Multichannel Sensorimotor Integration with a Dexterous Artificial Hand
Abstract
1. Introduction
2. Materials and Methods
2.1. Human Subjects
2.2. Robotic System Hardware
2.3. ROS Network Configuration Overview
2.4. Classifying Context-Dependent Slip Sensations from Two Fingertips Simultaneously
2.5. Haptic Encoding of Task-Relevant Slip Sensations from Two Fingertips Simultaneously
2.6. Overview of Situationally Aware Multichannel Sensorimotor Integration Experiments for Simultaneous Slip Control
2.6.1. Training for Simultaneous EMG Slip Control
2.6.2. EMG Control Algorithms for Simultaneous Slip Prevention
2.6.3. Learning Context-Dependent Multi-Digit Haptic Feedback
2.6.4. Multichannel Sensorimotor Integration
3. Results
3.1. Multichannel Sensorimotor Integration Success Rate
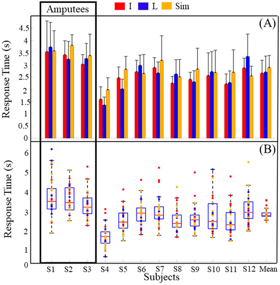
3.2. Response Time to Multichannel Haptic Feedback
4. Discussion
5. Conclusions
Supplementary Materials
Author Contributions
Funding
Data Availability Statement
Conflicts of Interest
References
- Sensinger, J.W.; Dosen, S. A review of sensory feedback in upper-limb prostheses from the perspective of human motor control. Front. Neurosci. 2020, 14, 345. [Google Scholar] [CrossRef] [PubMed]
- Abd, M.A.; Gonzalez, I.J.; Colestock, T.C.; Kent, B.A.; Engeberg, E.D. Direction of slip detection for adaptive grasp force control with a dexterous robotic hand. In Proceedings of the 2018 IEEE/ASME International Conference on Advanced Intelligent Mechatronics (AIM), Auckland, New Zealand, 9–12 July 2018; IEEE: Piscataway, NJ, USA, 2018; pp. 21–27. [Google Scholar]
- Zangrandi, A.; D’Alonzo, M.; Cipriani, C.; Di Pino, G. Neurophysiology of slip sensation and grip reaction: Insights for hand prosthesis control of slippage. J. Neurophysiol. 2021, 126, 477–492. [Google Scholar] [CrossRef] [PubMed]
- Johansson, R.S.; Birznieks, I. First spikes in ensembles of human tactile afferents code complex spatial fingertip events. Nat. Neurosci. 2004, 7, 170–177. [Google Scholar] [CrossRef] [PubMed]
- Johansson, R.S.; Flanagan, J.R. Coding and use of tactile signals from the fingertips in object manipulation tasks. Nat. Rev. Neurosci. 2009, 10, 345–359. [Google Scholar] [CrossRef] [PubMed]
- Häger-Ross, C.; Cole, K.J.; Johansson, R.S. Grip-force responses to unanticipated object loading: Load direction reveals body-and gravity-referenced intrinsic task variables. Exp. Brain Res. 1996, 110, 142–150. [Google Scholar] [CrossRef]
- Kumar, D.K.; Jelfs, B.; Sui, X.; Arjunan, S.P. Prosthetic hand control: A multidisciplinary review to identify strengths, shortcomings, and the future. Biomed. Signal Process. Control 2019, 53, 101588. [Google Scholar] [CrossRef]
- Wurth, S.M.; Hargrove, L.J. A real-time comparison between direct control, sequential pattern recognition control and simultaneous pattern recognition control using a Fitts’ law style assessment procedure. J. Neuroeng. Rehabil. 2014, 11, 91. [Google Scholar] [CrossRef] [PubMed]
- Bajaj, N.M.; Spiers, A.J.; Dollar, A.M. State of the Art in Artificial Wrists: A Review of Prosthetic and Robotic Wrist Design. IEEE Trans. Robot. 2019, 35, 261–277. [Google Scholar] [CrossRef]
- Jiang, N.; Vest-Nielsen, J.L.; Muceli, S.; Farina, D. EMG-based simultaneous and proportional estimation of wrist/hand kinematics in uni-lateral trans-radial amputees. J. Neuroeng. Rehabil. 2012, 9, 42. [Google Scholar] [CrossRef] [PubMed]
