Abstract
Random Phase Approximation (RPA) is the theory most commonly used to describe the excitations of many-body systems. In this article, the secular equations of the theory are obtained by using three different approaches: the equation of motion method, the Green function perturbation theory and the time-dependent Hartree–Fock theory. Each approach emphasizes specific aspects of the theory overlooked by the other methods. Extensions of the RPA secular equations to treat the continuum part of the excitation spectrum and also the pairing between the particles composing the system are presented. Theoretical approaches which overcome the intrinsic approximations of RPA are outlined.
1. Introduction
The aim of the Random Phase Approximation (RPA) theory is the description of harmonic excitations of quantum many-body systems. This theory was formulated by David Bohm and David Pines in the early 1950s at the end of a set of articles dedicated to the description of collective oscillations of electron gas [1,2,3]. The approximation is well defined in the first of these articles [1], where it is used to eliminate the random movement of single electrons out of phase with respect to the oscillations of the external probe exciting the system. The theory is presented only in the third of these articles [3] and does not contain any random phase to be approximated. However, the authors used the term Random Phase Approximation to identify the theory and it is by this name that it is nowadays commonly known.
The applications of RPA in the 1950s and 1960s were focused on the description of infinite, homogeneous and translationally invariant systems, such as electron gas. A detailed historical overview of the works of these early years is given in Ref. [4]. Advances in the computing technologies allowed the application of RPA also to finite systems such as atoms and especially nuclei. During the 1970s and 1980s, RPA was the main theoretical tool used to investigate nuclear excitations of various types (see, for example, Refs. [5,6] for a review). More recently, RPA has been applied to atomic and molecular systems [7]. Nowadays, RPA calculations are rather standard and relatively simple to carry out, so that they are, improperly, classified as mean-field calculations.
RPA belongs to the category of effective theories. These theories use particle–particle interactions which do not have a strongly repulsive core at small inter-particle distances, a feature characterizing instead the microscopic interactions which are tailored to describe two-particle data. Hartree–Fock (HF) and Density Functional Theory (DFT) are also effective theories. They are conceived to describe the ground state of many-body systems, while RPA starts from the assumption that the ground state is known and considers the problem of describing the excitation modes.
The validity of RPA is restricted to situations where the excitation energies are relatively small as compared to the global binding energies of the system. This means that RPA is not suitable for describing situations where the system undergoes deep modifications of its structure, such as fission in nuclei or phase transitions in fluid.
In the energy regime adequate to be described by RPA, it is plausible to separate the role of the external probe, which excites the system, from its response. Each probe, photon, electron, neutrino, hadron, electric and magnetic field, sound wave, etc., is described by a specific set of operators depending on the type of interaction with the system. The response of the system depends only on the interactions between its fundamental components. For this reason, the many-body response is universal, independent of the specific probe that induces it. RPA evaluates this universal response.
Regarding the theoretical aspects of the theory, I like to quote what David Pines and Philippe Nozières write in Chapter 5.2 of their book on quantum liquids [8]:
“The development, frequent independent rediscovery and gradual appreciation of the Random Phase Approximation offers a useful lesson to theoretical physicist. First, it illustrates the splendid variety of ways that can be developed for saying the same thing. Second, it suggests the usefulness of learning different languages of theoretical physics and of attempting the reconciliation of seemingly different, but obviously related results."
Despite this clear statement, RPA is commonly presented in the context of specific theoretical frameworks in order to attack some well identified problem. In this article, I want to focus attention on the theory in itself and I present three different ways of obtaining the secular RPA equations. In my opinion, this allows a richer comprehension of the theory, since each method emphasizes aspects overlooked by the other ones. The present article is not a review of the recent advances in the use of RPA theory, but it aims to be a guide to understand it by pointing out its underlying assumptions, its merits and its faults and by indicating how to improve it.
The starting point of every many-body theory is the Independent Particle Model (IPM) and in Section 2, I recall some aspects of this model which are important for the RPA theory. RPA secular equations are derived in Section 3, Section 4 and Section 5 by using, respectively, the method of the equations of motion, the perturbation calculation of the two-body Green function and the harmonic approximation of the time-dependent evolution of the HF equations.
The following two sections are dedicated to specific aspects which can be considered by RPA. In Section 6, I present how to describe the fact that one particle can be emitted from the system, and in Section 7 how to treat pairing effects between the particles. Some issues related to the pragmatic application of RPA in actual calculations are presented in Section 8.
Approaches that extend the usual RPA formulations are outlined in Section 9, and the formulation of an RPA-like theory able to handle microscopic interactions is presented in Section 10.
Despite my good intentions, I used numerous acronyms and to facilitate the reading I list them in Abbreviations.
2. Independent Particle Models
The starting point of all the many-body theories is the Independent Particle Model (IPM). In this model, each particle moves independently of the presence of the other particles. This allows the definition of single-particle (s.p.) energies and wave functions identified by a set of quantum numbers. This is the basic language necessary to build any theory where the particles interact among them.
2.1. Mean-Field Model
A very general expression of the hamiltonian describing the many-body system is
where A is the number of particles, each of them with mass . In the expression (1), the term containing the Laplace operator represents the kinetic energy, is a generic potential acting on each particle and is the interaction between two particles. The dots indicate the, eventual, presence of more complex terms of the interaction, such as three-body forces. Henceforth, we shall not consider these latter terms.
By adding to and subtracting from the expression (1) an average potential acting on one particle at a time, we obtain:
The part indicated by is a sum of terms acting on one particle, the i-th particle, at a time. We can define each term of this sum as s.p. hamiltonian ,
The basic approximation of the Mean-Field (MF) model consists in neglecting, in the expression (2), the term called residual interaction. In this way, the many-body problem is transformed into a sum of many, independent, one-body problems, which can be solved one at a time. The MF model is an IPM since the particles described by do not interact among them.
The fact that the hamiltonian is a sum of independent terms implies that its eigenstates can be built as a product of the eigenstates of
therefore
where
For fermions, the antisymmetry of the global wave function under the exchange of two particles implies that the wave function has to be described as the sum of antisymmetrized products of one-particle wave functions. This solution is known in the literature as Slater determinant [9]
Systems with global dimensions comparable to the average distances of two interacting particles are conveniently described by exploiting the spherical symmetry. We are talking about nuclei, atoms and small molecules. After choosing the center of the coordinate system, it is convenient to use polar spherical coordinates.
The single-particle wave function can be expressed as a product of a radial part, depending only on the distance from the coordinate center, with a term dependent on the angular coordinates and and, eventually, the spin of the particle. The angular part has a well known analytic expression. For example, in cases of an MF potential containing a spin-orbit term the s.p. wave functions are conveniently expressed as:
where the spherical harmonics and the Pauli spinors are connected by the Clebsch–Gordan coefficients and form the so-called spin spherical harmonics [10].
Systems with dimensions much larger than average distances between two interacting particles are conveniently described by exploiting the translational invariance. In condensed matter conglomerates, the translational symmetry dominates. A basic structure of the system is periodically repeated in three cartesian directions and it is not possible to find a central point.
The basic MF model for this type of system considers the potential to be constant. This fermionic system is commonly called Fermi gas. It is a toy model, homogeneous, with infinite volume, composed by an infinite number of fermions which do not interact with each other. Since the energy scale is arbitrary, it is possible to select without loosing generality. In this case, the one-body Schrödinger equation is
By defining
the eigenfunction of Equation (9) can be written as
where is the volume of the system and are the Pauli spinors related to the spin of the fermion and, eventually, to its isospin. The third components of spin and isospin are indicated as and , respectively. The physical quantities of interest are those independent of whose value, at the end of the calculations, is taken to be infinite.
The solution of the Fermi gas model provides a set of continuum single particle energies. Each energy is characterized by , as indicated by Equation (10). In the ground state of the system, all the s.p. states with k smaller than a value , called Fermi momentum, are fully occupied and those with are empty. Each state has a degeneracy of 2 in cases of electron gas and of 4 for nuclear matter where each nucleon is characterized also by the isospin third component.
2.2. Hartree–Fock Theory
The theoretical foundation of the MF model is provided by the Hartree–Fock (HF) theory, which is based on the application of the variational principle, one of the most used methods to solve the Schrödinger equation in an approximated manner. The basic idea is that the wave function which minimizes the energy, considered as functional of the many-body wave function, is the correct eigenfunction of the hamiltonian. This statement is correct when the search for the minimum is carried out by considering the full Hilbert space. In reality, the problem is simplified by assuming a specific expression of the wave function and the search for the minimum is carried out in the subspace spanned by all the wave functions which have the chosen expression. The energy value obtained in this manner is an upper bound of the correct energy eigenvalue of the hamiltonian. The formal properties of the variational principle are discussed in quantum mechanics textbooks.
For a fermion system, the HF equations are obtained by considering trial many-body wave functions which are expressed as a single Slater determinant. This implies the existence of an orthonormal basis of s.p. wave functions. The requirement that the s.p. wave functions are orthonormalized is a condition inserted in the variational equations in terms of Lagrange multipliers.
We continue this discussion by using Occupation Number Representation (ONR) formalism, which describes the operators acting on the Hilbert space in terms of creation and destruction operators. Concise presentations of this formalism are given in various textbooks, for example, in Appendix 2A of [11], in Appendix C of [12], in Appendix C of [13], in Chapter 4 of [14] and in Chapter 1 of [15].
In Appendix A we show that the hamiltonian of the many-body system, if only two-body interactions are considered, can be written as
where is the sum of the first two terms, while is the last term. We use the common convention of indicating with the latin letters s.p. states below the Fermi surface (hole states) and with the letters the s.p. states above the Fermi energies (particle states). Greek letters indicate indexes which have to be defined; therefore, in the above equation, their sums run on all the set of s.p. states. In Equation (12), is the energy of the s.p. state characterized by the quantum numbers and is the antisymmetrized matrix element of the interaction defined as
With the symbol , we indicate the normal order operator which, by definition, arranges the set of creation and destruction operators in the brackets such that their expectation value on the ground state is zero. By considering this property of , the expectation value of the hamiltonian between two Slater determinants assumes the expression
which clearly indicates that the contribution of the residual interaction is zero and the only part of the interaction which is considered is the one-body term . This is a consequence of considering a single Slater determinant to describe the system ground state.
