Driving Strategies for Omnidirectional Mobile Robots with Offset Differential Wheels
Abstract
1. Introduction
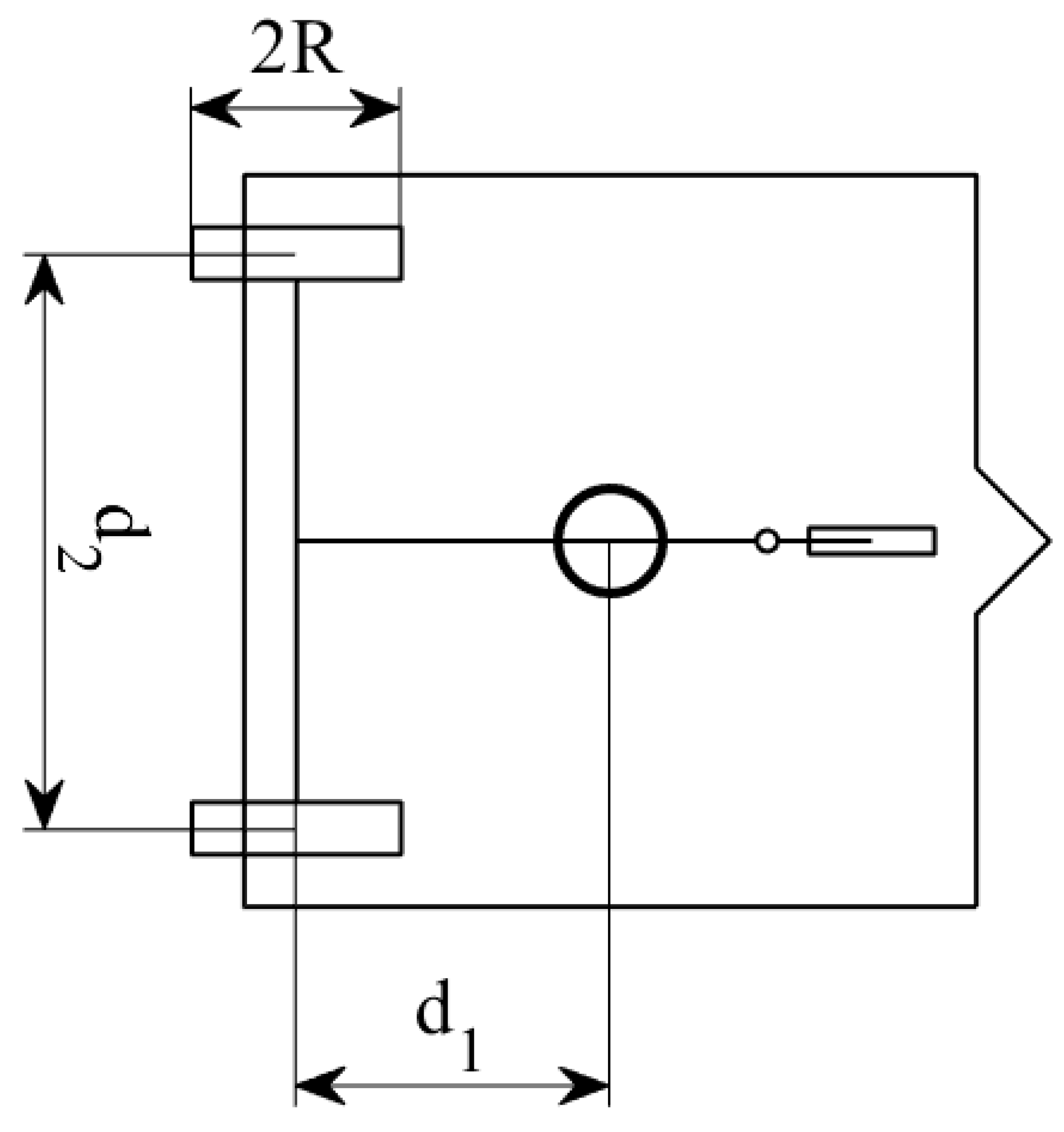
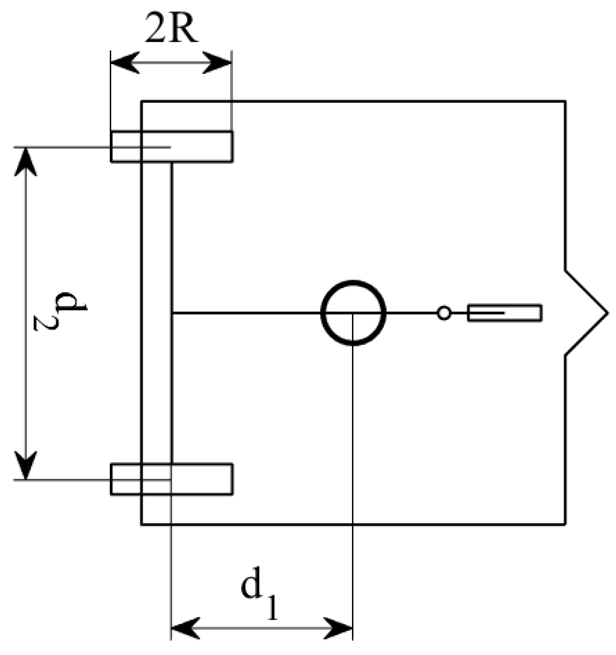
2. Description of the Robot
3. Kinematic Analysis
- The angular velocity of the right wheel, , denoting the angular position of the right wheel as .
