Ion-Acoustic Rogue Waves in Double Pair Plasma Having Non-Extensive Particles
Abstract
1. Introduction
2. Model Equations
3. Derivation of the NLSE
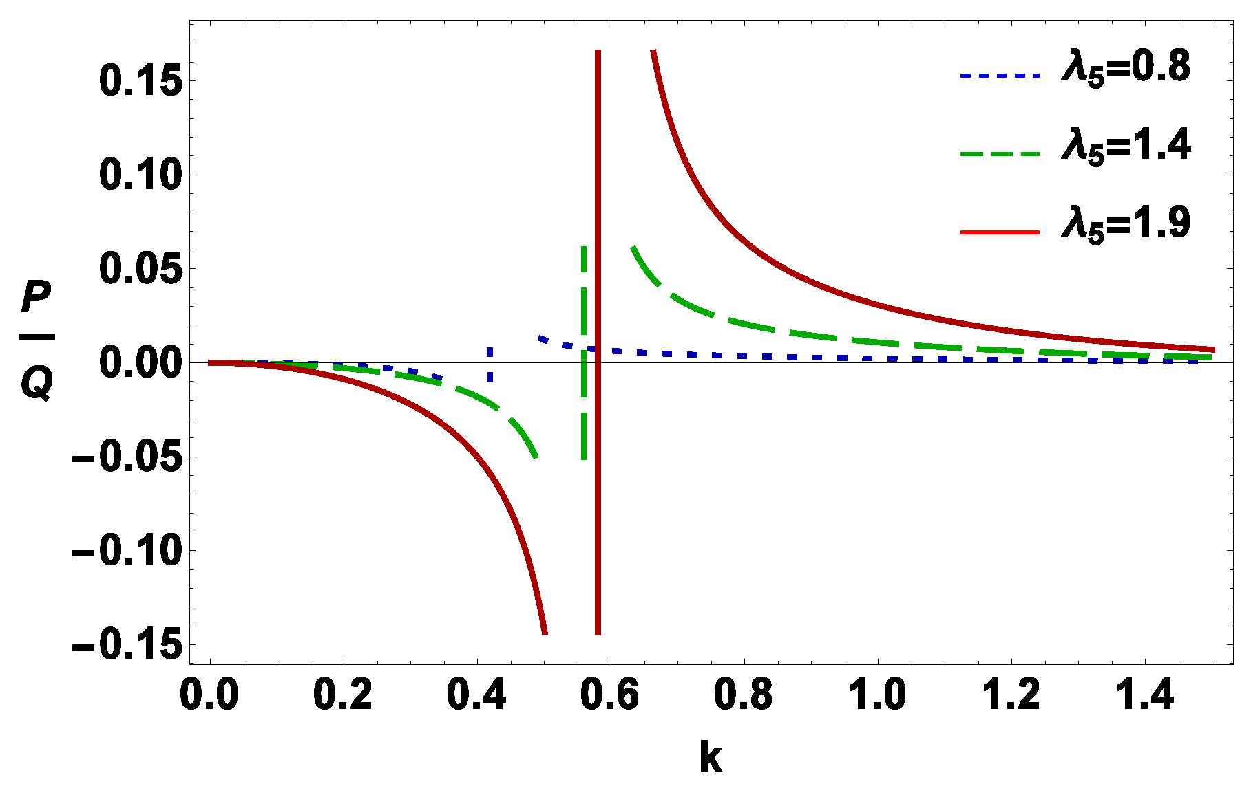
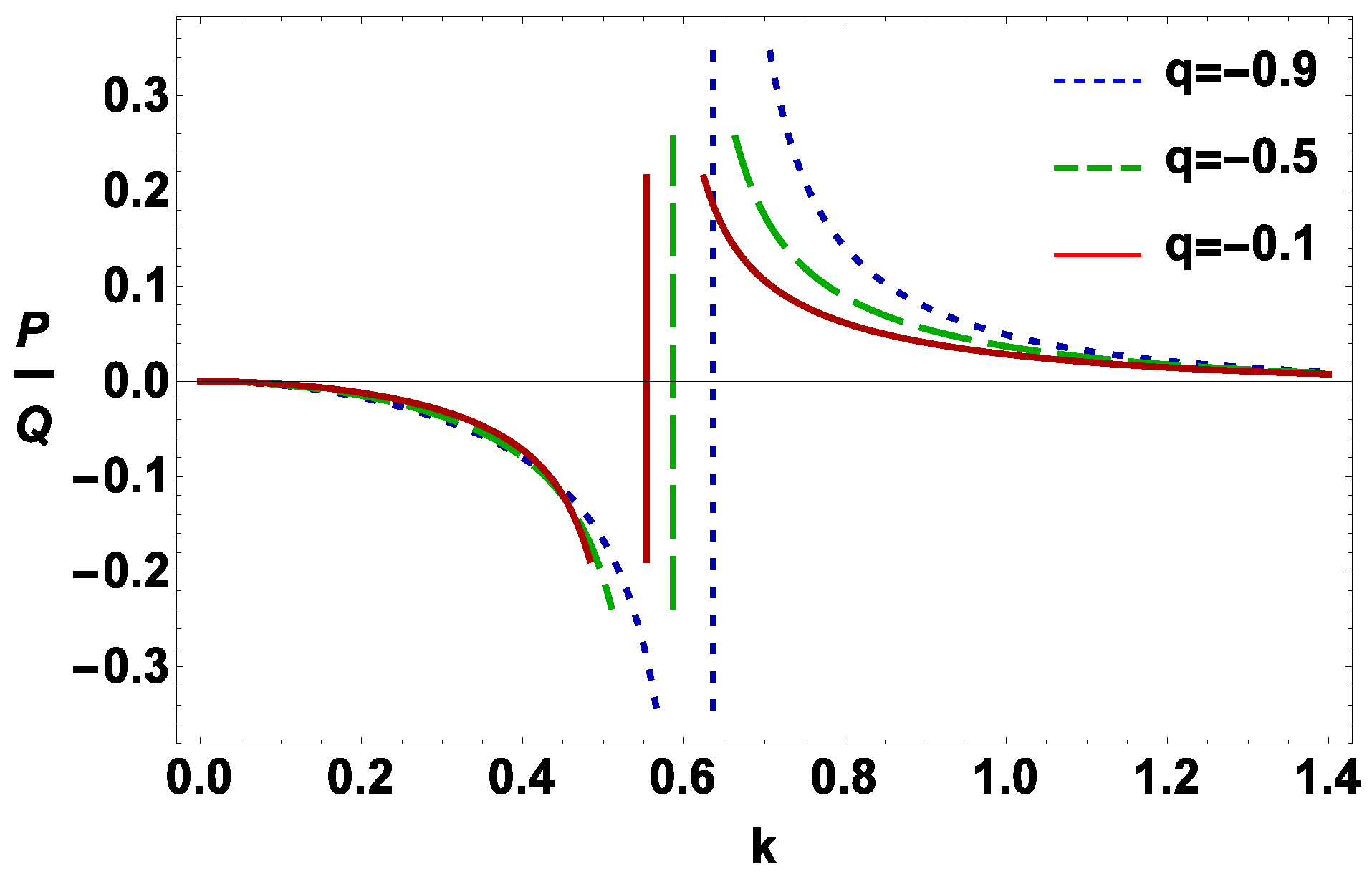
4. Modulational Instability of the IAWs
5. Rogue Waves
6. Conclusions
- Both stable and unstable parametric regimes of IAWs can be observed.
- The sub-extensive property of the electrons allows the IAWs to be stable for large wave number while the super-extensive property of the electrons allows the IAWs to be stable for small wave number.
- The dynamics of the DPP rigourously changes with these conditions (i.e., ) and (i.e., ).
- The nonlinearity of the plasma medium as well as the amplitude of the IARWs decreases (increases) with positron (electron) temperature.
