Many Aspects of Magnetic Fields in Neutron Stars
Abstract
1. Introduction
2. Microscopic Aspects
3. Macroscopic Aspects
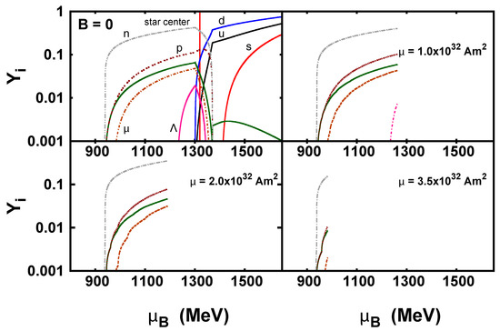
3.1. Formal Aspects of the Magnetic Field on the Structure of Neutron Stars
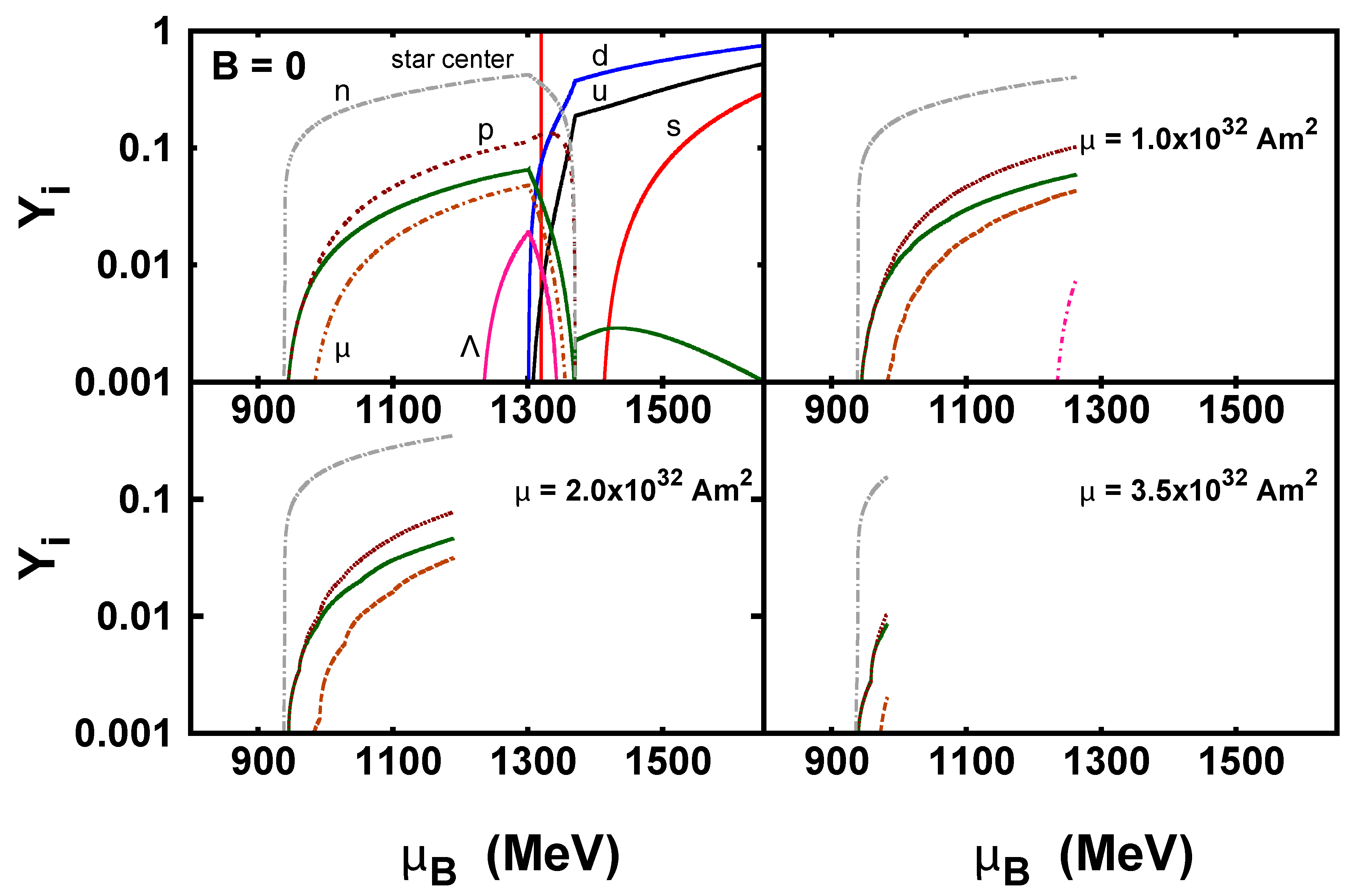
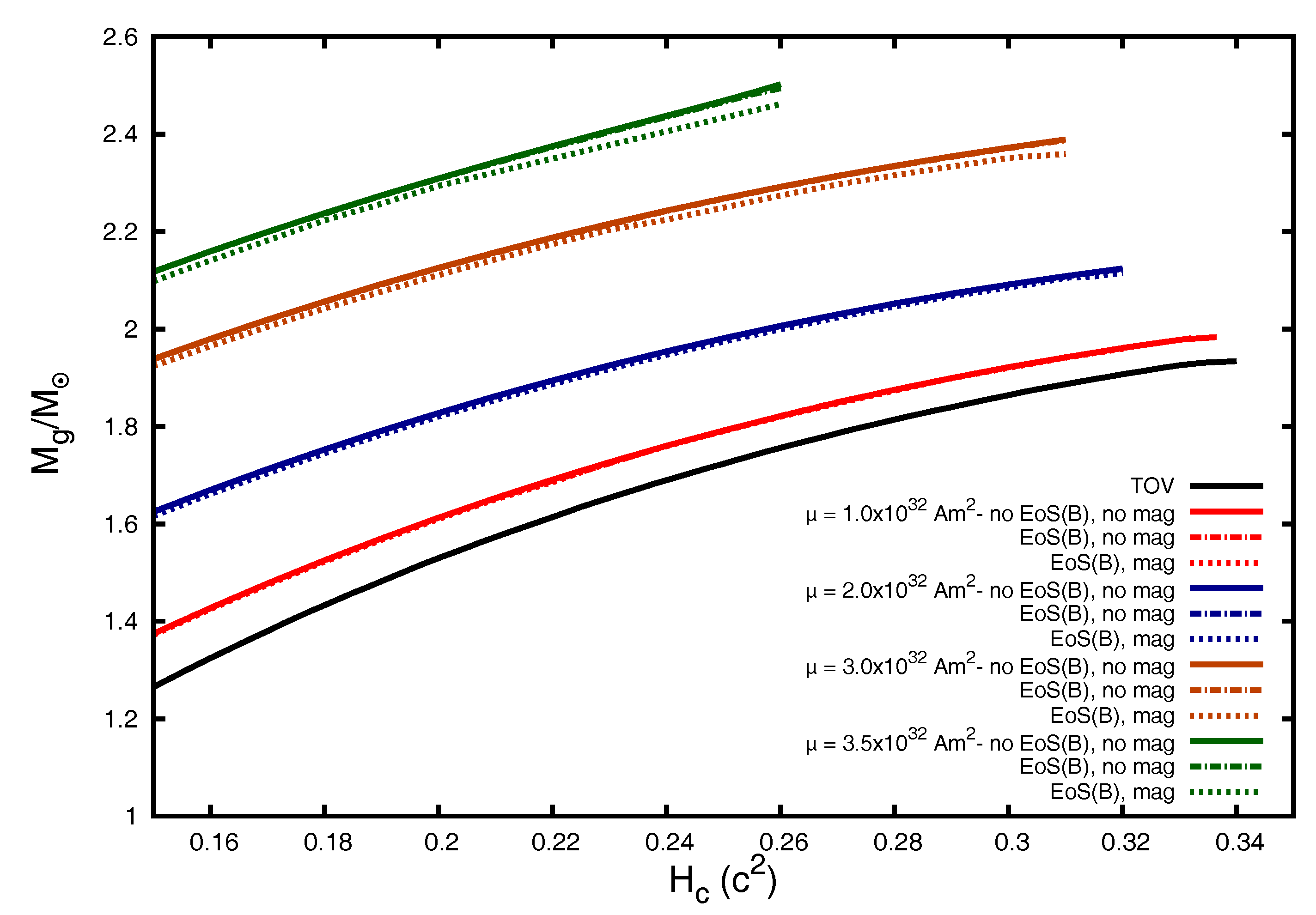
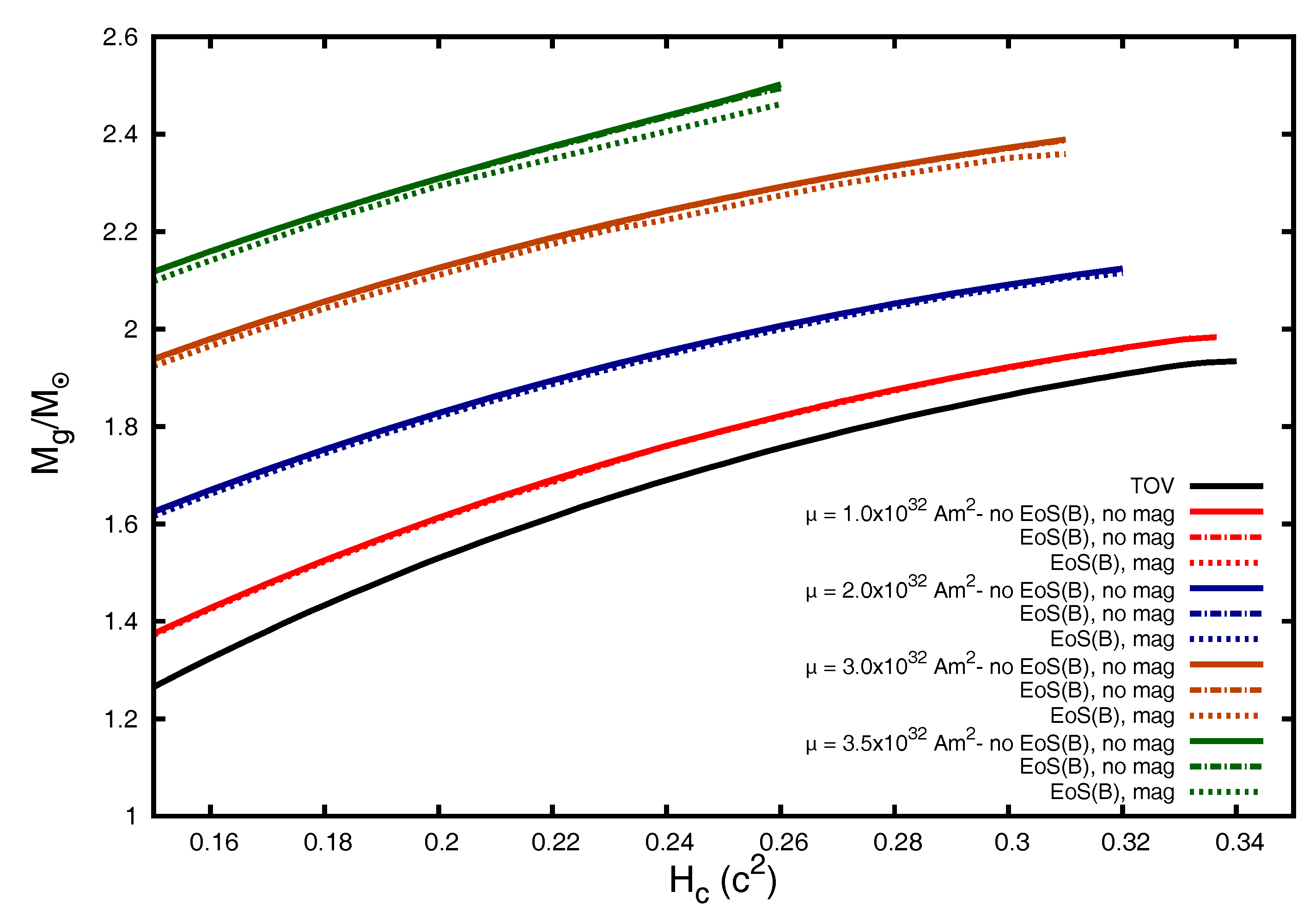
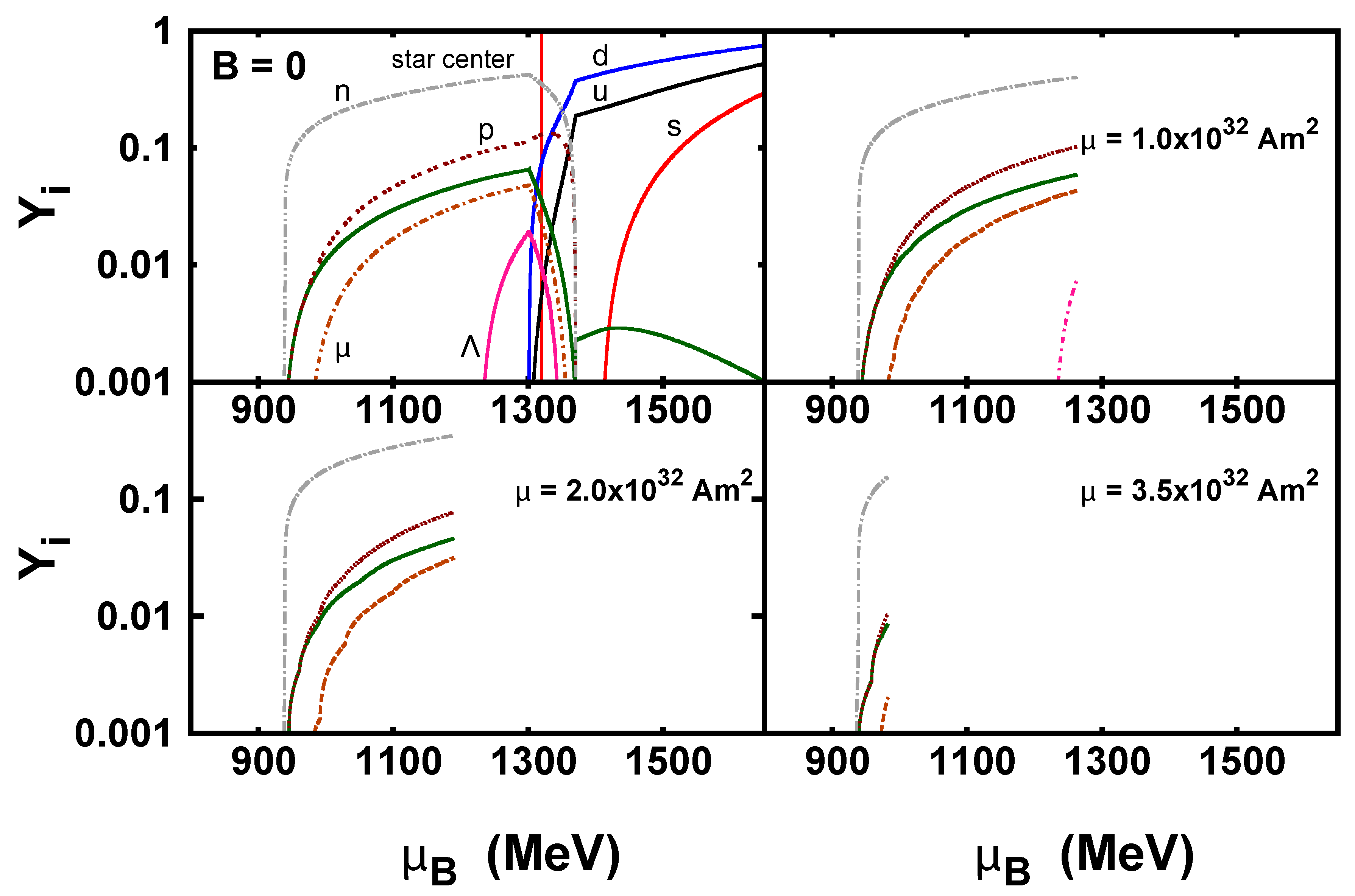
3.2. Global Structural Properties
4. Evolution Aspects
4.1. Magnetic-Thermal Evolution
4.2. Complex Magnetic Field Evolution
5. Conclusions
Acknowledgments
Author Contributions
Conflicts of Interest
References
- Duncan, R.C.; Thompson, C. Formation of very strongly magnetized neutron stars—Implications for gamma-ray bursts. Astrophys. J. 1992, 392, L9–L13. [Google Scholar] [CrossRef]
- Thompson, C.; Duncan, R.C. Neutron star dynamos and the origins of pulsar magnetism. Astrophys. J. 1993, 408, 194–217. [Google Scholar] [CrossRef]
- Olausen, S.A.; Kaspi, V.M. The McGill Magnetar Catalog. Astrophys. J. Suppl. 2014, 212, 6. [Google Scholar] [CrossRef]
- Thompson, C.; Duncan, R.C. The soft gamma repeaters as very strongly magnetized neutron stars—I. Radiative mechanism for outbursts. Mon. Not. R. Astron. Soc. 1995, 275, 255–300. [Google Scholar] [CrossRef]
- Thompson, C.; Duncan, R.C. The Soft Gamma Repeaters as Very Strongly Magnetized Neutron Stars. II. Quiescent Neutrino, X-ray, and Alfven Wave Emission. Astrophys. J. 1996, 473, 322. [Google Scholar] [CrossRef]
- Kaspi, V.M.; Kramer, M. Radio Pulsars: The Neutron Star Population Fundamental Physics. ArXiv, 2016; arXiv:astro-ph.HE/1602.07738. [Google Scholar]
- Melatos, A. Bumpy spindown of anomalous X-ray pulsars: The link with magnetars. Astrophys. J. 1999, 519, L77. [Google Scholar] [CrossRef]
- Makishima, K.; Enoto, T.; Hiraga, J.S.; Nakano, T.; Nakazawa, K.; Sakurai, S.; Sasano, M.; Murakami, H. Possible Evidence for Free Precession of a Strongly Magnetized Neutron Star in the Magnetar 4U 0142+61. Phys. Rev. Lett. 2014, 112, 171102. [Google Scholar] [CrossRef] [PubMed]
- Landau, L.D.; Lifshitz, E.M. Quantum Mechanics: Non-Relativistic Theory; Elsevier: Amsterdam, The Netherlands, 1977. [Google Scholar]