- The angular velocity of the left wheel, , denoting as its angular position from a reference.
- The angular velocity of the platform about the vertical axis, , with respect to the chassis, with an angular position of the platform with respect to the chassis .
- The position vector of the center of the robot with respect to a fixed frame, , and its derivative .
- The angular position of the platform with respect to the fixed frame, , and its corresponding angular velocity, .
- The angular position of the chassis with respect to the fixed frame, , and its derivative .
- The radius of the actuated wheels, R.
- The distance between the rotation axis of the actuated wheels and the vertical rotation axis, .
- The distance between the actuated wheels, .
- The distance from the center of the platform to the joint of the caster fork, .
- The length of the caster fork from its joint to the axis of the caster wheel, .
- The radius of the caster wheel, .
- The angle of the caster fork with respect to the chassis, .
- The rotational velocity of the caster wheel, .
3.1. Forward Kinematics
3.2. Inverse Kinematics
3.3. Passive Degrees of Freedom
4. Kinematic Behavior
4.1. Driving Stability
4.2. Kinematic Behavior
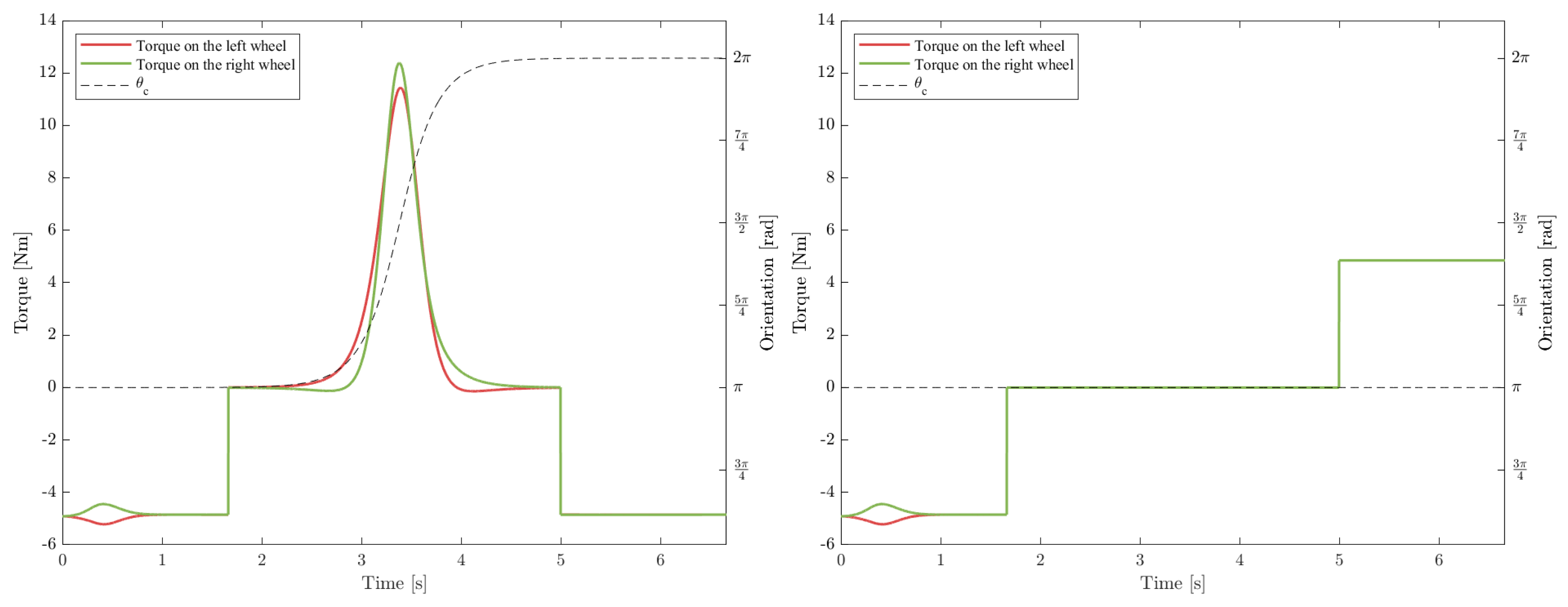
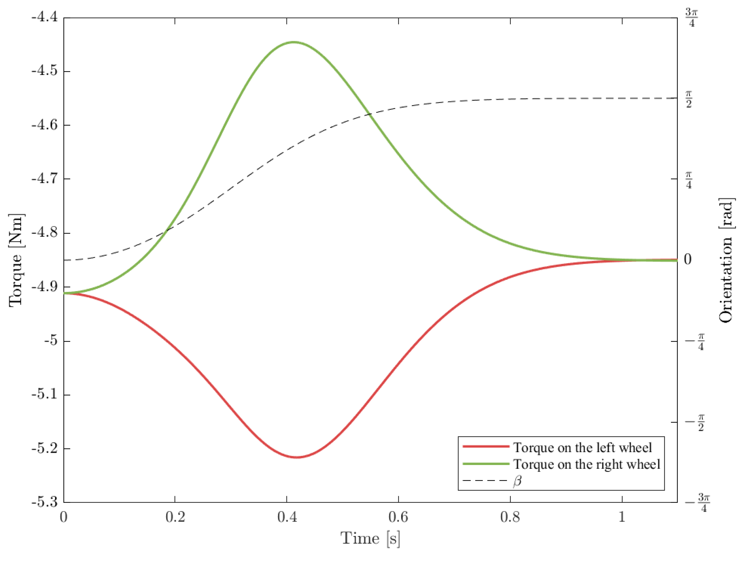
5. Driving Strategy
