Abstract
Pseudoscalars appear frequently in particle spectra. They can be light if they appear as pseudo-Goldstone bosons from some spontaneously broken global symmetries with the decay constant f. Since any global symmetry is broken at least by quantum gravitational effects, all pseudoscalars are massive. The mass scale of a pseudoscalar is determined by the spontaneous symmetry breaking scale f of the corresponding global symmetry and the explicit breaking terms in the effective potential. The explicit breaking terms can arise from anomaly terms with some non-Abelian gauge groups among which the best-known example is the potential of the QCD axion. Even if there is no breaking terms from gauge anomalies, there can be explicit breaking terms in the potential in which case the leading term suppressed by f determines the pseudoscalar mass scale. If the breaking term is extremely small and the decay constant is trans-Planckian, the corresponding pseudoscalar can be a candidate for a quintessential axion. In the other extreme that the breaking scales are large, still the pseudo-Goldstone boson mass scales are in general smaller than the decay constants. In such a case, still the potential of the pseudo-Goldstone boson at the grand unification scale is sufficiently flat near the top of the potential that it can be a good candidate for an inflationary model. We review these ideas in the bosonic collective motion framework.
1. Introduction
Energy of the Universe is dominated by invisibles: dark energy (DE) composing 68% and dark matter (DM) composing 27% [1]. Atoms constitute mere 5%. It has been known that bosonic collective motions (BCMs) can describe both DE and DM [2], which is the main topic in this article.
The astrophysical evidence in favor of the existence of DM has grown over the years [3]. If cold dark matter (CDM) has provided the dominant mass at the time when CDM fluctuation enters into the horizon after inflation, the fluctuation scale given by that horizon scale is typically the scale of galaxies. The time scale corresponding to this is about the time , i.e., at which is close to the time when “matter = radiation”. Before the time of “matter = radiation” the density perturbation has grown only logarithmically. After the time of “matter = radiation” the density perturbation has grown linearly, which became nonlinear around . Since the time of on, ‘galaxy formation’ has started. Thus, CDM attracted a great deal of attention since 1984 [4].
The first hint for DM inferred by Zwicky in 1933 was derived from the observation of velocity dispersion of the galaxies in the Coma Cluster [5]. Still, the so-called the rotation curve in the halo forms the most convincing argument for the existence of DM. If all the galaxy mass is inside the galactic bulge, which seems to be a good ansatz for shining stars, the rotation velocity of a star at r far from the bulge goes like
The feature of Equation (1) is also confirmed by the revolution speeds of gas clouds of spiral galaxies [6].
The first example for CDM was introduced in an effort to constrain the mass scale of another (heavy) lepton doublet which interacts weakly [7,8]. This showed that the multi-GeV weakly interacting particles could have closed the Universe, and opened the idea of weakly interacting massive particles (WIMPs). The symmetry for most WIMPs is “parity” or symmetry in which the SM particles carry parity or even particles and the CDM candidate particle is the lightest one among the parity or odd particles. This got tremendous interest in supersymmetric (SUSY) models where the R parity works for the needed symmetry [9]. The second example for CDM was found [10,11,12] for the “invisible” axion [13,14,15,16], which belongs to the BCM scenario.
For the observed dark energy (DE) [17,18], theoretical interpretation of can be related to the cosmological constant, originally introduced by Einstein [19]. However, there has been a theoretical prejudice that the cosmological constant (CC) must be zero, which is considered to be one of the most important problems in theoretical physics [20]. After the introduction of fundamental scalars in particle physics, the vacuum energy of scalar fields has been appreciated to contribute to the cosmological constant [21]. Therefore, the problem related to the cosmological constant must be considered together with the vacuum energy of scalar fields.
A CC dominated universe is called the LeMaître universe [22], where the scale factor expands exponentially. This idea of exponential expansion was used in early 1980s to solve the horizon and flatness problems and to dilute monopoles, which is now called “inflation” [23]. Inflation predicts that the total mass-energy density of the Universe is very close to the critical closure density. The Planck data [1] confirm that the energy density of the Universe is nearly (spatially flat) and that the present DE is about 68% of the critical energy density of the Universe.
Under this circumstance, I present the BCM idea which can be applicable to all the problems mentioned above, CDM by the “invisible” QCD axion [13,14,15,16], DE by a quintessential axion [24,25], and inflation by “natural” inflation [26,27].
BCM is described by a scalar field. The Brout–Englert–Higgs–Guralnik–Hagen–Kibble boson, simply called the Higgs boson here, seems to be a fundamental scalar field. So, we can imagine that the QCD axion and an inflation may be fundamental fields also. Compared to spin- fermions of the canonical dimension , these bosons with the canonical dimension 1 can affect more importantly to low energy physics. This has led to the Higgs boson acting as a portal to the high energy scale [28,29,30], to the axion scale or even to some standard model (SM) singlets in the grand unification (GUT) scale. Can these singlets explain both DE, CDM, and even inflation in the evolving Universe? In this short article, we attempt to answer to this question in the affirmative direction.