- Lai, D.; Shapiro, S.L. Cold equation of state in a strong magnetic field—Effects of inverse beta-decay. Astrophys. J. 1991, 383, 745–751. [Google Scholar] [CrossRef]
- Chakrabarty, S. Quark matter in strong magnetic field. Phys. Rev. D 1996, 54, 1306–1316. [Google Scholar] [CrossRef]
- Chakrabarty, S.; Bandyopadhyay, D.; Pal, S. Dense nuclear matter in a strong magnetic field. Phys. Rev. Lett. 1997, 78, 2898–2901. [Google Scholar] [CrossRef]
- Yuan, Y.F.; Zhang, J.L. The Effects of Interior Magnetic Fields on the Properties of Neutron Stars in the Relativistic Mean-Field Theory. Astrophys. J. 1999, 525, 950–958. [Google Scholar] [CrossRef][Green Version]
- Broderick, A.; Prakash, M.; Lattimer, J.M. The Equation of state of neutron star matter in strong magnetic fields. Astrophys. J. 2000, 537, 351. [Google Scholar] [CrossRef]
- Dexheimer, V.; Negreiros, R.; Schramm, S. Hybrid stars in a strong magnetic field. Eur. Phys. J. A 2012, 48, 189. [Google Scholar] [CrossRef]
- Canuto, V.; Chiu, H.Y. Quantum theory of an electron gas in intense magnetic fields. Phys. Rev. 1968, 173, 1210–1219. [Google Scholar] [CrossRef]
- Canuto, V.; Chiu, H.Y. Thermodynamic properties of a magnetized fermi gas. Phys. Rev. 1968, 173, 1220–1228. [Google Scholar] [CrossRef]
- Strickland, M.; Dexheimer, V.; Menezes, D.P. Bulk Properties of a Fermi Gas in a Magnetic Field. Phys. Rev. D 2012, 86, 125032. [Google Scholar] [CrossRef]
- Dexheimer, V.; Menezes, D.P.; Strickland, M. The influence of strong magnetic fields on proto-quark stars. J. Phys. G Nucl. Part. Phys. 2014, 41, 015203. [Google Scholar] [CrossRef]
- Andersen, J.O.; Naylor, W.R.; Tranberg, A. Phase diagram of QCD in a magnetic field. Rev. Mod. Phys. 2016, 88, 025001. [Google Scholar] [CrossRef]
- Broderick, A.E.; Prakash, M.; Lattimer, J.M. Effects of strong magnetic fields in strange baryonic matter. Phys. Lett. B 2002, 531, 167–174. [Google Scholar] [CrossRef]
- Bordbar, G.H.; Rezaei, Z. Magnetized hot neutron matter: Lowest order constrained variational calculations. Phys. Lett. B 2013, 718, 1125–1131. [Google Scholar] [CrossRef]