- The trajectory must be smooth, that is, it must be continuous as well as continuously differentiable. This extends to the initial position of the robot. The vector analogous to the pure pull direction must be tangent to the velocity at the starting point; otherwise, significant compensation will be necessary to remain in the pull region over the long term. If the first part of the path is curved, and should be equal.
- Turns with a radius smaller than are possible but should be avoided. While momentarily turning tightly does not guarantee a change in velocity region, sustained rotation with such a small radius will eventually result in a change in the direction of the chassis.
6. Dynamic Behavior
6.1. Lateral Stability
6.2. Dynamic Model
- The mass, , and the moment of inertia, , of the chassis (excluding the actuated wheels).
- The mass, , and the moments of inertia, , of the actuated wheels, which were assumed to be the same for both.
- –
- is the moment of inertia of the wheel spinning through its axis.
- –
- is the moment of inertia as it relates to the contribution of the wheel when the whole chassis is rotating. It was calculated as the moment of inertia of the wheel spinning about its radius plus the additional inertia brought about by the distance from the center of rotation of the chassis, which is taken into account through the parallel axis theorem.
- The mass, , and the moment of inertia, , of the platform.
- The mass, , and the moment of inertia, , of the caster fork.
- The mass, , and the moments of inertia, and , of the caster wheel.
