Aspects of Gauss-Bonnet Scalarisation of Charged Black Holes
Abstract
:| Contents | ||
| 1 Introduction | 1 | |
| 2 The Einstein-Maxwell-Scalar-GB Model | 3 | |
| 2.1 GBε Scalarisation of Electrovacuum Solutions..................................................................................................................................................................... | 4 | |
| 2.2 Physical Quantities of Interest for Scalarised BHs............................................................................................................................................................... | 4 | |
| 3 GBε Scalarisation of Reissner-Nordström BHs | 5 | |
| 3.1 The Linear Scalar Clouds........................................................................................................................................................................................................ | 6 | |
| 3.2 The Non-Linear Spherically Symmetric Scalarised BHs..................................................................................................................................................... | 7 | |
| 4 GBε Scalarisation of Kerr-Newman BHs | 9 | |
| 4.1 Construction of the Scalarised Kerr-Newman BHs............................................................................................................................................................. | 10 | |
| 4.2 Numerical Results................................................................................................................................................................................................................... | 12 | |
| 5 Lessons from Alternative Charged BHs | 12 | |
| 5.1 Einstein-Maxwell-Dilaton BHs.............................................................................................................................................................................................. | 13 | |
| 5.2 Einstein-Yang-Mills BHs......................................................................................................................................................................................................... | 13 | |
| 6 Further Remarks | 14 | |
| References | 16 | |
1. Introduction
2. The Einstein-Maxwell-Scalar-GB Model
2.1. GB Scalarisation of Electrovacuum Solutions
2.2. Physical Quantities of Interest for Scalarised BHs
3. GB Scalarisation of Reissner-Nordström BHs
3.1. The Linear Scalar Clouds
3.2. The Non-Linear Spherically Symmetric Scalarised BHs
