Next Article in Journal
Sign Switching Dark Energy from a Running Barrow Entropy
Next Article in Special Issue
Current Problems and Recent Advances in Wormhole Physics
Previous Article in Journal
A Machine Learning Approach for Predicting Black Hole Mass in Blazars Using Broadband Emission Model Parameters
Previous Article in Special Issue
On Possible Origin of an Artificial Wormhole
 
 
Font Type:
Arial Georgia Verdana
Font Size:
Aa Aa Aa
Line Spacing:
Column Width:
Background:
Article

On a Class of Harko-Kovacs-Lobo Wormholes

by
Ramis Kh. Karimov
1,†,
Ramil N. Izmailov
1,2,*,† and
Kamal K. Nandi
1,†
1
Zel’dovich International Center for Astrophysics, Bashkir State Pedagogical University 3A, October Revolution Street, 450008 Ufa, RB, Russia
2
Institute of Molecule and Crystal Physics, Ufa Federal Research Centre, Russian Academy of Sciences, Prospekt Oktyabrya 151, 450075 Ufa, RB, Russia
*
Author to whom correspondence should be addressed.
These authors contributed equally to this work.
Universe 2022, 8(10), 540; https://doi.org/10.3390/universe8100540
Submission received: 12 August 2022 / Revised: 24 September 2022 / Accepted: 16 October 2022 / Published: 18 October 2022
(This article belongs to the Special Issue Recent Advances in Wormhole Physics)

Abstract

The Harko, Kovács, and Lobo wormhole (HKLWH) metric contains two free parameters: one is the wormhole throat r 0 , and the other is a dimensionless deviation parameter γ with values 0 < γ < 1 , the latter ensuring the needed violation of the null energy condition at the throat. In this paper, we study the energetics of the HKLWH and the influence of γ on the tidal forces in the Lorentz-boosted frame. Finally, we apply a new concept, namely, the probabilistic identity of the object observed by different external observers in terms of the Fresnel coefficients derived by Tangherlini. The intriguing result is that observations can differ depending on the location of the observer, i.e., there is a nonzero probability that the HKLWH will be identified as a black hole even when γ 0 .

1. Introduction

Wormholes (WHs) were conceived as a particle model by Einstein and Rosen (the well known Einstein–Rosen bridge) in 1935 [1]. Ellis [2] and Bronnikov [3], independently in 1973, found WH solutions threaded by an Einstein minimally coupled scalar field with a negative kinetic term in the Lagrangian. After the seminal work by Morris and Thorne in 1988 [4], there was a revival of interest in the subject among the physics community. WHs are topological handles connecting two spacetimes that have not yet been ruled out by experiments. In fact, in the context of semiclassical quantum gravity, the minimal two-surface is not the horizon of a black hole (BH) but the throat of a WH [5]. The possibility of the appearance of Planck-sized WHs in quantum gravity is well discussed in the literature [6,7]. Moreover, there has been much work on the possibility of observationally distinguishing classical WHs from BHs by means of various diagnostics, such as an accretion disc, gravitational lensing, etc.; see, for example, [8,9,10,11,12,13,14,15,16,17,18,19,20,21,22,23,24].
The purpose of the present paper is to study the features of the HKLWH in reasonable detail, emphasizing the role of γ in various physical effects that include energetics, tidal effects, and most interestingly, the probabilistic identification of the type of the object as an outcome of probes by photons, i.e., we calculate the probability of the HKLWH being identified as a WH or a BH by different observers using probability flows of photons as probes.
To achieve this, we adopt Tangherlini’s [25] idea of the probabilistic scattering of photons, which is as follows. Classically, a photon motion is a regular deterministic wave propagation into an optical medium with reflection and transmission amplitudes; however, Tangherlini introduced an indeterministic condition instead of a deterministic one at the interface. The indeterminacy was introduced by assuming a hypothetical arrangement in which individual photons are incident on widely separated media at random intervals of time. As a consequence, the physical flow of energy into the medium cannot be associated with a physical flow of energy but some kind of probability flow associated with each photon. In other words, the Fresnel coefficients are determined in terms of a statistical ensemble average over a large number of replica media having the same index n—with one photon for each replica. Because of the assumed independence of collisions at the medium interface, the coefficients are the same for one photon as for N photons [25].
The above ingenious idea of Tangherlini does not use Planck’s constant but an experimentally verified photon momentum increase in the refractive medium, namely, p = n p , n 1 . Equivalently, the de Broglie relation p λ = p λ = constant (without Planck’s constant ℏ), together with the well-known reduction in the wavelength λ = λ / n , then leads to p = n p , which was used as a starting point by Tangherlini [25] to derive the Fresnel coefficients R and T. Remarkably, the same Fresnel coefficients can also be deduced from the standard quantum mechanical treatment of the Schrödinger equation for a certain potential well, which reinforces the validity of the assumed probability flow in Tangherlini’s scheme. Loosely speaking, we can say that the scheme yields “quantum mechanics without quantum mechanics”. That is why Tangherlinini called his approach a “pre-quantal statistical formulation”. No information is reduced, and the new idea is that the photon motion into the medium is raised from the classical deterministic level to a so-called pre-quantal statistical flow of energy without Planck’s constant. For further explanation, see the original paper [25]. The purpose of Tangherlini’s approach [25], as enumerated by the author himself, is that “The approach should be of value in further clarifying questions about the foundations of quantum mechanics as well as fundamental questions about the interaction of light and matter”.
The expected outcome in the present study is that an external observer has the probability to observe the probed centrally gravitating object either as a BH or a WH, thus forming a two-point sample space. The indeterministic effect of Tangherlini’s approach is dictated only by the WH geometry, which subsumes the source energy distribution in the spirit of general relativity, no matter whether the source satisfies the energy conditions or not. A photon is propagating (in the statistical sense, as explained above) through the exterior energy-violating region of the HKLWH, portrayed as an “effective optical medium”. We make a similar hypothetical arrangement to that explained above but now involving a gravitational “effective optical medium” to probe the nature of the central object. If every photon is reflected back by the probed surface (implying R = 1 , T = 0 ), the observer sending the pulse would identify the surface to be a BH horizon with certainty. The ground for taking R = 1 , T = 0 as a hallmark of a BH is that these values follow directly from the conventional quantum mechanical treatment using the Schrödinger equation for a certain potential well [26]. On the other hand, if all of the photons transmit through the surface, so that R = 0 , T = 1 , then the observer identifies the surface as a WH throat with certainty. If some photons are reflected and some transmitted, then depending on the value of γ and location of the observer, the latter is more likely to identify the object as a BH (if R > T ) or a WH (if R < T ) in a large number of probes. Thus, for any γ 0 , however tiny, the ( R , T ) values would differ leading correspondingly to the different outcomes in the two-point sample space (BH or WH). The essence of all this is that γ 0 does not necessarily lead to the observation of a HKLWH but, statistically speaking, can also lead to a BH.
To apply Tangherlini’s idea in gravity, we shall first portray the HKLWH spacetime as a gravitational “effective optical medium” with index n ( r ) as sensed by photons sent by asymptotic and another index n ˜ ( r ) sensed by photons sent by near-throat observers1 [34]. We emphasize that Tangherlini’s formulation was originally developed for an ordinary optical medium, but its present application to the gravitational effective optical medium is justified on the famous Pound–Rebka experiment in a gravity field. The reason for this assertion can be seen from the connection that, while the required momentum increase law p = n p , which is already an experimentally confirmed fact in an ordinary optical medium [35,36,37], the Pound–Rebka experiment in gravity can also be nicely reinterpreted as yet another momentum increase law but in the effective optical medium with index n ( r ) , as shown in detail in [34].
The paper is organized as follows: In Section 2, we study the energetics of the HKLWH, and in Section 3, we study the influence of γ on the tidal forces in the Lorentz-boosted frame. Finally, in Section 4, we apply a new concept, namely, the identification of the HKLWH by different observers in terms of the probabilistic Fresnel coefficients. We shall use a gravitational refractive medium representing the HKLWH to calculate the influence of γ on these coefficients. Section 5 concludes the paper. We take units G = c = 1 , unless specifically restored.

