Effect of Row Spacing and Seeding Rate on Russian Thistle (Salsola tragus) in Spring Barley and Spring Wheat
Abstract
1. Introduction
2. Results and Discussion
2.1. Russian Thistle Emergence and Mortality
2.2. Effects on Russian Thistle Seed Production and Plant Biomass
2.3. Effects on Crop Yield
3. Materials and Methods
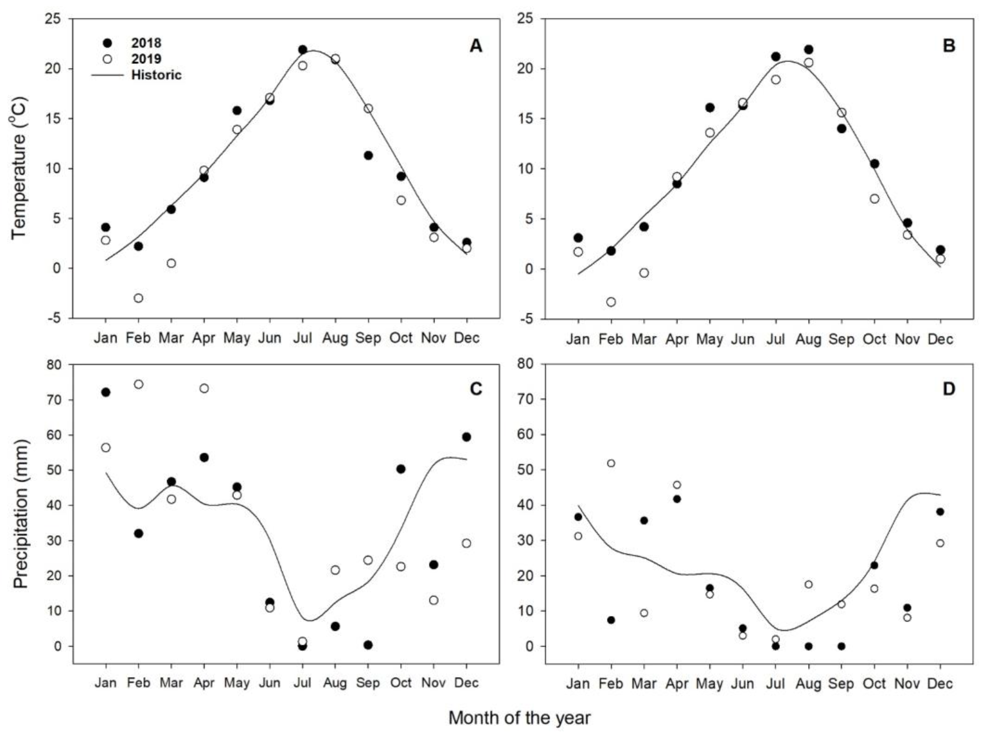
3.1. Location
3.2. Experimental Design
3.3. Data Collection
3.4. Statistical Analyses
4. Conclusions
Author Contributions
Funding
Institutional Review Board Statement
Informed Consent Statement
Data Availability Statement
Acknowledgments
Conflicts of Interest
References
- Beckie, H.J.; Francis, A. The biology of Canadian weeds. 65. Salsola tragus L. (updated). Can. J. Plant Sci. 2009, 89, 775–789. [Google Scholar] [CrossRef]
- Young, F.L. Effect of Russian thistle (Salsola iberica) interference on spring wheat (Triticum aestivum). Weed Sci. 1988, 36, 594–598. [Google Scholar] [CrossRef]
- Schillinger, W.F.; Young, F.L. Soil water use and growth of Russian thistle after wheat harvest. Agron. J. 2000, 92, 167–172. [Google Scholar] [CrossRef]
- Young, F.L. Russian thistle (Salsola iberica) growth and development in wheat (Triticum aestivum). Weed Sci. 1986, 34, 901–905. [Google Scholar] [CrossRef]
- Nakka, S.; Jugulam, M.; Peterson, D.; Asif, M. Herbicide resistance: Development of wheat production systems and current status of resistant weeds in wheat cropping systems. Crop J. 2019, 7, 750–760. [Google Scholar] [CrossRef]
- Barroso, J.; Gourlie, J.A.; Lutcher, L.K.; Liu, M.; Mallory-Smith, C.A. Identification of glyphosate resistance in Salsola tragus in north-eastern Oregon. Pest Manag. Sci. 2018, 74, 1089–1093. [Google Scholar] [CrossRef]
- Kumar, V.; Spring, J.F.; Jha, P.; Lyon, D.J.; Burke, I.C. Glyphosate-resistant Russian-thistle (Salsola tragus) identified in Montana and Washington. Weed Technol. 2017, 31, 238–251. [Google Scholar] [CrossRef]
- Davis, A.S.; Hill, J.D.; Chase, C.A.; Johanns, A.M.; Liebman, M. Increasing cropping system diversity balances productivity, profitability and environmental health. PLoS ONE 2012, 7, e47149. [Google Scholar] [CrossRef]
- Kinkegaard, J.A.; Chrisen, O.; Krupinsky, J.; Layzell, D. Break crop benefits in temperate wheat production. Field Crop. Res. 2008, 107, 185–195. [Google Scholar] [CrossRef]
- Van der Meulen, A.; Chauhan, B.S. A review of weed management in wheat using crop competition. Crop Prot. 2017, 95, 38–44. [Google Scholar] [CrossRef]
