Next Article in Journal
The Sharma–Mittal Model’s Implications on FRW Universe in Chern–Simons Gravity
Previous Article in Journal
Sterile Neutrinos with Neutrino Telescopes
Previous Article in Special Issue
Editorial to the Special Issue “The Casimir Effect: From a Laboratory Table to the Universe”
 
 
Font Type:
Arial Georgia Verdana
Font Size:
Aa Aa Aa
Line Spacing:
Column Width:
Background:
Article

Puzzling Low-Temperature Behavior of the Van Der Waals Friction Force between Metallic Plates in Relative Motion

Nanoscale Physics Group, Kabardino-Balkarian State University, 360004 Nalchik, Russia
Universe 2021, 7(11), 427; https://doi.org/10.3390/universe7110427
Submission received: 12 October 2021 / Revised: 4 November 2021 / Accepted: 5 November 2021 / Published: 9 November 2021
(This article belongs to the Special Issue The Casimir Effect: From a Laboratory Table to the Universe)

Abstract

This paper presents the results of calculating the van der Waals friction force (dissipative fluctuation-electromagnetic force) between metallic (Au) plates in relative motion at temperatures close to 1 K. The stopping tangential force arises between moving plates along with the usual Casimir force of attraction, which has been routinely measured with high precision over the past two decades. At room temperatures, the former force is 10 orders of magnitude less than the latter, but at temperatures T < 50   K , friction increases sharply. The calculations have been carried out in the framework of the Levin-Polevoi-Rytov fluctuation electromagnetic theory. For metallic plates with perfect crystal lattices and without defects, van der Waals friction force is shown to increase with decreasing temperature as T 4 . In the presence of residual resistance ρ 0 of the metal, a plateau is formed on the temperature dependence of the friction force at T 0 with a height proportional to ρ 0 0.8 . Another important finding is the weak force-distance dependence ~ a q (with q < 1 ). The absolute values of the friction forces are achievable for measurements in AFM-based experiments.

1. Introduction

Spatial correlations of quantum and thermal fluctuations of polarization and magnetization of condensed bodies, as well as a vacuum electromagnetic field, lead to the appearance of fluctuating electromagnetic forces between polarizable particles, atoms, and macroscopic bodies. In particular, an attractive force arises between electrically neutral thick metallic or dielectric plates (half-spaces) located at a distance a   from each other—the Casimir-Lifshitz force [1,2]. Fluctuation-electromagnetic forces in various systems are usually called van der Waals forces [3]. Upon the relative motion of the plates with velocity V, in addition to an attractive force, a dissipative tangential force (quantum friction force at   T = 0 ) arises between them [4,5,6,7,8,9,10,11,12,13,14,15,16]. At nonrelativistic velocities V and temperature   T 0 , this force is proportional to V and to higher odd powers of V at T = 0 .
For several decades, the calculation of the van der Waals dissipative force has been the subject of intense theoretical research and discussion by numerous groups of authors, with widely differing results. In particular, the expressions for this force, obtained in the first works [4,5,6,7], were considered either inaccurate or lacked sufficient details, while correct expressions, in the cases T = 0   and T 0 , were first obtained in [8,9,10]. However, as has recently been shown [17], basic results obtained earlier by Polevoi (Equations (1)–(4) in [6]) make it possible to correctly reproduce all generally accepted expressions for the dissipative van der Waals force between parallel plates. In addition, a more transparent formula for this force, obtained on the basis of these results in [17], makes it possible to significantly simplify the analysis of its low-temperature dependence. As we have noted in [17], dissipative tangential force F x between metallic (Au) plates increases sharply with decreasing temperature and decreasing electrical resistance. This unexpected result is associated with a significant increase of the contribution from low-frequency electromagnetic modes with frequencies ω ν , with ν being the relaxation frequency, which, although small, is finite at   T = 0 . At the same time, at ν = 0 , the force F x becomes negligibly small.
Along with these results, a general consensus has emerged between several theoretical approaches to the problem of dissipative van der Waals interactions on the whole, reflected, for example, in [11,18,19,20]. These developments and the results obtained and shown below open up much more optimistic prospects for conducting appropriate experiments to measure van der Waals friction, despite its smallness at ordinary (room) temperatures that hampers experimental studies.
Unlike dissipative van der Waals forces, precise experimental measurements of attractive Casimir-Lifshitz force F z have been carried out for more than 20 years [21,22,23], having achieved a high accuracy of ~ 1 % , but at temperatures of ~ 1   K , thermal corrections to F z are small compared to a “cold” part. This fact greatly complicates experimental measurements of entropy and, accordingly, the resolution of another long-standing problem––the so-called Casimir puzzle and Casimir conundrum [23,24,25,26] in the case of metallic and dielectric plates: violating the Nernst heat theorem when calculating the force of attraction between the plates in the framework of the Lifshitz theory using conventional, well-tested dielectric functions of materials. A recent comprehensive review on this issue is given in [27]. In contrast, the van der Waals friction force with a linear dependence on velocity turns out to be most sensitive precisely to the low-temperature dielectric properties of materials, and its measurement can also give a new impetus in solving the Casimir puzzle.
In addition to fundamental interest, exploring van der Waals friction can be of great practical importance for microtechnology and for description of micromechanical systems operation [28]. There is also reason to guess that van der Waals friction can manifest itself under astrophysical conditions during conglomeration of dust particles [19,29].
Taking all the above into account, this work aims at a more detailed analytic and numerical analysis of the low-temperature behavior of the van der Waals friction force between metallic plates, based on the theory by Levin-Polevoi-Rytov [6,30] and its development in [17]. This enables us to confirm our previous conclusions [17] both analytically and numerically. Namely, van der Waals friction force between the plates of gold increases by 6–7 orders of magnitude when the temperature drops down from 100 to 1 K, provided that the dielectric permittivity is described by the Drude function, with the temperature dependence of relaxation frequency obeying the Bloch-Grüneisen formula or close to it. A simple analytic expression for the friction force is also obtained, and the conditions are discussed for its experimental measurement in the sphere-plate configuration, commonly used when measuring attractive Casimir force. This creates a favorable prospect in measuring van der Waals dissipative friction.