2. HKLWH and Its Energetics

The Morris and Thorne [4] WH has a generic form in standard coordinates
d τ 2 = e 2 Φ ( r ) d t 2 d r 2 1 b ( r ) / r r 2 d Ω 2 ,
where d Ω 2 d θ 2 + sin 2 θ d φ 2 represents the metric on a unit sphere. The function Φ ( r ) is called the redshift function, b ( r ) is the shape function, and the root of b ( r 0 ) = r 0 is the throat radius, such that r [ r 0 , ) . The material threading the WH has the density ρ d and pressures ( p r , p t ) (components of transverse pressures, p θ , p φ are collectively called p t ) given by
ρ d = 1 8 π b r 2 ,
p r = 1 8 π 2 1 b r Φ r b r 3 ,
p t = 1 8 π 1 b r Φ + Φ 2 b r r 2 r 2 1 b / r Φ b r r 2 r 3 1 b / r + Φ r .
Harko, Kovács, and Lobo [38] considered a wormhole metric supported by exotic matter. It is well known that exotic matter is a type of matter that violates one or more energy conditions, especially the Null Energy Condition (NEC) [39,40]. The violation of the NEC is the minimal condition for the existence of traversable WHs [39]. The Harko–Kovács–Lobo wormhole (HKLWH) metric [38] is given in standard coordinates as
d s 2 = e 2 r 0 / r d t 2 d r 2 1 r 0 [ 1 + γ ( 1 r 0 / r ) ] / r r 2 d Ω 2 ,
where 0 < γ < 1 is a constant, and r 0 is the minimum radius defining the wormhole throat. The metric (5) describes a wormhole geometry with two identical asymptotically flat regions joined together at the throat r 0 > 0 . The redshift function of the wormhole is Φ ( r ) = r 0 / r , and the shape function is b ( r ) = r 0 + γ r 0 ( 1 r 0 / r ) . In [38], it was shown that particles moving in circular orbits around wormholes are stable, due to the outward gravitational repulsion.
To avoid the presence of event horizons to ensure communications between the two connecting universes, Φ ( r ) is constrained to be finite throughout the coordinate range. At the throat r 0 , one has b ( r 0 ) = r 0 , and a fundamental property is the flaring-out condition given by ( b 2 < 0 , which is provided by the geometric method of embedding [4]. Most wormholes are made up of exotic matter that violates one or more energetic conditions [39,41,42]. Here, we will check the null (NEC), strong (SEC), and dominant (DEC) energy conditions following Rodrigues et al. [43]
N E C 1 ( r ) = ρ d + p r 0 , N E C 2 ( r ) = ρ d + p t 0 ,
S E C ( r ) = ρ d + p r + 2 p t 0 ,
W E C 1 , 2 ( r ) = ρ d + p r 0 , W E C 2 ( r ) = ρ d + p t 0 ,
D E C 1 ( r ) = ρ d 0 ,
D E C 2 ( r ) = ρ d p r 0 , D E C 3 ( r ) = ρ d p t 0 .
After putting (5) into (6)–(10), we obtain
N E C 1 ( r ) = W E C 1 ( r ) = r 0 r 3 1 γ 2 ( 1 + γ ) r 0 r + 2 γ r 0 2 r 2 ,
N E C 2 ( r ) = W E C 2 ( r ) = r 0 2 r 3 1 γ ( 5 + 3 γ ) r 0 r + 2 ( 1 + 3 γ ) r 0 2 r 2 2 γ r 0 3 r 3 ,
S E C ( r ) = r 0 r 3 2 ( 1 γ ) ( 7 + 3 γ ) r 0 r + 2 ( 1 + 4 γ ) r 0 2 r 2 2 γ r 0 3 r 3 ,
D E C 1 r = γ r 0 2 8 π r 4 ,
D E C 2 r = r 0 r 3 1 γ 2 r 0 r + 2 γ r 0 2 r 2 ,
D E C 3 r = r 0 2 r 3 1 γ ( 5 γ ) r 0 r + 2 ( 1 + 3 γ ) r 0 2 r 2 2 γ r 0 3 r 3 .
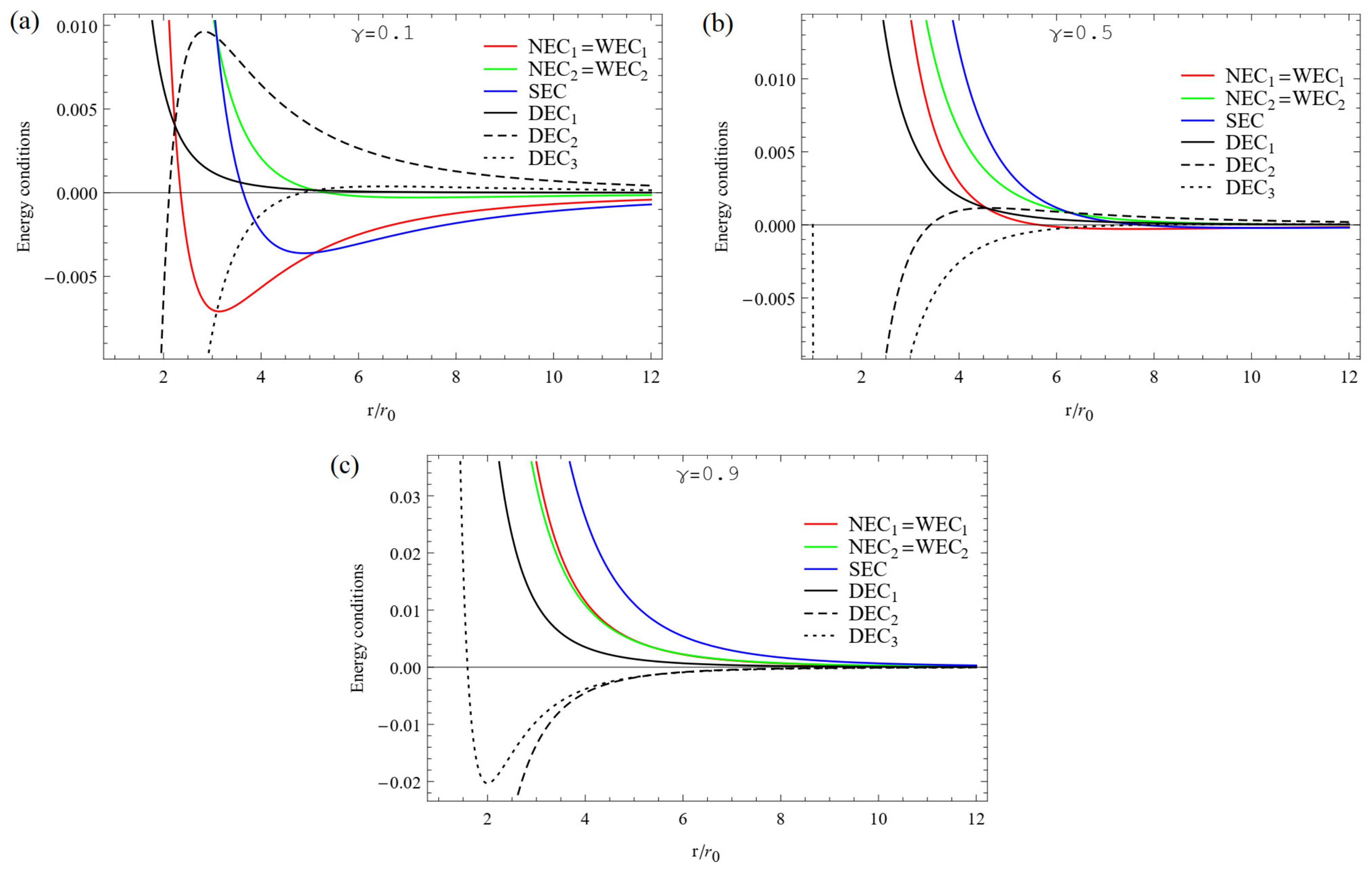