- Dexheimer, V.; Negreiros, R.; Schramm, S.; Hempel, M. Deconfinement to Quark Matter in Neutron Stars—The Influence of Strong Magnetic Fields. AIP Conf. Proc. 2013, 1520, 264–269. [Google Scholar]
- Weinberg, S. Why do quarks behave like bare Dirac particles? Phys. Rev. Lett. 1990, 65, 1181–1183. [Google Scholar] [CrossRef] [PubMed]
- Ferrer, E.J.; de la Incera, V.; Manreza Paret, D.; Pérez Martínez, A.; Sanchez, A. Insignificance of the anomalous magnetic moment of charged fermions for the equation of state of a magnetized and dense medium. Phys. Rev. D 2015, 91, 085041. [Google Scholar] [CrossRef]
- Chatterjee, D.; Elghozi, T.; Novak, J.; Oertel, M. Consistent neutron star models with magnetic field dependent equations of state. Mon. Not. Roy. Astron. Soc. 2015, 447, 3785–3796. [Google Scholar] [CrossRef]
- Franzon, B.; Dexheimer, V.; Schramm, S. A self-consistent study of magnetic field effects on hybrid stars. Mon. Not. Roy. Astron. Soc. 2016, 456, 2937–2945. [Google Scholar] [CrossRef]
- Dexheimer, V.; Negreiros, R.; Schramm, S. Hybrid Stars in a Strong Magnetic Field. Eur. Phys. J. A 2012, 48, 189. [Google Scholar] [CrossRef]
- Alloy, M.D.; Menezes, D.P. Maxwell equation violation by density dependent magnetic fields in neutron stars. Int. J. Mod. Phys. Conf. Ser. 2017, 45, 1760031. [Google Scholar] [CrossRef]
- Dexheimer, V.; Franzon, B.; Gomes, R.O.; Farias, R.L.S.; Avancini, S.S.; Schramm, S. What is the magnetic field distribution for the equation of state of magnetized neutron stars? Phys. Lett. B 2017, 773, 487–491. [Google Scholar] [CrossRef]
- Oppenheimer, J.R.; Snyder, H. On Continued Gravitational Contraction. Phys. Rev. 1939, 56, 455–459. [Google Scholar] [CrossRef]
- Hurley, K.; Dingus, B.L.; Mukherjee, R.; Sreekumar, P.; Kouveliotou, C.; Meegan, C.; Fishman, G.J.; Band, D.; Ford, L.; Bertsch, D.; et al. Detection of a γ-ray burst of very long duration and very high energy. Nature 1994, 372, 652–654. [Google Scholar] [CrossRef]
- Galama, T.J.; Vreeswijk, P.M.; van Paradijs, J.; Kouveliotou, C.; Augusteijn, T.; Böhnhardt, H.; Brewer, J.P.; Doublier, V.; Gonzalez, J.F.; Leibundgut, B.; et al. An unusual supernova in the error box of the γ-ray burst of 25 April 1998. Nature 1998, 395, 670–672. [Google Scholar] [CrossRef]