2. Theoretical Background

Let us consider the standard Casimir-Lifshitz configuration of a system of two metallic plates 1 and 2 (Figure 1) at a temperature T , separated by a vacuum gap a , where plate 1 moves with a nonrelativistic velocity V relative to a fixed plate 2. Recall the original expression for the fluctuation-electromagnetic friction force F x   per unit area of the vacuum contact of two plates obtained in [17] in a linear approximation in the velocity V (a more general formula is also given in [17]).
F x = ħ V 2 π 2 0 d ω d n d ω 0 d k k 3 q 2 Q e 2 Im q 1 ε 1 Im q 2 ε 2 + q 2 Q m 2 Im q 1 μ 1 Im q 2 μ 2 ,
where n ω = 1 / exp ħ ω / T 1 ; ε 1 , 2   and μ 1 , 2 are the frequency-dependent dielectric permittivity and magnetic permeability of materials of plate 1 and 2,
q = k 2 ω 2 / c 2 , q 1 , 2 = k 2 ε 1 , 2 μ 1 , 2 ω 2 / c 2 , and
Q e = q + q 1 / ε 1 q + q 2 / ε 2 e q a q q 1 / ε 1 q q 2 / ε 2 e q a ,
Q m = q + q 1 / μ 1 q + q 2 / μ 2 e q a q q 1 / μ 1 q q 2 / μ 2 e q a .
In (1), the Planck constant and the speed of light in vacuum are denoted by ħ and c, and temperature T is expressed in energy units. The linear approximation in velocity corresponds to the condition   ω k V , which at a nonrelativistic velocity V c is met both in the case of inhomogeneous (evanescent) electromagnetic waves ( k > ω / c ) and in the case of propagating (traveling) waves ( k ω / c ). As shown in [17], formula (1) fully agrees with the general relativistic expression for the dissipative force   F x , obtained by Polevoi [6] within the framework of the fluctuation-electromagnetic theory [30]. It can also be cast to a more familiar expression with Fresnel’s reflection coefficients of electromagnetic waves [10,11] (see Appendix A). However, formula (1) is much more convenient when analyzing the low-temperature behavior of the force F x due to a more transparent dependence on dielectric permittivity.
We will further consider the case of plates of the same nonmagnetic metals with μ 1 = μ 2 = 1 ,   ε 1 = ε 2 = ε ω . Then (1) takes the simpler form
F x = ħ V 8 π 2 ħ T 0 d ω sin h 2 ( ħ ω / 2 T ) 0 d k k 3 q 2 Im q 1 / ε 2 Q e 2 + Im q 1 2 Q m 2 .
In obtaining (4), we have taken into account the identity d d x exp x 1 1 = 1 / 4 sin h 2 ( x / 2 ) . The modification of (2) and (3) for μ 1 = μ 2 ,   ε 1 = ε 2 = ε is obvious (keeping the general definition q 1 = k 2 ε   ω 2 / c 2 for q 1 , 2 ).
When studying the low-temperature behavior of the attractive Casimir-Lifshitz force F z between metallic plates, the Drude approximation for ε ω is usually used:
ε ω = 1 ω p 2 ω ω + i ν
where ω p and ν are plasma and relaxation frequencies. Meanwhile, for an ideal metal without impurities and other defects, dependence ν T obeys the Bloch-Grüneisen law [31,32].
ν B G T = 0.0212 T / θ 5 0 θ / T x 5 sh x / 2 2 d x   ( eV ) ,
where   θ is the Debye temperature. In the presence of impurities and other physical defects that contribute to the formation of residual resistance, it seems natural to use the expression
ν T = ν 0 + ν B G T ,
with ν 0 being the constant and ν B G T   ν 0 at 0 T T 0 ( T 0   θ ) . The role of the relaxation frequency at zero temperature and the corresponding mechanisms were discussed in [32,33,34,35,36].
As can be easily seen from (4), only traveling waves ω / c k   can contribute to the friction force F x at   ν = 0 . The resulting friction force F x in this case is extremely small for measurement at present. Therefore, direct experimental measurements of F x at small distances between the plates, when inhomogeneous waves k > ω / c   dominate, would not only be a direct validation of the presence of finite residual resistance but would also enable us to quantitatively assess its magnitude. In view of the above, we will further assume that function ν T is always nonzero and introduce the frequency parameterization ω = ν t . For wave vector k , we use the parametrization k = ω p / c y 2 + β 2 t 2 (with β = ν / ω p ) in the case k > ω / c , and k = ω p / c β 2 t 2 y 2   in the case k ω / c . Then, for q and q 1 in (4), we obtain q = ω p / c y , q 1 = ω p / c y 2 + t / t + i   in the former case and q = i ω p / c y , q 1 = ω p / c y 2 + t / t + i in the latter case. Accordingly, formula (4) takes the form