Figure 1 shows the dependence of the energy conditions of the HKLWH on the radial coordinate r for different values of the dimensionless metric parameter γ . N E C is violated near the throat of the wormhole. In this case, the range of the N E C violation directly depends on the value of γ . The reverse picture is observed for N E C 2 and D E C 2 ; as γ increases, the range of violation of energy conditions decreases. The energy conditions S E C and D E C 2 are not violated at any γ values. An interesting case is observed in the case of D E C 3 : at γ 0.5 , the energy condition is violated near the throat radius; at γ > 0.5 , a gap appears near the throat, where the energy condition is not violated.
From the integration of the 00-component of the Einstein field equations (see, [44]), we obtain
m r = 4 π r 2 T 0 0 = 4 π r 2 ρ d
for a metric ansatz
d τ 2 = ξ ( r , t ) d t 2 d r 2 1 2 m ( r , t ) / r r 2 d θ 2 + sin 2 θ d φ 2 ,
where m ( r , t ) is the mass function, and T 0 0 ( r , t ) is the energy density of matter in the rest frame r , θ , φ constant. We see the genesis of the volume measure 4 π r 2 in Equation (17). With the volume measure 4 π r 2 d r , the mass function in the static case is given by
m = 1 8 π r 0 4 π ρ d r 2 d r = γ r 0 2 ,
which is the ADM mass. If one introduces the radial fluid motion with a velocity v of the source matter, then the static observers in the rest frame r , θ , φ constant see a Lorentz transformed T 00 = ρ d + p r v 2 1 v 2 . The Lorentz contraction due to fluid motion gives rise to a mechanical energy flux within r = const passing through the hypersurface t = const. However, even for a static configuration (such that v = 0 ), Lynden-Bell et al. [44] asserted that the mechanical energy E M in the spacetime, whatever constitutes the T μ ν , is still given by
E M = 1 8 π r 0 4 π ρ d ( g r r ) 1 / 2 r 2 d r .
Lynden-Bell et al. [44] made a further assertion that “A comparison between Equations (19) and (20) illustrates that (19) is seductively like the classical relationship between density and mass, but in fact conceals all the complications beneath a cloak of apparent clarity”. For instance, 4 π r 2 is not the proper volume measure, while the correct one is 4 π ( g r r ) 1 / 2 r 2 d r = d V .
The ADM mass m is the net mass-energy that contains the self-gravitational energy E G , together with the other mechanical energies, such as the rest mass-energy and the internal energy collectively denoted by E M . Thus, Lynden-Bell et al. [44] advocated that E G = m E M < 0 should be the generic definition of self-gravitational energy that can be explicitly computed for any given system.
In the present case, we find that
E M = γ r 0 2 log 1 + γ 1 γ > 0
E G = γ r 0 2 1 1 γ log 1 + γ 1 γ < 0 .
This shows that one side of the mouth with an asymptotic mass m ( r ) = γ r 0 2 is attractive. By extending the coordinate path to cover the entire real line, < r ¯ < + , exposing the two asymptotically flat regions, it can be shown that the negative mass mouth is repulsive, i.e., it has E G > 0 . Thus, while one side attracts the traveller in, the other side repels the traveller out, as it should be.