- Young, A.J.; Smith, L.H.; Rouse, E.J.; Hargrove, L.J. Classification of simultaneous movements using surface EMG pattern recognition. IEEE Trans. Biomed. Eng. 2012, 60, 1250–1258. [Google Scholar] [CrossRef] [PubMed]
- Yatsenko, D.; McDonnall, D.; Guillory, K.S. Simultaneous, proportional, multi-axis prosthesis control using multichannel surface EMG. In Proceedings of the 2007 29th Annual International Conference of the IEEE Engineering in Medicine and Biology Society, Lyon, France, 22–26 August 2007; IEEE: Piscataway, NJ, USA, 2007; pp. 6133–6136. [Google Scholar]
- Hahne, J.M.; Schweisfurth, M.A.; Koppe, M.; Farina, D. Simultaneous control of multiple functions of bionic hand prostheses: Performance and robustness in end users. Sci. Robot. 2018, 3, eaat3630. [Google Scholar] [CrossRef] [PubMed]
- Ameri, A.; Akhaee, M.A.; Scheme, E.; Englehart, K. Real-time, simultaneous myoelectric control using a convolutional neural network. PLoS ONE 2018, 13, e0203835. [Google Scholar] [CrossRef] [PubMed]
- Sartori, M.; Durandau, G.; Došen, S.; Farina, D. Robust simultaneous myoelectric control of multiple degrees of freedom in wrist-hand prostheses by real-time neuromusculoskeletal modeling. J. Neural Eng. 2018, 15, 066026. [Google Scholar] [CrossRef] [PubMed]
- Engeberg, E. Biomimetic Controller for Increased Dexterity Prosthesis. U.S. Patent 10,543,111, 28 January 2020. [Google Scholar]
- Blana, D.; Van Den Bogert, A.J.; Murray, W.M.; Ganguly, A.; Krasoulis, A.; Nazarpour, K.; Chadwick, E.K. Model-based control of individual finger movements for prosthetic hand function. IEEE Trans. Neural Syst. Rehabil. Eng. 2020, 28, 612–620. [Google Scholar] [CrossRef] [PubMed]
- Al-Timemy, A.H.; Bugmann, G.; Escudero, J.; Outram, N. Classification of finger movements for the dexterous hand prosthesis control with surface electromyography. IEEE J. Biomed. Health Inform. 2013, 17, 608–618. [Google Scholar] [CrossRef] [PubMed]
- Parajuli, N.; Sreenivasan, N.; Bifulco, P.; Cesarelli, M.; Savino, S.; Niola, V.; Esposito, D.; Hamilton, T.J.; Naik, G.R.; Gunawardana, U. Real-time EMG based pattern recognition control for hand prostheses: A review on existing methods, challenges and future implementation. Sensors 2019, 19, 4596. [Google Scholar] [CrossRef] [PubMed]
- Antfolk, C.; D’Alonzo, M.; Controzzi, M.; Lundborg, G.; Rosen, B.; Sebelius, F.; Cipriani, C. Artificial redirection of sensation from prosthetic fingers to the phantom hand map on transradial amputees: Vibrotactile versus mechanotactile sensory feedback. IEEE Trans. Neural Syst. Rehabil. Eng. 2012, 21, 112–120. [Google Scholar] [CrossRef] [PubMed]
- Kim, K.; Colgate, J.E. Haptic feedback enhances grip force control of sEMG-controlled prosthetic hands in targeted reinnervation amputees. IEEE Trans. Neural Syst. Rehabil. Eng. 2012, 20, 798–805. [Google Scholar] [CrossRef] [PubMed]
- Meek, S.G.; Jacobsen, S.C.; Goulding, P.P. Extended physiologic taction: Design and evaluation of a proportional force feedback system. J. Rehabil. Res. Dev. 1989, 26, 53–62. [Google Scholar] [PubMed]
- Chatterjee, A.; Chaubey, P.; Martin, J.; Thakor, N. Testing a prosthetic haptic feedback simulator with an interactive force matching task. J. Prosthet. Orthot. 2008, 20, 27–34. [Google Scholar] [CrossRef]
- Ninu, A.; Dosen, S.; Muceli, S.; Rattay, F.; Dietl, H.; Farina, D. Closed-loop control of grasping with a myoelectric hand prosthesis: Which are the relevant feedback variables for force control? IEEE Trans. Neural Syst. Rehabil. Eng. 2014, 22, 1041–1052. [Google Scholar] [CrossRef] [PubMed]
