Small Spacecraft Payload Study for X-ray Astrophysics including GRB Science
Abstract
:1. Introduction
1.1. X-ray Survey Missions
1.2. X-ray Observer Missions
2. Microsatellite Payload Study
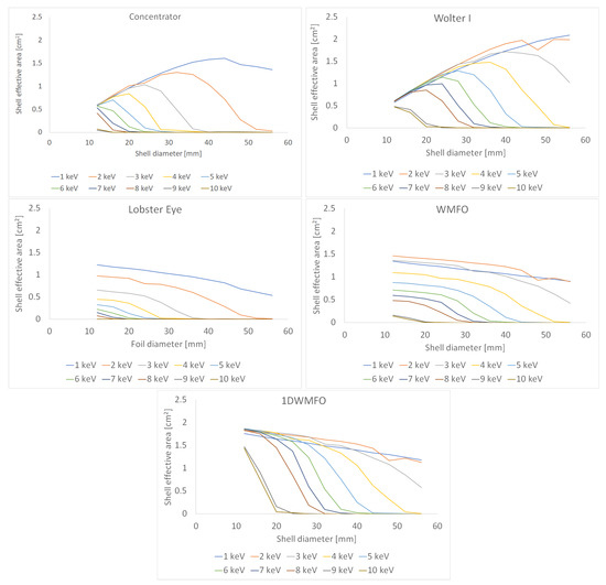
2.1. X-ray Localization Refinement Telescope/Monitor
2.2. The X-ray Spectroscopic Telescope
2.3. The Proposed Observational Strategy
- Continuous monitoring of the center (bulge) of our galaxy, i.e., region where there is a high density of highly variable and transient bright X-ray sources such as LMXB, HMXB, and repeating FRBs (especially those very active [63,64]). In this mode, the new flaring, transient and violently variable events will be recorded, and positions with accuracy of few arcmin will be provided to the onboard spectroscopy telescope;
- Follow-up mode for bright transient triggers provided either by the Lobster telescope or by third party, e.g., GCN system (GRBs) or LIGO (gravitational waves). In addition to that, including the alerts from the planned cube-satellite GRB missions/constellations such as Hermes or CAMELOT described in the previous sections may be novel and beneficial. Note that the positions provided by these CubeSat missions are not expected to exceed one degree, so the position refinement as described will be of a great value. In this mode, the telescope will point to the new flaring and transient events, and in the case of a positive detection (the estimated sensitivities for different exposure times are erg cm s for 100 s, erg cm s for 10 s, and erg cm s for 1 s), positions with accuracy of few arcmin will be provided to the onboard spectroscopy telescope. In both bases, the spectroscopic telescope provides immediately the X-ray spectrum of the trigger with a potential of following the spectral evolution of the particular target.
3. Astrophysical Goals and Issues
GRBs Science and Issues
4. Conclusions
Author Contributions
Funding
Institutional Review Board Statement
Informed Consent Statement
Data Availability Statement
Conflicts of Interest
References
- Klebesadel, R.W.; Strong, I.; Olson, R.A. Observations of Gamma-Ray Bursts of Cosmic Origin. Astrophys. J. 1973, 182, 85–88. [Google Scholar] [CrossRef]
- Vestrand, W.T.; Wren, J.A.; Panaitescu, A.; Wozniak, P.R.; Davis, H.; Palmer, D.M. The bright optical flash and afterglow from the gamma-ray burst GRB 130427A. Science 2014, 343, 38–41. [Google Scholar] [CrossRef] [PubMed] [Green Version]
- Troja, E.; Lipunov, V.M.; Mundell, C.G.; Butler, N.R.; Watson, A.M.; Kobayashi, S. Significant and variable linear polarization during the prompt optical flash of GRB 160625B. Nature 2017, 547, 425–427. [Google Scholar] [CrossRef] [Green Version]
- Ubertini, P.; Lebrun, F.; Cocco, G.D.; Bazzano, A.; Bird, A.J.; Broenstad, K.; Goldwurm, A.; Rosa, G.L.; Labanti, C.; Laurent, P.; et al. IBIS: The Imager on-board INTEGRAL. Astron. Astrophys. 2003, 411, 131–139. [Google Scholar] [CrossRef] [Green Version]
- Barthelmy, S.D.; Barbier, L.M.; Cummings, J.R.; Fenimore, E.E.; Gehrels, N.A.; Hullinger, D.D.; Krimm, H.A.; Markwardt, C.B.; Palmer, D.M.; Parsons, A.M.; et al. The Burst Alert Telescope (BAT) on the SWIFT Midex Mission. Space Sci. Rev. 2004, 120, 143–164. [Google Scholar] [CrossRef] [Green Version]
- Available online: http://www.iucaa.in/~astrosat/czti_specs.html (accessed on 3 January 2022).
