Evolutionary Task Allocation and Cooperative Control of Unmanned Aerial Vehicles in Air Combat Applications
Abstract
1. Introduction
2. Related Work
- A two-layer framework is established for the air combat of UAVs, which contains a task allocation upper layer and a cooperative control lower layer. The two-layer framework can also be extended and applied to a complex air combat with multiple operational layers directly.
- In the upper layer, the evolutionary task allocation method is proposed for UAVs to allocate the tasks by considering their cooperative behavior. In the lower layer, a cooperative control approach is proposed for UAVs to perform desired formations to accomplish the corresponding tasks.
- Both Software-in-the-Loop (SIL) and Model-in-the-Loop (MIL) simulations are conducted based on the RflySim platform to demonstrate the effectiveness of the proposed approach and further display the multi-UAV air combat vision realistically.
3. Problem Formulation
4. Main Results
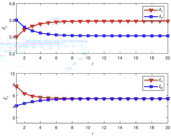
4.1. Evolutionary Game for Task Allocation
4.2. Cooperative Control for Formation Achievement
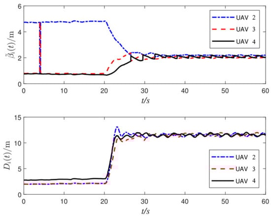
5. Simulation
6. Discussion
Author Contributions
Funding
Institutional Review Board Statement
Informed Consent Statement
Data Availability Statement
Acknowledgments
Conflicts of Interest
Abbreviations
| UAVs | Unmanned aerial vehicles |
| UAV | Unmanned aerial vehicle |
| SIL | Software-in-the-Loop |
| MIL | Model-in-the-Loop |
References
- Shin, H.; Lee, J.; Kim, H.; Hyunchul, S.D. An autonomous aerial combat framework for two-on-two engagements based on basic fighter maneuvers. Aerosp. Sci. Technol. 2018, 72, 305–315. [Google Scholar] [CrossRef]
- Amorim, J.C.; Alves, V.; de Freitas, E.P. Assessing a swarm-GAP based solution for the task allocation problem in dynamic scenarios. Expert Syst. Appl. 2020, 152, 113437. [Google Scholar]
- Jordan, J. The future of unmanned combat aerial vehicles: An analysis using the three horizons framework. Futures 2021, 134, 102848. [Google Scholar] [CrossRef]
- Nguyen, N.V.; Choi, S.M.; Kim, W.S.; Lee, J.W.; Kim, S.; Neufeld, D.; Byun, Y.H. Multidisciplinary unmanned combat air vehicle system design using multi-fidelity model. Aerosp. Sci. Technol. 2013, 26, 200–210. [Google Scholar] [CrossRef]
- Oliveira, L.F.P.; Moreira, A.P.; Silva, M.F. Advances in forest robotics: A state-of-the-art survey. Robotics 2021, 10, 53. [Google Scholar] [CrossRef]
- Rossides, G.; Metcalfe, B.; Hunter, A. Particle swarm optimization-An adaptation for the control of robotic swarms. Robotics 2021, 10, 58. [Google Scholar] [CrossRef]
- Yang, H.; Guo, Y.M.; Wang, X.D.; Yao, H.J.; Wang, Z.Q.; Li, G. Research on task-oriented dynamic reconstruction method of UAV swarm evolutionary game. In Proceedings of the 2020 15th IEEE Conference on Industrial Electronics and Applications, Kristiansand, Norway, 9–13 November 2020; pp. 218–222. [Google Scholar]
- Peters, J.R.; Surana, A.; Bullo, F. Robust scheduling and routing for collaborative human/unmanned aerial vehicle surveillance missions. J. Aerosp. Inform. Syst. 2018, 15, 585–603. [Google Scholar] [CrossRef]
