 175, 376–391. [Google Scholar] [CrossRef] [Green Version]
- Peralta, I.E.; Spooner, D.; Knapp, S. Taxonomy of Wild Tomatoes and Their Relatives (Solanum sect. Lycopersicoides, sect. Juglandifolia, sect. Lycopersicon; Solanaceae). Syst. Bot. Monogr. 2008, 84, 1–186. [Google Scholar] [CrossRef]
- Solankey, S.S.; Singh, R.K.; Baranwal, D.K.; Singh, D.K. Genetic Expression of Tomato for Heat and Drought Stress Tolerance: An Overview. Int. J. Veg. Sci. 2015, 21, 496–515. [Google Scholar] [CrossRef]
- Gong, P.; Zhang, J.; Li, H.; Yang, C.; Zhang, C.; Zhang, X.; Khurram, Z.; Zhang, Y.; Wang, T.; Fei, Z.; et al. Transcriptional profiles of drought-responsive genes in modulating transcription signal transduction, and biochemical pathways in tomato. J. Exp. Bot. 2010, 61, 3563–3575. [Google Scholar] [CrossRef] [PubMed]
- Bogoslavsky, L.; Neumann, P.M. Rapid regulation by acid pH of cell wall adjustment and leaf growth in maize plants responding to reversal of water stress. Plant. Physiol. 1998, 118, 701–709. [Google Scholar] [CrossRef] [Green Version]
- Shangguan, Z.; Shao, M.; Dyckmans, J. Effects of nitrogen nutrition and water deficit on net photosynthetic rate and chlorophyll fluorescence in winter wheat. J. Plant Physiol. 2000, 156, 46–51. [Google Scholar] [CrossRef]
- Jongdee, B.; Fukai, S.; Cooper, M. Leaf water potential and osmotic adjustment as physiological traits to improve drought tolerance in rice. Field Crop. Res. 2002, 76, 153–163. [Google Scholar] [CrossRef]
- Haupt-Herting, S.; Fock, H.P. Oxygen exchange in relation to carbon assimilation in water-stressed leaves during photosynthesis. Ann. Bot. 2002, 89, 851–859. [Google Scholar] [CrossRef] [Green Version]
- Mishra, K.B.; Iannacone, R.; Petrozza, A.; Mishra, A.; Armentano, N.; La Vecchia, G.; Trtílek, M.; Cellini, F.; Nedbal, L. Engineered drought tolerance in tomato plants is reflected in chlorophyll fluorescence emission. Plant Sci. 2012, 182, 79–86. [Google Scholar] [CrossRef] [PubMed]
- Egea, I.; Albaladejo, I.; Meco, V.; Morales, B.; Sevilla, A.; Bolarin, M.C.; Flores, F.B. The drought-tolerant Solanum pennellii regulates leaf water loss and induces genes involved in amino acid and ethylene/jasmonate metabolism under dehydration. Sci. Rep. 2018, 8, 2791. [Google Scholar] [CrossRef]
- Boutraa, T.; Akhkha, A.; Al-Shoaibi, A.A.; Alhejeli, A.M. Effect of water stress on growth and water use efficiency (WUE) of some wheat cultivars (Triticum durum) grown in Saudi Arabia. J. Taibah Univ. Sci. 2010, 3, 39–48. [Google Scholar] [CrossRef] [Green Version]
- Sánchez-Rodríguez, E.; Rubio-Wilhelmi, M.M.; Cervilla, L.M.; Blasco, B.; Rios, J.J.; Rosales, M.A.; Romero, L.; Ruiz, J.M. Genotypic differences in some physiological parameters symptomatic for oxidative stress under moderate drought in tomato plants. Plant Sci. 2010, 178, 30–40. [Google Scholar] [CrossRef]
- Rahman, S.M.L.; Mackay, W.A.; Nawata, E.; Sakuratani, T.; Uddin, A.S.M.M.; Quebedeaux, B. Superoxide dismutase and stress tolerance of four tomato cultivars. HortScience 2004, 39, 983–986. [Google Scholar] [CrossRef] [Green Version]
- Lehmann, P.; Or, D. Effects of stomata clustering on leaf gas exchange. New Phytol 2015, 207, 1015–1025. [Google Scholar] [CrossRef] [PubMed]