In Equation (14), we expressed the energy as a functional of the Slater determinant . The search for the minimum of the energy functional is carried out in the Hilbert subspace spanned by Slater determinants. The quantities to be varied are the s.p. wave functions forming these determinants. These s.p. wave functions must be orthonormalized and this is an additional condition which has to be imposed in doing the variations. Therefore, the problem to be solved is the search for a constrained minimum and it is tackled by using the Lagrange multipliers technique.
The calculation is well known in the literature (see, for example, chapter XVIII-9 of [16] or Chapter 8.4 of [17]). The final result is a set of non-linear integro-differential equations providing the s.p. wave functions and the values of the Lagrange multipliers . In coordinate space, these equations can be expressed as
where the Hartree average potential is defined as
and the non-local Fock–Dirac term is
At this stage, the are the values of the Lagrange multipliers. A theorem, called Koopmans [18], shows that these quantities are the differences between the energies of systems with and A particles; therefore, they are identified as s.p. energies.
By neglecting the Fock–Dirac term, we obtain a differential equation of MF type. The Fock–Dirac term, also called the exchange term, changes the bare mean-field equation by inserting the effect of the Pauli exclusion principle.
The differential Equation (15) is solved numerically by using an iterative procedure. One starts with a set of trial wave functions built with MF methods. With these trial wave functions, the Hartree (16) and Fock–Dirac (17) terms are calculated and included in Equation (15) which is solved with standard numerical methods. In this way, a new set of s.p. wave functions is obtained and it is used to calculate new and potentials. The process continues up to convergence.
As already pointed out in the introduction, the interactions used in the HF calculations are not the microscopic interactions built to reproduce the experimental data of the two-particle systems. These microscopic interactions contain a strongly repulsive core and, if inserted in the integrals of Equations (15) and (16), they would produce terms much larger than . This would attempt calculating a relatively small number by summing and subtracting relatively large numbers. HF calculations require interactions which have already tamed the strongly repulsive core (an early discussion of this problem can be found in Chapter 13 of [12]).
2.3. Density Functional Theory
The HF theory is widely utilized in nuclear and atomic physics, but there are two problems concerning its use. A first one is related to the formal development of the theory and it shows up mainly in the nuclear physics framework where the commonly used effective interactions have a phenomenological input containing also terms explicitly dependent on the density of the system. Without these terms, the HF calculations do not reproduce binding energies and densities of nuclei. The addition of these terms allows the construction of interactions able to produce high quality results all through the nuclide table. The physics simulated by these density dependent terms is still a matter of study. Formally, the variational principle used to derive the HF equation is not valid when the interaction depends explicitly on the density.
The second problem is of pragmatic type and it is related to the difficulty in evaluating the Fock–Dirac term of Equation (15) for complicated systems which do not show a well defined symmetry, for example, complex molecules.
The Density Functional Theory (DFT) solves both problems. This theory is based on a theorem of Hohenberg and Kohn [19], formulated in the 1960s.
Let us express the hamiltonian of a system of A fermions of mass m as:
with
The kinetic energy term, and the external potential , are one-body operators, while the interaction term is a two-body potential. The kinetic energy term plus are characteristic of the many-fermion system, while depends on external situations and therefore, in principle, can be modified.
The Hohenberg–Kohn theorem states that there is a bijective correspondence between the external potential , the ground state and the number density
of the system.
The theorem has the following implications.
- (a)
- Because of the bijective mappingwe can consider the states as functionals of the density .
- (b)
- Because of (a), every observable is also a functional of . Specifically, this is true for the energy of the systemwhere the universal part, the part independent of the external potential, is defined as
- (c)
- The variational principle implies that for each the following relation holds:
The focus of the theory has moved from the many-body wave function to the much simpler one-body density . The idea of Kohn and Sham [20] is to reproduce the ground state density of a system of interacting fermions by using a fictitious system of non-interacting fermions. This is done by changing the external part of the hamiltonian. In this view, the density (20) is expressed as a sum of orthonormalized s.p. wave functions
where is the Fermi energy and KS indicates Kohn and Sham. The density (25) is generated by a one-body hamiltonian whose eigenstate is a Slater determinant . The energy functional built in the Kohn and Sham approach is usually expressed as:
where there is a kinetic energy term,
a Hartree term,
and an external mean-field term
The additional term, , is said to be of exchange and correlation.
The variational principle is applied to the energy functional (26) and the final result is, again, a set of non-linear integro-differential equations, which allows the evaluation of the Kohn and Sham s.p. wave functions
This set of equations is solved numerically with iterative techniques analogous to those used in the HF case. In Equation (30), only local terms appear, contrary to the HF equations which contain the non-local Fock–Dirac term. This makes the numerical solution of the KS equations much simpler than that of the HF equations and allows an application of the theory to systems difficult to treat with HF.
While the only input of the HF theory is the effective interaction , in the DFT one has, in addition, to define the exchange and correlation term . The strategy for choosing this term is an open problem of investigation in the field.
Formally speaking, the s.p. wave functions and the Lagrange multipliers of Equation (30) do not have a well defined physical interpretation. From the pragmatical point of view, the values of these latter quantities are very close to the s.p. energies of the HF theory defined by Koopmans’ theorem.
2.4. Excited States in the Independent Particle Model
The IPM is quite successful in describing the ground state properties of the fermion systems. This is also due to the fact that effective interactions are tailored to make this work. A good example of this is provided by the AMEDEE compilation of Hartree–Fock–Bogolioubov results concerning the ground states of nuclear isotope chains from up to [21]. Experimental values of binding energies and charge density radii are described with excellent accuracy by using a unique and universal effective nucleon–nucleon interaction. The situation changes immediately as soon as one tries to apply the same theoretical scheme to describe excited states.
The basic ansatz of the IPM is that a many fermion system can be described by a single Slater determinant . The Slater determinant describing the ground state, , has all the s.p. states below the Fermi energy (hole states) fully occupied, while those above it (particle states) are completely empty. In this picture, excited states are obtained by promoting particles from states below the Fermi surface to states above it. By using the ONR, this procedure can be formally described as
where the p’s indicate particle states and the h’s the hole states. The number N of creation or destruction operators is obviously smaller than A, the number of fermions. The state is a Slater determinant where N hole states have been changed with N particle states and it is the eigenstate of the IPM hamiltonian
The excitation energy of this system is given by the difference between the s.p. energies of the particle states and that of the hole states
A good example of the failure of this approach in describing the excitations of a many-body systems is provided by the case of the Pb nucleus. We show in Figure 1 the scheme of the s.p. levels around the Fermi energy of this nucleus. The energies of these levels have been obtained by exploiting Koopmans’ theorem, i.e., by subtracting the experimental binding energies of the nuclei with one nucleon more or less, with respect to Pb. These nuclei are Tl, Bi and the two lead isotopes Pb and Pb. From the experimental values of the angular momenta of these odd–even nuclei, we identified the quantum numbers of the s.p. levels.
Figure 1.
Sketch of the s.p. levels around the Fermi surface in Pb. The numbers indicate, in MeV units, the s.p. energies obtained as differences between the experimental binding energies of the nuclei with one nucleon more or less than Pb.
The first excited state in the IPM framework is that obtained by promoting the nucleon lying on the s.p. state just below the Fermi surface to the state just above it. In the present case, this one-particle one-hole () excitation for the protons will be produced by the transition from the state to the state. The excitation energy of this transition is 4.209 MeV, the parity is negative and the total angular momentum is 4 or 5. The analogous transition for the neutrons also implies a negative parity value and excitation energies of 3.431 MeV and also in this case the angular momentum values of the excited state can be 4 or 5. Measurements indicate that the first excited state of the Pb has an excitation energy of 2.614 MeV with angular momentum 3 and negative parity. Evidently, the IPM is unable to predict the presence of this state. The part of the hamiltonian disregarded by the IPM, the residual interaction, plays an important role. RPA considers the presence of the residual interaction in the description of the excitations of a many-body system.
3. RPA with the Equation of Motion Method
The first approach I present in order to obtain the RPA secular equations is the Equation of Motion (EOM) method inspired by the Heisenberg picture of quantum mechanics.
Let us define an operator, , whose action on the ground state of the system defines its excited states
which satisfy the eigenvalue equation
In the above equations, the index indicates all the quantum numbers characterizing the excited state. For example, in a finite fermion system, they are the excitation energy, the total angular momentum and the parity. The choice of defines completely the problem to be solved, and also the ground state of the system through the equation
It is worth remarking that the states are not eigenstates of the full hamiltonian but, depending on the choice of , they are eigenstates of only a part of the hamiltonian. For example, if , ground and excited states are Slater determinants of the IPM described in Section 2.4. As has been already pointed out by discussing Equation (14), this choice does not consider the contribution of the residual interaction.
Let us calculate the commutator of the operator with the hamiltonian
and for the operator , we obtain
because of Equation (36).
We multiply Equation (37) by a generic operator and by and we subtract the complex conjugate. For Equations (37) and (38), we obtain
since .
This result is independent of the expression of the operator . In the construction of the various theories describing the system excited states, the operator is substituted by the operator representing an infinitesimal variation of the excitation operator defined by Equation (34).
3.1. Tamm–Dankoff Approximation
A first choice of the consists in considering the excited state as a linear combination of particle–hole excitations. This means that the excited state is not any more a single Slater determinant as in the IPM, but it is described by a sum of them. This choice of , leading to the so-called Tamm–Dankoff approximation (TDA), is
where is a real number and the usual convention of indicating the hole states with the letters and the particle states with has been adopted.
The definition (40) of the operator implies that the ground state satisfying Equations (37) and (38) is the IPM ground state . In effect
since it is not possible to remove particles above the Fermi surface or to put particles below it.
An infinitesimal variation of the operator can be expressed as
since only the amplitudes can change. By substituting with in Equation (39), we obtain
Every variation is independent of the other ones. For this reason, the above equation is a sum of terms independent of each other. The equation is satisfied if all the terms related to the same variation of satisfy the relation. We can formally express this concept by considering a single term of the sum and by dividing it by which is, by our choice, different from zero
Let us calculate the right hand side of Equation (44):
We apply Wick’s theorem (see, for example, Ref. [22]) to the first term
where the lines indicate the operators to be contracted.