- Antfolk, C.; D’alonzo, M.; Rosén, B.; Lundborg, G.; Sebelius, F.; Cipriani, C. Sensory feedback in upper limb prosthetics. Expert Rev. Med. Devices 2013, 10, 45–54. [Google Scholar] [CrossRef] [PubMed]
- Štrbac, M.; Isaković, M.; Belić, M.; Popović, I.; Simanić, I.; Farina, D.; Keller, T.; Došen, S. Short-and long-term learning of feedforward control of a myoelectric prosthesis with sensory feedback by amputees. IEEE Trans. Neural Syst. Rehabil. Eng. 2017, 25, 2133–2145. [Google Scholar] [CrossRef] [PubMed]
- Akhtar, A.; Sombeck, J.; Boyce, B.; Bretl, T. Controlling sensation intensity for electrotactile stimulation in human-machine interfaces. Sci. Robot. 2018, 3, eaap9770. [Google Scholar] [CrossRef] [PubMed]
- Pacchierotti, C.; Sinclair, S.; Solazzi, M.; Frisoli, A.; Hayward, V.; Prattichizzo, D. Wearable haptic systems for the fingertip and the hand: Taxonomy, review, and perspectives. IEEE Trans. Haptics 2017, 10, 580–600. [Google Scholar] [CrossRef] [PubMed]
- Stephens-Fripp, B.; Alici, G.; Mutlu, R. A review of non-invasive sensory feedback methods for transradial prosthetic hands. IEEE Access 2018, 6, 6878–6899. [Google Scholar] [CrossRef]
- Pang, G.; Yang, G.; Pang, Z. Review of robot skin: A potential enabler for safe collaboration, immersive teleoperation, and affective interaction of future collaborative robots. IEEE Trans. Med. Robot. Bionics 2021, 3, 681–700. [Google Scholar] [CrossRef]
- Cipriani, C.; Segil, J.L.; Clemente, F.; Edin, B. Humans can integrate feedback of discrete events in their sensorimotor control of a robotic hand. Exp. Brain Res. 2014, 232, 3421–3429. [Google Scholar] [CrossRef] [PubMed]
- Aboseria, M.; Clemente, F.; Engels, L.F.; Cipriani, C. Discrete vibro-tactile feedback prevents object slippage in hand prostheses more intuitively than other modalities. IEEE Trans. Neural Syst. Rehabil. Eng. 2018, 26, 1577–1584. [Google Scholar] [CrossRef] [PubMed]
- Mingrino, A.; Bucci, A.; Magni, R.; Dario, P. Slippage control in hand prostheses by sensing grasping forces and sliding motion. In Proceedings of the IEEE/RSJ International Conference on Intelligent Robots and Systems (IROS’94), Munich, Germany, 12–16 September 1994; IEEE: Piscataway, NJ, USA, 1994; pp. 1803–1809. [Google Scholar]
- Romeo, R.A.; Zollo, L. Methods and sensors for slip detection in robotics: A survey. IEEE Access 2020, 8, 73027–73050. [Google Scholar] [CrossRef]
- Kent, B.A.; Engeberg, E.D. Human-inspired feedback synergies for environmental interaction with a dexterous robotic hand. Bioinspiration Biomim. 2014, 9, 046008. [Google Scholar] [CrossRef] [PubMed]
- Okamura, A.M.; Cutkosky, M.R. Feature detection for haptic exploration with robotic fingers. Int. J. Robot. Res. 2001, 20, 925–938. [Google Scholar] [CrossRef]
- Fishel, J.A.; Loeb, G.E. Bayesian exploration for intelligent identification of textures. Front. Neurorobotics 2012, 6, 4. [Google Scholar] [CrossRef] [PubMed]
- Dahiya, R.S.; Metta, G.; Valle, M.; Sandini, G. Tactile sensing—From humans to humanoids. IEEE Trans. Robot. 2009, 26, 1–20. [Google Scholar] [CrossRef]
- Alva, P.G.S.; Muceli, S.; Atashzar, S.F.; William, L.; Farina, D. Wearable multichannel haptic device for encoding proprioception in the upper limb. J. Neural Eng. 2020, 17, 056035. [Google Scholar] [CrossRef] [PubMed]