3. Influence of γ on the Tidal Forces in the Lorentz-Boosted Frame

We start with the general form of a static spherically symmetric physical metric:
d τ 2 = F ( r ) G ( r ) d t 2 d r 2 F ( r ) R 2 ( r ) [ d θ 2 + sin 2 θ d φ 2 ] .
For a traveler in a static orthonormal frame, we shall denote the only nonvanishing components of the Riemann curvature tensor as R 0101 , R 0202 , R 0303 , R 1212 , R 1313 , and R 2323 . Radially freely falling observers with conserved energy E are connected to the static orthonormal frame by a local Lorentz boost with an instantaneous velocity given by
v = 1 F G E 2 1 / 2 .
Then, the nonvanishing Riemann curvature components in the Lorentz-boosted frame with velocity v are ( k = 2 , 3 ):
R 0 ^ 1 ^ 0 ^ 1 ^ = R 0101 ,
R 0 ^ k ^ 0 ^ k ^ = R 0 k 0 k + R 0 k 0 k + R 1 k 1 k sinh 2 α ,
R 0 ^ k ^ 1 ^ k ^ = R 0 k 0 k + R 1 k 1 k sinh α cosh α ,
R 1 ^ k ^ 1 ^ k ^ = R 1 k 1 k + R 0 k 0 k + R 1 k 1 k sinh 2 α ,
where sinh α = v / 1 v 2 . The relative tidal acceleration Δ a j ^ between two parts of the traveler’s body in the orthonormal basis is given by
Δ a j ^ = R 0 ^ j ^ 0 ^ p ^ ξ p ^ ,
where ξ is the vector separation between the two parts [45]. Thus the curvature components contributing to the tidal force on the traveler in the Lorentz-boosted frame are R 0 ^ 1 ^ 0 ^ 1 ^ , R 0 ^ 2 ^ 0 ^ 2 ^ , and R 0 ^ 3 ^ 0 ^ 3 ^ . (Components in the coordinate basis are not required here).
The component R 0 ^ 2 ^ 0 ^ 2 ^ is given by
R 0 ^ 2 ^ 0 ^ 2 ^ = 1 R R 2 E s 2 G F 1 R R G + R G 2 E e x 2
= R 0 ^ 2 ^ 0 ^ 2 ^ ( s ) + R 0 ^ 2 ^ 0 ^ 2 ^ ( e x ) ,
where
E 2 = F G + F G v 2 1 v 2 = E s 2 + E ex 2 ,
where E s 2 represents the value of E 2 in the static frame, and E ex 2 represents the enhancement in E s 2 due to the geodesic motion.
It is easy to verify that the term | R 0 ^ 2 ^ 0 ^ 2 ^ ( s ) | actually represents the curvature component in the static frame, namely, R 0 ^ 2 ^ 0 ^ 2 ^ ( s ) = R 0202 . Thus, only the term R 0 ^ 2 ^ 0 ^ 2 ^ ( e x ) [ = sinh 6 α ( R 0202 + R 1212 ) ] represents the overall enhancement in the curvature in the Lorentz-boosted frame over the static frame. It is this part that needs to be particularly examined as the observer approaches the horizon. Note also that the energy E 2 is finite (it can be normalized to unity) and so are E s 2 and E e x 2 . As the horizon is approached, ( F / G ) 0 , v 1 such that E 2 E e x 2 .
From Equations (5) and (23), we find
F ( r ) = 1 r 0 r 1 + γ 1 r 0 r ,
G ( r ) = 1 r 0 r 1 + γ 1 r 0 r e 2 r 0 r ,
R ( r ) = r .
Using Equations (30), (33)–(35), we find
R 0 ^ 1 ^ 0 ^ 1 ^ = r 0 2 2 r 5 r ( 1 + γ ) 2 γ r 0
R 0 ^ 2 ^ 0 ^ 2 ^ ( s ) = r 0 r 3 1 r 0 r 1 γ r 0 r ,
and
R 0 ^ 2 ^ 0 ^ 2 ^ ( e x ) = r 0 2 r 3 1 γ 2 r 0 r + 2 γ r 0 2 r 2 v 2 1 v 2 ,
which, at the throat, r = r 0 , yields
R 0 ^ 1 ^ 0 ^ 1 ^ = γ 1 2 r 0 2 , R 0 ^ 2 ^ 0 ^ 2 ^ ( s ) = 0 , R 0 ^ 2 ^ 0 ^ 2 ^ ( e x ) = γ 1 2 r 0 2 v 2 1 v 2 .
We can see that, at the throat, the static curvature component R 0 ^ 2 ^ 0 ^ 2 ^ ( s ) is 0, while R 0 ^ 1 ^ 0 ^ 1 ^ , as measured in the Lorentz-boosted frame, is negative for 0 < γ < 1 , which is consistent with the wormhole topology. However, the excess part R 0 ^ 2 ^ 0 ^ 2 ^ ( e x ) can be very large if v 2 1 . This largeness is a kinematic effect inherited from the Lorentz boost and not an enhancement of the curvature.