4. GB Scalarisation of Kerr-Newman BHs
4.1. Construction of the Scalarised Kerr-Newman BHs
4.2. Numerical Results
5. Lessons from Alternative Charged BHs
5.1. Einstein-Maxwell-Dilaton BHs
5.2. Einstein-Yang-Mills BHs
6. Further Remarks
Author Contributions
Funding
Acknowledgments
Conflicts of Interest
| 1 | |
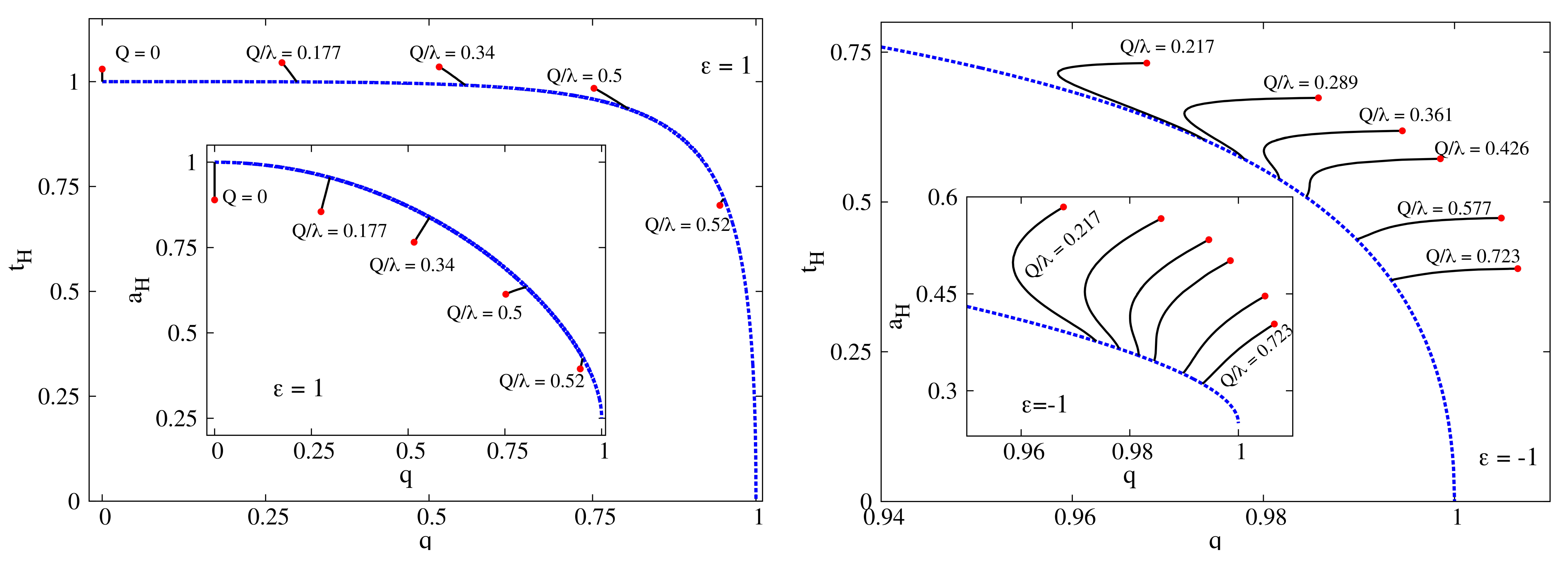
| 2 | Similar solutions are likely to exist for any other values of the quantum numbers, some preliminary results being found for the , case. An investigation of , static solutions has been reported in [17]. |
| 3 | |
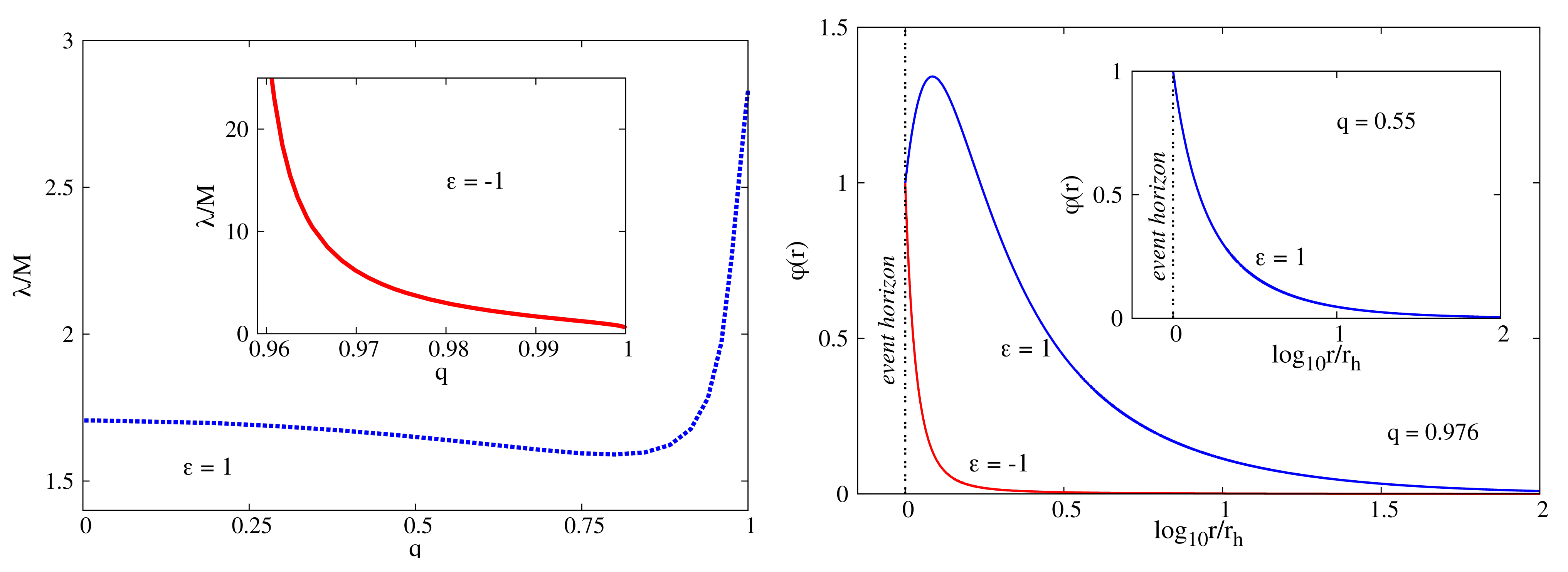
| 4 | An alternative expression for (40), in terms of and , is
|
| 5 | The Kerr-Newman BH can also be written in this coordinate system. The corresponding expressions in the Kerr limit can be found in [30]. |
| 6 | Since the electric-magnetic duality is still valid for the (Abelian) models in this work, the solutions possess a dual magnetic description. |
References
- Damour, T.; Esposito-Farese, G. Nonperturbative strong field effects in tensor—Scalar theories of gravitation. Phys. Rev. Lett. 1993, 70, 2220–2223. [Google Scholar] [CrossRef]
- Silva, H.O.; Sakstein, J.; Gualtieri, L.; Sotiriou, T.P.; Berti, E. Spontaneous scalarization of black holes and compact stars from a Gauss-Bonnet coupling. Phys. Rev. Lett. 2018, 120, 131104. [Google Scholar] [CrossRef] [Green Version]
- Doneva, D.D.; Yazadjiev, S.S. New Gauss-Bonnet black holes with curvature induced scalarization in the extended scalar-tensor theories. Phys. Rev. Lett. 2018, 120, 131103. [Google Scholar] [CrossRef] [Green Version]
- Antoniou, G.; Bakopoulos, A.; Kanti, P. Evasion of No-Hair Theorems and Novel Black-Hole Solutions in Gauss-Bonnet Theories. Phys. Rev. Lett. 2018, 120, 131102. [Google Scholar] [CrossRef] [PubMed] [Green Version]
- Herdeiro, C.A.R.; Radu, E. Asymptotically flat black holes with scalar hair: A review. Int. J. Mod. Phys. D 2015, 24, 1542014. [Google Scholar] [CrossRef] [Green Version]
- Blázquez-Salcedo, J.L.; Doneva, D.D.; Kunz, J.; Yazadjiev, S.S. Radial perturbations of the scalarized Einstein-Gauss-Bonnet black holes. Phys. Rev. D 2018, 98, 084011. [Google Scholar] [CrossRef] [Green Version]
- Myung, Y.S.; Zou, D.C. Instability of Reissner–Nordström black hole in Einstein-Maxwell-scalar theory. Eur. Phys. J. C 2019, 79, 273. [Google Scholar] [CrossRef]