- Scott, B.J.; Martin, P.; Riethmuller, G.P. Graham Centre Monograph No. 3: Row Spacing of Winter Crops in Broad Scale Agriculture in Southern Australia; Nugent, T., Nicholls, C., Eds.; NSW Department of Primary Industries: Orange, NSW, Australia, 2013; p. 94. [Google Scholar]
- Solie, J.B.; Solomon, S.G., Jr.; Self, K.P.; Peeper, T.F.; Koscelny, J.A. Reduced row spacing for improved wheat yields in weed-free and weed-infested fields. Trans. ASABE 1991, 34, 1654–1660. [Google Scholar] [CrossRef]
- Paynter, B.H.; Hills, A.L. Barley and rigid ryegrass (Lolium rigidum) competition is influenced by crop cultivar and density. Weed Technol. 2009, 23, 40–48. [Google Scholar] [CrossRef]
- De Vita, P.; Colecchia, S.A.; Pecorella, I.; Saia, S. Reduced inter-row distance improves yield and competition against weeds in a semi-dwarf durum wheat variety. Eur. J. Agron. 2017, 85, 69–77. [Google Scholar] [CrossRef]
- Kolb, L.N.; Gallandt, E.R.; Molloy, T. Improving weed management in organic spring barley: Physical weed control vs. interspecific competition. Weed Res. 2010, 50, 597–605. [Google Scholar] [CrossRef]
- Kolb, L.N.; Gallandt, E.T.; Mallory, E.B. Impact of spring wheat planting density, row spacing, and mechanical weed control on yield, grain protein, and economic return in Maine. Weed Sci. 2012, 60, 244–253. [Google Scholar] [CrossRef]
- Borger, C.P.D.; Hashem, A.; Powles, S.C. Manipulating crop row orientation and crop density to suppress Lolium rigidum. Weed Res. 2015, 56, 22–30. [Google Scholar] [CrossRef]
- Bertholdsson, N.-O. Early vigour and allelopathy—Two useful traits for enhanced barley and wheat competitiveness against weeds. Weed Res. 2005, 45, 94–102. [Google Scholar] [CrossRef]
- López-Castañeda, C.; Richards, R.A. Variation in temperature cereals in rainfed environments II. Phasic development and growth. Field Crop. Res. 1994, 37, 63–75. [Google Scholar] [CrossRef]
- Woldeamlak, A.; Bastiaans, L.; Struik, P.C. Competition and niche differentiation in barley (Hordeum vulgare) and wheat (Triticum aestivum) mixtures under rainfed conditions in the Central Highlands of Eritrea. Neth. J. Agric. 2001, 49, 95–112. [Google Scholar] [CrossRef][Green Version]
- Genna, N.G.; Wuest, S.; Barroso, J. Russian-Thistle Ecology in Dryland Wheat Cropping Systems of the PNW. Status: Unpublished; article in preparation.