The evaluation of the double commutator of the left hand side of Equation (47) is explicitly presented in Appendix B. We insert the results of Equations (A14) and (A19) into Equation (47) and we consider the symmetry properties of the antisymmetrized matrix element of the interaction , Equation (13). Finally, we obtain the TDA equations:
The expression (48) represents a homogenous system of linear equations whose unknowns are the . The number of unknowns, and therefore of solutions, is given by the number of particle–hole pairs which truncates the sum.
The normalization condition of the excited state induces a relation between the amplitudes:
which defines without ambiguity the values of the and suggests their probabilistic interpretation.
The TDA theory describes not only the energy spectrum of the system, but also for each excited state it provides the many-body wave function written in terms of single-particle states. This allows the calculation of the transition probability from the ground state to an excited state.
Let us assume that the action of the external field which excites the system is described by a one-body operator
The transition probability from the ground state to a TDA excited state is
where we used Wick’s theorem as in Equation (46). The many-body transition probabilities are described in terms of single-particle transition probabilities.
3.2. Random Phase Approximation
3.2.1. Limits of the TDA
The comparison between the TDA results and the experimental data is not satisfactory, especially in nuclear physics. For this reason, since the second half of the 1960s, the assumptions related to the TDA theory have been carefully analyzed. These assumptions are related to the choice of the expression (42) of the operator. From these studies, it appeared clear that this choice is inconsistent with the equations of motion (39).
This inconsistency can be seen in the following manner. The equation of motions (39) were obtained without making any assumption on the operator . For the operator , the equations of motion are:
By inserting the expression of the TDA operator (42) in the right hand side of the above equation, we obtain
This result requires that also the left hand side of Equation (52) be zero. The one-body term of the hamiltonian has a double commutator equal to zero
but the double commutator of the interaction term is not equal to zero.
3.2.2. RPA Equations
The most straightforward way of extending the TDA is to consider the RPA excitation operator (42) defined as
where both and are numbers.
RPA ground state is defined by the equation . Evidently is not an IPM ground state, i.e., a single Slater determinant. In this last case, we would have
The first term is certainly zero, while the second one is not zero. RPA ground state is more complex than the IPM ground state and it contains effects beyond it. These effects, called generically correlations, are here described in terms of hole–particle excitations, as we shall discuss in Section 3.2.6.
From the definition (54) of RPA amplitudes, we obtain and by inserting it as in the equations of motion (39) we obtain
As in the TDA case, the above equation represents a sum of independent terms since each variation is independent of the other ones. By making equal the terms related to the same variation, we obtain the following relations
Let us consider the left hand side of Equation (56)
These equations define the elements of the A and B matrices.
We calculate the right hand side of Equation (56) by using an approximation known in the literature as Quasi-Boson-Approximation (QBA) consisting in assuming that the expectation value of a commutator between RPA ground states has the same value of the commutator between IPM states . In the specific case under study, we have that
It is worth remarking that the QBA can be applied only for expectation values of commutators. The idea is that pairs of creation and destruction operators follow the rule
which means that the operators and behave as boson operators.
By using the QBA, we can write
where we have taken into account that the terms multiplying do not conserve the particle number and, furthermore, that . Equation (56) becomes
For the calculation of the left hand side of Equation (57), we consider that:
since and then
The double commutator becomes
where we considered the definitions of the matrix elements A and B in Equation (58).
For the calculation of the right hand side of Equation (57) by using the QBA, we have
therefore, Equation (57) becomes
Equations (61) and (66) represent a homogenous system of linear equations whose unknowns are RPA amplitudes and . Usually, this system is presented as
where A and B are square matrices whose dimensions are those of the number of the particle–hole pairs describing the excitation, and X and Y are vectors of the same dimensions.
The expressions of the matrix elements of A and B in terms of effective interaction between two interacting particles are obtained as in Appendix B and they are:
3.2.3. Properties of RPA Equations
We consider RPA equations in the form
where is the excitation energy.
- If , we obtain the TDA equations.
- We take the complex conjugate of the above equations and obtainThis indicates that RPA equations are satisfied by positive and negative eigenvalues with the same absolute value.
- Eigenvectors corresponding to different eigenvalues are orthogonal.Let us calculate the hermitian conjugate of the second equationWe multiply the first equation by on the left hand side, and the second equation on the right hand side byand we obtainBy subtracting the two equations, we haveSince we assumed , we obtain
- The normalization between two excited states requireswhere we used the fact that to express the operator as commutator in order to use the QBA.
3.2.4. Transition Probabilities in RPA
In analogy with the TDA case, we assume that the action of the external field exciting the system is described by a one-body operator expressed as in Equation (50). The transition probability between RPA ground state and excited state is described by
where we used, again, the fact that . Since the equation is expressed in terms of commutator we can use the QBA
The two matrix elements are
therefore,
Also in RPA, the transition amplitude of a many-body system is expressed as a linear combination of single-particle transitions.
3.2.5. Sum Rules
We show in Appendix C that, in general, by indicating with the eigenstates of the hamiltonian
for an external operator inducing a transition of the system from the ground state to the excited state one has that:
This expression puts a quantitative limit on the total value of the excitation strength of a many-body system. This value is determined only by the ground state properties and the knowledge of the excited states structure is not required. The validity of Equation (75) is related to the fact that the are eigenstates of . In actual calculations, states based on models or approximated solutions of the Schrödinger equations are used and Equation (75) is not properly satisfied.
On the other hand, for RPA theory, it has been shown [23] that the following relation holds
The above expression, formally speaking, is not a true sum rule since in the left hand side there are RPA states, both ground and excited states, while in the right hand side there is an IPM ground state. These two types of states are not eigenstates of the same hamiltonian. When the residual interaction is neglected, one obtains mean-field excited states , i.e., single Slater determinants with a single particle–hole excitation. In this case, Equation (75) is verified since all these mean-field states are eigenstates of the unperturbed hamiltonian
where the excitation energies of the full system are given by the difference between the single-particle energies of the particle–hole excitation.
Since in RPA the full hamiltonian is considered, by inserting this expression in Equation (76) we obtain
For operators which commute with , the IPM and RPA sum rules coincide.
3.2.6. RPA Ground State
We have already indicated that RPA ground state is not an IPM state but it contains effects beyond it, correlations, expressed in terms of hole–particle excitations. A more precise representation of the RPA ground state comes from a theorem demonstrated by D. J. Thouless [23] leading to an expression of the RPA ground state of the type [13]:
where is a normalization constant and the operator is defined as
The sum considers all the particle–hole, , and hole–particle, , pairs and the index runs on all the possible angular momentum and parity combinations allowed by the particle–hole and hole–particle quantum numbers. We indicated with an amplitude weighting the contribution of each couple of .
Starting from the above expression, it is possible to calculate the from the knowledge of RPA and amplitudes [14]. By using these expressions, the expectation value of a one-body operator with respect to the RPA ground state can be expressed as [24,25]
This clearly shows that the amplitudes modify the expectation value of the operator with respect to the IPM result. In TDA, the ground state is and the Y amplitudes are zero; therefore, the expectation value of is given by the sum of the s.p. expectation values of the states below the Fermi energy, as in the pure IPM. The TDA theory does not contain ground state correlations as indicated in Equation (41).
4. RPA with Green Function
4.1. Field Operators and Pictures
In this section, we use the field operators , which creates a particle in the point . The hermitian conjugate operator destroys a particle positioned in . These two operators are related to the creation and destruction operators via the s.p. wave functions generated by the solution of the IPM problem:
These equations can be inverted to express the creation and destruction operators in terms of field operator
where we exploited the orthonormality of the . By using the anti-commutation relations of the creation and destruction operators, see Equation (A3), we obtain analogous relations for the field operators:
In the Heisenberg picture [16,22], the states are defined as
with respect to those of the Schrödinger picture . In the above equations, is the full many-body hamiltonian. The states in the Heisenberg picture are time-independent and the time evolution of the system is described by the operators whose relation with the time-independent operators of the Schrödinger picture is:
satisfying the equation:
By separating the hamiltonian in the Schrödinger picture into two parts
it is possible to define an interaction picture whose states are defined as
and the operators
In the interaction picture [22], both states and operators evolve with the time as indicated by the equations
and
The fermionic field operators in the Heisenberg and interaction picture are, respectively, defined as:
It can be shown that the anti-commutation relations (84) of the field operators, as well as those of the creation and destruction operators, see Equations (A3), are conserved in every representation [22].
4.2. Two-Body Green Function and RPA
The two-body Green function is defined as
In the above expression, indicates the ground state of the system in Heisenberg representation and is the time-ordering operator which arranges the field operators in decreasing time order. Because of the possible values that the times can assume, there are cases, but, for the symmetry properties
only six of them are independent. Out of these six cases, only three have physically interesting properties and between these latter cases we select that where which implies
and describes the time evolution of a pair.
Since we work in a non-relativistic framework, the creation and also the destruction, of a particle–hole pair is instantaneous; therefore, we have that
For this case, we express the two-body Green function in terms of creation and destruction operators as
where it is understood that all the creation and destruction operators are expressed in the Heisenberg picture. The previous equation defines a two-body Green function depending on the quantum numbers characterizing the single-particle states.
Since this Green function depends only on the time difference , we find it convenient to define the energy dependent two-body Green function as
For the case , by considering the expression of the creation and destruction operators in the Heisenberg picture, see Equation (86), and the fact that is eigenstate of whose eigenvalue is , we obtain the expression
We can express the value of the time integral as
therefore,
With an analogous calculation for the case, we obtain
By inserting the completeness of the eigenfunctions of , and considering , we obtain the expression
In this expression, the states have the same number of particles as the ground state. The energy values related to the poles, , represent the excitation energies of the A particle system.
The unperturbed two-body Green function is obtained by substituting in Equation (104) the eigenstates of the full hamiltonian with , the eigenstates of the IPM hamiltonian . In this case, the action of the creation and destruction operators is well defined and the energy eigenvalues are given by the s.p. energies of the pair. Because of the properties of the creation and destruction operators we have that
and
We show in Appendix D that the two-body Green function is strictly related to the response of the system to an external probe. By using , the one-body operator of Equation (50) describing the action of the external probe, we can write the transition amplitude from the ground state to an excited state as
where indicates the matrix element between s.p. wave functions.