- Doneva, D.D.; Kiorpelidi, S.; Nedkova, P.G.; Papantonopoulos, E.; Yazadjiev, S.S. Charged Gauss-Bonnet black holes with curvature induced scalarization in the extended scalar-tensor theories. Phys. Rev. D 2018, 98, 104056. [Google Scholar] [CrossRef] [Green Version]
- Witek, H.; Gualtieri, L.; Pani, P.; Sotiriou, T.P. Black holes and binary mergers in scalar Gauss-Bonnet gravity: Scalar field dynamics. Phys. Rev. D 2019, 99, 064035. [Google Scholar] [CrossRef] [Green Version]
- Brihaye, Y.; Herdeiro, C.; Radu, E. The scalarised Schwarzschild-NUT spacetime. Phys. Lett. B 2019, 788, 295–301. [Google Scholar] [CrossRef]
- Myung, Y.S.; Zou, D.C. Quasinormal modes of scalarized black holes in the Einstein–Maxwell–Scalar theory. Phys. Lett. B 2019, 790, 400–407. [Google Scholar] [CrossRef]
- Minamitsuji, M.; Ikeda, T. Scalarized black holes in the presence of the coupling to Gauss-Bonnet gravity. Phys. Rev. D 2019, 99, 044017. [Google Scholar] [CrossRef] [Green Version]
- Silva, H.O.; Macedo, C.F.B.; Sotiriou, T.P.; Gualtieri, L.; Sakstein, J.; Berti, E. Stability of scalarized black hole solutions in scalar-Gauss-Bonnet gravity. Phys. Rev. D 2019, 99, 064011. [Google Scholar] [CrossRef] [Green Version]
- Brihaye, Y.; Ducobu, L. Hairy black holes, boson stars and non-minimal coupling to curvature invariants. Phys. Lett. B 2019, 795, 135–143. [Google Scholar] [CrossRef]
- Herdeiro, C.A.R.; Radu, E. Black hole scalarization from the breakdown of scale invariance. Phys. Rev. D 2019, 99, 084039. [Google Scholar] [CrossRef] [Green Version]
- Hod, S. Gauss-Bonnet black holes supporting massive scalar field configurations: The large-mass regime. Eur. Phys. J. C 2019, 79, 966. [Google Scholar] [CrossRef]
- Collodel, L.G.; Kleihaus, B.; Kunz, J.; Berti, E. Spinning and excited black holes in Einstein-scalar-Gauss–Bonnet theory. Class. Quantum Gravity 2020, 37, 075018. [Google Scholar] [CrossRef] [Green Version]
- Antoniou, G.; Lehébel, A.; Ventagli, G.; Sotiriou, T.P. Black hole scalarization with Gauss-Bonnet and Ricci scalar couplings. Phys. Rev. D 2021, 104, 044002. [Google Scholar] [CrossRef]
- East, W.E.; Ripley, J.L. Dynamics of Spontaneous Black Hole Scalarization and Mergers in Einstein-Scalar-Gauss-Bonnet Gravity. Phys. Rev. Lett. 2021, 127, 101102. [Google Scholar] [CrossRef]
- Annulli, L. CLAP for modified gravity: Scalar instabilities in binary black hole spacetimes. arXiv 2021, arXiv:2105.08728. [Google Scholar]
- Doneva, D.D.; Yazadjiev, S.S. Beyond the spontaneous scalarization: New fully nonlinear dynamical mechanism for formation of scalarized black holes. arXiv 2021, arXiv:2107.01738. [Google Scholar]