F x = ħ V 8 π 2 ω p c 4 α 0 d t sin h 2 ( α t / 2 ) f 1 t , β , λ + f 2 t , β , λ ,
where α = ħ ν / T , λ = ω p a / c , and functions f 1 , 2 are given by
f 1 t , β , λ = 0 d y y 2 y 2 + β 2 t 2 Im w 1 / ϵ 2 Q e n 2 + Im w 1 2 Q m n 2 ,
f 2 t , β , λ = 0 β t d y y 2 β 2 t 2 y 2 Im w 2 / ϵ 2 Q e r 2 + Im w 2 2 Q m r 2 .
In (9) and (10), we also introduced the quantities ϵ = 1 1 / β 2 t t + i , w 1 = y 2 + t / t + i , w 2 = y 2 + t / t + i and
Q m n = 2 2 y 2 + t t + i sh λ y + 4 y y 2 + t t + i ch λ y ,
Q e n = 2 y 2 + ϵ 2 y 2 + t t + i sh λ y + 4 y ϵ 1 y 2 + t t + i ch λ y ,
Q m r = 2 2 y 2 + t t + i sin λ y + 4 y y 2 + t t + i cos λ y ,
Q e r = 2 y 2 + ϵ 2 y 2 + t t + i sin λ y + 4 y ϵ 1 y 2 + t t + i cos λ y .
Let us analyze the role of individual terms in (8) as   T 0 , when the parameter   α = ħ ν T / T is small. If ν T is defined by (6), then α = 1 for T = 69 K and α = 1.375 for T = 300 K. Moreover, up to high temperatures T ~ 1000   K , the relation α / β = ħ ω p / T 1   holds. Parameter λ does not depend on temperature. In particular, for gold ( ω p = 9.03   eV ) at a = 10 nm, we obtain λ = 0.459 . The presence of the hyperbolic sine squared in (8) enhances the role of low-frequency modes with   t 1 , when sh ( α t / 2 ) 2 4 α 2 t 2 . Accordingly, a significant temperature effect should manifest itself at   T 69   K . To allocate the dependence of the force F x on α (and on temperature) more clearly, we write (8) in the form
F x = ħ V 8 π 2 ω p c 4 1 α I m n + I e n + I m r + I e r
where the integral terms in square brackets are given by
I m n = α 2 0 d t sin h 2 ( α t / 2 ) 0 d y y 2 y 2 + β 2 t 2 Im y 2 + t / t + i   2 Q m n 2 ,
I e n = α 2 0 d t sin h 2 ( α t / 2 ) 0 d y y 2 y 2 + β 2 t 2 Im ϵ 1 y 2 + t / t + i   2 Q e n 2 ,
I m r = α 2 0 d t sin h 2 ( α t / 2 ) 0 β t d y y 2 β 2 t 2 y 2 Im y 2 + t / t + i 2 Q m r 2 ,
I e r = α 2 0 d t sin h 2 ( α t / 2 ) 0 β t d y y 2 β 2 t 2 y 2 Im ϵ 1 y 2 + t / t + i   2 Q e r 2 .
The temperature dependence of F x also manifests itself through a small parameter β . An analysis of (16)–(19) shows that, in the most important range of nanometer distances, a between the plates, the main contribution is made by the integral I m n , corresponding to inhomogeneous waves. When calculating I m n , y takes characteristic values y ~ λ 1 ~ 1 . Then for t 1 and y t , one obtains Q m n 2 16 y 4 exp 2 λ y . On the other hand, regardless of the relation between y and t , it follows that
Im w 1 2 = Im y 2 + t t + i 2   = t 2 + t 2 + y 2 1 + t 2 2 t 2 y 2 1 + t 2 2 1 + t 2 .
Accordingly, for t 1 and y t , one obtains Im w 1 2 0.5 t 2 / y 2 1 + t 2 and Im w 1 2 / Q m n 2 t 2 e 2 λ y / 32 y 6 1 + t 2 , while (16) takes the form
I m n 1 8 0 p d t 1 + t 2 p d y e 2 λ y y 2 1 + β 2 t 2 y 2 ,
where p ~ 1 . Calculating integral (17) yields,
I m n = arctg p 8 p 2 p λ Ei 2 p λ + e 2 p λ + β 2 24 p arctg p p 3 4 p 3 λ 3 Ei 2 p λ + 1 p λ + 2 p 2 λ 2 e 2 p λ
with Ei x being the integral exponential function [37]. Moreover, the presence of a small parameter β 2 in the second term of (22) makes it negligible in comparison with the first term. In the case when y t 1 , from (11) and (20) it follows that Im w 1 2 / Q m n 2 1 + y 2 / 16 y 2 ,   and when this expression is substituted into (16), the result does not depend on α , but it is negligible due to the smallness of the upper limits of integration. In other regions of integration, integral I m n   turns out to be proportional to α or   α 2 , so its contribution at α 1 can also be neglected. The rest of the integral terms in (15) are also small. In particular, integral I e n is cut off due to the large modulus value of the dielectric constant ε ( ϵ in (9)), and the contributions I m r   and I e r from traveling waves are small due to the additional dependence on β 2 .   Thus, taking into account (18), it follows from (15) that at T 0 force, F x increases proportionally to T 4 if ν T is described by (6). This conclusion is also confirmed by direct numerical calculations in Section 3.