The expression (107) of the transition amplitude separates the action of the external probe from the many-body response which is described by the two-body Green function. This latter quantity is related to the interaction between the particles composing the system and it is a universal function independent of the kind of probe perturbing the system. The knowledge of allows a direct comparison with observable quantities such as scattering cross sections.
In the time-dependent perturbation theory, a theorem, called Gell–Man and Low, indicates that the eigenvector of the full hamiltonian can be written as [22]:
where the time evolution operator can be expressed in powers of the interaction expressed in the interaction picture
In the above equation, we dropped the subindex to simplify the writing.
We insert Equation (108) into the expression (94) of the two-body Green function and we obtain a perturbative expression of the full interacting Green function in powers of and of the unperturbed two-body Green function .
It is useful to consider a graphical representation of the Green function, as indicated in Figure 2. The full two-body Green function is indicated by two continuous thick lines. The upward arrows stand for the particle state and the downward for the hole. The continuous thin lines indicate the unperturbed Green function . In the figure, we consider only two-body interactions, i.e., which is represented by a dashed line, with indicating both space and time coordinates.
Figure 2.
Graphical representation of the perturbation expansion of the interacting Green function. The double thick lines represent , the double thin lines and the dashed lines the two-body interaction .
Figure 2 shows some of the terms we obtain by carrying out the perturbation expansion of the two-body Green function. The explicit expressions of the various terms are presented in Appendix E. We observe that there are diagrams which, by cutting particle and hole lines, can be separated into two diagrams already present in the expansion. This is the case, for example, of the diagram E of the figure which is composed by two diagrams of C type and by the diagram G which is given by the product of a diagram of C type and another one of F type. The contribution of these diagrams can be factorized in a term containing the four coordinates of the full Green function times, another term which does not contain them. The sum of all the diagrams of this second type is identical to that of all the diagrams of the denominator; therefore, these two contributions simplify the matter. Finally, the calculation of can be carried out by considering only the remaining diagrams of the numerators which are called irreducible.
Formally, this can be expressed with an equation similar to the Dyson’s equation for the one-body Green function [22]:
A graphical representation of Equation (110) is shown in Figure 3. The dashed area indicates the kernel containing all the irreducible diagrams which can be inserted between the four y points.
Figure 3.
Graphical representation of Equation (110). The criss-cross box represents the proper kernel .
RPA consists in considering, in the previous equation, instead of the full kernel , a single interaction depending only on two coordinates
therefore,
where we separated the direct and the exchange terms. The graphical representation of the above equation is given in Figure 4.
Figure 4.
Graphical representation of the two-body Green function in RPA.
In mixed representation, RPA equations are
where we used .
As indicated by Equations (105) and (106), there are two possibilities of forming non-zero unperturbed Green functions. By adopting the usual convention of indicating with the hole states and with the particle states, we express RPA Equation (113) as:
where we have defined the matrices
The calculation is outlined in detail in Appendix F. These equations can be expressed in matrix form. By defining
we obtain
The two-body Green functions depend on the energy E. The poles of these Green functions are the excitation energies of RPA excited states . When the value of the energy E corresponds to that of a pole, the value of the Green function goes to infinity; therefore, Equation (121) remains valid only if the matrix of the coefficients goes to zero. For this reason RPA excitation energies are those of the non-trivial solution of the homogeneous system of equations
which is the expression (67) of RPA equations.
In Section 3.2.3, we have shown that RPA equations for each positive eigenvalue admit also a negative eigenvalue . The set of the vectors of the X and Y amplitudes is orthogonal
and complete
where indicates the sum on the positive and the sum on the negative values, as indicated by Equation (70). By inserting the above expressions in Equation (121), we identify the solution as
where always. The comparison with the expression of the two-body Green function in the representation of Equation (104) allows the identification of the X and Y amplitudes as
where and are, respectively, RPA excited and ground states, which we called and in Section 3.2.2.
Infinite Systems
In an infinite and homogeneous system with translational invariance, the s.p. wave functions are the plane waves (11) characterized by the modules of the wave vector . If we use the representation of Equation (104) of the unperturbed two-body Green function, we obtain terms of the kind
since the action of the creation and destruction operators on the IPM states is well defined.
We consider Green functions depending on the energy, as indicated by Equation (99). In this representation, by inserting the plane wave function in Equation (98), we obtain for the unperturbed two-body Green function the expression
clearly indicating that there is a dependence only on the difference between the particle and hole coordinates. This is a consequence of the translational invariance of the system. The interacting Green function and the kernel of Equation (110) depend only on the coordinate difference. We can define the Fourier transforms of these quantities depending on the modules of two momenta
the kernel does not depend on the energy E.
By inserting these definitions in RPA Equation (112) and substituting with , which is RPA ansatz, we obtain
where the second term of the right hand side is called direct and the third term is the exchange. The integration on the coordinates in the direct term leads to the relations
while that of the exchange term leads to
By considering the above conditions, we have
If we neglect the exchange term, we have a simple algebraic relation between the Green functions in momentum space
This expression is commonly used to calculate the linear response of infinite fermion systems to an external probe. The graphical representation of the above equation is given in Figure 5. The equation represents an infinite sum of diagrams of ring form and it is, therefore, called ring approximation.
Figure 5.
Graphical representation of the ring diagram approximation in RPA.
The exchange term cannot be factorized as the direct one. The inclusion of this term is sometimes treated by using approximated treatments. One of them is the continuous fraction technique [26,27].
5. RPA with Time-Dependent Hartree–Fock
Another way of obtaining RPA secular Equation (67) is that of using time-dependent Hartree–Fock (TDHF) equations and the variational principle. We apply the variational principle to the time-dependent Schrödinger equation
The search for the minimum of the above functional of is carried out in the Hilbert subspace spanned by many-body wave functions of the form
where the time-dependent IPM state has been defined as
In the above equation, is the stationary Hartree–Fock ground state of which , Equation (14), is the energy eigenvalue. In Equation (133), the variation of the real and of the imaginary part of are independent. The variation is carried on the only time dependent terms which are and . We obtain a system composed by the equations
We consider Equation (136) and calculate the expectation value of operators by using the power expansion of the exponential
For the hamiltonian expectation value, we obtain the expression
The first term of the above equation is the of Equation (14). The linear terms in are all zero since they overlap with orthogonal Slater determinants, or, in other words, since the number of operators is odd.
Let us calculate the matrix element of the fifth term by using the expression of the hamiltonian given in Equation (12)
The first and second terms are zero because of the orthogonality of the Slater determinants. With a calculation analogous to that leading to the interacting term of in Equation (68) (this calculation is presented in Equation (A19)), we obtain
The fifth term of Equation (139) can be written as
By working in an analogous manner for the fourth term of Equation (139), we obtain
The expression of the last term of Equation (139) is
where we used the definition (14) of . The final expression of Equation (139) is then
Let us calculate the second term of Equation (136), containing the time derivation. By considering the expression (134) of , we have
We make a power expansion of the exponential function in Equation (134) and obtain
and after the application of the Wick’s theorem
The terms of first order in C are zero because of the odd number of excitation pairs. By using the power expansion of the exponential to calculate the second term of Equation (146), we have
The term related to the time derivative becomes
We put together the results of Equations (145) and (150); we consider terms up to the second order in C and obtain the expression
We have to impose the variational condition
where the variational derivative has been changed in partial derivatives since the C’s are the only terms depending on time. By working out the derivative, we obtain the expression
We consider harmonic oscillations around the ground state
where X, Y and are real numbers. By inserting this expression in Equation (153) and separating the positive and negative frequencies, we obtain the system of equations
which is identical to Equation (67) where the A and B matrices have been defined by Equations (68) and (69).
6. Continuum RPA
If the excitation energy of the system is larger than , the particle lying on this state can be emitted and leave the system. In an atom, this effect produces a positive ion, in a nucleus a new nucleus with nucleons. The RPA approach which explicitly considers the emission of a particle is called Continuum RPA (CRPA), where continuum refers to the fact that for the IPM Schrödinger equation has a continuous spectrum. In this case, the s.p. wave function has an asymptotically oscillating behavior.
In CRPA, the operator (54) defining the excited state is written as
where we have introduced the symbol
to indicate a sum on the discrete energies and an integral on the continuum part of the spectrum. The symbol indicates the set of quantum numbers characterizing the particle state with the exclusion of the energy.
RPA secular Equation (67) with the continuum can be written as
where we have explicitly written the dependences on the particle energies which are now continuous variables.
In order to discuss the implications related to the fact that can assume a continuous set of values, it is useful to express the X and Y RPA amplitudes as:
When assumes the value , in the integrals of (159) and (160), the X amplitudes have a pole. In the above expression, the contribution of the pole, multiplied by a constant , is separated from the principal part, indicated by .
The CRPA secular equations in terms of the new unknown can be written as
The above equations indicate a system of linear equations whose unknowns are the B’s.
The continuum threshold, , is the minimum value of the energy necessary to emit the particle, i.e., the absolute value of the s.p. energy of the hole state closest to the Fermi surface. For , no particle can be emitted. In this case, all the ; therefore, the system is homogeneous. Solutions, different from the trivial one, are obtained when the determinant of the known coefficients is zero. This happens for some specific values of the excitation energy . Below the emission threshold, the CRPA equations predict a discrete spectrum of solutions. When , some pairs have enough energy to put the particle in the continuum, i.e., with . In the CRPA jargon these pairs are called open channels. Obviously, the other pairs where are called closed channels. Every open channel generates a coefficient different from zero in the right hand side of Equations (163) and (164). The problem is defined by imposing boundary conditions, which is equivalent to saying that we have to select specific values of the coefficients. The choice commonly adopted consists in imposing that the particle is emitted in a specific open channel, called elastic channel. This means
where and are the quantum numbers characterizing the elastic channel. The sums in terms of the right hand sides of Equations (163) and (164) collapse to a single term. For each value of the excitation energy , the system has to be solved a number of times equal to the number of open channels.
The solution of the CRPA system of equations can be obtained by solving directly the set of Equations (163) and (164). The s.p. particle wave functions in the continuum are obtained by solving the s.p. Schrödinger equation with asymptotically oscillating boundary conditions. This is the classical problem of a particle elastically scattered by a potential. This problem has to be solved for a set of energy values mapping the continuum in such a way that the integral of Equation (158) is numerically stable. This means that must reach values much larger than those of the excitation energy region one wants to investigate. The selection of the values to obtain the s.p. wave function is not a simple problem to be solved. The various particles may have more or less sharp resonances and they have to be properly described by the choice of the values mapping the continuum.