Author Contributions
Funding
Institutional Review Board Statement
Informed Consent Statement
Data Availability Statement
Acknowledgments
Conflicts of Interest
References
- Lightman, A.P. Relativistic thermal plasmas-Pair processes and equilibria. Astrophys. J. 1982, 253, 842. [Google Scholar] [CrossRef]
- Tandberg-Hansen, E.; Emsile, A.G. The Physics of Solar Flares; Cambridge University Press: Cambridge, UK, 1988. [Google Scholar]
- Coates, A.J.; Wellbrock, A.; Lewis, G.R.; Jones, G.H.; Young, D.T.; Crary, F.J.; Waite, J.H., Jr. Heavy negative ions in Titan’s ionosphere: Altitude and latitude dependence. Geophys. Res. Lett. 2007, 34, L22103. [Google Scholar] [CrossRef]
- Massey, H. Negative Lons, 3rd ed.; Cambridge University Press: Cambridge, UK, 1976. [Google Scholar]
- Sabry, R.; Moslem, W.M.; Shukla, P.K. Fully nonlinear ion-acoustic solitary waves in a plasma with positive-negative ions and nonthermal electrons. Phys. Plasmas 2009, 16, 032302. [Google Scholar] [CrossRef]
- Abdelwahed, H.G.; El-Shewy, E.K.; Zahran, M.A.; Elwakil, S.A. On the rogue wave propagation in ion pair superthermal plasma. Phys. Plasmas 2016, 23, 022102. [Google Scholar] [CrossRef]
- Misra, A.P. Dust ion-acoustic shocks in quantum dusty pair-ion plasmas. Phys. Plasmas 2009, 16, 033702. [Google Scholar] [CrossRef]
- Mushtaq, A.; Khattak, M.N.; Ahmad, Z.; Qamar, A. Dust ion acoustic soliton in pair-ion plasmas with non-isothermal electrons. Phys. Plasmas 2012, 19, 042304. [Google Scholar] [CrossRef]
- Jannat, N.; Ferdousi, M.; Mamun, A.A. Lon-acoustic shock waves in nonextensive multi-Ion plasmas. Commun. Theor. Phys. 2015, 64, 479. [Google Scholar] [CrossRef]
- El-Labany, S.k.; Behery, E.E.; El-Razek, S.N.A.; Abdelrazek, L.A. Shock waves in magnetized electronegative plasma with nonextensive electrons. Eur. Phys. J. D 2020, 74, 104. [Google Scholar] [CrossRef]
- Chaizy, P.H.; Reme, H.; Sauvaud, J.A.; d’Uston, C.; Lin, R.P.; Larson, D.E.; Mitchell, D.L.; Anderson, K.A.; Carlson, C.W.; Korth, A.; et al. Negative ions in the coma of comet Halley. Nature 1991, 349, 393. [Google Scholar] [CrossRef]
- Nakamura, Y.; Tsukabayashi, I. Observation of modified Korteweg—de Vries solitons in a multicomponent plasma with negative Ions. Phys. Rev. Lett. 1984, 52, 2356. [Google Scholar] [CrossRef]
- Song, B.; DAngelo, N.; Merlino, R.L. Ion-acoustic waves in a plasma with negative ions. Phys. Fluids B 1991, 3, 284. [Google Scholar] [CrossRef]
- Sato, N. Production of negative ion plasmas in a Q-machine. Plasma Sources Sci. Technol. 1994, 3, 395. [Google Scholar] [CrossRef]
- Bacal, M.; Hamilton, G.W. H− and D− Production in Plasmas. Phys. Rev. Lett. 1979, 42, 1538. [Google Scholar] [CrossRef]
- Gottscho, R.A.; Gaebe, C.E. Negative ion kinetics in RF glow discharges. IEEE Trans. Plasma Sci. 1986, 14, 92. [Google Scholar] [CrossRef]
- Wong, A.Y.; Mamas, D.L.; Arnush, D. Negative ion plasmas. Phys. Fluids 1975, 18, 1489. [Google Scholar] [CrossRef]
- Nakamura, Y.; Odagiri, T.; Tsukabayashi, I. Ion-acoustic waves in a multicomponent plasma with negative ions. Plasma Phys. Control. Fusion 1997, 39, 105. [Google Scholar] [CrossRef]
- Cooney, J.L.; Gavin, M.T.; Lonngren, K.E. Experiments on Korteweg–de Vries solitons in a positive ion–negative ion plasma. Phys. Fluids B 1991, 3, 2758. [Google Scholar] [CrossRef]
- Nakamura, Y.; Bailung, H.; Lonngren, K.E. Oblique collision of modified Korteweg–de Vries ion-acoustic solitons. Phys. Plasmas 1999, 6, 3466. [Google Scholar] [CrossRef]
- Sheehan, D.P.; Rynn, N. Negative-ion plasma sources. Rev. Sci. lnstrum. 1988, 59, 8. [Google Scholar] [CrossRef]
- Lchiki, R.; Yoshimura, S.; Watanabe, T.; Nakamura, Y.; Kawai, Y. Experimental observation of dominant propagation of the ion-acoustic slow mode in a negative ion plasma and its application. Phys. Plasmas 2002, 9, 4481. [Google Scholar]