3. Numerical Results

As an example, we calculated the van der Waals force between two Au plates. The dielectric function was taken in Drude approximation (5) with the relaxation frequency defined by (6) or (7). When using (7), parameter ν 0   was varied in such a way that the equality ν 0 = ν BG T 0 was fulfilled for values of T 0 in the range from 0   to 3   K . This made it possible to estimate the residual resistance of the plate material, ρ 0 = 4 π ν 0 / ω p 2 . Accordingly, parameter α in (15)–(19) was calculated by α T = ν 0 + ν BG T / T . In Table 1, we compare different contributions to the friction force ( I m n ,   I e n , I m r ,   I e r ) in Equation (15). One can see that integrals I e n , I m r ,   I e r are small compared to I m n   and can be neglected. The resultant friction forces at ν 0 = 0 are shown in Table 2. The upper-row values of F x for each temperature T and a gap width a were obtained by direct numerical integration of (16). The lower-row values of F x were calculated by formula (22) with parameter p depending on a . Since the temperature dependence of integral I m n   was very weak, a good approximation for p a at each value of a was obtained when equating (22) and the result of numerical integration in (16) for T = 1   K . The resultant dependence p a is shown by the solid curve in Figure 2. The dashed curve was obtained using the fitting function
p a = 0.4 exp 0.1 a 1 / 2 0.001 a 0.874 .
As follows from the data in Table 2, the use of (22) in combination with (23) provides a fair description of the friction force. Approximation errors gradually increase from 0–3% for a 30 nm to 3–10% for 30 a 200 nm. Errors are associated with increasing errors of Equation (23) at large values of a
Omitting the small second term in (22) and inserting (22) into (15), we obtain an approximate expression for the friction force of the form
F x = ħ V 64 π 2 ω p c 4 T ν T arctg p p 2 p ω p a c Ei 2 p ω p a / c + exp 2 p ω p a / c ,
where p a is given by (23) or it can be taken from Figure 2 (circles) and Table 3.
As follows from (24) and the data shown in Table 2, at T ~ 1 200   K ,   friction force F x   scales as T 4   if   ν 0 = 0 . This is caused by dependence (6). Another striking result is that in the range of distances under consideration (see Figure 3).
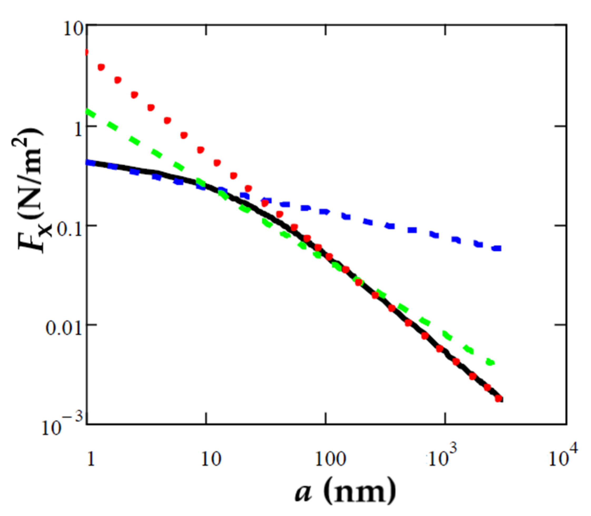
The dependence of F x on distance (gap width) is relatively weak: F x a ~ a 0.25 for a = 1 10   nm, F x a ~ a 0.75 for a = 10 100   nm, and F x a ~ a 1 for a = 100 3000   nm. This is in drastic contrast to the behavior of the attractive Casimir force ( F z ~ a 4 for T = 0 in this range of separations).
As the next step, we calculated dependence F x T at different values of ν 0 . The results are shown in Figure 4 and Figure 5 for a = 10 nm and a = 100   nm.
The formation of a plateau on the plots at T = 0 was caused by the finite values of ν 0 and residual resistance ρ 0 . The smaller ν 0 , the higher the growth of F x T with decreasing temperature. A plateau was formed at a temperature T 0 , corresponding to the equality ν 0 = ν BG T 0 , and the corresponding values of F x were proportional to ρ 0 0.8 . Another plateau on the curves, where the friction force barely does not depend on temperature, was observed at T > 100   K , in the range of room and higher temperatures, in agreement with our previous calculations [17].