There is another technical problem in the direct approach to the solution of the CRPA Equations (163) and (164). The numerical stability of the interaction matrix elements is due to the fact that, in the integrals, hole wave functions, which asymptotically go to zero, are present. This works well for the direct matrix elements
but it is a problem for the exchange matrix element
where the two particle wave functions, both oscillating, are integrated together. The direct approach is suitable to be used with zero-range interactions . In this case, direct and exchange matrix elements are identical
and the hole wave functions are always present in the integral. This ensures the numerical convergence. The direct approach is used, for example, in Refs. [28,29], where the CRPA equations are expanded on a Fourier–Bessel basis.
Another method of solving the CRPA equations consists in reformulating the secular Equations (159) and (160) with new unknown functions which do not have explicit dependence on the continuous particle energy . The new unknowns are the channel functions f and g defined as:
and
In the first step of this procedure, we multiply Equations (163) and (164) by , which is the eigenfunction of the s.p. hamiltonian
and we obtain
Since the s.p. hamiltonian does not depend on , we can write
We apply this procedure, i.e., multiplication of and integration on , to all the terms of Equations (159) and (160). By considering that
we obtain a new set of CRPA secular equations where the unknowns are the channel functions f and g,
where we have defined
and is obtained from the above equation by interchanging the f and g channel functions. The last terms of both Equations (174) and (175) are the contributions of particle wave functions which are not in the continuum.
We changed a set of algebraic equations with unknowns depending on the continuous variable into a set of integro-differential equations whose unknowns depend on . In analogy to what we have discussed above, for the direct solution of the CRPA secular equations, we solve Equations (174) and (175) a number of times equal to the number of the open channels, by imposing that the particle is emitted only in the elastic channel.
In spherical systems, the boundary conditions are imposed on the radial parts of the f and g functions. For an open channel, the outgoing asymptotic behavior of the channel function is
where is a complex normalization constant and is an ingoing Coulomb function if the emitted particle is electrically charged or a Hankel function in cases of neutron. The radial part of the s.p. wave function is the eigenfunction of the s.p. hamiltonian for positive energy. In the case of a closed channel, the asymptotic behavior is given by a decreasing exponential function
in analogy to the case of the channel functions ,
This approach solves the two technical problems of the direct approach indicated above, since the integration is formally done in the definition of the two channel functions f and g.
These CRPA secular equations can be solved by using a procedure similar to that presented in Refs. [30,31]. The channel functions f and g are expanded on the basis of Sturm functions which obey the required boundary conditions (177)–(179).
In the IPM, the particle emission process is described by considering that a particle lying on the hole state is emitted in the particle state . The CRPA considers this fact in the elastic channel and, in addition, takes care of the fact that the residual interaction mixes this direct emission with all the other pairs compatible with the total angular momentum of the excitation.
7. Quasi-Particle RPA (QRPA)
In the derivations presented in the previous sections, we considered that the IPM ground state is defined by a unique Slater determinant , where all the s.p. states below the Fermi energy are fully occupied and those above it are completely empty. This description does not consider the presence of an effect which is very important in nuclei: the pairing. This effect couples two like-fermions to form a unique bosonic system. In metals this produces the effects of superconductivity. In nuclear physics this leads to the fact that all the even–even nuclei, without exceptions, have spin zero.
A convenient description of pairing effects is based on the Bardeen–Cooper–Schrieffer (BCS) theory of superconductivity [32]. In this approach, the choice of for the description of the system ground state is abandoned.
Let us consider a finite fermion system and use the expression Equation (8) for the s.p. wave functions. We introduce a notation to indicate time-reversed s.p. wave functions
The BCS ground state is defined as
where we have indicated with the state describing the physical vacuum. The factor is the occupation probability of the k-th s.p. state, and the probability of being empty. When pairing effects are negligible, for example, in doubly magic nuclei, for all the s.p. states below the Fermi surface and for all the states above it; therefore, .
A convenient manner of handling the states is to define quasi-particle creation and destruction operators which are linear combinations of usual particle creation and destruction operators. The relations are known as Bogoliubov–Valatin transformations
Since the quasi-particle operators are linear combination of the creation and destruction operators, anti-commutation relations analogous to (A3) are valid also for the and operators. It is possible to show that [14]
indicating that the states can be appropriately called quasi-particle vacuum. The BCS ground state is not an eigenstate of the number operator
and the number of particles is conserved only on average [13,14]
The values of the coefficients, and consequently those of , are obtained by exploiting the variational principle. For this reason, it is common practice to use a definition of the hamiltonian containing the Lagrange multiplier , related to the total number of particle A
The hamiltonian is written by expressing in Equation (A13) the and operators in terms of the quasi-particle operators and . By observing the operator structure, it is possible to identify four different terms (see Equation (13.32) of [14])
where is present only in the first three terms. The various terms are defined as follows.
- is purely scalar,
- depends on ,
- depends on .
- , where
- depends on ,
- depends on ,
- and finally,with
In the above equations, we used the following scalar quantities:
Because of Equation (184) the expectation value of with respect to the BCS ground state is
therefore, the application of the variational principle is
which implies the relation [13,14]:
We insert the above result in Equation (190) and obtain the BCS s.p. energies
In the BCS approach, the radial expressions of the s.p. wave functions are obtained by carrying out IPM calculations and only the occupation amplitudes and are modified. There is a more fundamental approach, the Hartree–Fock–Bogolioubov theory, where s.p. wave functions, energies and occupation probabilities are calculated in a unique theoretical framework whose only input is the effective nucleon–nucleon interaction.
After having defined a new ground state containing pairing effects, we can use it to develop the theory describing the harmonic vibrations around it. The derivation of the QRPA secular equations is carried out by using the EOM method described in Section 3. In this case, the Slater determinant is substituted by the BCS ground state and the particle creation and destruction operators and by the quasi-particle operators and . The QRPA excitation operator is given by
The indexes a and b containing all the quantum numbers which identify the quasi-particle states are not, any more, referred to as particle or hole states. In this approach, the idea of Fermi surface has disappeared. Each quasi-particle state can be partially occupied. For this reason, in the above equation, we had to impose restrictions on the sums in order to avoid double counting.
In the present case, the EOM (39) assumes the expression
where we have substituted with . Following the steps of the derivation of RPA equations, see Section 3.2, and defining A and B matrices as
it is possible to obtain a set of linear equations analogous to those of RPA
which can be written in matrix form analogously to Equation (67). This calculation is explicitly carried out in Chapter 18 of Ref. [14] and it shows that only , and contribute to the A and B matrices. These matrices contain, in addition to the particle–hole excitations present in the common RPA, also particle–particle and hole–hole transitions, since each s.p. state is only partially occupied. The solution of the QRPA secular equations, for each excited state, provides the X and Y amplitudes which indicate the contribution of each quasi-particle excitation pair.
The QRPA solutions have the same properties of those of RPA solutions. The QRPA equations allow positive and negative eigenergies with the same absolute value. Eigenvectors corresponding to different energy eigenvalues are orthogonal. The set of QRPA eigenstates is complete.
The transition amplitudes from the QRPA ground state to an excited state, induced by an external one-body operator , Equation (50), is
For transitions only, when and one recovers the ordinary RPA expression (74).
8. Specific Applications
In this section, I discuss some pragmatic issues arising in actual RPA calculations. The input of RPA calculations is composed by the s.p. energies and wave functions and also by the effective interaction between the particles forming the system. There are various possible choices of these quantities and they define different types of calculations.
A fully phenomenological approach is based on the Landau–Migdal theory of finite Fermi systems [33,34]. In this theory, the attention is concentrated on the small vibrations on top of the ground state, which is assumed to be perfectly known. The s.p. wave functions are generated by solving the MF Equation (4) with a phenomenological potential whose parameters are chosen to reproduce at best the empirical values of the s.p. energies of the levels around the Fermi surface. In RPA calculations, these empirical values are used when available; otherwise, the s.p. energies obtained by solving the MF equation are considered. The interaction is a zero-range density dependent Landau–Migdal force whose parameters are selected to reproduce some empirical characteristics of the excitation spectrum.
This approach has shown a great capacity to describe features of the excited states and also a remarkable predictive power. For example, the presence of a collective monopole excitation in Pb was predicted at the right energy [35] before it was identified by experiments with [36] and He scattering [37]. The drawback consists in the need for a continuous tuning of the MF potential and the interaction parameters, since the results strongly depend on the input. This means that there is a set of force parameters for each nucleus, and also in the same nucleus the values of these parameters change if the dimensions of the configuration space are modified.
An approach which avoids this continuous setting of the free parameters is the so-called self-consistent approach. In this case, the s.p. wave functions and energies are generated by solving HF or DFT equations. The parameters of the effective interaction are tuned to reproduce at best experimental binding energies and charge radii, all along the isotope table. The same interaction, unique for all the nuclei, is used also in RPA calculations.
The density dependent zero-range Skyrme force is probably the interaction most used in this type of calculation [38]. The zero-range characteristic allows great simplifications of the expressions of the interaction matrix elements and the numerical calculations are relatively fast. There are tens of different sets of parameters of the Skyrme force, each of them properly tuned to describe some specific characteristics of the nuclei. The zero-range feature of the Skyrme force is mitigated by the presence of momentum dependent terms. On the other hand, the sensitivity on the dimensions of the s.p. configuration space is not negligible. For this reason, in BCS and QRPA calculations it is necessary to use a different interaction to treat the pairing.
These drawbacks are overcome by interactions which have finite range, a feature which clearly makes much more involved the numerical calculations. A widely used finite-range interaction is that of Gogny [39]. Despite this difference, the philosophy of the calculations carried out with the two kinds of interaction is the same: a unique force, valid all along the nuclide chart, tuned to reproduce ground state properties with HF calculations and used in RPA. Discrete RPA calculations carried out with Gogny force show a convergence of the results after certain dimensions of the configuration space have been reached.
The self-consistent approach does not provide an accurate description of the excited states obtained with the phenomenological approach. On the other hand, by using self-consistent approaches it is possible to make connections between the properties of the ground and of the excited state and also between features appearing in different nuclei, everything described within a unique theoretical framework. This approach can make predictions on properties of nuclei far from stability where empirical quantities have not yet been measured.