- Dima, A.; Barausse, E.; Franchini, N.; Sotiriou, T.P. Spin-induced black hole spontaneous scalarization. Phys. Rev. Lett. 2020, 125, 231101. [Google Scholar] [CrossRef] [PubMed]
- Herdeiro, C.A.R.; Radu, E.; Silva, H.O.; Sotiriou, T.P.; Yunes, N. Spin-induced scalarized black holes. Phys. Rev. Lett. 2021, 126, 011103. [Google Scholar] [CrossRef]
- Berti, E.; Collodel, L.G.; Kleihaus, B.; Kunz, J. Spin-induced black-hole scalarization in Einstein-scalar-Gauss-Bonnet theory. Phys. Rev. Lett. 2021, 126, 011104. [Google Scholar] [CrossRef] [PubMed]
- Cunha, P.V.; Herdeiro, C.A.; Radu, E. Spontaneously Scalarized Kerr Black Holes in Extended Scalar-Tensor–Gauss-Bonnet Gravity. Phys. Rev. Lett. 2019, 123, 011101. [Google Scholar] [CrossRef] [PubMed] [Green Version]
- Hod, S. Onset of spontaneous scalarization in spinning Gauss-Bonnet black holes. Phys. Rev. D 2020, 102, 084060. [Google Scholar] [CrossRef]
- Herdeiro, C.A.R.; Radu, E.; Sanchis-Gual, N.; Font, J.A. Spontaneous Scalarization of Charged Black Holes. Phys. Rev. Lett. 2018, 121, 101102. [Google Scholar] [CrossRef] [PubMed] [Green Version]
- Brihaye, Y.; Hartmann, B. Spontaneous scalarization of charged black holes at the approach to extremality. Phys. Lett. B 2019, 792, 244–250. [Google Scholar] [CrossRef]
- Townsend, P.K. Black holes: Lecture notes. arXiv 1997, arXiv:gr-qc/9707012. [Google Scholar]
- Herdeiro, C.; Radu, E. Construction and physical properties of Kerr black holes with scalar hair. Class. Quantum Gravity 2015, 32, 144001. [Google Scholar] [CrossRef] [Green Version]
- Fernandes, P.G.S.; Herdeiro, C.A.R.; Pombo, A.M.; Radu, E.; Sanchis-Gual, N. Spontaneous Scalarisation of Charged Black Holes: Coupling Dependence and Dynamical Features. Class. Quantum Gravity 2019, 36, 134002. [Google Scholar] [CrossRef] [Green Version]
- Astefanesei, D.; Herdeiro, C.; Pombo, A.; Radu, E. Einstein-Maxwell-scalar black holes: Classes of solutions, dyons and extremality. J. High Energy Phys. JHEP 2019, 10, 78. [Google Scholar] [CrossRef] [Green Version]
- Gibbons, G.W.; Maeda, K.I. Black Holes and Membranes in Higher Dimensional Theories with Dilaton Fields. Nucl. Phys. B 1988, 298, 741–775. [Google Scholar] [CrossRef]
- Garfinkle, D.; Horowitz, G.T.; Strominger, A. Charged black holes in string theory. Phys. Rev. D 1991, 43, 3140. [Google Scholar] [CrossRef]
- Sen, A. Rotating charged black hole solution in heterotic string theory. Phys. Rev. Lett. 1992, 69, 1006–1009. [Google Scholar] [CrossRef] [PubMed] [Green Version]