6.3. Forward Dynamics
6.4. Inverse Dynamics
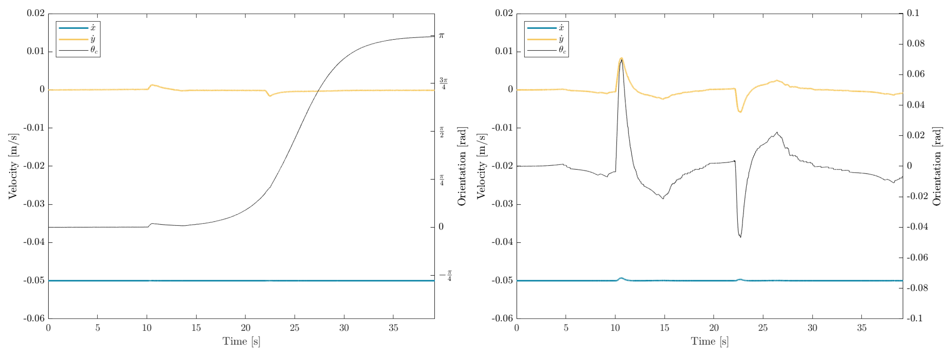
7. Tests
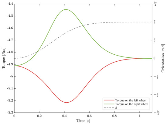
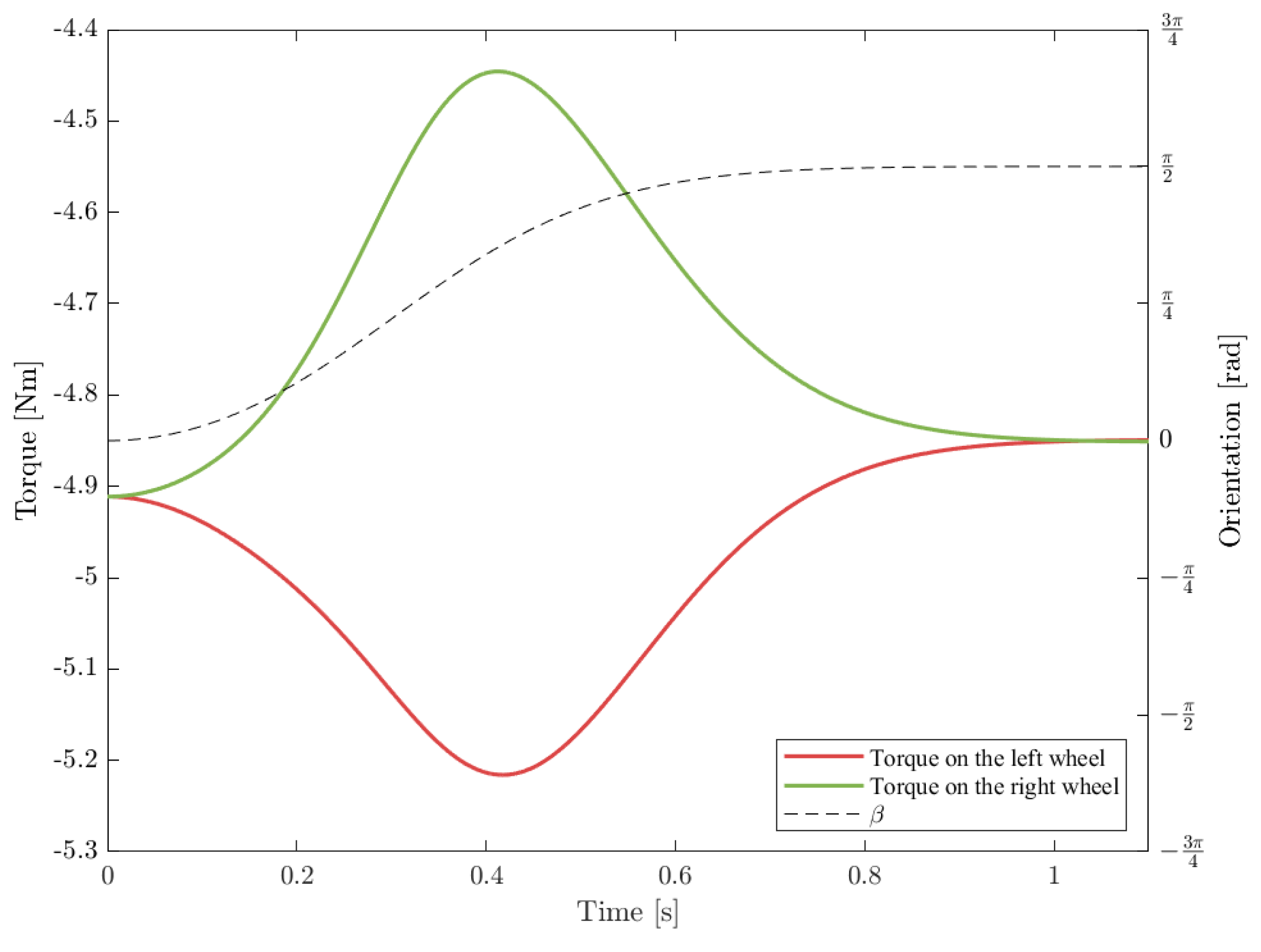
7.1. Simulations
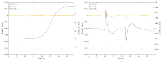
7.2. Experiments
7.3. Uncompensated Pull-Region Motion
7.4. Compensated Pull-Region Motion
8. Results
8.1. Simulations
8.2. Experiments
9. Conclusions
Future Research
Author Contributions
Funding
Data Availability Statement
Conflicts of Interest
References
- Prados Sesmero, C.; Buonocore, L.R.; Di Castro, M. Omnidirectional Robotic Platform for Surveillance of Particle Accelerator Environments with Limited Space Areas. Appl. Sci. 2021, 11, 6631. [Google Scholar] [CrossRef]
- Qian, J.; Zi, B.; Wang, D.; Ma, Y.; Zhang, D. The Design and Development of an Omni-Directional Mobile Robot Oriented to an Intelligent Manufacturing System. Sensors 2017, 17, 2073. [Google Scholar] [CrossRef] [PubMed]
- Jacobs, T. Omnidirectional Robot Undercarriages with Standard Wheels—A Survey. In Proceedings of the 25th IEEE International Conference on Mechatronics and Machine Vision in Practice (M2VIP), Stuttgart, Germany, 20–22 November 2018. [Google Scholar]
- Taheri, H.; Zhao, C. Omnidirectional mobile robots, mechanisms and navigation approaches. Mech. Mach. Theory 2020, 153, 103958. [Google Scholar] [CrossRef]
- Ramirez-Serrano, A.; Kuzyk, R. Modified Mecanum Wheels for Traversing Rough Terrains. In Proceedings of the 2010 Sixth International Conference on Autonomic and Autonomous Systems, Cancun, Mexico, 7–13 March 2010; pp. 97–103. [Google Scholar] [CrossRef]
- Chung, W.; Moon, C.; Jung, C.; Jin, J. Design of the Dual Offset Active Caster Wheel for Holonomic Omni-directional Mobile Robots. Int. J. Adv. Robot. Syst. 2010, 7, 105–110. [Google Scholar]
- Nasu, S.; Wada, M. Mechanical Design of an Active-caster Robotic Drive with Dual-Wheel and Differential Mechanism. In Proceedings of the Annual Conference of the IEEE Industrial Electronics Society—IECON2015, Yokohama, Japan, 9–12 November 2015. [Google Scholar]
- You, Y.; Fan, Z.E.A. Design and Implementation of Mobile Manipulator System. In Proceedings of the International Conference on CYBER Technology in Automation, Control, and Intelligent Systems, Suzhou, China, 29 July–2 August 2019. [Google Scholar]