4. Discussion

The results obtained fully confirm our earlier conclusion [17] that van der Waals friction force between metallic plates of gold should increase significantly at temperatures T < 50 K (see Figure 4 and Figure 5). The character of this dependence ( F x ~ T 4 ) is due to the low-temperature behavior of the relaxation frequency ν T at T < θ , since ν T ~ T 5 . In the presence of defects and impurities in the metal, the quantity ν 0 = ν 0 is associated with the residual resistance of the metal, ρ 0 = 4 π ν 0 / ω p 2 . With decreasing temperature below the value T 0 determined by the relation ν B G T 0 = ν 0 , the height of the plateau forming on the dependence of the friction force on temperature is proportional to T 0 4 . Correspondingly, knowing the height of the plateau allows one to find ρ 0 , since F x ρ 0 0.8 . At first glance, an unexpected increase in friction at T < 100   K   (69 K for gold) had a fairly simple physical justification. In accordance with the Planck distribution, the density of fluctuation modes increased significantly at low frequencies ω < T / ħ . However, under normal conditions and a sufficiently high resistance of the metal, the relationship ν > T / ħ   ( α > 1 ) was satisfied, and the characteristic absorption frequency was the Wien frequency. Accordingly, friction force decreased with decreasing temperature ( T 2 ) . With decreasing temperature T , the relaxation frequency decreased faster than the Wien frequency, the ratio between them changed ( α < 1 ), and the characteristic absorption frequency shifted towards low frequencies with a high density of electromagnetic modes. At the same time, the penetration depth of S-modes increased. Although the mean free path of electrons increased and the resistance to direct current dropped down, an increasing number of electrons underwent small-angle scattering under the action of numerous small-scale local fluctuations of the electromagnetic field and charge density. As a result, Joule dissipation and friction grew up to the saturation threshold due to residual resistance. In general, these processes were controlled by parameter α. Within the framework of this scheme, the sharp drop in the friction force in the limit T 0 ,   ν 0   is also easily explained: the S-wave field was transformed into a constant magnetic field that freely penetrated into the sample, and the dissipation of energy of electrons disappeared.
Thus, no less important result is that the dominant contribution to the friction force (up to distances a = 1 ÷ 3   μ m ) was due to inhomogeneous S-polarized electromagnetic waves. Meanwhile, it was the low-temperature behavior of the S-modes and their contribution to the magnitude of the thermal part of the Casimir force that played a key role in resolving the Casimir paradox associated with a possible violation of the Nernst theorem, since theoretically consistent models of dielectric response for real metals at low frequencies should agree with the behavior of the Casimir entropy at T 0 . According to [32], the most promising route for exploring the finite temperature correction to the Casimir pressure and entropy in the standard setup with two parallel plates appears to be the case of large separations around 2 µm. Then the corresponding (relative) temperature correction will be on the level of 1%. However, at such separations, the Casimir pressure itself is small (it is ~ 1.6 × 10 4 times less than at separations of 100 nm). At the same time, if van der Waals friction increases by 10 6 ÷ 10 8 times at T ~ 1   K , the level of thermal correction to Casimir pressure will be inferior to the magnitude of the van der Waals friction. For ideal metal plates, at a = 2  µm, T = 3   K , the thermal Casimir force F z = 1.2 T / 4 π a 3 turns out to be 5 × 10 7 N/m2, whereas the corresponding friction force was 3.2 × 10 5 N/m2 (at V = 1 m/s, T = T 0 = 3 K), i.e., much higher.
Also noteworthy was the very slow decrease in the friction force with distance: even at a = 1 ÷ 3   μ m we obtained the dependence F x ~ a 1 , while at smaller distances we had F x ~ a q with q < 1 (Figure 3). This is in drastic contrast to the Casimir attraction force, where F z ~ a q with q = 4 ÷ 3 . Such a weak dependence lead to an increase in the effective area of interaction in experiments, in which a probing body was a metallized sphere of radius R .   In addition, the role of surface roughness in this case also turned out to be less important.
The calculated values of the van der Waals friction force seem to be quite achievable in a setup based on an atomic force microscope (AFM), where an Au-coated sphere of radius R is attached to the AFM cantilever and interacts with an Au-coated plate of the substrate material. Thus, for R = 50   µm, a = 20   nm, T = T 0 = 1   K , and V = 1   m / s , we obtained F x = 0.165   N / m 2 and F x = 0.088   N / m 2 (at a = 50   nm and the same other conditions). Then, with an effective area of interaction S e f f = π a R , the calculated friction parameter will be γ = F x S e f f / V = 5.2 × 10 13   kg / s in the former case and γ = 6.9 × 10 13   kg / s in the latter. Close to such experimental conditions were those implemented in [38]. In that experiment, a configuration with the AFM cantilever oriented perpendicular to the surface was applied. Due to the high stiffness of the cantilever in the transverse direction, the distance a between the sphere and the surface could be controlled with an accuracy of several nm. The measured values of the friction parameter γ (at a = 10   nm ) were 1.5 × 10 13   kg / s at T = 295   K and 2.5 × 10 14   kg / s at T = 77   K , with the distance dependence γ ~ a q ( q = 1.3 ± 0.2 ) . However, the dissipation mechanism in [38] was not clearly elucidated. However, in the opinion of the authors, the dissipation is electrical in origin, and they did not exclude the influence of adsorbates and other surface defects, causing the appearance of parasitic electric fields. To a greater extent, such effects were likely even more significant in the experiment [39], with a parallel orientation of the cantilever (in the range of room temperatures). As compared to our expectations, the key points, which likely exclude the relevance of these experiments to the quantitative estimates of the van der Waals friction, are related with the decreasing temperature dependence (with reducing temperature). In addition, the level of the van der Waals friction of order 10 13   kg / s is expected at temperatures T < 5   K , which were not reached in [34].
New fascinating experimental possibilities in precision measurements of Casimir forces and quantum friction forces between plates and in close geometry are opening up with recent experiments [36,40,41]. In particular, in [41], the Casimir force between interpenetrated rectangular gratings was measured at T = 4 K.
Another point that seems to be worth touching on briefly is the possible role of nonlocal corrections to the dielectric constant at low temperatures. In our recent paper [42], the calculated nonlocal correction to friction force becomes significant at separations a < 10   nm, but it affects only the contribution from P-polarized waves, which is much less than the contribution from S-waves (Table 1). In addition, this nonlocal correction scales with temperature and distance as T 2 / a 5 . The effect of nonlocality was also negligible in calculating the contribution from S-waves to Casimir pressure [43,44]. One more nonlocal modification of Drude function (5) (compared to [43,44]) was recently proposed in [45]. In its essential point, as far as concerned the friction force, the second term in (5) had an additional factor ~ 1 / 1 + i k V F / ω . In the case of interest, k > ω / c , this factor either did not change the Drude-like low-temperature behavior of dielectric permittivity,   ε i ω p 2 / ω ν T   ( ω ν T ) or lead to the plasma-like dependence. In the latter case, the friction force receded. A more confident judgement needs additional analysis.

5. Conclusions

The main conclusions are the following:
(1)
For metals without defects and impurities, van der Waals friction parameter γ = F x / V increases with decreasing temperature as T 4 at temperatures T < 100 K.
(2)
In the presence of residual resistance ρ 0 , the temperature dependence of the friction force reaches saturation ( γ ρ 0 0.8 ) at T < T 0 , where T 0   depends on the magnitude of ρ 0 .
(3)
Dependence of the friction parameter on distance is weak: γ ~ a q with q 1   up to a = 3   µm.
(4)
Absolute values of van der Waals friction at T < 1 ÷ 5 K are large enough to be measured with existing AFM techniques.

Funding

This research received no external funding.

Institutional Review Board Statement

Not applicable.

Informed Consent Statement

Not applicable.

Data Availability Statement

All necessary data are contained in this article.

Acknowledgments

The author is grateful to I.H. Brevik for the useful information and comments.

Conflicts of Interest

The author declares no conflict of interest.

Appendix A

As shown in [17], the following identities take place
Im q 1 / ε 1 Im q 2 / ε 2 = Im Δ 1 e Im Δ 2 e q 2 ε 1 2 ε 2 2 ε 1 q + q 1 2 ε 2 q + q 2 2 , k > ω / c 1 4 1 Δ 1 e 2 1 Δ 2 e 2 q 2 ε 1 2 ε 2 2 ε 1 q + q 1 2 ε 2 q + q 2 2 ,   k ω / c ,
Im q 1 Im q 2 = Im Δ 1 m Im Δ 2 m q 2 q + q 1 2 q + q 2 2 , k > ω / c 1 4 1 Δ 1 m 2 1 Δ 2 m 2 q 2 q + q 1 2 q + q 2 2 ,   k ω / c ,
Q ε 2 = ε 1 q + q 1 2 ε 2 q + q 2 2 1 Δ 1 e Δ 2 e e 2 q a ε 1 2 ε 2 2 e 2 q a ,
Q μ 2 = q + q 1 2 q + q 2 2 1 Δ 1 m Δ 2 m e 2 q a e 2 q a ,
where Δ i e = ε i q q i ε i q + q i and Δ i m = q q i q + q i   are the reflection coefficients for the P-polarized and S-polarized electromagnetic waves ( i = 1 , 2 ) , q = k 2 ω 2 / c 2 = q   for k > ω / c and q = i q for k ω / c . Inserting (A1)–(A4) into (1) we obtain
F x = ħ V 2 π 2 0 n ω d ω ω / c d k k 3 e 2 q a Im Δ 1 e Im Δ 2 e D e 2 + ħ V 8 π 3 0 n ω d ω 0 ω / c d k k 3 1 Δ 1 m 2 1 Δ 2 m 2 D e 2 + e m
where D e = 1 Δ 1 e Δ 2 e e 2 q a .   Formula (A5) has become more familiar since works [10,11]. In the case μ 1 = μ 2 = 1 ,   ε 1 = ε 2 = ε , using (A1)–(A4), we retrieve (A5).