- Popov, S.B.; Prokhorov, M.E. Progenitors with enhanced rotation and the origin of magnetars. Mon. Not. R. Astron. Soc. 2006, 367, 732–736. [Google Scholar] [CrossRef][Green Version]
- Herrera, L.; di Prisco, A.; Martin, J.; Ospino, J.; Santos, N.O.; Troconis, O. Spherically symmetric dissipative anisotropic fluids: A general study. Phys. Rev. D 2004, 69, 084026. [Google Scholar] [CrossRef]
- Herrera, L.; di Prisco, A.; Fuenmayor, E.; Troconis, O. Dynamics of Viscous Dissipative Gravitational Collapse: A Full Causal Approach. Int. J. Mod. Phys. D 2009, 18, 129–145. [Google Scholar] [CrossRef]
- Bonazzola, S.; Gourgoulhon, E.; Salgado, M.; Marck, J.A. Axisymmetric rotating relativistic bodies: A new numerical approach for ‘exact’ solutions. Astron. Astrophys. 1993, 278, 421–443. [Google Scholar]
- Misner, C.; Thorne, K.S.; Wheeler, J.A. Gravitation; Princeton University Press: Princeton, NJ, USA, 1973. [Google Scholar]
- Herrera, L.; Di Prisco, A.; Ibáñez, J.; Ospino, J. Axially symmetric static sources: A general framework and some analytical solutions. Phys. Rev. D 2013, 87, 024014. [Google Scholar] [CrossRef]
- Tolman, R.C. Effect of Inhomogeneity on Cosmological Models. Proc. Natl. Acad. Sci. USA 1934, 20, 169–176. [Google Scholar] [CrossRef] [PubMed]
- Oppenheimer, J.R.; Volkoff, G.M. On Massive Neutron Cores. Phys. Rev. 1939, 55, 374–381. [Google Scholar] [CrossRef]
- Tolman, R.C. Static Solutions of Einstein’s Field Equations for Spheres of Fluid. Phys. Rev. 1939, 55, 364–373. [Google Scholar] [CrossRef]
- Bondi, H. The contraction of gravitating spheres. Proc. R. Soc. A 1964, 281, 39–48. [Google Scholar] [CrossRef]
- Bocquet, M.; Bonazzola, S.; Gourgoulhon, E.; Novak, J. Rotating neutron star models with magnetic field. Astron. Astrophys. 1995, 301, 757–775. [Google Scholar]
- Cardall, C.Y.; Prakash, M.; Lattimer, J.M. Effects of strong magnetic fields on neutron star structure. Astrophys. J. 2001, 554, 322–339. [Google Scholar] [CrossRef]