- Feroci, M.; Costa, E.; Soffitta, P.; Del Monte, E.; Di Persio, G.; Donnarumma, I. SuperAGILE: The hard X-ray imager for the AGILE space mission. Nucl. Instrum. Methods Phys. Res. Sect. A Accel. Spectrometers Detect. Assoc. Equip. 2007, 581, 728–754. [Google Scholar] [CrossRef] [Green Version]
- Tavani, M.; Collaboration, F.T. The AGILE Mission. Astron. Astrophys. 2003, 502, 995–1013. [Google Scholar] [CrossRef]
- Matsuoka, M.; Kawasaki, K.; Ueno, S.; Tomida, H.; Kohama, M.; Suzuki, M.; Adachi, Y.; Ishikawa, M.; Mihara, T.; Sugizaki, M.; et al. The MAXI Mission on the ISS: Science and Instruments for Monitoring All-Sky X-Ray Images. Publ. Astron. Soc. Jpn. 2009, 61, 999–1010. [Google Scholar] [CrossRef]
- Meegan, C.A.; Lichti, G.G.; Bhat, P.N.; Bissaldi, E.; Briggs, M.S.; Connaughton, V.; Diehl, R.; Fishman, G.J.; Greiner, J.; Hoover, A.S.; et al. ThE fermi gamma-ray burst monitor. Astrophys. J. 2009, 702, 791–804. [Google Scholar] [CrossRef] [Green Version]
- Zhang, S.; Li, T.; Lu, F.J.; Song, L.; Xu, Y.; Liu, C.; Chen, Y.; Cao, X.; Bu, Q.; Cai, C.; et al. Overview to the Hard X-ray Modulation Telescope (Insight-HXMT) Satellite. Sci. China-Phys. Mech. Astron. 2019, 63, 249502. [Google Scholar] [CrossRef] [Green Version]
- Zhang, D.; Li, X.; Xiong, S.; Peng, W.; Zhang, F.; Li, Y.; An, Z.H.; Xu, Y.; Sun, X.; Zhu, Y. Energy response of GECAM Gamma-Ray Detector (GRD) prototype. arXiv 2018, arXiv:1804.04499. [Google Scholar]
- Aptekar, R.L.; Frederiks, D.D.; Golenetskii, S.; Ilynskii, V.N.; Mazets, E.P.; Panov, V.N.; Sokolova, Z.J.; Terekhov, M.M.; Sheshin, L.O.; Cline, T.L.; et al. Konus-W gamma-ray burst experiment for the GGS Wind spacecraft. Space Sci. Rev. 1995, 71, 265–272. [Google Scholar] [CrossRef] [Green Version]
- Available online: https://gcn.gsfc.nasa.gov/ (accessed on 3 January 2022).
- Abbott, B.P.; Abbott, R.; Adhikari, R.; Ajith, P.; Allen, B.; Allen, G. LIGO: The laser interferometer gravitational-wave observatory. Rep. Prog. Phys. 2009, 72, 076901. [Google Scholar] [CrossRef]
- Available online: https://www.svom.eu/en/portfolio/the-svom-mission/ (accessed on 3 January 2022).