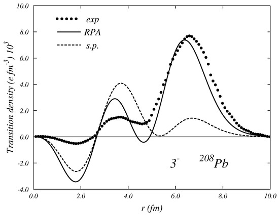
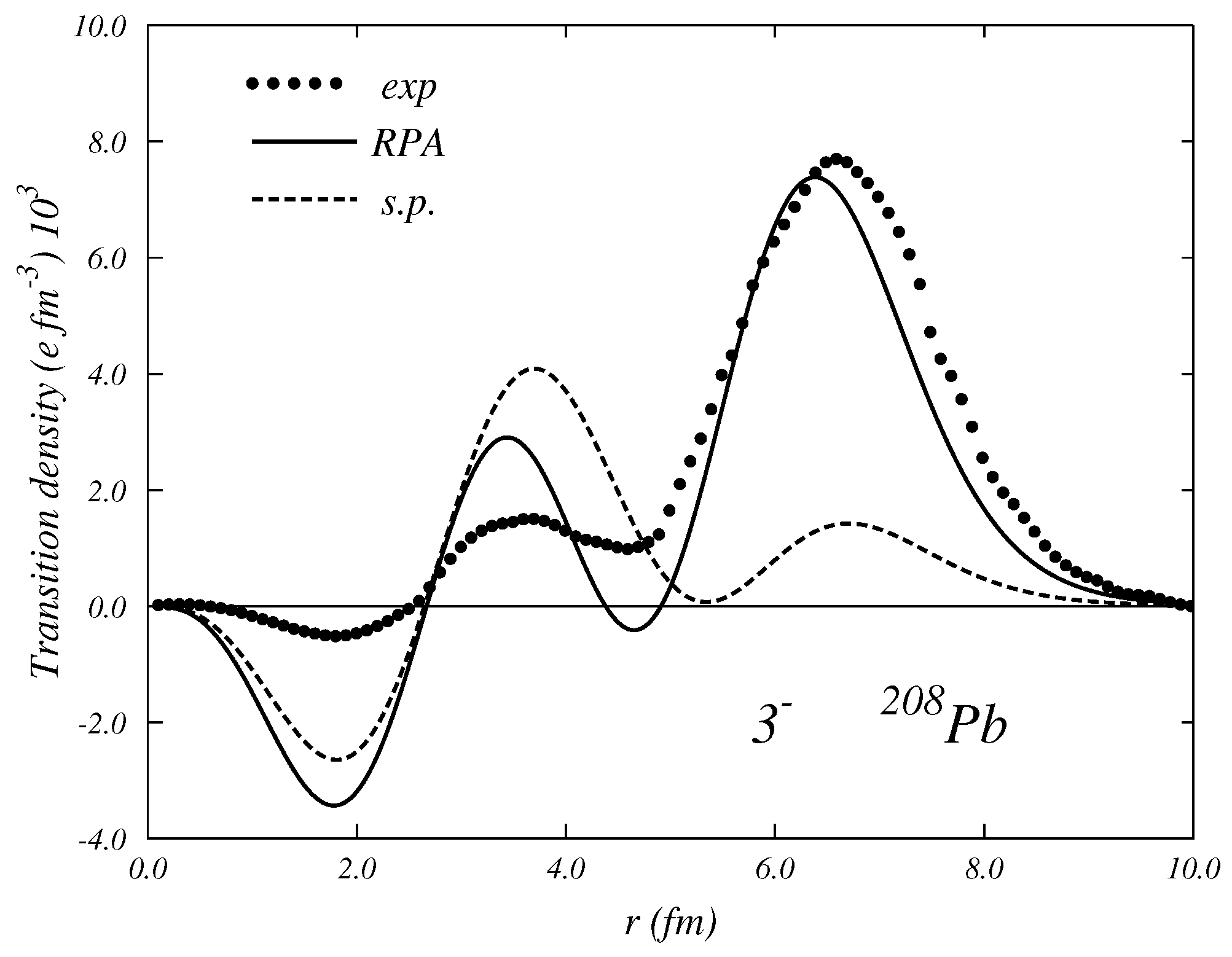
As an example of the RPA result, we consider the case of the state in Pb already mentioned in Section 2.4. We show in Figure 6 a comparison between the transition densities calculated with an RPA theory (full line), that obtained by an s.p. transition (dashed lines) and the empirical transition density (dots) extracted from the inelastic electron scattering data of Ref. [40]. The s.p. excitation was obtained by considering the proton transition from the hole state to the particle state with the excitation energy of 5.29 MeV. RPA calculation was carried out with the phenomenological approach and the excitation energy is of 2.66 MeV to be compared with an experimental value of 2.63 MeV.
Figure 6.
Electron scattering transition densities for the first excited state of Pb. The empirical density, indicated by the dots, is extracted from the inelastic electron scattering data of Ref. [40]. The dashed line shows the transition density calculated in an IPM particle model where the state is described by the s.p. proton transition from the hole state to the particle state. The full line shows the RPA result.
The s.p. transition, which is what the IPM at its best can provide, is unable to describe the large values of the transition density at the nuclear surface. This surface vibration is a characteristic feature of this highly collective state. RPA is able to reproduce the value of the excitation energy and also the correct behavior of the transition density.
9. Extensions of RPA
9.1. Second RPA
The main limitation of RPA theory is due to the fact that the operator considers only and types of excitations, see Equation (54). The many-body system allows more complicated excitation modes where n-particle and n-holes are created. The extension of to consider also excitations is called Second RPA (SRPA) [41,42,43]. In this theory, the operator which defines the excited states is
where the X, Y and Z factors are real numbers.
We insert this operator into the EOM Equation (39) and substitute with . Since implies variations of the coefficients in (207) and these variations are independent of each other, we obtain five equations
where is the SRPA ground state defined by the equation
In analogy to what is presented in Section 3.2.2, we use the QBA by assuming
where are two generic operators and indicates, as usual, the IPM ground state. It is convenient to define the following matrix elements
The and matrix elements are identical to those defined in Equation (58). Explicit expressions of the other matrix elements can be found in Ref. [41]. With the help of these definitions, Equations (208)–(212) can be expressed as:
where it appears evident that the Z terms of Equation (207) do not contribute.
The above equations form the complete set of SRPA secular equations. Usually, one does not search for the whole solution of these equations, but one considers only the unknowns and . This is done by formally extracting and from Equations (223) and (224), respectively, and by inserting the obtained expressions into Equations (221) and (222). In this way, we obtain two equations where the only unknowns are and
which, in matrix form, can be written in analogy to Equation (67) as
The second terms in square brackets of Equations (225) and (226) couples excitations to excitations. If these terms are zero, RPA equations are recovered. The secular SRPA equations have the same properties as RPA equations.
- 1.
- Positive and negative energy eigenvalues with the same absolute value are allowed.
- 2.
- Eigenvectors of different eigenvalues are orthogonal.
- 3.
- The normalization between the excited states implies
The number of terms of the and matrix elements is quite large; for this reason, the so-called diagonal approximation is often used. This approximation consists in considering in only the diagonal part depending on the s.p. energies involved in the excitations
The expression of the transition amplitude between the SRPA ground state and excited states can be calculated as indicated in Section 3.2.4 and the same result, Equation (74), is obtained. In this theoretical framework, the SRPA approach modifies the values of the X and Y RPA amplitudes by coupling them to the excitation space.
9.2. Particle-Vibration Coupling RPA
The approach presented in the previous section is general but rather difficult to implement because of the large number of pairs to consider. Many of the matrix elements are relatively small with respect to the terms. Instead of evaluating many irrelevant matrix elements, it is more convenient to identify the important ones and calculate only them.
This is the basic idea of Particle-Vibration Coupling RPA (PVCRPA) [44], also called Core Coupling RPA (CCRPA), where RPA excited states are coupled to s.p. states. In this approach, the excited states have the expression
where is an RPA excited state, is excitation pairs and ⊗ indicates a tensor coupling.
We define a set of operators which project the eigenstate of the hamiltonian on IPM eigenstates , RPA states (composed by excitations) and particle-vibration coupled states (composed by ) excited pairs:
These operators have the properties
The latter property implies that does not contain excitations more complex than and automatically neglects some term of the many-body hamiltonian.
We can write the eigenvalue equation as
We multiply both sides of the above equation, respectively, by , and , and, by using the properties (234)–(236), we obtain the following equations
We formally obtain from Equation (238) and from Equation (240) and we insert it into Equation (239). This allows us to express this latter equation as:
where we inserted in the denominator a term to avoid divergences. In the two terms containing and , we could insert again the results of Equations (238) and (240) and we obtain terms with many denominator factors. We neglect these terms and obtain an eigenvalue equation of the form [45]
where we distinguished the energy characterizing the effective hamiltonian from the energy eigenvalue which can be complex because of the imaginary parts inserted in the denominators.
Since the Hilbert subspace spanned by the states is composed by components only, we can expand each state in terms of RPA eigenstates which form a basis
and write the eigenvalue Equation (242) in a matrix form
The solution of the above eigenvalue problem provides the values of the coefficients. The transition probability of a transition from the ground state to an excited state induced by a one-body operator is given by:
where we used the result of Equation (74).
In this approach, one has first to solve RPA equations for various multipoles which have to be inserted in the sums on . The choice of RPA solutions to be inserted is an input of the method and it is based on plausible physics hypotheses.
9.3. Renormalized RPA
The extensions of RPA theory presented in Section 9.1 and Section 9.2 aimed at including excitation modes more complicated than . The renormalized RPA (r-RPA) attacks another weak point of RPA theory: the QBA (59). This approximation forces pairs of fermionic operators to work as they would be bosonic operators. For this reason, in the literature, the QBA is associated to the statement that RPA violates the Pauli principle. The r-RPA theory avoids the use of the QBA.