2. On Global Symmetries
For a BCM, we introduce a corresponding global symmetry. The global symmetry is that in the Lagrangian. However, global symmetries are known to be broken in general by the quantum gravity effects, especially via the Planck scale wormholes [31,32]. To resolve this dilemma, we can think of two possibilities of discrete symmetries below in the top-down approach: (i) The discrete symmetry arises as a part of a gauge symmetry [33,34,35,36], and (ii) The string selection rules directly give the discrete symmetry [37]. As far as discrete symmetries are concerned, a bottom-up approach can be useful also [38]. The interesting cases are the discrete gauge symmetries allowed in string compactification. Even though the Goldstone boson directions, i.e., the longitudinal directions, of spontaneously broken GAUGE symmetries are flat, the Goldstone boson directions of spontaneously broken GLOBAL symmetries are not flat. Namely, global symmetries are always approximate. The question is how approximate it is.
In Figure 1, we present a cartoon separating effective terms according to string-allowed discrete symmetries. The terms in the vertical column represent exact symmetries such as the string allowed discrete symmetries. If we consider a few terms in the lavender part, we can consider a global symmetry. With the global symmetry, we can consider the global symmetric terms which are in the lavender and green parts of Figure 1. However, the global symmetry is broken by the terms in the red part in Figure 1.
Figure 1.
Terms respecting discrete and global symmetries.
2.1. The ’t Hooft Mechanism
The ’t Hooft mechanism is a very simple and elementary concept, but it seems that it is not known widely. In the original paper of ’t Hooft [39], it was commented on breaking two continuous symmetries by one Higgs vacuum expectation value (VEV). Two continuous directional parameters correspond to one gauge transformation parameter and the other global transformation parameter. If the Higgs VEV breaks the continuous symmetries, it is obvious that the gauge symmetry is broken because the corresponding gauge boson obtains mass. Namely, only one phase (or pseudoscalar) direction is absorbed to the gauge boson, and there remains one continuous direction.
For example, let us introduce a field to study this phenomenon. Charges and acting on with the gauge transformation parameter and the global transformation parameter , give the following transformation
which can be rewritten as
Redefining the local direction as , we obtain the transformation
So, the direction becomes the longitudinal mode of heavy gauge boson. Now, the charge is reinterpreted as the new global charge and is not broken by the VEV, , because out of two continuous directions one should remain unbroken. Basically, the direction remains as the unbroken continuous direction. This is the essence of the ’t Hooft mechanism: “If both a gauge symmetry and a global symmetry are broken by one scalar VEV, the gauge symmetry is broken and a global symmetry survives”. The resulting global charge is a linear combination of the original gauge and global charges as shown above. This theorem has a profound effect in obtaining the intermediate scale of the “invisible” axion from string compactification [40].
2.2. Breaking Scales
The red part potential in Figure 1 breaks the global symmetry represented by the green part. In some cases, the global symmetry is broken by the anomalies of non-Abelian gauge groups. The well-known example is the Peccei-Quinn (PQ) global symmetry, broken by the quantum chromodynamics (QCD) anomaly, the –– anomaly [41]. The PQ proposal assumes more in that any term is not present in the red part of Figure 1. Suppose a global symmetry . If is spontaneously broken by a VEV, i.e., by a SM singlet VEV , the pseudo-Goldstone boson mass corresponding to the spontaneously broken is
If the non-Abelian anomalies are the sole contribution in breaking the global symmetry, the where is the scale of the non-Abelian gauge group. Depending on the scale of , the pseudo-Goldstone is called
For the QCD axion, the strong coupling parameter MeV for three light quarks1 is shown above [42], which is the recent world average used in high energy scattering with the leading log expansion in powers of . It is basically the same as the one given for the susceptibility MeV [43,44], which takes into account the strong interaction coupling constant in addition to . For the case of ULA in Equation (6), the can work for the non-Abelian gauge group with a few orders of magnitude discrepancy allowed.