- Godet, O.; Paul, J.; Wei, J.Y.; Zhang, S.N.; Atteia, J.L.; Basa, S. The Chinese-French SVOM Mission: Studying the brightest astronomical explosions. In Space Telescopes and Instrumentation 2012: Ultraviolet to Gamma Ray; International Society for Optics and Photonics: Bellingham, WA, USA, 2012; Volume 8443, p. 84431O. [Google Scholar]
- Amati, L.; O’Brien, P.T.; Goetz, D.; Bozzo, E.; Tenzer, C.; Frontera, F.; Ghirlanda, G.; Labanti, C.; Osborne, J.P.; Stratta, G.; et al. The THESEUS space mission concept: Science case, design and expected performances. Adv. Space Res. 2018, 62, 191–244. [Google Scholar] [CrossRef] [Green Version]
- Stratta, G.; Amati, L.; Ciolfi, R.; Vinciguerra, S. THESEUS in the era of Multi-Messenger Astronomy. arXiv 2017, arXiv:1802.01677. [Google Scholar]
- Available online: https://sci.esa.int/documents/34375/36249/Theseus_YB_final.pdf (accessed on 3 January 2022).
- Weisskopf, M.C.; Tananbaum, H.D.; Van Speybroeck, L.P.; O’Dell, S.L. Chandra X-ray Observatory (CXO): Overview. In X-ray Optics, Instruments, and Missions III; International Society for Optics and Photonics: Bellingham, WA, USA, 2000; Volume 4012, pp. 2–16. [Google Scholar]
- Aschenbach, B.; Briel, U.G.; Haberl, F.; Braeuninger, H.W.; Burkert, W.; Oppitz, A. Imaging performance of the XMM-Newton x-ray telescopes. In X-ray Optics, Instruments, and Missions III; International Society for Optics and Photonics: Bellingham, WA, USA, 2000; Volume 4012, pp. 731–739. [Google Scholar]
- Predehl, P.; Andritschke, R.; Arefiev, V.; Babyshkin, V.; Batanov, O.; Becker, W. The eROSITA X-ray telescope on SRG. Astron. Astrophys. 2021, 647, A1. [Google Scholar] [CrossRef]
- Friedrich, P.; Bräuninger, H.; Budau, B.; Burkert, W.; Eder, J.; Freyberg, M.J. Design and development of the eROSITA x-ray mirrors. In Space Telescopes and Instrumentation 2008: Ultraviolet to Gamma Ray; International Society for Optics and Photonics: Bellingham, WA, USA, 2008; Volume 7011, p. 70112T. [Google Scholar]
- Meidinger, N.; Andritschke, R.; Aschauer, F.; Elbs, J.; Eraerds, T.; Granato, S. Design and performance of the eROSITA focal plane instrumentation. In High Energy, Optical, and Infrared Detectors for Astronomy V; International Society for Optics and Photonics: Bellingham, WA, USA, 2012; Volume 8453, p. 84530P. [Google Scholar]
- Gendreau, K.C.; Arzoumanian, Z.; Adkins, P.W.; Albert, C.L.; Anders, J.F.; Aylward, A.T. The neutron star interior composition explorer (NICER): Design and development. In Space Telescopes and Instrumentation 2016: Ultraviolet to Gamma Ray; International Society for Optics and Photonics: Bellingham, WA, USA, 2016; Volume 9905, p. 99051H. [Google Scholar]
- Ohno, M.; Werner, N.; Pál, A.; Řípa, J.; Galgóczi, G.; Tarcai, N. CAMELOT: Design and performance verification of the detector concept and localization capability. In Space Telescopes and Instrumentation 2018: Ultraviolet to Gamma Ray; International Society for Optics and Photonics: Bellingham, WA, USA, 2018; Volume 10699, p. 1069964. [Google Scholar]
- Colagrossi, A.; Prinetto, J.; Silvestrini, S.; Lavagna, M.R. Sky visibility analysis for astrophysical data return maximization in HERMES constellation. J. Astron. Telesc. Instrum. Syst. 2020, 6, 048001. [Google Scholar] [CrossRef]
- Wen, J.; Long, X.; Zheng, X.; An, Y.; Cai, Z.; Cang, J. GRID: A student project to monitor the transient gamma-ray sky in the multi-messenger astronomy era. Exp. Astron. 2019, 48, 77–95. [Google Scholar] [CrossRef] [Green Version]
- Werner, N.; Řípa, J.; Pál, A.; Ohno, M.; Tarcai, N.; Torigoe, K. CAMELOT: Cubesats applied for measuring and localising transients mission overview. In Space Telescopes and Instrumentation 2018: Ultraviolet to Gamma Ray; International Society for Optics and Photonics: Bellingham, WA, USA, 2018; Volume 10699, p. 106992P. [Google Scholar]
- Pál, A.; Ohno, M.; Mészáros, L.; Werner, N.; Ripa, J.; Frajt, M. GRBAlpha: A 1U CubeSat mission for validating timing-based gamma-ray burst localization. In Space Telescopes and Instrumentation 2020: Ultraviolet to Gamma Ray; International Society for Optics and Photonics: Bellingham, WA, USA, 2020; Volume 11444, p. 114444V. [Google Scholar]
- Available online: https://asd.gsfc.nasa.gov/burstcube/ (accessed on 3 January 2022).