- Morales, R.G.F.; Resende, L.V.; Bordini, I.C.; Galvão, A.G.; Rezende, F.C. Caracterização do tomateiro submetido ao déficit hídrico. Scientia Agraria 2015, 16, 9–17. [Google Scholar] [CrossRef]
- Jones, H.G. Stomatal control of photosynthesis and transpiration. J. Exp. Bot. 1998, 1, 387–398. [Google Scholar] [CrossRef]
- Sperry, J.S.; Hacke, U.G.; Oren, R.; Comstock, J.P. Water deficits and hydraulic limits to leaf water supply. Plant Cell Environ. 2002, 25, 251–263. [Google Scholar] [CrossRef]
- Flexas, J.; Bota, J.; Galmes, J.; Medrano, H.; Ribas-Carbó, M. Keeping a positive carbon balance under adverse conditions: Responses of photosynthesis and respiration to water stress. Physiol. Plant. 2006, 127, 343–352. [Google Scholar] [CrossRef]
- O’Connell, M.; Medina, A.; Peña, P.; Treviño, M. Molecular Genetics of Drought Resistance Response in Tomato and Related Species. Genet. Improv. Solanaceous Crop. 2006, 2, 261–283. [Google Scholar]
- López-Serrano, L.; Canet-Sanchis, G.; Vuletin Selak, G.; Penella, C.; San Bautista, A.; López-Galarza, S.; Calatayud, Á. Pepper Rootstock and Scion Physiological Responses Under Drought Stress. Front. Plant Sci 2019, 10, 38. [Google Scholar] [CrossRef] [Green Version]
- Weng, J.-H. The Role of Active and Passive Water Uptake in Maintaining Leaf Water Status and Photosynthesis in Tomato under Water Deficit. Plant Prod. Sci. 2000, 3, 296–298. [Google Scholar] [CrossRef]
- Poudyal, D.; Khatri, L.; Uptmoor, R. An Introgression of Solanum habrochaites in the Rootstock Improves Stomatal Regulation and Leaf Area Development of Grafted Tomatoes under Drought and Low Root-Zone-Temperatures. Adv. Crop Sci. Technol. 2015, 3, 1–11. [Google Scholar] [CrossRef] [Green Version]
- Liu, S.; Li, H.; Lv, X.; Ahammed, G.J.; Xia, X.; Zhou, J.; Shi, K.; Asami, T.; Yu, J.; Zhou, Y. Grafting cucumber onto luffa improves drought tolerance by increasing ABA biosynthesis and sensitivity. Sci. Rep. 2016, 6, 20212. [Google Scholar] [CrossRef] [Green Version]
- Zhang, J.; Jiang, H.; Song, X.; Jin, J.; Zhang, X. The responses of plant leaf CO2/H2O exchange and water use efficiency to drought: A meta-analysis. Sustainability 2018, 10, 551. [Google Scholar] [CrossRef] [Green Version]
- Cantero-Navarro, E.; Romero-Aranda, R.; Fernández-Muñoz, R.; Martínez-Andújar, C.; Pérez-Alfocea, F.; Albacete, A. Improving agronomic water use efficiency in tomato by rootstock-mediated hormonal regulation of leaf biomass. Plant Sci. 2016, 251, 90–100. [Google Scholar] [CrossRef] [PubMed]
- Garg, N.; Manchanda, G. ROS generation in plants: Boon or bane? Plant Biosyst. 2009, 143, 81–96. [Google Scholar] [CrossRef]
- Smirnoff, N. The role of active oxygen in the response of plants to water deficit and desiccation. New Phytol. 1993, 125, 27–58. [Google Scholar] [CrossRef]
- Farooq, M.; Wahid, A.; Lee, D.-J. Exogenously applied polyamines increase drought tolerance of rice by improving leaf water status, photosynthesis and membrane properties. Acta Physiol. Plant. 2009, 31, 937–945. [Google Scholar] [CrossRef]
- Moore, K.; Roberts, L.J. Measurement of lipid peroxidation. Free Radic. Res. 1998, 28, 659–671. [Google Scholar] [CrossRef]