- Abd, M.A.; Ingicco, J.; Hutchinson, D.T.; Tognoli, E.; Engeberg, E.D. Multichannel haptic feedback unlocks prosthetic hand dexterity. Sci. Rep. 2022, 12, 2323. [Google Scholar] [CrossRef] [PubMed]
- Wolpert, D.M.; Goodbody, S.J.; Husain, M. Maintaining internal representations: The role of the human superior parietal lobe. Nat. Neurosci. 1998, 1, 529–533. [Google Scholar] [CrossRef] [PubMed]
- Ades, C.; Abd, M.A.; Hutchinson, D.T.; Tognoli, E.; Du, E.; Wei, J.; Engeberg, E.D. Biohybrid Robotic Hand to Investigate Tactile Encoding and Sensorimotor Integration. Biomimetics 2024, 9, 78. [Google Scholar] [CrossRef] [PubMed]
- Abd, M.A.; Bornstein, M.; Tognoli, E.; Engeberg, E.D. Armband with soft robotic actuators and vibrotactile stimulators for bimodal haptic feedback from a dexterous artificial hand. In Proceedings of the 2018 IEEE/ASME International Conference on Advanced Intelligent Mechatronics (AIM), Auckland, New Zealand, 9–12 July 2018; IEEE: Piscataway, NJ, USA, 2018; pp. 13–20. [Google Scholar]
- Su, Z.; Hausman, K.; Chebotar, Y.; Molchanov, A.; Loeb, G.E.; Sukhatme, G.S.; Schaal, S. Force estimation and slip detection/classification for grip control using a biomimetic tactile sensor. In Proceedings of the 2015 IEEE-RAS 15th International Conference on Humanoid Robots (Humanoids), Seoul, Republic of Korea, 3–5 November 2015; IEEE: Piscataway, NJ, USA, 2015; pp. 297–303. [Google Scholar]
- Choi, S.; Kuchenbecker, K.J. Vibrotactile display: Perception, technology, and applications. Proc. IEEE 2012, 101, 2093–2104. [Google Scholar] [CrossRef]
- Islam, M.S.; Lim, S. Vibrotactile feedback in virtual motor learning: A systematic review. Appl. Ergon. 2022, 101, 103694. [Google Scholar] [CrossRef] [PubMed]
- Engeberg, E.D.; Meek, S.G.; Minor, M.A. Hybrid force–velocity sliding mode control of a prosthetic hand. IEEE Trans. Biomed. Eng. 2008, 55, 1572–1581. [Google Scholar] [CrossRef] [PubMed]
- Thomas, N.; Ung, G.; Ayaz, H.; Brown, J.D. Neurophysiological evaluation of haptic feedback for myoelectric prostheses. IEEE Trans. Hum.-Mach. Syst. 2021, 51, 253–264. [Google Scholar] [CrossRef]
- Park, J.; Zahabi, M. Cognitive Workload Assessment of Prosthetic Devices: A Review of Literature and Meta-Analysis. IEEE Trans. Hum.-Mach. Syst. 2022, 52, 181–195. [Google Scholar] [CrossRef]
- Kristoffersen, M.B.; Franzke, A.W.; Bongers, R.M.; Wand, M.; Murgia, A.; van der Sluis, C.K. User training for machine learning controlled upper limb prostheses: A serious game approach. J. Neuroeng. Rehabil. 2021, 18, 32. [Google Scholar] [CrossRef] [PubMed]
- Simon, A.M.; Turner, K.L.; Miller, L.A.; Hargrove, L.J.; Kuiken, T.A. Pattern recognition and direct control home use of a multi-articulating hand prosthesis. In Proceedings of the 2019 IEEE 16th International Conference on Rehabilitation Robotics (ICORR), Toronto, ON, Canada, 24–28 June 2019; IEEE: Piscataway, NJ, USA, 2019; pp. 386–391. [Google Scholar]
- Akhtar, A.; Cornman, J.; Austin, J.; Bala, D. Touch feedback and contact reflexes using the PSYONIC Ability Hand. In MEC20 Symposium; Psyonic, Inc.: San Diego, CA, USA, 2020. [Google Scholar]
- Azeem, M.; Parveen, A. Study on Design and Performance Specifications of the Prosthetic Hands. In Advancement in Materials, Manufacturing and Energy Engineering, Vol. I: Select Proceedings of ICAMME 2021, Springer: Berlin/Heidelberg, Germany, 2022; pp. 119–135.