- Available online: https://www.nasa.gov/content/what-are-smallsats-and-cubesats (accessed on 3 January 2022).
- Available online: https://www.esa.int/Enabling_Support/Space_Engineering_Technology/Technology_CubeSats (accessed on 3 January 2022).
- Available online: https://earth.esa.int/web/eoportal/satellite-missions/b/brite-canada (accessed on 3 January 2022).
- Schilling, K.; Julius-Maximilians-University Würzburg, Würzburg, Germany. Private Communication, 2021.
- David, L.; Zaman, A.; Jefferson, T. S SC 18-PI-06 Simulating Iridium Satellite Coverage for CubeSats in Low Earth Orbit. In Proceedings of the 32nd Annual AIAA/USU Conference on Small Satellites, Logan, UT, USA, 4–9 August 2018. [Google Scholar]
- Riot, V.J.; Simms, L.M.; Carter, D. Lessons Learned Using Iridium to Com-municate with a CubeSat in Low Earth Orbit. J. Small Satell. 2021, 10. Available online: https://jossonline.com/wp-content/uploads/2021/03/Final-Simms-Lessons-Learned-Using-Iridium-to-Communicate-with-a-CubeSat-in-Low-Earth-Orbit-2.pdf (accessed on 20 December 2021).
- Gehrels, N.; Mészáros, P. Gamma-ray bursts. Science 2012, 337, 932–936. [Google Scholar] [CrossRef] [Green Version]
- Gehrels, N.; Barthelmy, S.D.; Burrows, D.N.; Cannizzo, J.K.; Chincarini, G.; Fenimore, E. Correlations of prompt and afterglow emission in Swift long and short gamma-ray bursts. Astrophys. J. 2008, 689, 1161. [Google Scholar] [CrossRef]
- Nousek, J.A.; Kouveliotou, C.; Grupe, D.; Page, K.L.; Granot, J.; Ramirez-Ruiz, E. Evidence for a canonical gamma-ray burst afterglow light curve in the Swift XRT data. Astrophys. J. 2006, 642, 389. [Google Scholar] [CrossRef] [Green Version]
- Burrows, D.N.; Romano, P.; Falcone, A.; Kobayashi, S.; Zhang, B.; Moretti, A. Bright X-ray flares in gamma-ray burst afterglows. Science 2005, 309, 1833–1835. [Google Scholar] [CrossRef] [Green Version]
- Uhm, Z.L.; Zhang, B. Evidence of Bulk Acceleration of the GRB X-Ray Flare Emission Region. Astrophys. J. Lett. 2016, 824, L16. [Google Scholar] [CrossRef] [Green Version]
- Geng, J.J.; Huang, Y.F.; Wu, X.F.; Song, L.M.; Zong, H.S. Probing magnetic fields of GRB X-ray flares with polarization observations. Astrophys. J. 2018, 862, 115. [Google Scholar] [CrossRef]
- Pina, L.; Hudec, R.; Inneman, A.; Cerna, D.; Jakubek, J.; Sieger, L.; Polak, J. X-ray monitoring for astrophysical applications on Cubesat. In EUV and X-ray Optics: Synergy between Laboratory and Space IV); International Society for Optics and Photonics: Bellingham, WA, USA, 2015; Volume 9510, p. 951005. [Google Scholar]