- Borger, C.P.D.; Riethmuller, G.; D’Antuono, M. Eleven years of integrated weed management: Long-term impacts of row spacing and harvest weed seed destruction on Lolium rigidum control. Weed Res. 2016, 56, 335–406. [Google Scholar] [CrossRef]
- López-Castañeda, C.; Richards, R.A. Variation in temperate cereals in rainfed environments I. Grain yield, biomass and agronomic characteristics. Field Crop. Res. 1994, 37, 51–62. [Google Scholar]
- Sardana, V.; Gulshan, M.; Jabran, K.; Chauhan, B.S. Role of competition in managing weeds: An introduction to the special issue. Crop Prot. 2017, 95, 1–7. [Google Scholar] [CrossRef]
- Kristensen, L.; Olsen, J.; Weiner, J. Crop density, sowing pattern, and nitrogen fertilization effects on weed suppression and yield in spring wheat. Weed Sci. 2008, 56, 97–102. [Google Scholar] [CrossRef]
- Wysocki, D.J.; Lutcher, L.K.; Horneck, D.A.; Hart, J.M.; Petrie, S.E. Fertilizer guide: Winter wheat and spring grains in continuous cropping systems. (Low precipitation zone). In Oregon State University Extension Service; Oregon State University: Corvallis, OR, USA, 2007; p. 81. [Google Scholar]
- Olsen, J.; Kristensen, L.; Weiner, J. Influence of sowing density and spatial pattern of spring wheat (Triticum aestivum) on the suppression of different weed species. Weed Biol. Manag. 2006, 6, 165–175. [Google Scholar] [CrossRef]
- Champion, G.T.; Froud-Williams, R.J.; Holland, J.M. Interactions between wheat (Triticum aestivum L.) cultivar, row spacing and density and the effect on weed suppression and crop yield. Ann. Appl. Biol. 1998, 133, 443–453. [Google Scholar] [CrossRef]


| Factor | Emergence (plants m−2) | Mortality (%) | Seed Production (seeds plant−1) | Plant Biomass (g) | Crop Yield (kg ha−1) |
|---|---|---|---|---|---|
| Year | * | ns | ns | ns | *** |
| 2018 | 37.8 (±23.9) a | 49.2 (±27.9) | 789 (±528) | 17.7 (±11.2) | 2997 (±1957) b |
| 2019 | 15.0 (±9.3) b | 35.2 (±26.8) | 838 (±911) | 22.8 (±21.0) | 3505 (±1220) a |
| Site | *** | ns | ** | ns | *** |
| Pendleton | 38.2 (±23.0) a | 38.7 (±26.4) | 715 (±536) b | 13.9 (±7.9) | 3811 (±1348) a |
| Moro | 15.1 (±10.6) b | 46.1 (±29.6) | 910 (±897) a | 26.6 (±21.0) | 2664 (±1738) b |
| Crop | * | * | ns | * | ns |
| SB | 24.4 (±20.0) b | 47.7 (±30.4) a | 604 (±467) | 14.4 (±10.2) b | 3789 (±1825) |
| SW | 29.4 (±22.5) a | 37.0 (±24.7) b | 1024 (±897) | 26.0 (±20.4) a | 2706 (±1228) |
| Year × Site | *** | * | *** | * | *** |
| Pendleton_18 | 55.5 (±20.4) a | 51.2 (± 24.9) a | 1054 (±540) a | 17.1 (±8.3) b | 4776 (±1095) a |
| Pendleton_19 | 21.4 (±7.7) b | 26.2 (±21.7) b | 376 (±234) b | 10.6 (±6.3) b | 2846 (±758) b |
| Moro_18 | 20.7 (±10.4) b | 47.2 (±30.9) a | 516 (±355) b | 18.3 (±13.6) b | 1218 (±230) c |
| Moro_19 | 9.1 (±6.2) c | 44.9 (±28.6) a | 1331 (±1097) a | 34.9 (±24.5) a | 4207 (±1235) a |
| Year × Crop | ns | * | *** | ** | ** |