- Abd, M.A.; Al-Saidi, M.; Lin, M.; Liddle, G.; Mondal, K.; Engeberg, E.D. Surface Feature Recognition and Grasped Object Slip Prevention with a Liquid Metal Tactile Sensor for a Prosthetic Hand. In Proceedings of the 2020 8th IEEE RAS/EMBS International Conference for Biomedical Robotics and Biomechatronics (BioRob), New York, NY, USA, 29 November–1 December 2020; IEEE: Piscataway, NJ, USA, 2020; pp. 1174–1179. [Google Scholar]
- Zou, L.; Ge, C.; Wang, Z.J.; Cretu, E.; Li, X. Novel tactile sensor technology and smart tactile sensing systems: A review. Sensors 2017, 17, 2653. [Google Scholar] [CrossRef] [PubMed]
- Capsi-Morales, P.; Piazza, C.; Catalano, M.G.; Grioli, G.; Schiavon, L.; Fiaschi, E.; Bicchi, A. Comparison between rigid and soft poly-articulated prosthetic hands in non-expert myo-electric users shows advantages of soft robotics. Sci. Rep. 2021, 11, 23952. [Google Scholar] [CrossRef] [PubMed]
- Biddiss, E.A.; Chau, T.T. Upper limb prosthesis use and abandonment: A survey of the last 25 years. Prosthet. Orthot. Int. 2007, 31, 236–257. [Google Scholar] [CrossRef] [PubMed]
- Smail, L.C.; Neal, C.; Wilkins, C.; Packham, T.L. Comfort and function remain key factors in upper limb prosthetic abandonment: Findings of a scoping review. Disabil. Rehabil. Assist. Technol. 2021, 16, 821–830. [Google Scholar] [CrossRef] [PubMed]
- Yamada, H.; Yamanoi, Y.; Wakita, K.; Kato, R. Investigation of a cognitive strain on hand grasping induced by sensory feedback for myoelectric hand. In Proceedings of the 2016 IEEE International Conference on Robotics and Automation (ICRA), Stockholm, Sweden, 16–21 May 2016; IEEE: Piscataway, NJ, USA, 2016; pp. 3549–3554. [Google Scholar]
- Shah, V.A.; Casadio, M.; Scheidt, R.A.; Mrotek, L.A. Spatial and temporal influences on discrimination of vibrotactile stimuli on the arm. Exp. Brain Res. 2019, 237, 2075–2086. [Google Scholar] [CrossRef] [PubMed]
- Van Selst, M.; Ruthruff, E.; Johnston, J.C. Can practice eliminate the psychological refractory period effect? J. Exp. Psychol. Hum. Percept. Perform. 1999, 25, 1268. [Google Scholar] [CrossRef] [PubMed]
- Pashler, H. Dual-task interference in simple tasks: Data and theory. Psychol. Bull. 1994, 116, 220. [Google Scholar] [CrossRef] [PubMed]
- Wu, C.; Liu, Y. Queuing network modeling of the psychological refractory period (PRP). Psychol. Rev. 2008, 115, 913. [Google Scholar] [CrossRef] [PubMed]
- Williams, S.R.; Okamura, A.M. Body-mounted vibrotactile stimuli: Simultaneous display of taps on the fingertips and forearm. IEEE Trans. Haptics 2020, 14, 432–444. [Google Scholar] [CrossRef] [PubMed]
- Gescheider, G.A.; Wright, J.H.; Weber, B.J.; Kirchner, B.M.; Milligan, E.A. Reaction time as a function of the intensity and probability of occurrence of vibrotactile signals. Percept. Psychophys. 1969, 5, 18–20. [Google Scholar] [CrossRef]
- Bao, T.; Su, L.; Kinnaird, C.; Kabeto, M.; Shull, P.B.; Sienko, K.H. Vibrotactile display design: Quantifying the importance of age and various factors on reaction times. PLoS ONE 2019, 14, e0219737. [Google Scholar] [CrossRef] [PubMed]