4. Influence of γ on the Fresnel Coefficients: The Tangherlini Formulation

The approach of Tangherlini involves scales and clocks not affected by the medium; in addition, the light falls normally on the plane, semi-infinite, homogeneous, isotropic, and nonabsorbing real medium. When a photon is transmitted, the magnitude of its momentum p inside the medium is related to the magnitude of its momentum p in free space by the equation [25,35,36,37]:
p = n p ,
where n (≥1) is the index of refraction. This equation is independent of the angle of incidence and is an experimental fact in an ordinary optical medium. The de Broglie relation p λ = p λ = constant (not Planck’s constant) together with the reduction in the wavelength in the real optical medium, λ = λ / n , which we verify in the effective medium, lead to Equation (39); the unprimed quantities p and λ refer to those in free space (the absence of gravity or an effective medium).
Dynamically, the trajectory of a photon can be approximated by the following Hamiltonian, neglecting the dispersion (see Equation (A1) of Tangherlini [25]):
H = c 0 n ( ρ ) p ,
where n = n ( ρ ) is assumed to be a slowly varying refractive index for an ordinary optical medium oriented so that the boundary of the fluid is in the direction perpendicular to the photon rays.
Tangherlini’s [25] statistical method introduces probability in the following novel way: the probability for a photon to be found either in a reflected or in a transmitted mode on the impinging surface has to be an ensemble average. The ensemble is meant to be a large number of identical media with the same refractive index. Associated with each incident photon, there is one ensemble. The condition p λ = p λ = constant does not involve Planck’ s constant, and in this sense, the method introduces an indeterminacy of a pre-quantum type. The probability of reflection will be defined by the fraction of the total number of particles that are observed in the reflected mode and similarly for the probability of the transmission.
A static spherically symmetric wormhole in isotropic coordinates can be written as
d τ 2 = Ω 2 ( ρ ) d t 2 Φ 2 ( ρ ) [ d ρ 2 + ρ 2 d θ 2 + sin 2 θ d φ 2 ] .
Suppose I is the flux of incident particles, I R is the flux of reflected particles, and I T is the flux of transmitted particles; then, number conservation implies
I R + I T = I .
In accordance with standard notation, the ratios R = I R / I and T = I T / I are taken to define the probabilities of the reflection and transmission, respectively. These probabilities satisfy the conservation of the probability condition
R + T = 1 .
Equating the average rate of energy delivered to the ensemble member in reflected and transmitted modes, Tangherlini [25] derives the coefficients:
R = ( n 1 ) 2 ( n + 1 ) 2 , T = 4 n ( n + 1 ) 2 ,
which remain invariant under n 1 / n .
The coefficients for the ingoing photon at the throat as observed by asymptotic observers (a.o.) are given with n, using Equation (41):
R photon a . o . = n ( ρ th ) 1 2 n ( ρ th ) + 1 2 ,
T photon a . o . = 4 n ( ρ th ) n ( ρ th ) + 1 2 ,
where n = Ω 1 Φ 1 .
The coefficients for the ingoing photon pulse at the throat as observed by near-throat local observers (l.o.) are given with n ˜ (= n Φ ), using Equation (41):
R ˜ photon l . o . = n ˜ ( ρ th ) 1 2 n ˜ ( ρ th ) + 1 2 ,
T ˜ photon l . o . = 4 n ˜ ( ρ th ) n ˜ ( ρ th ) + 1 2 .
The idea is to find the coefficients of two pairs of equations, (42)–(45). Looking at these, we see that the formulation of the second pair is of a hybrid nature, as they have one leg in the effective medium defined by the index n and the other in the metric function Φ . For our purposes, it is enough to treat all of the equation pairs as merely some functions of ρ and evaluate the coefficients for different observers in different metrics. Thus, we convert solution (5) to isotropic form by the radial transform r ρ :
ρ = ( r r 0 + r γ r 0 ) 2
and inverting, we find
r = ρ 2 + 2 ρ r 0 ( 1 + γ ) + r 0 2 ( 1 γ ) 2 4 ρ .
The thoat now occurs at
ρ th = 1 γ r 0 .
Then, metric (5) can be rewritten in the isotropic form
d s 2 = Ω HKL 2 d t 2 Φ HKL 2 ( d ρ 2 + ρ 2 d Ω 2 ) ,
where
Ω HKL = exp 4 ρ r 0 ρ 2 + 2 ρ r 0 ( 1 + γ ) + r 0 2 ( 1 γ ) 2 ,
Φ HKL = 4 ρ 2 ρ 2 + 2 ρ r 0 ( 1 + γ ) + r 0 2 ( 1 γ ) 2 .
Therefore, we find the refractive index, as perceived by asymptotic observers, to be
n ( ρ ) = 1 Ω HKL Φ HKL
= 1 4 1 + 2 r 0 ρ ( 1 + γ ) + r 0 2 ( 1 γ ) 2 ρ 2 exp 4 ρ r 0 ρ 2 + 2 ρ r 0 ( 1 + γ ) + r 0 2 ( 1 γ ) 2 ,
and similarly, the index as perceived by near-throat local observers is
n ˜ ( ρ ) = n Φ HKL
= exp 4 ρ r 0 ρ 2 + 2 ρ r 0 ( 1 + γ ) + r 0 2 ( 1 γ ) 2 .
At the throat, the indices (51)–(54) have the values
n ( ρ th ) = e 1 γ , n ˜ ( ρ th ) = e .
Thus, the reflection and transmission coefficients of the HKLWH for asymptotic observers are given by
R photon a . o . = e 1 + γ 2 e + 1 γ 2 , T photon a . o . = 1 R photon a . o .
and for local observers, they are
R ˜ photon l . o . = e 1 2 e + 1 2 , T ˜ photon l . o . = 1 R ˜ photon l . o . .
From the above, it follows that
lim γ 1 R photon a . o . = 1 , lim γ 1 T photon a . o . = 0
R ˜ photon l . o . = 0.213 , T ˜ photon l . o . = 0.786 .
It is clear from Equation (57) that the Fresnel coefficients perceived by the local observers are independent of γ , whereas for the asymptotic observers the Fresnel coefficients at the throat are the same as those of the Schwarzschild black hole horizon R = 1 , T = 0 , when γ 1 . We take these values as base values representing with certainty a reflection characteristic of a stable horizon. Thus, asymptotic observers are likely to identify the object as a black hole in the extreme limit γ 1 , while local observers are more likely identify the object as an unstable wormhole, as the probability of the reflection R ˜ photon l . o . is much less than the horizon value R photon a . o . = 1 . When γ 0 , the Fresnel coefficients measured by the local and asymptotic observers, together with the corresponding observations, coincide.