References

  1. Casimir, H.B.G. On the attraction between two perfectly conducting plates. Proc. Kon. Ned. Akad. Wet. B 1948, 51, 793–795. [Google Scholar]
  2. Lifshitz, E.M. The theory of molecular attractive forces between solids. Sov. Phys. JETP 1956, 2, 73–83. [Google Scholar]
  3. Barash, Y.S. Van Der Waals Forces; Nauka: Moscow, Russia, 1988. (In Russian) [Google Scholar]
  4. Teodorovich, E.V. On the contribution of macroscopic van der Waals interactions to frictional force. Proc. R. Soc. 1978, A 362, 71–77. [Google Scholar]
  5. Levitov, L.S. Van der Waals friction. Eur. Phys. Lett. 1989, 8, 499–504. [Google Scholar] [CrossRef]
  6. Polevoi, V.G. Tangential molecular forces between moving bodies by a fluctuating electromagnetic field. Sov. Phys. JETP 1990, 71, 1119–1124. [Google Scholar]
  7. Mkrtchian, V.E. Interaction between moving macroscopic bodies: Viscosity of electromagnetic vacuum. Phys. Lett. A 1995, 209, 299–302. [Google Scholar] [CrossRef]
  8. Pendry, J.B. Shearing the vacuum—Quantum friction. J. Phys. C Condens. Matter 1997, 9, 10301–10320. [Google Scholar] [CrossRef]
  9. Kardar, M.; Golestanian, R. The friction of vacuum and other fluctuation-induced forces. Rev. Mod. Phys. 1999, 71, 1233–1245. [Google Scholar] [CrossRef]
  10. Volokitin, A.I.; Persson, B.N.J. Theory of friction: The contribution from fluctuating electromagnetic field. J. Phys. Condens. Matter 1999, 9, 345–359. [Google Scholar] [CrossRef]
  11. Volokitin, A.I.; Persson, B.N.J. Near-field radiation heat transfer and noncontact friction. Rev. Mod. Phys. 2007, 79, 1291–1329. [Google Scholar] [CrossRef]
  12. Philbin, T.G.; Leonhardt, U. No quantum friction between uniformly moving plates. New J. Phys. 2009, 11, 033035. [Google Scholar] [CrossRef]
  13. Pendry, J.B. Quantum friction–fact or fiction? New J. Phys. 2010, 12, 033028. [Google Scholar] [CrossRef]
  14. Barton, G. On van der Waals friction between half-spaces at low temperature. J. Phys. Condens. Matter 2011, 23, 335004. [Google Scholar] [CrossRef] [PubMed]
  15. Høye, J.S.; Brevik, I.; Milton, K.A. Casimir friction force between polarizable media. Eur. Phys. J. 2012, D 66, 149. [Google Scholar] [CrossRef]
  16. Høye, J.S.; Brevik, I. Casimir friction at zero and finite temperatures. Eur. Phys. J. 2014, D 68, 61. [Google Scholar] [CrossRef]
  17. Dedkov, G.V.; Kyasov, A.A. Friction and radiative heat exchange in a system of two parallel plate moving sideways: Levin-Polevoi-Rytov theory revisited. Chin. Phys. 2018, 56, 3002–3011. [Google Scholar] [CrossRef]
  18. Høye, J.S.; Brevik, I.; Milton, K.A. The reality of Casimir friction. Symmetry 2016, 8, 29–42. [Google Scholar]
  19. Dedkov, G.V.; Kyasov, A.A. Fluctuation-electromagnetic interaction under dynamic and thermal nonequilibrium conditions. Phys. Usp. 2017, 60, 559. [Google Scholar] [CrossRef]
  20. Pieplow, G.; Henkel, C. Fully covariant radiation force on a polarizable particle. New J. Phys. 2013, 15, 023027. [Google Scholar] [CrossRef]
  21. Lamoreaux, S.K. Demonstration of the Casimir force in the 0.6 to 6 µm range. Phys. Rev. Lett. 1997, 78, 5. [Google Scholar] [CrossRef]
  22. Mohideen, U.; Roy, A. Precision measurement of the Casimir force from 0.1 to 0.9 µm. Phys. Rev. Lett. 1998, 81, 4549. [Google Scholar] [CrossRef]
  23. Klimchitskaya, G.L.; Mostepanenko, V.M. Experiment and theory in the Casimir effect. Contemp. Phys. 2006, 47, 131–144. [Google Scholar] [CrossRef]
  24. Høye, J.S.; Brevik, I.; Milton, K.A. What is the temperature dependence of the Casimir effect? J. Phys. Math. Gen. 2006, 39, 6031–6038. [Google Scholar] [CrossRef]
  25. Milton, K.A.; Li, Y.; Kalauni, P.; Parashar, P.; Guerodt, P.; Ingold, G.-L.; Lambrecht, A.; Reynaud, S. Negative entropies in Casimir and Casimir-Polder interactions. Fortschr. Phys. 2017, 65, 1600047. [Google Scholar] [CrossRef]
  26. Bimonte, G.; Emig, T.; Kardar, M.; Kruger, M. Nonequilibrium fluctuational quantum electrodynamics: Heat radiation, heat transfer, and force. Ann. Rev. Condens. Matter Phys. 2017, 8, 119–143. [Google Scholar] [CrossRef]
  27. Mostepanenko, V.M. Casimir puzzle and Casimir conundrum: Discovery and search for resolution. Universe 2021, 7, 84. [Google Scholar] [CrossRef]
  28. Aspelmeyer, M.; Kippenberg, T.J.; Markuardt, F. Cavity optomechanics. Rev. Mod. Phys. 2014, 86, 1391–1455. [Google Scholar] [CrossRef]