- Li, B.; Chiong, R.; Lin, M. A two-layer optimization framework for UAV path planning with interval uncertainties. In Proceedings of the 2014 IEEE Symposium on Computational Intelligence in Production and Logistics Systems, Orlando, FL, USA, 9–12 December 2014; pp. 120–127. [Google Scholar]
- Zhang, J.; Xing, J.H. Cooperative task assignment of multi-UAV system. Chin. J. Aeronaut. 2020, 33, 2825–2827. [Google Scholar] [CrossRef]
- Ye, F.; Chen, J.; Tian, Y.; Jiang, T. Cooperative task assignment of a heterogeneous multi-UAV system using an adaptive genetic algorithm. Electronics 2020, 9, 687. [Google Scholar] [CrossRef]
- Xia, C.; Liu, Y.T.; Yin, L.Y.; Qi, L.J. Cooperative task assignment and track planning for multi-UAV attack mobile targets. J. Intell. Robot. Syst. 2020, 100, 1383–1400. [Google Scholar] [CrossRef]
- Chowdhury, M.; Maier, M. Local and nonlocal human-to-robot task allocation in fiber-wireless multi-robot networks. IEEE Syst. J. 2018, 12, 2250–2260. [Google Scholar] [CrossRef]
- Chen, J.X.; Wu, Q.H.; Xu, Y.H.; Qi, N.; Guan, X.; Zhang, Y.L.; Xue, Z. Joint task assignment and spectrum allocation in heterogeneous UAV communication networks: A coalition formation game-theoretic approach. IEEE Trans. Wirel. Commun. 2021, 20, 440–452. [Google Scholar] [CrossRef]
- Peng, Q.; Wu, H.S.; Xue, R.S. Review of dynamic task allocation methods for UAV swarms oriented to ground targets. Complex Syst. Model. Simul. 2021, 1, 163–175. [Google Scholar] [CrossRef]
- Kim, K.S.; Kim, H.Y.; Choi, H.L. A bid-based grouping method for communication-efficient decentralized multi-UAV task allocation. Int. J. Aeronaut. Space Sci. 2020, 21, 290–302. [Google Scholar] [CrossRef]
- Nowak, M.A. Evolving cooperation. J. Theor. Biol. 2012, 299, 1–8. [Google Scholar] [CrossRef] [PubMed]
- Takesue, H.; Ozawa, A.; Morikawa, S. Evolution of favoritism and group fairness in a co-evolving three-person ultimatum game. Europhys. Lett. 2017, 118, 48002. [Google Scholar] [CrossRef]
- Barreiro-Gomez, J.; Mas, I.; Giribet, J.I.; Moreno, P.; Ocampo-Martinez, C.; Sánchez-Peñac, R.; Quijano, N. Distributed data-driven UAV formation control via evolutionary games: Experimental results. J. Frankl. Inst. 2021, 358, 5334–5352. [Google Scholar] [CrossRef]
- Sun, C.H.; Duan, H.B. Markov decision evolutionary game theoretic learning for cooperative sensing of unmanned aerial vehicles. Sci. China Technol. Sci. 2015, 58, 1392–1400. [Google Scholar] [CrossRef]
- Yu, M.G.; He, M.; Zhang, D.G.; Luo, L.; Liu, J.T.; Zhang, L.G. An approach to coordinated control of structured unmanned swarm based on evolutionary game. In Proceedings of the 2020 3rd International Conference on Unmanned Systems, Harbin, China, 27–28 November 2020; pp. 220–226. [Google Scholar]
- Kang, S.B.; Li, J.; Li, J.; Xiong, J.; Liu, C. Application of the evolutionary algorithms for task allocation in uncertain environments with stochastic tuning. In Proceedings of the Second International Conference on Artificial Intelligence, Information Processing and Cloud Computing, Hangzhou, China, 26–28 June 2021; pp. 73–79. [Google Scholar]
- Khalil, E.A.; Ozdemir, S.; Tosun, S. Evolutionary task allocation in Internet of Things-based application domains. Future Gener. Comput. Syst. 2018, 86, 121–133. [Google Scholar] [CrossRef]
- Wanga, T.; Lia, C.; Yuana, Y.H.; Liub, J.; Adelekea, I.B. An evolutionary game approach for manufacturing service allocation management in cloud manufacturing. Comput. Ind. Eng. 2019, 133, 231–240. [Google Scholar] [CrossRef]