5. Conclusions

The broad purpose of this paper was to study certain novel features of the HKLWH depending on the parameter γ . The behavior of different energy conditions for HKLWH were investigated in Section 2, which showed that some were violated depending on the ranges of γ and the size of the throat r 0 . It was shown that the gravitational energy E G was negative on the positive side of the HKLWH meaning attractive gravity. Next, we studied the influence of γ on the tidal forces in the Lorentz-boosted frame in Section 3, which showed that the static curvature component R 0 ^ 2 ^ 0 ^ 2 ^ ( s ) was 0, while R 0 ^ 1 ^ 0 ^ 1 ^ as measured in the Lorentz-boosted frame was negative for 0 < γ < 1 , which is consistent with the wormhole topology.
In Section 4, we studied the influence of γ on the Fresnel coefficients R and T by postulating that the identity of the observed object depended on the probabilistic outcome of the photon motion probing the object. The underlying idea was explained in the introduction. The “effective refractive medium” with index n ( ρ ) for a gravitational field could be valuable in the sense that it allows one to borrow wisdom from the phenomena occurring in an ordinary optical medium, for instance, the Fizeau effect [33]. The motion of light and particles in terms of refractive indices was previously carried out using a new formulation by Evans and Roenquist [32,46,47]. The application to gravity deriving exact general relativistic equations was conducted in [27,28,29,30,31,48]. In the spirit of these works, we introduced the idea of a pre-quantum indeterminacy, proposed by Tangherlini [25], in identifying the gravitating source object to be either a BH or a WH. That means, we no longer asked what the object truly was but asked how the object was likely to be identified by differently located observers using the probe of the pre-quantum probability flow of photons. Thus, local observers may see the object as a HKLWH, while asymptotic observers are more likely to observe it as a BH horizon. Such a new possibility of different identifications of the same object, based on probabilistic outcomes of probes, does not seem to have been proposed heretofore.

Author Contributions

Conceptualization, R.K.K., R.N.I., and K.K.N.; methodology, R.K.K., R.N.I., and K.K.N.; software, R.K.K., R.N.I., and K.K.N.; validation, R.K.K., R.N.I., and K.K.N.; formal analysis, R.K.K., R.N.I., and K.K.N.; investigation, R.K.K., R.N.I., and K.K.N.; resources, R.K.K., R.N.I., and K.K.N.; data curation, R.K.K., R.N.I., and K.K.N.; writing—original draft preparation, R.K.K.; writing—review and editing, R.K.K., R.N.I., and K.K.N.; visualization, R.K.K., R.N.I., and K.K.N.; supervision, R.N.I.; project administration, K.K.N. All authors have read and agreed to the published version of the manuscript.

Funding

This research received no external funding.

Data Availability Statement

Not applicable.

Conflicts of Interest

The authors declare no conflict of interest.

Note

1
Yet another different index N ( r ) is sensed by a massive particle in motion [27,28,29,30,31,32]. In the present paper, we deal only with photon motion taking into account that, in general relativity, the observations depend on the location of the observer. The photon motion in the effective medium also gives rise to the interesting possibility of the gravitational analogue of the Fizeau effect in the “effective optical medium” [33].