  29. Dedkov, G.V.; Kyasov, A.A. Dynamically and thermally nonequilibrium fluctuation-electromagnetic interactions: Recent results and trends. Mod. Phys. Lett. A 2020, 35, 2040013. [Google Scholar] [CrossRef]
  30. Levin, M.L.; Polevoy, V.G.; Rytov, S.M. Contribution to the theory of heat exchange due to a fluctuating electromagnetic field. Sov. Phys. JETP 1980, 52, 1054–1063. [Google Scholar]
  31. Condon, E.U.; Odishaw, H. Handbook of Physics, 2nd ed.; McGraw-Hill: New York, NY, USA, 1967. [Google Scholar]
  32. Brevik, I.; Aarseth, J.B. Temperature dependence of the Casimir effect. J. Phys. A Math. Gen. 2006, 39, 6187–6193. [Google Scholar] [CrossRef]
  33. Høye, J.S.; Brevik, I.; Aarseth, J.B.; Milton, K.A. Does the transverse electric zero mode contribute to the Casimir effect for a metal? Phys. Rev. E 2003, 67, 056116. [Google Scholar] [CrossRef]
  34. Hoye, J.S.; Brevik, I.; Ellingsen, S.A.; Aaarseth, J.B. Analytical and numerical verification of the Nernst theorem for metals. Phys. Rev. E 2007, 75, 051127. [Google Scholar] [CrossRef] [PubMed]
  35. Brevik, I.; Høye, J.S.; Ellingsen, S.A.; Milton, K.A. Analytical and numerical demonstration of how the Drude dispersive model satisfies Nernst’s theorem for the Casimir entropy. J. Phys. A Math. 2008, 41, 164017. [Google Scholar] [CrossRef][Green Version]
  36. Bimonte, G.; Spreng, B.; Maia Neto, P.A.; Ingold, G.-I.; Klimchitskaya, G.L.; Mostepanenko, V.M.; Decca, R.S. Measurement of the Casimir Force between 0.2 and 8 µm: Experimental procedures and comparison with theory. Universe 2021, 7, 93. [Google Scholar] [CrossRef]
  37. Gradshteyn, I.S.; Rhyzik, I.M. Table of Integrals, Series, and Products; Academic Press: New York, NY, USA, 2000. [Google Scholar]
  38. Stipe, B.C.; Stowe, T.D.; Kenny, T.W.; Rugar, D. Noncontact friction and force fluctuations between closely spaced bodies. Phys. Rev. Lett. 2001, 87, 096801. [Google Scholar] [CrossRef] [PubMed]
  39. Gotsmann, B.; Fuchs, H. Dynamic force spectroscopy of conservative and dissipative forces in an Al-Au (111) tip-sample contact. Phys. Rev. Lett. 2001, 86, 2597–2601. [Google Scholar] [CrossRef] [PubMed]
  40. Farias, M.B.; Lombardo, F.C.; Alejandro Soba, A.; Villar, P.I.; Decca, R.S. Towards detecting traces of non-contact quantum friction in the corrections of the accumulated geometric phase. NPJ Quantum Inf. 2020, 6, 25. [Google Scholar] [CrossRef]
  41. Wang, M.L.; Tang, L.; Ng, C.Y.; Messina, R.; Guizal, B.; Crosse, J.A.; Antezza, M.; Chan, C.T.; Ho Bun, C. Strong geometry dependence of the Casimir force between interpenetrated rectangular gratings. Nat. Commun. 2020, 12, 600. [Google Scholar] [CrossRef]
  42. Dedkov, G.V.; Kyasov, A.A. Nonlocal friction forces in the particle-plate and plate-approximation: Nonretarded approximation. Surf. Sci. 2020, 700, 121681. [Google Scholar] [CrossRef]
  43. Sernelius Bo, E. Effects of spatial dispersion on electromagnetic surface modes and on modes associated with a gap between two half spaces. Phys. Rev. B 2005, 71, 235114. [Google Scholar] [CrossRef]
  44. Svetovoy, V.B.; Esquivel, R. Nonlocal impedances and the Casimir entropy at low temperatures. Phys. Rev. E 2005, 72, 036113. [Google Scholar] [CrossRef] [PubMed]
  45. Klimchitskaya, G.L.; Mostepanenko, V.M. An alternative response to the off-shell quantum fluctuations: A step forward in resolution of the Casimir puzzle. Eur. Phys. J. C 2020, 80, 900. [Google Scholar] [CrossRef]
Figure 1. System configuration.
Figure 1. System configuration.
Universe 07 00427 g001
Figure 2. Dependence p a   in   22   circles as a function of the gap width a ,   obtained when equalizing (16) and (22) for T = 1   K and ν 0 = 0 in (7). Solid line extrapolation (23).
Figure 2. Dependence p a   in   22   circles as a function of the gap width a ,   obtained when equalizing (16) and (22) for T = 1   K and ν 0 = 0 in (7). Solid line extrapolation (23).
Universe 07 00427 g002
Figure 3. Friction force between two Au plates as a function of gap width a for T = T 0 = 1   K ,   V = 1   m / s . The black line shows the result of numerical calculation. The red, green, and blue lines correspond to analytic fits 5 a 1 ,   1.37 a 0.75 , and 0.41 a 0.25 .
Figure 3. Friction force between two Au plates as a function of gap width a for T = T 0 = 1   K ,   V = 1   m / s . The black line shows the result of numerical calculation. The red, green, and blue lines correspond to analytic fits 5 a 1 ,   1.37 a 0.75 , and 0.41 a 0.25 .