- Liu, C.J.; Wang, H.R.; Wang, L.; Han, Y.Y.; Hao, J.H.; Fan, S.X. Effects of different types of polyamine on growth, physiological and biochemical nature of lettuce under drought stress. In Proceedings of the 4th International Conference on Agricultural and Biological Sciences, Hangzhou, China, 26–29 June 2018; IOP Publishing: Bristol, UK, 2018; pp. 1–11. [Google Scholar]
- Aghaie, P.; Tafreshi, S.A.H.; Ebrahimi, M.A.; Haerinasab, M. Tolerance evaluation and clustering of fourteen tomato cultivars grown under mild and severe drought conditions. Sci. Hortic. 2018, 232, 1–12. [Google Scholar] [CrossRef]
- Sánchez-Rodríguez, E.; Romero, L.; Ruiz, J.M. Accumulation of free polyamines enhances the antioxidant response in fruits of grafted tomato plants under water stress. J. Plant Physiol. 2016, 190, 72–78. [Google Scholar] [CrossRef]
- Fàbregas, N.; Fernie, A.R. The metabolic response to drought. J. Exp. Bot. 2019, 70, 1077–1085. [Google Scholar] [CrossRef] [Green Version]
- Hildebrandt, T.M.; Nesi, A.N.; Araújo, W.L.; Braun, H.P. Amino Acid Catabolism in Plants. Mol. Plant 2015, 8, 1563–1579. [Google Scholar] [CrossRef] [Green Version]
- Ximénez-Embún, M.G.; Ortego, F.; Castañera, P. Drought-Stressed Tomato Plants Trigger Bottom-Up Effects on the Invasive Tetranychus evansi. PLoS ONE 2016, 11, e0145275. [Google Scholar] [CrossRef] [Green Version]
- Bowne, J.B.; Erwin, T.A.; Juttner, J.; Schnurbusch, T.; Langridge, P.; Bacic, A.; Roessner, U. Drought responses of leaf tissues from wheat cultivars of differing drought tolerance at the metabolite level. Mol. Plant 2012, 5, 418–429. [Google Scholar] [CrossRef] [PubMed] [Green Version]
- Hildebrandt, T.M. Synthesis versus degradation: Directions of amino acid metabolism during Arabidopsis abiotic stress response. Plant Mol. Biol. 2018, 98, 121–135. [Google Scholar] [CrossRef]
- Kishor, P.B.K.; Sangam, S.; Amrutha, R.N.; Laxmi, P.S.; Naidu, K.R.; Rao, K.R.S.S.; Rao, S.; Reddy, K.J.; Theriappan, P.; Sreenivasulu, N. Regulation of proline biosynthesis, degradation, uptake and transport in higher plants: Its implications in plant growth and abiotic stress tolerance. Curr. Sci. 2005, 88, 424–438. [Google Scholar]
- Verbruggen, N.; Hermans, C. Proline accumulation in plants: A review. Amino Acids 2008, 35, 753–759. [Google Scholar] [CrossRef]
- Sharma, S.; Villamor, J.G.; Verslues, P.E. Essential role of tissue-specific proline synthesis and catabolism in growth and redox balance at low water potential. Plant Physiol. 2011, 157, 292–304. [Google Scholar] [CrossRef] [PubMed] [Green Version]
- Kaur, G.; Asthir, B. Proline: A key player in plant abiotic stress tolerance. Biol. Plant. 2015, 59, 609–619. [Google Scholar] [CrossRef]
- Mafakheri, A.; Siosemardeh, A.F.; Bahramnejad, B.; Struik, P.C.; Sohrabi, Y. Effect of drought stress on yield, proline and chlorophyll contents in three chickpea cultivars. Aust. J. Crop Sci. 2010, 4, 580–585. [Google Scholar]
- Bolarín, M.C.; Santa-Cruz, A.; Cayuela, E.; Perez-Alfocea, F. Short-term solute changes in leaves and roots of cultivated and wild tomato seedlings under salinity. J. Plant Physiol. 1995, 147, 463–468. [Google Scholar] [CrossRef]