- Frieben, J.; Rezzolla, L. Equilibrium models of relativistic stars with a toroidal magnetic field. Mon. Not. Roy. Astron. Soc. 2012, 427, 3406–3426. [Google Scholar] [CrossRef]
- Pili, A.G.; Bucciantini, N.; Del Zanna, L. Axisymmetric equilibrium models for magnetized neutron stars in General Relativity under the Conformally Flat Condition. Mon. Not. Roy. Astron. Soc. 2014, 439, 3541–3563. [Google Scholar] [CrossRef]
- Gomes, R.O.; Franzon, B.; Dexheimer, V.; Schramm, S. Many-body forces in magnetic neutron stars. Astrophys. J. 2017, 850, 20. [Google Scholar] [CrossRef]
- Pili, A.G.; Bucciantini, N.; Del Zanna, L. General relativistic models for rotating magnetized neutron stars in conformally flat space-time. Mon. Not. Roy. Astron. Soc. 2017, 470, 2469–2493. [Google Scholar] [CrossRef]
- Kaplan, D.L.; Bassa, C.; Wang, Z.; Cumming, A.; Kaspi, V.M. Nearby, Thermally Emitting Neutron Stars. AIP Conf. Proc. 2008, 983, 331–339. [Google Scholar]
- Haberl, F. AXPs and X-ray dim neutron stars: Recent XMM-Newton and Chandra results. In Proceedings of the 34th COSPAR Scientific Assembly, Houston, TX, USA, 10–19 October 2002. [Google Scholar]
- Kaplan, D.L.; van Kerkwijk, M.H. A Coherent Timing Solution for the Nearby Isolated Neutron Star RX J0720.4-3125. Astrophys. J. Lett. 2005, 628, L45–L48. [Google Scholar] [CrossRef]
- Gill, R.; Heyl, J.S. Statistical ages and the cooling rate of X-ray dim isolated neutron stars. Mon. Not. R. Astron. Soc. 2013, 435, 3243–3250. [Google Scholar] [CrossRef][Green Version]
- Kaplan, D.L.; van Kerkwijk, M.H. Constraining the Spin-down of the Nearby Isolated Neutron Star RX J0806.4-4123, and Implications for the Population of Nearby Neutron Stars. Astrophys. J. 2009, 705, 798–808. [Google Scholar] [CrossRef]
- Kaplan, D.L.; van Kerkwijk, M.H. A Coherent Timing Solution for the Nearby Isolated Neutron Star RX J1308.6+2127/RBS 1223. Astrophys. J. Lett. 2005, 635, L65–L68. [Google Scholar] [CrossRef][Green Version]
- Walter, F.M.; Wolk, S.J.; Neuhäuser, R. Discovery of a nearby isolated neutron star. Nature 1996, 379, 233–235. [Google Scholar] [CrossRef]