- Jung, M.J.; Shim, H.-S.; Kim, H.S.; Kim, J.H. The miniature omni-directional mobile robot OmniKity-I (OK-I). In Proceedings of the IEEE International Conference on Robotics and Automation 1999 (ICRA’99), Detroit, MI, USA, 10–15 May 1999. [Google Scholar]
- Giro Perez, P. Dynamic Modelling, Parameter Identification, and Motion Control of an Omnidirectional Tire-Wheeled Robot. Master’s Thesis, Universitat Politecnica de Catalunya (UPC), Barcelona, Spain, 2021. [Google Scholar]
- Giró, P.; Celaya, E.; Ros, L. The Otbot project: Dynamic modelling, parameter identification, and motion control of an omnidirectional tire-wheeled robot. arXiv 2023, arXiv:RO/2311.10834. [Google Scholar] [CrossRef]
- Canuto Gil, J.; Domènech, C. Patent: Omnidirectional Platform and Omnidirectional Conveyor. U.S. Patent WO2019020861A2, 17 May 2018. [Google Scholar]
- Yun, X.; Yamamoto, Y. Stability analysis of the internal dynamics of a wheeled mobile robot. J. Robot. Syst. 1997, 14, 697–709. [Google Scholar] [CrossRef]
- Shojaei, K.; Shahri, A.M.; Tarakameh, A.; Tabibian, B. Adaptive trajectory tracking control of a differential drive wheeled mobile robot. Robotica 2010, 1, 11–23. [Google Scholar] [CrossRef]
- Shojaei, K.; Shahri, A.M.; Tabibian, B. Design and Implementation of an Inverse Dynamics Controller for Uncertain Nonholonomic Robotic Systems. J. Intell. Robot. Syst. 2013, 71, 65–83. [Google Scholar] [CrossRef]
- Mondal, K.; Wallace, B.; Rodriguez, A.A. Stability Versus Maneuverability of Non-holonomic Differential Drive Mobile Robot: Focus on Aggressive Position Control Applications. In Proceedings of the 2020 IEEE Conference on Control Technology and Applications (CCTA), Montreal, QC, Canada, 24–26 August 2020. [Google Scholar] [CrossRef]
- Borkar, K.K.; Aljrees, T.; Pandey, S.K.; Kumar, A.; Singh, M.K.; Sinha, A.; Singh, K.U.; Sharma, V. Stability Analysis and Navigational Techniques of Wheeled Mobile Robot: A Review. Processes 2023, 11, 3302. [Google Scholar] [CrossRef]
- Fue, K.G.; Porter, W.M.; Barnes, E.M.; Rains, G.C. An Extensive Review of Mobile Agricultural Robotics for Field Operations: Focus on Cotton Harvesting. AgriEngineering 2020, 2, 150–174. [Google Scholar] [CrossRef]
- Siegwart, R.; Nourbakhsh, I. Introduction to Autonomous Mobile Robots; The MIT Press: Cambridge, MA, USA, 2011. [Google Scholar]