| SB_18 | 34.0 (±23.2) | 59.2 (±26.7) a | 698 (±528) cb | 14.1 (±9.2) b | 3493 (±2216) b |
| SB_19 | 14.8 (±9.3) | 36.1 (±29.8) b | 511 (±382) c | 14.7 (±11.2) b | 4086 (±1296) a |
| SW_18 | 41.7 (±24.3) | 39.1 (±25.8) b | 872 (±522) b | 21.2 (±12.0) b | 2501 (±1538) c |
| SW_19 | 16.2 (±9.5) | 34.9 (±23.6) b | 1243 (±1161) a | 30.8 (±26.1) a | 2911 (±752) c |
| Year × Site × Crop | ns | ns | ** | * | *** |
| Pendleton_18_SB | 50.2 (±21.0) | 64.7 (±20.8) | 993 (±544) b | 17.7 (±8.4) bc | 5611 (±734) a |
| Pendleton_18_SW | 59.8 (±20.3) | 37.6 (±21.4) | 1114 (±549) b | 16.5 (±7.8) bc | 3941 (±671) c |
| Pendleton_19_SB | 21.6 (±6.7) | 26.7 (±24.1) | 345 (±208) c | 6.9 (±6.4) c | 3308 (±709) c |
| Pendleton_19_SW | 21.2 (±8.9) | 25.7 (±19.6) | 407 (±261) c | 14.4 (±6.2) bc | 2384 (±482) d |
| Moro_18_SB | 17.7 (±10.6) | 53.7 (±31.1) | 402 (±309) c | 10.6 (±10.0) bc | 1375 (±203) e |
| Moro_18_SW | 23.6 (±10.6) | 40.7 (±30.2) | 629 (±370) bc | 26.0 (±15.1) b | 1060 (±124) e |
| Moro_19_SB | 8.0 (±5.8) | 45.6 (±32.6) | 677 (±447) bc | 22.6 (±12.6) bc | 4864 (±1294) b |
| Moro_19_SW | 10.5 (±6.6) | 44.1 (±24.5) | 2078 (±1152) a | 46.8 (±25.8) a | 3439 (±577) c |
| Factor | Emergence (plants m−2) | Mortality (%) | Seed Production (seeds plant−1) | Plant Biomass (g) | Crop Yield (kg ha−1) | Factor | Emergence (plants m−2) | Mortality (%) | Seed Production (seeds plant−1) | Plant Biomass (g) | Crop Yield (kg ha−1) |
|---|---|---|---|---|---|---|---|---|---|---|---|
| Pendleton 2018 | SB | SW | |||||||||
| Density | Density | ||||||||||
| Low | 27.6 (±8.4) | 67.0 (±22.9) | 1130 (±615) | 16.5 (±8.4) | 5298 (±919) * | Low | 29.8 (±9.2) | 34.5 (±23.2) | 1240 (±563) | 21.4 (±8.7) | 3615 (±826) * |
| High | 22.7 (±12.3) | 62.3 (±19.8) | 856 (±460) | 13.8 (±8.8) | 5923 (±294) * | High | 30.0 (±11.7) | 40.7 (±20.6) | 988 (±539) | 16.6 (±6.6) | 4265 (±202) * |
| Row | Row | ||||||||||
| Narrow | 19.7 (±7.3) | 68.0 (±25.2) | 1153 (±361) | 17.0 (±7.5) | 5652 (±434) | Narrow | 26.3 (±8.3) | 43.8 (±17.5) | 1186 (±582) | 20.1 (±9.4) | 4165 (±333) |
| Wide | 30.5 (±10.7) | 61.4 (±16.3) | 834 (±667) | 13.3 (±9.5) | 5569 (±981) | Wide | 33.5 (±11.1) | 31.5 (±24.3) | 1043 (±542) | 17.9 (±6.4) | 3715 (±858) |
| Moro 2018 | SB | SW | |||||||||
| Density | Density | ||||||||||
| Low | 8.2 (±4.6) | 38.9 (±29.3) | 479 (±380) | 15.8 (±12.5) | 1367 (±137) | Low | 9.5 (±4.3) | 22.0 (±28.5) ** | 770 (±346) | 30.6 (±13.8) | 1074 (±156) |
| High | 9.5 (±6.2) | 68.5 (±26.9) | 326 (±215) | 10.5 (±6.5) | 1382 (±262) | High | 14.2 (±5.4) | 59.3 (±18.9) ** | 488 (±358) | 16.3 (±13.3) | 1046 (±90) |
| Row | Row | ||||||||||
| Narrow | 10.8 (±6.4) | 59.9 (±27.7) | 384 (±270) | 13.3 (±9.7) | 1277 (±213) * | Narrow | 10.9 (±5.5) | 45.2 (±33.9) | 591 (±308) | 23.7 (±17.6) | 1115 (±134) |
| Wide | 6.9 (±3.2) | 47.5 (±35.1) | 421 (±361) | 12.9 (±11.0) | 1472 (±144) * | Wide | 12.8 (±5.3) | 36.2 (±27.6) | 668 (±442) | 23.3 (±13.2) | 1005 (±89) |