References

  1. Einstein, A.; Rosen, N. The Particle Problem in the General Theory of Relativity. Phys. Rev. 1935, 48, 73–77. [Google Scholar] [CrossRef]
  2. Ellis, H.G. Ether flow through a drainhole: A particle model in general relativity. J. Math. Phys. 1973, 14, 104. [Google Scholar] [CrossRef]
  3. Bronnikov, K.A. Scalar-tensor theory and scalar charge. Acta Phys. Pol. B 1973, 4, 251–266. [Google Scholar]
  4. Morris, M.S.; Thorne, K.S. Wormholes in spacetime and their use for interstellar travel: A tool for teaching general relativity. Am. J. Phys. 1988, 56, 395–412. [Google Scholar] [CrossRef]
  5. Barthiere, C.; Sarkar, D.; Solodukhin, S.N. The fate of black hole horizons in semiclassical gravity. Phys. Lett. B 2018, 786, 21–27. [Google Scholar] [CrossRef]
  6. Nandi, K.K.; Zhang, Y.-Z.; Vijaya Kumar, K.B. Semiclassical and quantum field theoretic bounds for traversable Lorentzian stringy wormholes. Phys. Rev. D 2004, 70, 064018. [Google Scholar] [CrossRef]
  7. Roman, T.A. Quantum stress-energy tensors and the weak energy condition. Phys. Rev. D 1986, 33, 3526–3533. [Google Scholar] [CrossRef]
  8. Karimov, R.K.; Izmailov, R.N.; Nandi, K.K. Accretion disk around the rotating Damour–Solodukhin wormhole. Eur. Phys. J. C 2019, 79, 952. [Google Scholar] [CrossRef]
  9. Harko, T.; Kovács, Z.; Lobo, F.S.N. Can accretion disk properties distinguish gravastars from black holes? Class. Quantum Grav. 2009, 26, 215006. [Google Scholar] [CrossRef]
  10. Tsukamoto, N.; Gong, Y. Retrolensing by a charged black hole. Phys. Rev. D 2017, 95, 064034. [Google Scholar] [CrossRef]
  11. Shaikh, R.; Kar, S. Gravitational lensing by scalar-tensor wormholes and the energy conditions. Phys. Rev. D 2017, 96, 044037. [Google Scholar] [CrossRef]
  12. Shaikh, R. Shadows of rotating wormholes. Phys. Rev. D 2018, 98, 024044. [Google Scholar] [CrossRef]
  13. Tsukamoto, N.; Kokubu, T. High energy particle collisions in static, spherically symmetric black-hole-like wormholes. Phys. Rev. D 2020, 101, 044030. [Google Scholar] [CrossRef]
  14. Tsukamoto, N. Nonlogarithmic divergence of a deflection angle by a marginally unstable photon sphere of the Damour-Solodukhin wormhole in a strong deflection limit. Phys. Rev. D 2020, 101, 104021. [Google Scholar] [CrossRef]
  15. Korolev, R.; Lobo, F.S.N.; Sushkov, S.V. General constraints on Horndeski wormhole throats. Phys. Rev. D 2020, 101, 124057. [Google Scholar] [CrossRef]
  16. Yusupova, R.M.; Karimov, R.K.; Izmailov, R.N.; Nandi, K.K. Accretion flow onto Ellis–Bronnikov wormhole. Universe 2021, 7, 177. [Google Scholar] [CrossRef]
  17. Stuchlík, Z.; Vrba, J. Epicyclic Oscillations around Simpson–Visser Regular Black Holes and Wormholes. Universe 2021, 7, 279. [Google Scholar] [CrossRef]
  18. Paul, B.C. Traversable wormholes in the galactic halo with MOND and non-linear equation of state. Class. Quantum Grav. 2021, 38, 145022. [Google Scholar] [CrossRef]
  19. Radinschi, I.; Grammenos, T.; Chakraborty, G.; Chattopadhyay, S.; Cazacu, M.M. Einstein and Møller Energy-Momentum Distributions for the Static Regular Simpson–Visser Space-Time. Symmetry 2021, 13, 1622. [Google Scholar] [CrossRef]
  20. Alencar, G.; Bezerra, V.B.; Muniz, C.R.; Vieira, H.S. Ellis–Bronnikov Wormholes in Asymptotically Safe Gravity. Universe 2021, 7, 238. [Google Scholar] [CrossRef]
  21. Bronnikov, K.A.; Kashargin, P.E.; Sushkov, S.V. Magnetized Dusty Black Holes and Wormholes. Universe 2021, 7, 419. [Google Scholar] [CrossRef]
  22. Fabris, J.C.; Gomes, T.A.O.; Rodrigues, D.C. Black Hole and Wormhole Solutions in Einstein–Maxwell Scalar Theory. Universe 2022, 8, 151. [Google Scholar] [CrossRef]
  23. Jusufi, K.; Kumar, S.; Azreg-Aïnou, M.; Jamil, M.; Wu, Q.; Bambi, C. Constraining wormhole geometries using the orbit of S2 star and the Event Horizon Telescope. Eur. Phys. J. C 2022, 82, 633. [Google Scholar] [CrossRef]
  24. Sokoliuk, O.; Praharaj, S.; Baransky, A.; Sahoo, P.K. Accretion flows around exotic tidal wormholes—I. Ray-tracing. Astronomy Astrophys. 2022, 665, A139. [Google Scholar] [CrossRef]
  25. Tangherlini, F.R. Particle approach to the Fresnel coefficients. Phys. Rev. A 1975, 12, 139–147. [Google Scholar] [CrossRef]
  26. Bohm, D. Quantum Theory; Prentice-Hall: New York, NY, USA, 1951; p. 235. [Google Scholar]
  27. Evans, J.; Alsing, P.M.; Giorgetti, S.; Nandi, K.K. Matter waves in a gravitational field: An index of refraction for massive particles in general relativity. Am. J. Phys. 2001, 69, 1103–1110. [Google Scholar] [CrossRef]
  28. Evans, J.; Nandi, K.K.; Islam, A. The optical–mechanical analogy in general relativity: New methods for the paths of light and of the planets. Am. J. Phys. 1996, 64, 1404–1415. [Google Scholar] [CrossRef]