As in the ordinary RPA, we indicated with the ground state of the system and with the excited state which is a combination of and excitations. We consider a operator whose action is
where the renormalized operator is
and is a number. The EOM method implies that the correlated ground state satisfies the equation
By using the anti-commutation relations (A3) of the creation and destruction operators, we express the orthonormality condition relating the excited states as
The above expression is simplified if we use the s.p. basis formed by the natural orbits. By definition, this is the basis where the one-body density matrix is diagonal [46]
If we assume that
we obtain
which is an expression analogous to that of the standard RPA, Equation (71). It is worth remarking that now the indexes p and h do not refer any more to s.p. states which, in the ground state, are fully occupied or completely empty. The natural orbit s.p. states are partially occupied with probability ; therefore, all the indexes in the sums of the above equations run on the full configuration space. To avoid double counting, we assume that the indexes indicate natural orbits with energies smaller than those of the states labelled with the indexes.
We proceed by using the EOM approach analogously to what was indicated in Section 3.2.2 where, now, the operators are substituted by , and we define the following matrix elements
and
We obtain a set of equations analogous to those of the usual RPA
The evaluation of the and matrix elements is carried out by using the expressions of the operators in terms of operators
and we obtain
and
In the above expressions, we used the natural orbit energies defined as
The key point of the r-RPA consists in expressing the occupation probabilities in terms of X and Y amplitudes. In Ref. [47], by using a method which iterates the anti-commutation relations of the creation and destruction operators, it is shown that the expressions of these occupation probabilities up to the fourth order in Y are
with
This result inserted in Equations (257) and (258) generates expressions of the and matrix elements in terms of X and Y amplitudes; therefore, Equation (254) becomes a system of nonlinear equations in the latter unknowns. This is solved by using an iterative procedure. Starting from some initial guess for the X and Y amplitudes, obtained, for example, by solving the standard RPA equations, one calculates the and matrix elements. The solution of Equation (254) provides new values of the X and Y amplitudes. The procedure is repeated until convergence is reached. A review of recent applications of the r-RPA theory is presented in Ref. [6].
11. Summary and Conclusions
In this article, I presented three different methods to obtain RPA secular equations.
The EOM approach emphasizes the fact that RPA considers only excitations of type and also that the RPA ground state is not the the IPM ground state, but it contains correlations. These correlations are described in terms of pairs; therefore, RPA excited states contain also excitations which are taken into account by the Y amplitudes.
RPA secular equations are obtained by truncating at the first order the expansion of the two-body Green function in powers of the interaction. As a consequence of this truncation, RPA requires the use of effective interactions, i.e., interactions without the strongly repulsive core at short inter-particle distances, a feature which, instead, characterizes the microscopic interactions.
The derivation of RPA obtained with the TDHF approach clearly indicates that RPA has to be used to describe harmonic oscillations around the many-body ground state, i.e., excitations whose energies are relatively small with respect to the global binding energy of the system.
RPA calculations require in input a set of s.p. wave functions and energies and also the effective particle–hole interaction. The solution of RPA secular equations provides not only the excitation spectrum, but for each excited state also the description of the corresponding wave function in terms of and excitation pairs. The knowledge of RPA wave functions allows a rather straightforward evaluation of observable quantities because many-body transition amplitudes are expressed as linear combinations of s.p. transitions.
RPA is able to describe in a unique theoretical framework both single-particle and collective excitations. This is particularly useful in atomic nuclei where these two types of excitations are both present in the same energy range.
RPA is able to predict emergent phenomena which are unexpected in the IPM. In the present article, I have considered, as an illustrative example, the case of the state of the Pb nucleus. RPA has been widely used to investigate the giant resonances in nuclei [5]. The position of the peaks of the resonances and the total strengths are well described. These latter quantities are related to RPA sum rules whose values are rather different from those obtained in the IPM, as was pointed out in Section 3.2.5. The accuracy of most modern data indicates that, even though RPA provides reasonable values of the total excitation strengths, it fails in describing their energy distributions. This is the main reason leading to an extension of the theory.
The main limitation of RPA is the fact that it considers excited pairs only. The straightforward extension consists in considering, in addition, also excitations. The formulation of the SRPA has been presented in Section 9.1. Applications of the SRPA are numerically very involved, but the obtained results are rather promising. Another method of including excitations consists in coupling s.p. wave functions to RPA vibrational modes.
It is possible to untie RPA theory from the use of effective interactions. The formulation of a theory which uses microscopic interactions has been presented in Section 10. To the best of my knowledge, this formulation of RPA has never been used in actual calculations. Its validity in the description of observables remains an open question.
RPA is a milestone in many-body theories even though nowadays its role and relevance is sometime overlooked because its relative simplicity in favour of theories makes use of microscopic interactions.
Funding
This research received no external funding.
Conflicts of Interest
The author declares that the research was conducted in the absence of any commercial or financial relationships that could be construed as a potential conflict of interest.
Abbreviations
| CCRPA | Core coupling RPA |
| DFT | Density Functional Theory |
| EOM | Equation of Motion |
| HF | Hartree–Fock |
| Hole–particle | |
| IPM | Independent Particle Model |
| KS | Khon-Sham |
| MF | Mean-Field |
| ONR | Occupation Number Representation |
| Particle–hole | |
| PVCRPA | Particle-vibration coupling RPA |
| QRPA | Quasi-particle RPA |
| RPA | Random Phase Approximation |
| r-RPA | Renormalized RPA |
| s.p. | Single particle |
| SRPA | Second RPA |
| TDHF | Time-dependent Hartree–Fock |
Appendix A. The Hartree–Fock Hamiltonian
In this Appendix we obtain a useful expression of the hamiltonian for its use in HF and RPA calculations. We consider the expression of the hamiltonian in ONR [13,22]
where we have defined
and is the antisymmetric matrix element of Equation (13). We indicate with and the usual fermion creation and destruction operators satisfying the anti-commutation relations
From the definition of contraction (see [22]) we have that
where i indicates a state below the Fermi surface. By considering the definition of normal ordered product we obtain
and, for the Wick’s theorem,
We insert the above expression in Equation (A1)
where we have already considered the fact that a contraction is different from zero only if the single-particle state is of hole type, i.e., if its energy is below the Fermi surface.
By considering the restrictions imposed by the Kronecker’s , we obtain
The definition (13) of the antisymmetric matrix element implies the following relations:
therefore
We use the definition (A5) of and we obtain the following expression for the hamiltonian
This expression makes evident the presence of a one-body hamiltonian operator, the term multiplying .
Up to now, we did not make any assumption on the structure of the basis of single-particle wave functions composing the Slater determinant on which the creation and destruction operators are acting. We choose the single-particle basis which diagonalizes the one-body term of Equation (A11)
In this basis, the expression of the hamiltonian is
where is the sum of the first two terms.
Appendix B. RPA Double Commutators
In this Appendix, we calculate the double commutator
of Equation (47) by considering the hamiltonian expressed as in Equation (A13). The second term of the hamiltonian (A13) is a number, therefore commuting with every operator. By considering the anti-commutation rules (A3) of the creation and destruction operators, we have that
therefore, the commutator of the hamiltonian can be written as
The double commutator of the first term of the hamiltonian can be rewritten as
where in the last step we considered the diagonal expression of , Equation (A12).
For the calculation of the second term of the hamiltonian we have that
therefore
The terms (A16) and (A18) are zero since . The situation for the term (A17) is more involved. In the application of the Wick’s theorem one can see that in all the possible set of contractions there are always terms where is contracted with or and these contractions are zero. Only the term (A15) is different from zero and, by applying the Wick’s theorem we have to consider all the possible contractions and we obtain
This expression is used to obtain the TDA Equation (48) whose terms are equivalent to the matrix elements (58) of RPA equation.
For the term of Equation (58) we use again the expression (A13) of the hamiltonian. In this case also the contribution of the one-body term is zero. By considering the anti-commutation properties of the creation and destruction operators we obtain
therefore
For the two-body term we have to evaluate
Three terms of the double commutators are zero since they contain . Only the term
is different from zero, therefore
By considering the symmetry properties of and all the possible contractions we obtain Equation (69).
Appendix C. Sum Rules
Appendix D. Linear Response
Let us consider the situation where the many-body system is subject to an external perturbation. We express the total hamiltonian describing the perturbed system as sum of the hamiltonian describing the system in absence of the perturbation, whose eigenstates are , plus a time-dependent term :
where is the operator describing the action of the external perturbation on the system. The function describes the time evolution of the perturbation and is defined such as for . This means that the perturbation is switched on after a specific time, which we define as zero time.
We assume that, under the action of the external perturbation, the reaction times of the many-body system are much faster than those needed to the perturbation to switch on and off. Then, when the perturbation is totally switched on the hamiltonian is . In this case we can treat as a perturbative term of the total time-dependent hamiltonian. For this reason, we can consider the equation of motion (91) in the interaction picture
where
In this section, we use the convention that states and operators without sub-indexes are expressed in the Schrödinger picture. We formally integrate Equation (A22)
and obtain the expression
Since the perturbation is switched off when we have that which is the ground state of the system. We can express the above equation as perturbative expansion by iterating
We call the operator which describe how the system reacts to the external perturbation induced by the operator . The expectation value of this operator is given by
We define the response function as
This definition implies causality. The system cannot respond before that the perturbation is switched on.
By making explicit the time dependence of and ,
we can express the response as
and, since it depends only on the time difference , by using the definition of Fourier transform, we obtain
We insert the completeness and obtain
The poles of correspond to the excitation energies of the system. For each positive pole there is a negative pole, equal in absolute value to the positive one.
We consider the Dirac expression
where indicates the principal part, therefore
with the symbol ℑ indicating the imaginary part.
We assume , as it usually happens and consider only positive energies. The transition probability from the ground state to an excited state is given by
This is the traditional expression obtained by applying the time-dependent perturbation theory [16]. Assuming that is a one-body operator
we obtain
Since is hermitian, and the indexes are dummy, we can write
where, in the last step, we considered the expression (104) of the two-body Green function. The transition probability is given by
Appendix E. Green Function Expansion Terms
In this appendix we show the explicit expressions of the diagrams of Figure 2. The and labels indicate both space and time coordinates. The integration on all the coordinates is understood. The symbol indicates the two-body interaction.