- Kim, I.; Jeon, W.; Yang, H. Design of a transformable mobile robot for enhancing mobility. Int. J. Adv. Robot. Syst. 2017, 14, 1729881416687135. [Google Scholar]
- Echeandia, S.; Wensing, P.M. Numerical Methods to Compute the Coriolis Matrix and Christoffel Symbols for Rigid-Body Systems. J. Comput. Nonlinear Dyn. 2021, 16, 091004. [Google Scholar] [CrossRef]
- Murray, R.M.; Sastry, S.; Li, Z. A Mathematical Introduction to Robotic Manipulation; CRC Press: Boca Raton, FL, USA, 1994. [Google Scholar]
- Lynch, K.; Bloch, A.; Drakunov, S.; Reyhanoglu, M.; Zenkov, D. Control of Nonholonomic and Underactuated Systems; CRC Press: Boca Raton, FL, USA, 2011; pp. 1–36. [Google Scholar] [CrossRef]


















Disclaimer/Publisher’s Note: The statements, opinions and data contained in all publications are solely those of the individual author(s) and contributor(s) and not of MDPI and/or the editor(s). MDPI and/or the editor(s) disclaim responsibility for any injury to people or property resulting from any ideas, methods, instructions or products referred to in the content. |
© 2024 by the authors. Licensee MDPI, Basel, Switzerland. This article is an open access article distributed under the terms and conditions of the Creative Commons Attribution (CC BY) license (https://creativecommons.org/licenses/by/4.0/).
Share and Cite
Badia Torres, J.; Perez Gracia, A.; Domenech-Mestres, C. Driving Strategies for Omnidirectional Mobile Robots with Offset Differential Wheels. Robotics 2024, 13, 19. https://doi.org/10.3390/robotics13010019
Badia Torres J, Perez Gracia A, Domenech-Mestres C. Driving Strategies for Omnidirectional Mobile Robots with Offset Differential Wheels. Robotics. 2024; 13(1):19. https://doi.org/10.3390/robotics13010019
Chicago/Turabian StyleBadia Torres, Joan, Alba Perez Gracia, and Carles Domenech-Mestres. 2024. "Driving Strategies for Omnidirectional Mobile Robots with Offset Differential Wheels" Robotics 13, no. 1: 19. https://doi.org/10.3390/robotics13010019
APA StyleBadia Torres, J., Perez Gracia, A., & Domenech-Mestres, C. (2024). Driving Strategies for Omnidirectional Mobile Robots with Offset Differential Wheels. Robotics, 13(1), 19. https://doi.org/10.3390/robotics13010019