  29. Evans, J.; Nandi, K.K.; Islam, A. The optical-mechanical analogy in general relativity: Exact Newtonian forms for the equations of motion of particles and photons. Gen. Relat. Gravit. 1996, 28, 413–439. [Google Scholar] [CrossRef]
  30. Alsing, P.M.; Evans, J.; Nandi, K.K. The Phase of a Quantum Mechanical Particle in Curved Spacetime. Gen. Relat. Gravit. 2001, 33, 1459–1487. [Google Scholar] [CrossRef]
  31. Alsing, P.M. The optical-mechanical analogy for stationary metrics in general relativity. Am. J. Phys. 1998, 66, 779–790. [Google Scholar] [CrossRef]
  32. Evans, J.; Rosenquist, M. “F=ma” optics. Am. J. Phys. 1986, 54, 876–883. [Google Scholar] [CrossRef]
  33. Nandi, K.K.; Zhang, Y.-Z.; Alsing, P.M.; Evans, J.; Bhadra, A. Analogue of the Fizeau effect in an effective optical medium. Phys. Rev. D 2003, 67, 025002. [Google Scholar] [CrossRef]
  34. Nandi, K.K.; Potapov, A.A.; Izmailov, R.N.; Tamang, A.; Evans, J.C. Stability and instability of Ellis and phantom wormholes: Are there ghosts? Phys. Rev. D 2016, 93, 104044. [Google Scholar] [CrossRef]
  35. Jones, R.V. Radiation Pressure in a Refracting Medium. Nature 1951, 167, 439–440. [Google Scholar] [CrossRef]
  36. Jones, R.V.; Richards, J.C.S. The pressure of radiation in a refracting medium. Proc. R. Soc. A 1954, 221, 480–498. [Google Scholar] [CrossRef]
  37. Ashkin, A.; Dziedzic, J.M. Radiation Pressure on a Free Liquid Surface. Phys. Rev. Lett. 1973, 30, 139–142. [Google Scholar] [CrossRef]
  38. Harko, T.; Kovács, Z.; Lobo, F.S.N. Electromagnetic signatures of thin accretion disks in wormhole geometries. Phys. Rev. D 2008, 78, 084005. [Google Scholar] [CrossRef]
  39. Lobo, F.S.N. Wormholes, Warp Drives and Energy Conditions; Springer: Cham, Switzerland, 2017; pp. 11–254. [Google Scholar]
  40. Nandi, K.K.; Zhang, Y.-Z.; Vijaya Kumar, K.B. Volume integral theorem for exotic matter. Phys. Rev. D 2004, 70, 127503. [Google Scholar] [CrossRef]
  41. Harko, T.; Lobo, F.S.N.; Mak, M.K.; Sushkov, S.V. Modified-gravity wormholes without exotic matter. Phys. Rev. D 2013, 87, 067504. [Google Scholar] [CrossRef]
  42. Parsaei, F.; Rastgoo, S. Asymptotically flat wormhole solutions with variable equation-of-state parameter. Phys. Rev. D 2019, 99, 104037. [Google Scholar] [CrossRef]
  43. Rodrigues, M.E.; Junior, E.L.B.; Marques, G.T.; Zanchin, V.T. Regular black holes in f(R) gravity coupled to nonlinear electrodynamics. Phys. Rev. D 2016, 94, 024062. [Google Scholar] [CrossRef]
  44. Lynden-Bell, D.; Katz, J.; Bicák, J. Energy and angular momentum densities of stationary gravitational fields. Phys. Rev. D 2007, 75, 024040, Erratum in Phys. Rev. D 2007, 75, E049901. Phys. Rev. D 2007, 75, 024040. [Google Scholar] [CrossRef]
  45. Nandi, K.K.; Nayak, T.B.; Bhadra, A.; Alsing, P.M. Tidal forces in cold black hole spacetimes. Int. J. Mod. Phys. D 2001, 10, 529–538. [Google Scholar] [CrossRef]
  46. Rosenquist, M.; Evans, J. The classical limit of quantum mechanics from Fermat’s principle and the de Broglie relation. Am. J. Phys. 1988, 56, 881–882. [Google Scholar] [CrossRef]
  47. Evans, J. Simple forms for equations of rays in gradient-index lenses. Am. J. Phys. 1990, 58, 773–778. [Google Scholar] [CrossRef]
  48. Nandi, K.K.; Islam, A. On the optical–mechanical analogy in general relativity. Am. J. Phys. 1995, 63, 251–256. [Google Scholar] [CrossRef]
Figure 1. The energy conditions of the HKLWH as γ = 0.1 ((a), top left hand), γ = 0.5 ((b), top right hand), and γ = 0.9 ((c), bottom).
Figure 1. The energy conditions of the HKLWH as γ = 0.1 ((a), top left hand), γ = 0.5 ((b), top right hand), and γ = 0.9 ((c), bottom).
Universe 08 00540 g001
Publisher’s Note: MDPI stays neutral with regard to jurisdictional claims in published maps and institutional affiliations.

Share and Cite

MDPI and ACS Style

Karimov, R.K.; Izmailov, R.N.; Nandi, K.K. On a Class of Harko-Kovacs-Lobo Wormholes. Universe 2022, 8, 540. https://doi.org/10.3390/universe8100540

AMA Style

Karimov RK, Izmailov RN, Nandi KK. On a Class of Harko-Kovacs-Lobo Wormholes. Universe. 2022; 8(10):540. https://doi.org/10.3390/universe8100540

Chicago/Turabian Style

Karimov, Ramis Kh., Ramil N. Izmailov, and Kamal K. Nandi. 2022. "On a Class of Harko-Kovacs-Lobo Wormholes" Universe 8, no. 10: 540. https://doi.org/10.3390/universe8100540

APA Style

Karimov, R. K., Izmailov, R. N., & Nandi, K. K. (2022). On a Class of Harko-Kovacs-Lobo Wormholes. Universe, 8(10), 540. https://doi.org/10.3390/universe8100540

Note that from the first issue of 2016, this journal uses article numbers instead of page numbers. See further details here.

Article Metrics

Back to TopTop