- Jimenez, M.C.; Fishel, J.A. Evaluation of force, vibration and thermal tactile feedback in prosthetic limbs. In Proceedings of the 2014 IEEE Haptics Symposium (HAPTICS), Houston, TX, USA, 23–26 February 2014; IEEE: Piscataway, NJ, USA, 2014; pp. 437–441. [Google Scholar]
- White, M.M.; Zhang, W.; Winslow, A.T.; Zahabi, M.; Zhang, F.; Huang, H.; Kaber, D.B. Usability comparison of conventional direct control versus pattern recognition control of transradial prostheses. IEEE Trans. Hum.-Mach. Syst. 2017, 47, 1146–1157. [Google Scholar] [CrossRef]
- Krasoulis, A.; Vijayakumar, S.; Nazarpour, K. Multi-grip classification-based prosthesis control with two EMG-IMU sensors. IEEE Trans. Neural Syst. Rehabil. Eng. 2019, 28, 508–518. [Google Scholar] [CrossRef] [PubMed]
- Cipriani, C.; Antfolk, C.; Controzzi, M.; Lundborg, G.; Rosén, B.; Carrozza, M.C.; Sebelius, F. Online myoelectric control of a dexterous hand prosthesis by transradial amputees. IEEE Trans. Neural Syst. Rehabil. Eng. 2011, 19, 260–270. [Google Scholar] [CrossRef]
- Makin, T.R.; Filippini, N.; Duff, E.P.; Slater, D.H.; Tracey, I.; Johansen-Berg, H. Network-level reorganisation of functional connectivity following arm amputation. Neuroimage 2015, 114, 217–225. [Google Scholar] [CrossRef] [PubMed]
- Hahamy, A.; Macdonald, S.N.; van den Heiligenberg, F.; Kieliba, P.; Emir, U.; Malach, R.; Johansen-Berg, H.; Brugger, P.; Culham, J.C.; Makin, T.R. Representation of multiple body parts in the missing-hand territory of congenital one-handers. Curr. Biol. 2017, 27, 1350–1355. [Google Scholar] [CrossRef] [PubMed]









| EMG Class | ||
|---|---|---|
| NM | 0 | 0 |
| Sim | 1 | 1 |
| L | 0 | 1 |
| I | 1 | 0 |
| Haptic Feedback | Slip Sensation | Actions | Correct EMG Class | |||
|---|---|---|---|---|---|---|
| I | L | I | L | I | L | |
| Slow | Slow | ↑ | ↑ | x | x | NM |
| Fast | Fast | ↓ | ↓ | √ | √ | Sim |
| Slow | Fast | ↑ | ↓ | x | √ | L |
| Fast | Slow | ↓ | ↑ | √ | x | I |
| Off | Off | None | None | x | x | NM |
Disclaimer/Publisher’s Note: The statements, opinions and data contained in all publications are solely those of the individual author(s) and contributor(s) and not of MDPI and/or the editor(s). MDPI and/or the editor(s) disclaim responsibility for any injury to people or property resulting from any ideas, methods, instructions or products referred to in the content. |
© 2024 by the authors. Licensee MDPI, Basel, Switzerland. This article is an open access article distributed under the terms and conditions of the Creative Commons Attribution (CC BY) license (https://creativecommons.org/licenses/by/4.0/).
Share and Cite
Abd, M.A.; Engeberg, E.D. Multichannel Sensorimotor Integration with a Dexterous Artificial Hand. Robotics 2024, 13, 97. https://doi.org/10.3390/robotics13070097
Abd MA, Engeberg ED. Multichannel Sensorimotor Integration with a Dexterous Artificial Hand. Robotics. 2024; 13(7):97. https://doi.org/10.3390/robotics13070097
Chicago/Turabian StyleAbd, Moaed A., and Erik D. Engeberg. 2024. "Multichannel Sensorimotor Integration with a Dexterous Artificial Hand" Robotics 13, no. 7: 97. https://doi.org/10.3390/robotics13070097
APA StyleAbd, M. A., & Engeberg, E. D. (2024). Multichannel Sensorimotor Integration with a Dexterous Artificial Hand. Robotics, 13(7), 97. https://doi.org/10.3390/robotics13070097