- Santa-Cruz, A.; Acosta, M.; Rus, A.; Bolarin, M.C. Short-term salt tolerance mechanisms in differentially salt tolerant tomato species. Plant Physiol. Biochem. 1999, 37, 65–71. [Google Scholar] [CrossRef]
- Claussen, W. Proline as a measure of stress in tomato plants. Plant Sci. 2005, 168, 241–248. [Google Scholar] [CrossRef]
- Altunlu, H.; Gul, A. Increasing drought tolerance of tomato plants by grafting. Acta Hortic. 2012, 960, 183–190. [Google Scholar] [CrossRef]
- Tal, M.; Katz, A.; Heikin, H.; Dehan, K. Salt Tolerance in the Wild Relatives of the Cultivated Tomato: Proline Accumulation in Lycopersicon esculentum Mill., L. peruvianum Mill. and Solanum pennelli Cor. Treated with NaCl and Polyethylene Glycole. New Phytol. 1979, 82, 349–355. [Google Scholar] [CrossRef]
- Alian, A.; Altman, A.; Heuer, B. Genotypic difference in salinity and water stress tolerance of fresh market tomato cultivars. Plant Sci. 2000, 152, 59–65. [Google Scholar] [CrossRef]
- Rampino, P.; Pataleo, S.; Gerardi, C.; Mita, G.; Perrotta, C. Drought stress response in wheat: Physiological and molecular analysis of resistant and sensitive genotypes. Plant Cell Environ. 2006, 29, 2143–2152. [Google Scholar] [CrossRef]
- Zhang, Z.J.; Wang, Y.M.; Long, L.K.; Lin, Y.; Pang, J.S.; Liu, B. Tomato rootstock effects on gene expression patterns in eggplant scions. Russ. J. Plant Physiol. 2008, 55, 93–100. [Google Scholar] [CrossRef]
- Djidonou, D.; Xin, Z.; Eric, H.S.; Karen, E.K.; John, E.E. Yield, Water-, and Nitrogen-use Efficiency in Field-grown, Grafted Tomatoes. HortScience 2013, 48, 485–492. [Google Scholar] [CrossRef] [Green Version]
- De Oliveira Silva, F.M.; Lichtenstein, G.; Alseekh, S.; Rosado-Souza, L.; Conte, M.; Suguiyama, V.F.; Lira, B.S.; Fanourakis, D.; Usadel, B.; Bhering, L.L. The genetic architecture of photosynthesis and plant growth-related traits in tomato. Plant Cell Environ. 2018, 41, 327–341. [Google Scholar] [CrossRef]
- Sun, Q.; Wang, Y.; Chen, G.; Yang, H.; Du, T. Water use efficiency was improved at leaf and yield levels of tomato plants by continuous irrigation using semipermeable membrane. Agric. Water Manag. 2018, 203, 430–437. [Google Scholar] [CrossRef]
- Heath, R.L.; Packer, L. Photoperoxidation in isolated chloroplasts. I. Kinetics and stoichiometry of fatty acid peroxidation. Arch. Biochem. Biophys. 1968, 125, 189–198. [Google Scholar] [CrossRef]
- Joshi, V.; Joshi, M.; Silwal, D.; Noonan, K.; Rodriguez, S.; Penalosa, A. Systematized biosynthesis and catabolism regulate citrulline accumulation in watermelon. Phytochemistry 2019, 162, 129–140. [Google Scholar] [CrossRef] [PubMed]
- Song, Q.; Joshi, M.; DiPiazza, J.; Joshi, V. Functional relevance of citrulline in the vegetative tissues of watermelon during abiotic stresses. Front. Plant. Sci. 2020, 11, 512. [Google Scholar] [CrossRef] [PubMed]






| Response | SV 1 | DF 2 | p-Value | CV (%) 3 |
|---|---|---|---|---|
| Ψw (MPa) | Irrigation treatments (IT) | 1 | <0.001 | 6.52 |
| Grafting combinations (GC) | 4 | <0.001 | ||
| ITxGC | 4 | <0.001 | ||
| RWC (%) | Irrigation treatments (IT) | 1 | <0.001 | 6.21 |
| Grafting combinations (GC) | 4 | 0.478 | ||
| ITxGC | 4 | <0.001 | ||
| AN (µmol CO2 m−2 s−1) | Irrigation treatments (IT) | 1 | <0.001 | 21.87 |