- Oohara, W.; Hatakeyama, R. Pair-ion Plasma generation using Fullerenes. Phys. Rev. Lett. 2003, 91, 205005. [Google Scholar] [CrossRef]
- Hatakeyama, R.; Oohara, W. Properties of Pair-ion plasmas using Fullerenes. Phys. Scripta 2005, 116, 101. [Google Scholar] [CrossRef]
- Oohara, W.; Date, D.; Hatakeyama, R. Electrostatic waves in a paired Fullerene-ion plasma. Phys. Rev. Lett. 2005, 95, 175003. [Google Scholar] [CrossRef]
- Helander, P.; Ward, D.J. Positron Creation and Annihilation in Tokamak Plasmas with Runaway Electrons. Phys. Rev. Lett. 2003, 90, 135004. [Google Scholar] [CrossRef]
- Esfandyari-Kalejahi, A.; Kourakis, I.; Shukla, P.K. Oblique modulation of electrostatic modes and envelope excitations in pair-ion and electron-positron plasmas. Phys. Plasmas 2006, 13, 122310. [Google Scholar] [CrossRef]
- Abdelsalam, U.M.; Moslem, W.M.; Shukla, P.K. Ion-acoustic solitary waves in a dense pair-ion plasma containing degenerate electrons and positrons. Phys. Lett. A 2008, 372, 4057. [Google Scholar] [CrossRef]
- Sabry, R. Modulation instability of ion thermal waves in a pair-ion plasma containing charged dust impurities. Phys. Plasma 2008, 15, 092101. [Google Scholar] [CrossRef]
- Hansen, S.H. Cluster temperatures and non-extensive thermo-statistics. New Astron. 2005, 10, 371. [Google Scholar] [CrossRef]
- Asbridge, J.R.; Bame, S.J.; Strong, I.B. Outward flow of protons from the Earth’s bow shock. J. Geophys. Res. 1968, 73, 5777. [Google Scholar] [CrossRef]
- Lundlin, R.; Zakharov, A.; Pellinen, R.; Borg, H.; Hultqvist, D.; Pissarenko, N.; Dubinin, E.M.; Barabash, S.W.; Liede, I.; Koskinen, H. First measurements of the ionospheric plasma escape from Mars. Nature 1989, 341, 609. [Google Scholar] [CrossRef]
- Futaana, Y.; Machida, S.; Saito, Y.; Matsuoka, A.; Hayakawa, H. Moon-related nonthermal ions observed by Nozomi: Species, sources, and generation mechanisms. J. Geophys. Res. 2003, 108, 1025. [Google Scholar] [CrossRef]
- Krimigis, S.M.; Carbary, J.F.; Keath, E.P.; Armstrong, T.P.; Lanzerotti, L.J.; Gloeckler, G. General characteristics of hot plasma and energetic particles in the Saturnian magnetosphere: Results from the Voyager spacecraft. J. Geophys. Res. 1983, 88, 8871. [Google Scholar] [CrossRef]
- Renyi, A. On a new axiomatic theory of probability. Acta Math. Acad. Sci. Hung. 1955, 6, 285. [Google Scholar] [CrossRef]
- Tsallis, C. Possible generalization of Boltzmann-Gibbs statistics. J. Stat. Phys. 1988, 52, 479. [Google Scholar] [CrossRef]
- Wang, Y.Y.; Li, J.T.; Dai, C.Q.; Chen, V.F. Solitary Waves Rogue Waves A Plasma Nonthermal Electrons Featur. Tsallis Distribution. Phys. Lett. A 2013, 377, 2097. [Google Scholar] [CrossRef]
- Shalini; Saini, N.S.; Misra, A.P. Modulation of ion-acoustic waves in a nonextensive plasma with two-temperature electrons. Phys. Plasmas 2015, 22, 092124. [Google Scholar] [CrossRef]
- Tribeche, M.; Djebarni, L.; Amour, R. Ion-acoustic solitary waves in a plasma with a q-nonextensive electron velocity distribution. Phys. Plasmas 2010, 17, 042114. [Google Scholar] [CrossRef]
- Hafez, M.G.; Talukder, M.R. Lon acoustic solitary waves in plasmas with nonextensive electrons, Boltzmann positrons and relativistic thermal ions. Astrophys. Space Sci. 2015, 359, 27. [Google Scholar] [CrossRef]
- Lesur, M.; Diamond, P.H.; Kosuga, Y. Nonlinear current-driven ion-acoustic instability driven by phase-space structures. Plasma Phys. Control. Fusion 2014, 56, 075005. [Google Scholar] [CrossRef]
- Berman, R.H.; Tetreault, D.J.; Dupree, T.H. Simulation of phase space hole growth and the development of intermittent plasma turbulence. Phys. Fluids 1985, 28, 155. [Google Scholar] [CrossRef]