Universe 07 00427 g003
Figure 4. Friction force between Au plates as a function of temperature T and parameter T 0 for a gap width a = 10 nm and V = 1   m/s. The top (red) to bottom (light blue) curves correspond to T 0 = 0.1 ,   0.2 ,   0.5 ,   1 ,   3   K , respectively.
Figure 4. Friction force between Au plates as a function of temperature T and parameter T 0 for a gap width a = 10 nm and V = 1   m/s. The top (red) to bottom (light blue) curves correspond to T 0 = 0.1 ,   0.2 ,   0.5 ,   1 ,   3   K , respectively.
Universe 07 00427 g004
Figure 5. Friction force between Au plates as a function of temperature T and parameter T 0 for a gap width a = 100 nm and V = 1   m/s. The top (red) to bottom (light blue) curves correspond to T 0 = 0.1 ,   0.2 ,   0.5 ,   1 ,   3   K , respectively.
Figure 5. Friction force between Au plates as a function of temperature T and parameter T 0 for a gap width a = 100 nm and V = 1   m/s. The top (red) to bottom (light blue) curves correspond to T 0 = 0.1 ,   0.2 ,   0.5 ,   1 ,   3   K , respectively.
Universe 07 00427 g005
Table 1. Integrals I m n , I e n ,   I m r , I e r .
Table 1. Integrals I m n , I e n ,   I m r , I e r .
a = 10   nm
T K I m n   I e n   I m r   I e r
18.08 × 1044.91 × 10−348.43 × 10−298.94 × 10−29
5129.37.49 × 10−234.12 × 10−214.36 × 10−21
108.0874.84 × 10−188.02 × 10−188.89 × 10−18
500.07851.46 × 10−92.91 × 10−123.77 × 10−12
a =   50 nm
T K I m n   I e n   I m r   I e r
13.031 × 1049.77 × 10−352.91 × 10−297.14 × 10−29
548.51.49 × 10−231.42 × 10−213.49 × 10−21
103.0319.77 × 10−192.78 × 10−187.1 × 10−18
500.02966.54 × 10−111.14 × 10−123.07 × 10−12
Table 2. Van der Waals friction force between two Au plates (N/m2), V = 1   m/s. The upper-rows of data correspond to Equation (15) with (16), while the lower-rows data correspond to Equation (24) with (23).
Table 2. Van der Waals friction force between two Au plates (N/m2), V = 1   m/s. The upper-rows of data correspond to Equation (15) with (16), while the lower-rows data correspond to Equation (24) with (23).
a, nmT = 0.5 KT = 1 KT = 5 KT = 10 KT = 50 K
113.1
13.0
0.818
0.814
1.309 × 10−3
1.302 × 10−3
8.18 × 10−5
8.14 × 10−5
7.90 × 10−7
7.95 × 10−7
59.55
9.72
0.597
0.608
9.55 × 10−4
9.72 × 10−4
5.97 × 10−5
6.08 × 10−5
5.78 × 10−7
5.94 × 10−7
107.48
7.57
0.468
0.473
7.48 × 10−4
7.57 × 10−4
4.68 × 10−5
4.73 × 10−5
4.54 × 10−7
4.62 × 10−7
205.29
5.24
0.330
0.328
5.29 × 10−4
5.24 × 10−4
3.31 × 10−5
3.28 × 10−5
3.22 × 10−7
3.20 × 10−7
304.09
3.98
0.256
0.248
4.09 × 10−4
3.98 × 10−4
2.56 × 10−5
2.49 × 10−5
2.49 × 10−7
2.43 × 10−7
403.33
3.18
0.208
0.198
3.33 × 10−4
3.18 × 10−4
2.08 × 10−5
1.99 × 10−5
2.03 × 10−7
1.94 × 10−7
502.81
2.63
0.175
0.164
2.81 × 10−4
2.63 × 10−4
1.75 × 10−5
1.64 × 10−5
1.71 × 10−7
1.61 × 10−7
1001.55
1.39
0.0969
0.0868
1.55 × 10−4
1.39 × 10−4
9.69 × 10−6
8.68 × 10−6
9.48 × 10−8
8.48 × 10−8
1501.063
0.965
0.0665
0.0603
1.063 × 10−4
9.65 × 10−5
6.65 × 10−6
6.03 × 10−6
6.53 × 10−8
5.90 × 10−8
2000.404
0.773
0.0504
0.0483
8.07 × 10−5
7.73 × 10−5
5.05 × 10−6
4.83 × 10−6
4.91 × 10−8
4.72 × 10−8
Table 3. Function p a .
Table 3. Function p a .
a, nm12357101520
p(a)0.3520.3850.3600.3340.3180.2970.2720.254
a3040506080100150200
p(a)0.2250.2040.1880.1750.1540.1390.1130.0955
Publisher’s Note: MDPI stays neutral with regard to jurisdictional claims in published maps and institutional affiliations.

Share and Cite

MDPI and ACS Style

Dedkov, G. Puzzling Low-Temperature Behavior of the Van Der Waals Friction Force between Metallic Plates in Relative Motion. Universe 2021, 7, 427. https://doi.org/10.3390/universe7110427

AMA Style

Dedkov G. Puzzling Low-Temperature Behavior of the Van Der Waals Friction Force between Metallic Plates in Relative Motion. Universe. 2021; 7(11):427. https://doi.org/10.3390/universe7110427

Chicago/Turabian Style

Dedkov, George. 2021. "Puzzling Low-Temperature Behavior of the Van Der Waals Friction Force between Metallic Plates in Relative Motion" Universe 7, no. 11: 427. https://doi.org/10.3390/universe7110427

APA Style

Dedkov, G. (2021). Puzzling Low-Temperature Behavior of the Van Der Waals Friction Force between Metallic Plates in Relative Motion. Universe, 7(11), 427. https://doi.org/10.3390/universe7110427

Note that from the first issue of 2016, this journal uses article numbers instead of page numbers. See further details here.

Article Metrics

Back to TopTop