- Van Kerkwijk, M.H.; Kaplan, D.L. Timing the Nearby Isolated Neutron Star RX J1856.5-3754. Astrophys. J. Lett. 2008, 673, L163–L166. [Google Scholar] [CrossRef][Green Version]
- Zane, S.; Cropper, M.; Turolla, R.; Zampieri, L.; Chieregato, M.; Drake, J.J.; Treves, A. XMM-Newton Detection of Pulsations and a Spectral Feature in the X-ray Emission of the Isolated Neutron Star 1RXS J214303.7+065419/RBS 1774. Astrophys. J. 2005, 627, 397–403. [Google Scholar] [CrossRef][Green Version]
- Kaplan, D.L.; van Kerkwijk, M.H. Constraining the Spin-Down of the Nearby Isolated Neutron Star RX J2143.0+0654. Astrophys. J. Lett. 2009, 692, L62–L66. [Google Scholar] [CrossRef]
- Van Kerkwijk, M.H.; Kaplan, D.L.; Durant, M.; Kulkarni, S.R.; Paerels, F. A Strong, Broad Absorption Feature in the X-ray Spectrum of the Nearby Neutron Star RX J1605.3+3249. Astrophys. J. 2004, 608, 432–443. [Google Scholar] [CrossRef]
- Pires, A.M.; Haberl, F.; Zavlin, V.E.; Motch, C.; Zane, S.; Hohle, M.M. XMM-Newton reveals a candidate period for the spin of the “Magnificent Seven” neutron star RX J1605.3+3249. Astron. Astrophys. 2014, 563, A50. [Google Scholar] [CrossRef]
- Negreiros, R.; Schramm, S.; Weber, F. Impact of Rotation-Driven Particle Repopulation on the Thermal Evolution of Pulsars. Phys. Lett. B 2011, 718, 1–5. [Google Scholar]
- Negreiros, R.; Schramm, S.; Weber, F. Thermal evolution of neutron stars in two dimensions. Phys. Rev. D 2012, 85, 104019. [Google Scholar] [CrossRef]
- De Carvalho, S.M.; Negreiros, R.; Orsaria, M.; Contrera, G.A.; Weber, F.; Spinella, W. Thermal evolution of hybrid stars within the framework of a nonlocal Nambu-Jona-Lasinio model. Phys. Rev. C 2015, 92, 035810. [Google Scholar] [CrossRef]
- Shternin, P.S.; Yakovlev, D.G.; Heinke, C.O.; Ho, W.C.G.; Patnaude, D.J. Cooling neutron star in the Cassiopeia A supernova remnant: evidence for superfluidity in the core. Mon. Not. R. Astron. Soc. Lett. 2011, 412, L108–L112. [Google Scholar] [CrossRef]
- Yakovlev, D.G.; Ho, W.C.G.; Shternin, P.S.; Heinke, C.O.; Potekhin, A.Y. Cooling rates of neutron stars and the young neutron star in the Cassiopeia A supernova remnant. Mon. Not. R. Astron. Soc. 2011, 411, 1977–1988. [Google Scholar] [CrossRef]