- Yang, H.J.; Ju, S.; Zhang, J.H.; Xia, Y.Q. Model predictive control for cloud-integrated networked multiagent systems under bandwidth allocation. Inf. Sci. 2019, 500, 156–172. [Google Scholar] [CrossRef]
- Madeo, D.; Mazumdar, S.; Mocenni, C.; Zingone, R. Evolutionary game for task mapping in resource constrained heterogeneous environments. Future Gener. Comput. Syst. 2020, 108, 762–776. [Google Scholar] [CrossRef]
- Liu, C.; Sun, S.S.; Tao, C.G.; Shou, Y.X.; Xu, B. Sliding mode control of multi-agent system with application to UAV air combat. Comput. Electr. Eng. 2021, 2021 96, 107491. [Google Scholar] [CrossRef]
- Li, W.H.; Shi, J.P.; Wu, Y.Y.; Wang, Y.P.; Lyu, Y.X. A multi-UCAV cooperative occupation method based on weapon engagement zones for beyond-visual-range air combat. Def. Technol. 2022, 18, 1006–1022. [Google Scholar] [CrossRef]
- Elkilany, B.G.; Abouelsoud, A.A.; Fathelbab, A.M.R.; Ishii, H. Potential field method parameters tuning using fuzzy inference system for adaptive formation control of multi-mobile robots. Robotics 2020, 9, 10. [Google Scholar] [CrossRef]
- Karras, G.C.; Bechlioulis, C.P.; Fourlas, G.K.; Kyriakopoulos, K.J. A mixed-initiative formation control strategy for multiple quadrotors. Robotics 2021, 10, 116. [Google Scholar] [CrossRef]
- Nan, G.; Mao, Z.; Yu, M.; Li, M.; Wang, H.; Yan, Z. Stackelberg game for bandwidth allocation in cloud-based wireless live-streaming social networks. IEEE Syst. J. 2014, 8, 256–267. [Google Scholar] [CrossRef]
- Dusit, N.; Ekram, H. Dynamics of network selection in heterogeneous wireless networks: An evolutionary game approach. IEEE Trans. Veh. Technol. 2009, 58, 2008–2017. [Google Scholar]
- Ju, S.; Wang, J.; Dou, L.Y. Enclosing control for multi-agent systems with a moving target of unknown bounded velocity. Trans. Cybern. 2021, 52, 11561–11570. [Google Scholar] [CrossRef]












Publisher’s Note: MDPI stays neutral with regard to jurisdictional claims in published maps and institutional affiliations. |
© 2022 by the authors. Licensee MDPI, Basel, Switzerland. This article is an open access article distributed under the terms and conditions of the Creative Commons Attribution (CC BY) license (https://creativecommons.org/licenses/by/4.0/).
Share and Cite
Wang, J.; Duan, S.; Ju, S.; Lu, S.; Jin, Y. Evolutionary Task Allocation and Cooperative Control of Unmanned Aerial Vehicles in Air Combat Applications. Robotics 2022, 11, 124. https://doi.org/10.3390/robotics11060124
Wang J, Duan S, Ju S, Lu S, Jin Y. Evolutionary Task Allocation and Cooperative Control of Unmanned Aerial Vehicles in Air Combat Applications. Robotics. 2022; 11(6):124. https://doi.org/10.3390/robotics11060124
Chicago/Turabian StyleWang, Jing, Shuai Duan, Shuang Ju, Shan Lu, and Yaning Jin. 2022. "Evolutionary Task Allocation and Cooperative Control of Unmanned Aerial Vehicles in Air Combat Applications" Robotics 11, no. 6: 124. https://doi.org/10.3390/robotics11060124
APA StyleWang, J., Duan, S., Ju, S., Lu, S., & Jin, Y. (2022). Evolutionary Task Allocation and Cooperative Control of Unmanned Aerial Vehicles in Air Combat Applications. Robotics, 11(6), 124. https://doi.org/10.3390/robotics11060124