- Akhmediev, N.; Ankiewiez, A.; Soto-Crespo, J.M. Rogue waves and rational solutions of the nonlinear Schrödinger equation. Phys. Rev. E 2009, 80, 026601. [Google Scholar] [CrossRef] [PubMed]
- Anikiewicz, A.; Devine, N.; Akhmediev, N. Are rogue waves robust against perturbations? Phys. Lett. A 2009, 373, 3997. [Google Scholar] [CrossRef]
- Akhmediev, N.; Soto-Crespo, J.M.; Ankiewicz, A. Extreme waves that appear from nowhere: On the nature of rogue waves. Phys. Lett. A 2009, 373, 2137. [Google Scholar] [CrossRef]
- Akhmediev, N.; Soto-Crespo, J.M.; Ankiewicz, A. How to excite a rogue wave. Phys. Rev. A 2009, 80, 043818. [Google Scholar] [CrossRef]
- Guo, S.; Mei, L. Modulation instability and dissipative rogue waves in ion-beam plasma: Roles of ionization, recombination, and electron attachment. Phys. Plasmas 2014, 21, 112303. [Google Scholar] [CrossRef]
- Kedziora, D.; Ankiewiez, A.; Akhmediev, N. Circular rogue wave clusters. Phys. Rev. E 2011, 84, 056611. [Google Scholar] [CrossRef] [PubMed]
- Haque, M.N.; Mannan, A.; Mamun, A.A. Three-dimensional Nonlinear Structures in Magnetized Complex Plasmas. Plasma Phys. Rep. 2019, 45, 1026. [Google Scholar] [CrossRef]
- Haque, M.N.; Mannan, A.; Mamun, A.A. The (3+1) dimensional dust-acoustic waves in multi-components magneto-plasmas. Contrib. Plasma Phys. 2019, 59, e201900049. [Google Scholar] [CrossRef]
- Bains, A.S.; Tribeche, M.; Gill, T.S. Modulational instability of ion-acoustic waves in a plasma with a q-nonextensive electron velocity distribution. Phys. Plasmas 2011, 18, 022108. [Google Scholar] [CrossRef]
- Bouzit, O.; Tribeche, M.; Bains, A.S. Modulational instability of ion-acoustic waves in plasma with a q-nonextensive nonthermal electron velocity distribution. Phys. Plasmas 2015, 22, 084506. [Google Scholar] [CrossRef]
- Eslami, P.; Mottaghizadeh, M.; Pakzad, H.R. Modulational instability of ion acoustic waves in e-p-i plasmas with electrons and positrons following a q-nonextensive distribution. Phys. Plasmas 2011, 18, 102313. [Google Scholar] [CrossRef]
- Chowdhury, N.A.; Mannan, A.A.; Hasan, M.M.; Mamun, A.A. Heavy ion-acoustic rogue waves in electron-positron multi-ion plasmas. Chaos 2017, 27, 093105. [Google Scholar] [CrossRef] [PubMed]
- Banik, S.; Shikha, R.K.; Noman, A.A.; Chowdhury, N.A.; Mannan, A.; Roy, T.S.; Mamun, A.A. First and second-order dust-ion-acoustic rogue waves in non-thermal plasma. Eur. Phys. J. D 2021, 75, 43. [Google Scholar] [CrossRef]







Publisher’s Note: MDPI stays neutral with regard to jurisdictional claims in published maps and institutional affiliations. |
© 2021 by the authors. Licensee MDPI, Basel, Switzerland. This article is an open access article distributed under the terms and conditions of the Creative Commons Attribution (CC BY) license (http://creativecommons.org/licenses/by/4.0/).
Share and Cite
Jahan, S.; Haque, M.N.; Chowdhury, N.A.; Mannan, A.; Mamun, A.A. Ion-Acoustic Rogue Waves in Double Pair Plasma Having Non-Extensive Particles. Universe 2021, 7, 63. https://doi.org/10.3390/universe7030063
Jahan S, Haque MN, Chowdhury NA, Mannan A, Mamun AA. Ion-Acoustic Rogue Waves in Double Pair Plasma Having Non-Extensive Particles. Universe. 2021; 7(3):63. https://doi.org/10.3390/universe7030063
Chicago/Turabian StyleJahan, Sharmin, Mohammad Nurul Haque, Nure Alam Chowdhury, Abdul Mannan, and Abdullah Al Mamun. 2021. "Ion-Acoustic Rogue Waves in Double Pair Plasma Having Non-Extensive Particles" Universe 7, no. 3: 63. https://doi.org/10.3390/universe7030063
APA StyleJahan, S., Haque, M. N., Chowdhury, N. A., Mannan, A., & Mamun, A. A. (2021). Ion-Acoustic Rogue Waves in Double Pair Plasma Having Non-Extensive Particles. Universe, 7(3), 63. https://doi.org/10.3390/universe7030063