Appendix F. RPA Green Function in Matrix Form
We consider Equation (113) and we calculate first
Making explicit the sum on and and considering that, for the conservation of the number of particles, one of the indexes must indicate a particle state and the other one a hole state, we can rewrite the above expression as:
References
- Bohm, D.; Pines, D. A Collective Description of Electron Interactions: I. Magnetic Interactions. Phys. Rev. 1951, 82, 625. [Google Scholar] [CrossRef]
- Pines, D.; Bohm, D. A Collective Description of Electron Interactions: II. Collective vs. Individual Particle Aspects of the Interactions. Phys. Rev. 1952, 85, 338. [Google Scholar] [CrossRef]
- Bohm, D.; Pines, D. A Collective Description of Electron Interactions: III. Coulomb Interactions in a Degenerate Electron Gas. Phys. Rev. 1953, 92, 609. [Google Scholar] [CrossRef]
- Pines, D. Emergent behavior in strongly correlated electron systems. Rep. Prog. Phys. 2016, 79, 092501. [Google Scholar] [CrossRef]
- Speth, J.; Wambach, J. Theory of giant resonances. In Electric and Magnetic Giant Resonances in Nuclei; World Scientific: Singapore, 1991. [Google Scholar]
- Schuck, P.; Delion, D.S.; Dukelsky, J.; Jemai, M.; Litvinova, E.; Röpke, G.; Tohyama, M. Equation of Motion Method for strongly correlated Fermi systems and Extended RPA approaches. Phys. Rep. 2021, 929, 1. [Google Scholar] [CrossRef]
- Ren, X.; Rinke, P.; Joas, C.; Scheffler, M. Random-phase approximation and its applications in computational chemistry and materials science. J. Mater. Sci. 2012, 47, 7447. [Google Scholar] [CrossRef]
- Pines, D.; Nozières, P. The Theory of Quantum Liquids; Benjamin: New York, NY, USA, 1966. [Google Scholar]
- Slater, J.C. The Theory of Complex Spectra. Phys. Rev. 1929, 34, 1923. [Google Scholar] [CrossRef]
- Edmonds, A.R. Angular Momentum in Quantum Mechanics; Princeton University Press: Princeton, NJ, USA, 1957. [Google Scholar]
- Bohr, A.; Mottelson, B.R. Nuclear Structure; Benjamin: New York, NY, USA, 1969; Volume I. [Google Scholar]
- Rowe, D.J. Nuclear Collective Motion; Methuen: London, UK, 1970. [Google Scholar]
- Ring, P.; Schuck, P. The Nuclear Many-Body Problem; Springer: Berlin, Germany, 1980. [Google Scholar]
- Suhonen, J. From Nucleons to Nucleus; Springer: Berlin, Germany, 2007. [Google Scholar]
- Bruus, H.; Flensberg, K. Many-Body Quantum Theory in Condensed Matter Physics; Oxford University Presse: Oxford, UK, 2016. [Google Scholar]
- Messiah, A. Quantum Mechanics; North Holland: Amsterdam, The Netherlands, 1961. [Google Scholar]
- Brandsen, B.H.; Joachain, C.J. Physics of Atoms and Molecules, 2nd ed.; Prentice Hall: Harlow, UK, 2003. [Google Scholar]
- Koopmans, T. Über die Zuordnung von Wellenfunktionen und Eigenwerten zu den einzelnen Elektronen eines Atoms. Physica 1934, 1, 104. [Google Scholar] [CrossRef]
- Hohenberg, P.; Kohn, W. Inhomogeneous Electron Gas. Phys. Rev. 1964, 136, B864. [Google Scholar] [CrossRef]
- Kohn, W.; Sham, L.J. Self-Consistent Equations Including Exchange and Correlation Effects. Phys. Rev. 1965, 140, A1133. [Google Scholar] [CrossRef]
- Hilaire, S.; Girod, M. Hartree-Fock-Bogoliubov Results Based on the Gogny Force. AMEDEE Database. Available online: http://www-phynu.cea.fr/HFB-Gogny_eng.htm (accessed on 25 February 2023).
- Fetter, A.L.; Walecka, J.D. Quantum Theory of Many-Particle Systems; McGraw-Hill: San Francisco, CA, USA, 1971. [Google Scholar]
- Thouless, D.J. Vibrational states of nuclei in the random phase approximation. Nucl. Phys. 1961, 22, 78. [Google Scholar] [CrossRef]
- Rowe, D.J. Methods for Calculating Ground-State Correlations of Vibrational Nuclei. Phys. Rev. 1968, 175, 1238. [Google Scholar] [CrossRef]
- Anguiano, M.; Co’, G. Correlations and charge distributions of medium heavy nuclei. J. Phys. G 2001, 27, 2109. [Google Scholar] [CrossRef]
- de Pace, A. Antisymmetrized random phase approximation for quasi-elastic scattering in nuclear matter: Non-relativistic potentials. Nucl. Phys. A 1998, 635, 163. [Google Scholar] [CrossRef]
- Margueron, J.; Navarro, J.; Giai, N.V.; Schuck, P. Continued fraction approximation for the nuclear matter response function. Phys. Rev. C 2008, 77, 064306. [Google Scholar] [CrossRef]
- de Haro, R.; Krewald, S.; Speth, J. The decay width of higher multipole giant resonances. Nucl. Phys. A 1982, 388, 265. [Google Scholar] [CrossRef]
- Co’, G.; Krewald, S. A model for particle emission induced by electron scattering. Nucl. Phys. A 1985, 433, 392. [Google Scholar]
- Buballa, M.; Drożdż, S.; Krewald, S.; Speth, J. Nuclear electromagnetic response within continuum RPA theory. Ann. Phys. 1991, 208, 346. [Google Scholar] [CrossRef]
- De Donno, V.; Co’, G.; Anguiano, M.; Lallena, A.M. Self-consistent continuum random-phase approximation calculations with finite-range interactions. Phys. Rev. C 2011, 83, 044324. [Google Scholar] [CrossRef]
- Bardeen, J.; Cooper, L.N.; Schrieffer, J.R. Theory of Superconductivity. Phys. Rev. 1957, 108, 1175. [Google Scholar] [CrossRef]
- Speth, J.; Werner, E.; Wild, W. Theory of finite Fermi systems and application to the lead region. Phys. Rep. 1977, 33, 127. [Google Scholar] [CrossRef]
- Rinker, G.A.; Speth, J. Nuclear polarization in muonic 204,206,207,208Pb in the Random Phase Approximation. Nucl. Phys. A 1978, 306, 360. [Google Scholar] [CrossRef]
- Ring, P.; Speth, J. Nuclear structure calculations with a density-dependent force in 208Pb. Nucl. Phys. A 1974, 235, 315. [Google Scholar] [CrossRef]
- Youngblood, D.H.; Rosza, C.M.; Moss, J.M.; Brown, D.R.; Bronson, J.D. Isoscalar Breathing-Mode State in 144Sm and 208Pb. Phys. Rev. Lett. 1977, 39, 1188. [Google Scholar] [CrossRef]
- Buenerd, M.; Bonhomme, C.; Lebrun, D.; Martin, P.; Chauvin, J.; Duhamel, G.; Perrin, G.; de Saintignon, P. Inelastic scattering of 108.5 MeV 3He particles at very small momentum transfer to the giant monopole resonance of 90Zr and 208Pb. Phys. Lett. B 1979, 84, 305. [Google Scholar] [CrossRef]
- Vautherin, D.; Brink, D.M. Hartree-Fock Calculations with Skyrme’s Interaction. I. Spherical Nuclei. Phys. Rev. C 1972, 5, 626. [Google Scholar] [CrossRef]
- Dechargé, J.; Gogny, D. Hartree-Fock-Bogolyubov calculations with the D1 effective interaction on spherical nuclei. Phys. Rev. C 1980, 21, 1568. [Google Scholar] [CrossRef]
- Goutte, D.; Bellicard, J.B.; Cavedon, J.M.; Frois, B.; Huet, M.; Leconte, P.; Ho, P.X.; Platchkov, S.; Heisenberg, J.; Lichtenstadt, J.; et al. Determination of the Transition Charge Density of the Octupole Vibration in 208Pb. Phys. Rev. Lett. 1980, 45, 1618. [Google Scholar] [CrossRef]
- Yannouleas, C.; Dworzecka, M.; Griffin, J.J. Nuclear dissipation as damping of collective motion in the time-dependent RPA. Nucl. Phys. A 1982, 379, 256. [Google Scholar] [CrossRef]
- Drożdż, S.; Nishizaki, S.; Speth, J.; Wambach, J. The nuclear response within extended RPA theories. Phys. Rep. 1990, 197, 1. [Google Scholar] [CrossRef]
- Gambacurta, D.; Grasso, M.; Catara, F.; Sambataro, M. Extension of the second random-phase approximation. Phys. Rev. C 2006, 73, 024319. [Google Scholar] [CrossRef]
- Bohr, A.; Mottelson, B.R. Nuclear Structure; Benjamin: New York, NY, USA, 1975; Volume II. [Google Scholar]
- Shen, S.; Colò, G.; Roca-Maza, X. Particle-vibration coupling for giant resonances beyond the diagonal approximation. Phys. Rev. C 2020, 101, 044316. [Google Scholar] [CrossRef]
- Arias de Saavedra, F.; Bisconti, C.; Co’, G.; Fabrocini, A. Renormalized Fermi hypernetted chain approach in medium–heavy nuclei. Phys. Rep. 2007, 450, 1. [Google Scholar] [CrossRef]
- Catara, F.; Piccitto, G.; Sambataro, M.; Van Giai, N. Towards a self-consistent random-phase approximation for Fermi systems. Phys. Rev. B 1996, 54, 17536. [Google Scholar] [CrossRef] [PubMed]
- Pandharipande, V.R.; Wiringa, R.B. Variations on a theme of nuclear matter. Rev. Mod. Phys. 1979, 51, 821. [Google Scholar] [CrossRef]
- Krotcheck, E. Introduction to Modern Methods of Quantum Many-Body Theory and Their Applications; Fabrocini, A., Fantoni, S., Krotscheck, E., Eds.; World Scientific: Singapore, 2002. [Google Scholar]
Disclaimer/Publisher’s Note: The statements, opinions and data contained in all publications are solely those of the individual author(s) and contributor(s) and not of MDPI and/or the editor(s). MDPI and/or the editor(s) disclaim responsibility for any injury to people or property resulting from any ideas, methods, instructions or products referred to in the content. |
© 2023 by the author. Licensee MDPI, Basel, Switzerland. This article is an open access article distributed under the terms and conditions of the Creative Commons Attribution (CC BY) license (https://creativecommons.org/licenses/by/4.0/).