- Urban, M.; Nentvich, O.; Báča, T.; Veřtát, I.; Maršíková, V.; Doubravová, D.; Dániel, V.; Inneman, A.J.; Pína, L.; Sieger, L.; et al. REX: X-ray experiment on the water recovery rocket. Acta Astronaut. 2021, 184, 1–10. [Google Scholar] [CrossRef]
- Llopart, X.; Ballabriga, R.; Campbell, M.; Tlustos, L.; Wong, W. Timepix, a 65k programmable pixel readout chip for arrival time, energy and/or photon counting measurements. Nucl. Instrum. Methods Phys. Res. Sect. A Accel. Spectrometers Detect. Assoc. Equip. 2007, 581, 485–494. [Google Scholar] [CrossRef]
- Baca, T.; Platkevic, M.; Jakubek, J.; Inneman, A.; Stehlikova, V.; Urban, M. Miniaturized X-ray telescope for VZLUSAT-1 nanosatellite with Timepix detector. J. Instrum. 2016, 11, C10007. [Google Scholar] [CrossRef] [Green Version]
- Angel, J.R. Lobster eyes as X-ray telescopes. Astrophys. J. 1979, 233, 364–373. [Google Scholar] [CrossRef]
- Schmidt, W.K. Wide angle X-ray optics for use in astronomy. Space Sci. Rev. 1981, 30, 615–621. [Google Scholar] [CrossRef]
- Medipix Collaboration. Available online: https://medipix.web.cern.ch (accessed on 3 January 2022).
- Tureček, D.; Pinsky, L.S.; Jakubek, J.; Vykydal, Z.; Stoffle, N.; Pospíšil, S. Small Dosimeter based on Timepix device for International Space Station. J. Instrum. 2011, 6, C12037. [Google Scholar] [CrossRef]
- Granja, C.; Polanský, Š.; Vykydal, Z.; Pospíšil, S.; Owens, A.; Kozacek, Z.; Mellab, K.; Šimčák, M. The SATRAM Timepix spacecraft payload in open space on board the Proba-V satellite for wide range radiation monitoring in LEO orbit. Planet. Space Sci. 2016, 125, 114–129. [Google Scholar] [CrossRef]
- Dániel, V.; Inneman, A.J.; Veřtát, I.; Báča, T.; Nentvich, O.; Urban, M.; Stehlíková, V.; Sieger, L.; Skala, P.; Filgas, R.; et al. In-Orbit Commissioning of Czech Nanosatellite VZLUSAT-1 for the QB50 Mission with a Demonstrator of a Miniaturised Lobster-Eye X-Ray Telescope and Radiation Shielding Composite Materials. Space Sci. Rev. 2019, 215, 40. [Google Scholar] [CrossRef]
- Urban, M.; Nentvich, O.; Stehlíková, V.; Báča, T.; Dániel, V.; Hudec, R. VZLUSAT-1: Nanosatellite with miniature lobster eye X-ray telescope and qualification of the radiation shielding composite for space application. Acta Astronaut. 2017, 140, 96–104. [Google Scholar] [CrossRef]
- Available online: https://advacam.com/wp-content/uploads/2017/08/AdvaPIX-Datasheet-2017-11-22-1.pdf (accessed on 3 January 2022).
- Available online: https://www.ketek.net/sdd/vitus-sdd-modules/vitus-h7le/ (accessed on 3 January 2022).