- Volkov, M.S.; Galtsov, D.V. Nonabelian Einstein Yang-Mills Black Holes. Sov. J. Exp. Theor. Phys. Lett. 1989, 50, 346–350. [Google Scholar]
- Kuenzle, H.P.; Masood-ul-Alam, A.K. Spherically Symmetric Static SU(2) Einstein Yang-Mills Fields. J. Math. Phys. 1990, 31, 928–935. [Google Scholar] [CrossRef]
- Bizon, P. Colored Black Holes. Phys. Rev. Lett. 1990, 64, 2844. [Google Scholar] [CrossRef] [PubMed]
- Volkov, M.S.; Gal’tsov, D.V. Gravitating non-Abelian solitons and black holes with Yang-Mills fields. Phys. Rep. 1999, 319, 1–83. [Google Scholar] [CrossRef] [Green Version]
- Volkov, M.S. Hairy black holes in the XX-th and XXI-st centuries. In Proceedings of the MG14 Meeting on General Relativity, Rome, Italy, 12–18 July 2015. [Google Scholar]
- Bartnik, R.; Mckinnon, J. Particlelike Solutions of the Einstein Yang-Mills Equations. Phys. Rev. Lett. 1988, 61, 141–144. [Google Scholar] [CrossRef] [PubMed]
- Doneva, D.D.; Staykov, K.V.; Yazadjiev, S.S. Gauss-Bonnet black holes with a massive scalar field. Phys. Rev. D 2019, 99, 104045. [Google Scholar] [CrossRef] [Green Version]
- Macedo, C.F.B.; Sakstein, J.; Berti, E.; Gualtieri, L.; Silva, H.O.; Sotiriou, T.P. Self-interactions and Spontaneous Black Hole Scalarization. Phys. Rev. D 2019, 99, 104041. [Google Scholar] [CrossRef] [Green Version]







Publisher’s Note: MDPI stays neutral with regard to jurisdictional claims in published maps and institutional affiliations. |
© 2021 by the authors. Licensee MDPI, Basel, Switzerland. This article is an open access article distributed under the terms and conditions of the Creative Commons Attribution (CC BY) license (https://creativecommons.org/licenses/by/4.0/).
Share and Cite
Herdeiro, C.A.R.; Pombo, A.M.; Radu, E. Aspects of Gauss-Bonnet Scalarisation of Charged Black Holes. Universe 2021, 7, 483. https://doi.org/10.3390/universe7120483
Herdeiro CAR, Pombo AM, Radu E. Aspects of Gauss-Bonnet Scalarisation of Charged Black Holes. Universe. 2021; 7(12):483. https://doi.org/10.3390/universe7120483
Chicago/Turabian StyleHerdeiro, Carlos A. R., Alexandre M. Pombo, and Eugen Radu. 2021. "Aspects of Gauss-Bonnet Scalarisation of Charged Black Holes" Universe 7, no. 12: 483. https://doi.org/10.3390/universe7120483
APA StyleHerdeiro, C. A. R., Pombo, A. M., & Radu, E. (2021). Aspects of Gauss-Bonnet Scalarisation of Charged Black Holes. Universe, 7(12), 483. https://doi.org/10.3390/universe7120483