| Pendleton 2019 | SB | SW | |||||||||
| Density | Density | ||||||||||
| Low | 24.9 (±9.6) * | 33.5 (±21.7) | 363 (±288) | 11.4 (±7.9) | 2941 (±316) * | Low | 24.0 (±9.6) | 31.5 (±21.7) | 474 (±288) | 13.9 (±7.0) | 2487 (±316) |
| High | 18.4 (±7.6) * | 19.8 (±16.7) | 328 (±228) | 7.4 (±3.8) | 3674 (±610) * | High | 18.5 (±7.6) | 19.8 (±16.7) | 340 (±228) | 9.9 (±4.9) | 2281 (±610) |
| Row | Row | ||||||||||
| Narrow | 22.9 (±7.8) | 22.6 (±22.5) | 310 (±229) | 8.5 (±6.2) | 3485 (±769) | Narrow | 26.6 (±9.0) * | 22.2 (±19.6) | 295 (±150) | 9.1 (±3.7) | 2417 (±485) |
| Wide | 20.4 (±5.5) | 30.8 (±26.5) | 380 (±193) | 10.3 (±6.7) | 3129 (±643) | Wide | 15.8 (±4.6) * | 29.1 (±20.3) | 519 (±306) | 14.7 (±7.2) | 2350 (±508) |
| Moro 2019 | SB | SW | |||||||||
| Density | Density | ||||||||||
| Low | 8.6 (±6.2) | 44.2 (±34.4) | 739 (±373) | 20.5 (±9.4) | 5373 (±804) * | Low | 11.7 (±6.7) | 44.2 (±31.7) | 1894 (±1226) | 49.9 (±32.7) | 3339 (±726) ** |
| High | 7.4 (±5.7) | 47.0 (±33.0) | 614 (±528) | 19.6 (±15.8) | 4355 (±1533) * | High | 9.3 (±6.9) | 43.9 (±17.3) | 2263 (±1136) | 49.1 (±19.2) | 3574 (±403) ** |
| Row | Row | ||||||||||
| Narrow | 6.2 (±5.3) | 34.9 (±33.8) | 643 (±551) | 18.0 (±13.9) | 4590 (±1690) | Narrow | 5.4 (±4.3) * | 32.3 (±27.4) | 1858 (±1238) | 42.4 (±17.2) | 3138 (±651) |
| Wide | 9.8 (±6.1) | 56.2 (±29.6) | 711 (±347) | 22.1 (±11.6) | 5137 (±749) | Wide | 15.6 (±3.7) * | 55.8 (±15.1) | 2298 (±1108) | 56.6 (±32.0) | 3775 (±248) |
| Site | Crop | p-Value |
|---|---|---|
| Pendleton | Spring wheat | 0.374 |
| Spring barley | 0.820 | |
| Moro | Spring wheat | 0.700 |
| Spring barley | 0.219 |
Publisher’s Note: MDPI stays neutral with regard to jurisdictional claims in published maps and institutional affiliations. |
© 2021 by the authors. Licensee MDPI, Basel, Switzerland. This article is an open access article distributed under the terms and conditions of the Creative Commons Attribution (CC BY) license (http://creativecommons.org/licenses/by/4.0/).
Share and Cite
Barroso, J.; Genna, N.G. Effect of Row Spacing and Seeding Rate on Russian Thistle (Salsola tragus) in Spring Barley and Spring Wheat. Plants 2021, 10, 126. https://doi.org/10.3390/plants10010126
Barroso J, Genna NG. Effect of Row Spacing and Seeding Rate on Russian Thistle (Salsola tragus) in Spring Barley and Spring Wheat. Plants. 2021; 10(1):126. https://doi.org/10.3390/plants10010126
Chicago/Turabian StyleBarroso, Judit, and Nicholas G. Genna. 2021. "Effect of Row Spacing and Seeding Rate on Russian Thistle (Salsola tragus) in Spring Barley and Spring Wheat" Plants 10, no. 1: 126. https://doi.org/10.3390/plants10010126
APA StyleBarroso, J., & Genna, N. G. (2021). Effect of Row Spacing and Seeding Rate on Russian Thistle (Salsola tragus) in Spring Barley and Spring Wheat. Plants, 10(1), 126. https://doi.org/10.3390/plants10010126