| Grafting combinations (GC) | 4 | 0.001 | ||
| ITxGC | 4 | 0.022 | ||
| gs (mmol H2O m−2 s−1) | Irrigation treatments (IT) | 1 | <0.001 | 45.38 |
| Grafting combinations (GC) | 4 | 0.003 | ||
| ITxGC | 4 | 0.035 | ||
| E (mmol H2O m−2 s−1) | Irrigation treatments (IT) | 1 | <0.001 | 23.96 |
| Grafting combinations (GC) | 4 | <0.001 | ||
| ITxGC | 4 | 0.113 | ||
| WUEins (µmol CO2 mmol H2O−1) | Irrigation treatments (IT) | 1 | <0.001 | 21.91 |
| Grafting combinations (GC) | 4 | <0.001 | ||
| ITxGC | 4 | <0.001 | ||
| WUEintr. (µmol CO2 mmol H2O−1) | Irrigation treatments (IT) | 1 | <0.001 | 30.63 |
| Grafting combinations (GC) | 4 | <0.001 | ||
| ITxGC | 4 | <0.001 | ||
| MDA (µmol g−1 F.W.) | Irrigation treatments (IT) | 1 | <0.001 | 9.10 |
| Grafting combinations (GC) | 4 | <0.001 | ||
| ITxGC | 4 | <0.001 | ||
| Proline (µmol 10 g−1 F.W.) | Irrigation treatments (IT) | 1 | <0.001 | 42.18 |
| Grafting combinations (GC) | 4 | <0.001 | ||
| ITxGC | 4 | <0.001 | ||
| Histidine (µmol 10 g−1 F.W.) | Irrigation treatments (IT) | 1 | <0.001 | 46.22 |
| Grafting combinations (GC) | 4 | <0.001 | ||
| ITxGC | 4 | <0.001 | ||
| Arginine (µmol 10 g−1 F.W.) | Irrigation treatments (IT) | 1 | <0.001 | 40.72 |
| Grafting combinations (GC) | 4 | 0.006 | ||
| ITxGC | 4 | 0.0125 | ||
| Glutamine (µmol 10 g−1 F.W.) | Irrigation treatments (IT) | 1 | <0.001 | 43.56 |
| Grafting combinations (GC) | 4 | <0.001 | ||
| ITxGC | 4 | <0.001 | ||
| Valine (µmol 10 g−1 F.W.) | Irrigation treatments (IT) | 1 | <0.001 | 63.25 |
| Grafting combinations (GC) | 4 | 0.003 | ||
| ITxGC | 4 | 0.006 |
Publisher’s Note: MDPI stays neutral with regard to jurisdictional claims in published maps and institutional affiliations. |
© 2021 by the authors. Licensee MDPI, Basel, Switzerland. This article is an open access article distributed under the terms and conditions of the Creative Commons Attribution (CC BY) license (https://creativecommons.org/licenses/by/4.0/).
Share and Cite
Alves, F.M.; Joshi, M.; Djidonou, D.; Joshi, V.; Gomes, C.N.; Leskovar, D.I. Physiological and Biochemical Responses of Tomato Plants Grafted onto Solanum pennellii and Solanum peruvianum under Water-Deficit Conditions. Plants 2021, 10, 2236. https://doi.org/10.3390/plants10112236
Alves FM, Joshi M, Djidonou D, Joshi V, Gomes CN, Leskovar DI. Physiological and Biochemical Responses of Tomato Plants Grafted onto Solanum pennellii and Solanum peruvianum under Water-Deficit Conditions. Plants. 2021; 10(11):2236. https://doi.org/10.3390/plants10112236
Chicago/Turabian StyleAlves, Flávia Maria, Madhumita Joshi, Desire Djidonou, Vijay Joshi, Carlos Nick Gomes, and Daniel Ivan Leskovar. 2021. "Physiological and Biochemical Responses of Tomato Plants Grafted onto Solanum pennellii and Solanum peruvianum under Water-Deficit Conditions" Plants 10, no. 11: 2236. https://doi.org/10.3390/plants10112236
APA StyleAlves, F. M., Joshi, M., Djidonou, D., Joshi, V., Gomes, C. N., & Leskovar, D. I. (2021). Physiological and Biochemical Responses of Tomato Plants Grafted onto Solanum pennellii and Solanum peruvianum under Water-Deficit Conditions. Plants, 10(11), 2236. https://doi.org/10.3390/plants10112236