- Page, D.; Prakash, M.; Lattimer, J.M.; Steiner, A.W. Rapid Cooling of the Neutron Star in Cassiopeia A Triggered by Neutron Superfluidity in Dense Matter. Phys. Rev. Lett. 2011, 106, 081101. [Google Scholar] [CrossRef] [PubMed]
- Muslimov, A.; Page, D. Delayed switch-on of pulsars. Astrophys. J. Lett. 1995, 440, L77–L80. [Google Scholar] [CrossRef]
- Geppert, U.; Page, D.; Zannias, T. Submergence and re-diffusion of the neutron star magnetic field after the supernova. Astron. Astrophys. 1999, 345, 847–854. [Google Scholar]
- Viganò, D.; Pons, J.A. Central compact objects and the hidden magnetic field scenario. Mon. Not. R. Astron. Soc. 2012, 425, 2487–2492. [Google Scholar] [CrossRef]
- Bernal, C.G.; Page, D.; Lee, W.H. Hypercritical Accretion onto a Newborn Neutron Star and Magnetic Field Submergence. Astrophys. J. 2013, 770, 106. [Google Scholar] [CrossRef]
- Heiselberg, H.; Hjorth-Jensen, M. Phase Transitions in Rotating Neutron Stars. Phys. Rev. Lett. 1998, 80, 5485–5488. [Google Scholar] [CrossRef]
- Page, D.; Lattimer, J.M.; Prakash, M.; Steiner, A.W. Minimal Cooling of Neutron Stars: A New Paradigm. Astrophys. J. Suppl. Ser. 2004, 155, 623–650. [Google Scholar] [CrossRef]
- Kaplan, D.L.; van Kerkwijk, M.H.; Anderson, J. The Parallax and Proper Motion of RX J1856.53754 Revisited. Astrophys. J. 2002, 571, 447–457. [Google Scholar] [CrossRef][Green Version]
- Chevalier, R.A. Neutron star accretion in a supernova. Astrophys. J. 1989, 346, 847–859. [Google Scholar] [CrossRef]
- Bernal, C.G.; Lee, W.H.; Page, D. Hypercritical accretion onto a magnetized neutron star surface: A numerical approach. Revista Mexicana de Astronomía y Astrofísica 2010, 46, 309–322. [Google Scholar]
- Muslimov, A.; Page, D. Magnetic and Spin History of Very Young Pulsars. Astrophys. J. 1996, 458, 347. [Google Scholar] [CrossRef]
- Brown, G.E.; Weingartner, J.C. Accretion onto and radiation from the compact object formed in SN 1987A. Astrophys. J. 1994, 436, 843–847. [Google Scholar] [CrossRef]
- Pons, J.A.; Miralles, J.A.; Geppert, U. Magneto-thermal evolution of neutron stars. Astron. Astrophys. 2009, 496, 207–216. [Google Scholar] [CrossRef]