- Chen, W.; Carini, G.A.; De Geronimo, G.; Fried, J.; Gaskin, J.A.; Keister, J.W. Development of Thin-Window Silicon Drift Detector for X-ray spectroscopy. In Proceedings of the 2007 IEEE Nuclear Science Symposium Conference Record, Honolulu, HI, USA, 28 October–3 November 2007; Volume 3, pp. 1954–1959. [Google Scholar]
- Gaskin, J.A.; Carini, G.A.; Chen, W.; De Geronimo, G.; Elsner, R.F.; Keister, J.W. Development of a silicon drift detector array: An x-ray fluorescence spectrometer for remote surface mapping. In Instruments and Methods for Astrobiology and Planetary Missions XII; International Society for Optics and Photonics: Bellingham, WA, USA, 2009; Volume 7441, p. 744118. [Google Scholar]
- Tichy, V.; Hudec, R.; abd Simon, V. Nano-sat lobster eye soft x-ray monitor. In Proceedings of the Science, Palermo, Italy, 25–30 May 2015. [Google Scholar]
- Liu, Q.Z.; Van Paradijs, J.; Van Den Heuvel, E.P.J. A catalogue of low-mass X-ray binaries in the Galaxy, LMC, and SMC. Astron. Astrophys. 2007, 469, 807–810. [Google Scholar] [CrossRef] [Green Version]
- Liu, Q.Z.; Van Paradijs, J.; Van Den Heuvel, E.P.J. Catalogue of high-mass X-ray binaries in the Galaxy. Astron. Astrophys. 2006, 455, 1165–1168. [Google Scholar] [CrossRef] [Green Version]
- Geng, J.; Li, B.; Huang, Y. Repeating fast radio bursts from collapses of the crust of a strange star. Innovation 2021, 2, 100152. [Google Scholar] [CrossRef]
- Šimon, V. Long-term Evolution of the Main-On States in Hercules X-1. Astron. J. 2015, 150, 3. [Google Scholar] [CrossRef] [Green Version]
- Šimon, V. Perspectives of the lobster-eye telescope: The promising types of cosmic X-ray sources. Contrib. Astron. Obs. Skaln. Pleso 2017, 47, 184–191. [Google Scholar]
- Hudec, R.; Sveda, L.; Pina, L.; Inneman, A.; Simon, V. Lobster eye telescopes as X-ray all-sky monitors. Chin. J. Astron. Astrophys. Suppl. 2008, 8, 381–385. [Google Scholar]
- Hudec, R.; Pina, L.; Marsikova, V.; Inneman, A.; Skulinova, M. The feasibility of independent observations/detections of GRBs in X-rays. In AIP Conference Proceedings, Annapolis, MD, USA, 1–4 November 2010; McEnery, J.E., Racusin, J.L., Gehrels, N., Eds.; American Institute of Physics, Gamma Ray Bursts: College Park, MD. USA, 2011; Volume 1358, pp. 423–426. [Google Scholar]
- Mereghetti, S.; Savchenko, V.; Ferrigno, C.; Götz, D.; Rigoselli, M.; Tiengo, A. INTEGRAL discovery of a burst with associated radio emission from the magnetar SGR 1935 + 2154. Astrophys. J. Lett. 2020, 898, L29. [Google Scholar] [CrossRef]
- Pearlman, A.B.; Majid, W.A.; Prince, T.A.; Ray, P.S.; Kocz, J.; Horiuchi, S.; Naudet, C.J.; Guver, T.; Enoto, T.; Arzoumanian, Z.; et al. Bright X-ray and Radio Pulses from a Recently Reactivated Magnetar. arXiv 2020, arXiv:2005.08410. [Google Scholar]
- Boettcher, M. X-ray lines and absorption edges in GRBS and their afterglows. Adv. Space Res. 2004, 34, 2696–2704. [Google Scholar] [CrossRef]











| Mission | Optics | Energy |
|---|---|---|
| Launch | Detectors | FoV |
| Ang. Res. FWHM | ||
| INTEGRAL IBIS | Coded Mask | 15 keV–1000 keV |
| 2002 | CdTe | 19° |
| 12′ | ||
| INTEGRAL SPI | Coded Mask | 20 keV–10 MeV |
| 2002 | Ge | 16° |
| 2.5° | ||
| SWIFT BAT | Mirror Coded Mask | 15 keV–150 keV |
| 2004 | CdTe | 1.4 sr |
| 17′ | ||
| AGILE | Coded Mask | 15 keV–50 eV |
| 2007 | Silicon microstrip | 2.5 sr |
| 2° | ||
| MAXI (on ISS) | Collimator (ASM) | 2 keV–30 keV |
| 2008 | Gas PC Solid St. C | 160° × 1.5° |
| 1.5° | ||
| FERMI GBM | No | 8 keV–40 MeV |
| 2008 | NaI | 9.5 sr |
| 5° | ||
| AstroSat CZTI | Coded Mask | 60 keV–380 keV |
| 2015 | CZT | 4.5° |
| 8′ | ||
| GECAM GRD | No | 6 keV–5 MeV |
| 2020 | CLaBr3Ce | All-sky |
| 1° |
| Property | Value |
|---|---|
| Telescope outer dimension | 100 × 100 × 450 mm |
| Focal length | 355 mm |
| Optical aperture | 69 × 69 mm |
| Aperture area | 43 cm |
| Optics effective area at 4.5 keV | 4.2 cm |
| Field of view | 5.8 × 5.4 deg |
| Angular resolution at 4.5 keV | 4.4 arcmin |
| Concentrator | Wolter I | LE | WMFO | 1DWMFO | |
|---|---|---|---|---|---|
| System | 1 reflection | 2 reflections | 2 reflections | 4 reflections | 2 reflections |
| Incident angle | alpha/2 | alpha/4 | alpha/2 | alpha/4 | alpha/4 |
| Foil convergence | |||||
| length [mm] | 776 | 1552 | 776 | 1552 | 1552 |
| Focal length [mm] | 388 | 388 | 388 | 388 | 388 |
| Diameter [mm] | 16 to 56 | 16 to 56 | 8 to 56 | 8 to 56 | 12 to 56 |
| Effective area [cm] | |||||
| @1keV | 14.02 | 16.44 | 11.17 | 13.49 | 15.87 |
| @2keV | 8.17 | 16.96 | 6.59 | 14.77 | 16.62 |
| @3keV | 3.57 | 14.60 | 2.97 | 12.55 | 15.16 |
| @4keV | 1.56 | 9.43 | 1.46 | 7.99 | 11.71 |
| @5keV | 0.54 | 6.02 | 0.76 | 5.12 | 9.00 |
| @6keV | 0.14 | 3.95 | 0.39 | 3.40 | 6.99 |
| @7keV | 0.02 | 2.62 | 0.19 | 2.36 | 5.51 |
| @8keV | 0.00 | 1.65 | 0.08 | 1.60 | 4.23 |
| @9keV | 0.00 | 0.11 | 0.00 | 0.28 | 1.08 |
| @10keV | 0.00 | 0.05 | 0.00 | 0.22 | 0.82 |
Publisher’s Note: MDPI stays neutral with regard to jurisdictional claims in published maps and institutional affiliations. |
© 2022 by the authors. Licensee MDPI, Basel, Switzerland. This article is an open access article distributed under the terms and conditions of the Creative Commons Attribution (CC BY) license (https://creativecommons.org/licenses/by/4.0/).
Share and Cite
Dániel, V.; Maršíková, V.; Hudec, R.; Pína, L.; Inneman, A.; Pelc, K. Small Spacecraft Payload Study for X-ray Astrophysics including GRB Science. Universe 2022, 8, 144. https://doi.org/10.3390/universe8030144
Dániel V, Maršíková V, Hudec R, Pína L, Inneman A, Pelc K. Small Spacecraft Payload Study for X-ray Astrophysics including GRB Science. Universe. 2022; 8(3):144. https://doi.org/10.3390/universe8030144
Chicago/Turabian StyleDániel, Vladimír, Veronika Maršíková, Rene Hudec, Ladislav Pína, Adolf Inneman, and Karel Pelc. 2022. "Small Spacecraft Payload Study for X-ray Astrophysics including GRB Science" Universe 8, no. 3: 144. https://doi.org/10.3390/universe8030144
APA StyleDániel, V., Maršíková, V., Hudec, R., Pína, L., Inneman, A., & Pelc, K. (2022). Small Spacecraft Payload Study for X-ray Astrophysics including GRB Science. Universe, 8(3), 144. https://doi.org/10.3390/universe8030144