- Viganò, D.; Rea, N.; Pons, J.A.; Perna, R.; Aguilera, D.N.; Miralles, J.A. Unifying the observational diversity of isolated neutron stars via magneto-thermal evolution models. Mon. Not. R. Astron. Soc. 2013, 434, 123–141. [Google Scholar] [CrossRef]
- Gourgouliatos, K.N.; Wood, T.S.; Hollerbach, R. Magnetic field evolution in magnetar crusts through three-dimensional simulations. Proc. Natl. Acad. Sci. USA 2016, 113, 3944–3949. [Google Scholar] [CrossRef] [PubMed]
- Kaspi, V.M. Grand unification of neutron stars. Proc. Natl. Acad. Sci. USA 2010, 107, 7147–7152. [Google Scholar] [CrossRef] [PubMed]
- Harding, A.K. The neutron star zoo. Front. Phys. 2013, 8, 679–692. [Google Scholar] [CrossRef]










| XDIN Name | Period (s) P (s) | Period Derivative (s s) | Blackbody Temperature (K) | References | Spin-Down Age (Years) t (yr) |
|---|---|---|---|---|---|
| RX J0720.4-3125 | 8.39 | [52,53] | |||
| RX J0806.4-4123 | 11.37 | [53,54] | |||
| RX J1308.6+2127 | 10.31 | [53,55] | |||
| RX J1856.5-3754 | 7.055 | [56,57] | |||
| RX J2143.0+0654 | 9.437 | [58,59] | |||
| RX J0420.0-5022 | 3.45 | [58,59] | |||
| RX J1605.3+3249 | 3.39 | [60,61] |
© 2018 by the authors. Licensee MDPI, Basel, Switzerland. This article is an open access article distributed under the terms and conditions of the Creative Commons Attribution (CC BY) license (http://creativecommons.org/licenses/by/4.0/).
Share and Cite
Negreiros, R.; Bernal, C.; Dexheimer, V.; Troconis, O. Many Aspects of Magnetic Fields in Neutron Stars. Universe 2018, 4, 43. https://doi.org/10.3390/universe4030043
Negreiros R, Bernal C, Dexheimer V, Troconis O. Many Aspects of Magnetic Fields in Neutron Stars. Universe. 2018; 4(3):43. https://doi.org/10.3390/universe4030043
Chicago/Turabian StyleNegreiros, Rodrigo, Cristian Bernal, Veronica Dexheimer, and Orlenys Troconis. 2018. "Many Aspects of Magnetic Fields in Neutron Stars" Universe 4, no. 3: 43. https://doi.org/10.3390/universe4030043
APA StyleNegreiros, R., Bernal, C., Dexheimer, V., & Troconis, O. (2018). Many Aspects of Magnetic Fields in Neutron Stars. Universe, 4(3), 43. https://doi.org/10.3390/universe4030043