Even if there is no non-Abelian anomalies, still the global symmetry is broken by the terms in the red part of Figure 1. Then, the where in V is the leading term in the red part. Assuming that there is no non-Abelian anomalies, the pseudo-Goldstone boson mass is estimated as
The most interesting BCM is the QCD axion of (6) which will be discussed in detail in the following section as a solution of the strong CP problem and as a candidate for CDM in the Universe. A BCM for inflation can arise with non-Abelian anomalies of (6) [27] or without non-Abelian anomalies of (7) [45]. For the ALPs, there have been numerous efforts to constrain the masses and the decay costants, as summarized in Figure 1 of Ref. [46]. A quintessential axion for the DE scale should not have the QCD anomaly and the height of the potential must be very small, i.e., with the mass of order eV and a trans-Planckian decay constant [47]. Also, the ultra-light axion (ULA) should have a very small height of the potential and most probably it is in the form of (7), with its bounds given in [48,49,50]. However, the ULA is also included in (6) because anomaly can provide such a small height within a few orders. Axion-like particles (ALPs) behave like axions in the detection experiments, i.e., having the pseudoscalar–photon–photon couplings but their masses and decay constants are not related as in the QCD axion. Most probably, they arise in the form of (7). In the last row, other possibilities such as familons, archions, etc., are shown, which arise from breaking some global symmetries [51,52,53,54].
All pseudoscalar bosons listed in (6) and (7) use the idea of collective/coherent motion of the classical part of the pseudoscalar field. The classical potential can be visualized as a very shallow potential V as shown in Figure 2. The classical vacuum shown as the red bullet starts to roll down the hill “late” in the history of the Universe. The amplitude decreases (as illustrated with the red curve) due to the Hubble expansion. At present, the amplitude remains with a non-zero value, which is the basis for attempting to detect QCD axions [2]. The names listed in (6) and (7) are made to represent the origin or the usefulness of the corresponding pseudoscalar boson.
Figure 2.
The almost flat axion potential.
3. The “Invisible” Axion
The strong CP problem is necessarily intertwined with the observed weak CP violation as noted in the parameter,
where is the coefficient of the QCD anomaly term given above the electroweak scale and is the contribution generated when one introduces the weak CP violation at the electroweak scale. Since this gives a neutron EDM (nEDM) of order cm, the experimental upper bound on nEDM [55] restricts . “Why is so small?” is the strong CP problem.
Therefore, let us start by considering the weak CP violation by the Kobayashi–Maskawa model [56] and by the Weinberg model [57]. One may introduce the following possibilities for the weak CP violation,
The first three are those of Ref. [56], among which the second was presented in Ref. [58] also.
In 1976 the third quark family was not known in which case the weak CP violation was introduced in the Higgs potential with multi Higgs doublets [57],
where the reflection symmetry is imposed. This is the discrete symmetry we mentioned by the vertical column in Figure 1. The mass parameters are at the electroweak scale such that the electroweak symmetry is broken at the electroweak scale. With the potential (9), three Higgs doublets are needed to introduce CP violation [57]. Not to introduce flavor changing neutral currents, Ref. [57] required that only one Higgs doublet, , couples to quarks, and another Higgs doublet, , couples to quarks [59]. The reflection symmetries, including non-trivial transformations of the quark fields, will achieve this goal. For all scalars and pseudoscalars of to obtain mass, all parameters in (9) are required to be nonzero.
Peccei and Quinn (PQ) observed that if all in Equation (9) are zero, which is equivalent to considering only the terms in the lavender part in Figure 1, then the discrete symmetry is promoted to a global symmetry, according to our general scheme, which we now call the PQ symmetry [41],
where ’s are the left-handed quark doublets, ’s are the right-handed up-type quark singlets, and ’s are the right-handed down-type quark singlets. Quarks obtain masses by
which also respects the PQ symmetry. This PQ transformation is a chiral transformation, Equations (11) and (12), creating the QCD anomaly coefficient. Therefore, this simple phase transformation is thought to be equivalent to the gluon anomaly and in any physical processes, therefore, there will not appear the phase and there is no strong CP problem, which was the argument used in Ref. [41].
The above PQ symmetry (if exact) must lead to an exactly massless Goldstone boson because quarks must obtain masses by the VEVs of and , i.e., the PQ symmetry must be spontaneously broken. Note that the term (15) is a part in defining the PQ symmetry. However, the PQ symmetry is explicitly broken at quantum level because the QCD anomaly is present. Thus, the Goldstone boson becomes a pseudo-Goldstone boson, obtaining mass of order by our general argument of Figure 1 [60,61]. This pseudo-Goldstone boson was named axion. From of Equation (9), we can separate out this axion direction. If were present, which signifies the breaking of the PQ symmetry, there will appear the phase . Thus, the axion direction is
where and . This electroweak scale axion is called the Peccei–Quinn–Weinberg–Wilczek (PQWW) axion, having mass keV and lifetime second order [62] and cannot be the one considered in the cavity experiments.
In 1978 this PQWW axion was known not to exist [63], which had led to ideas on models without the PQWW axion in 1978 [64,65,66,67,68]. Nowadays, these are used in the Nelson–Barr type models [69,70], which are called “calculable models” [62]. The calculable models start with the CP symmetry in the Lagrangian such that in Equation (8). However, one has to introduce the weak CP violation, i.e., the CP violation is through the spontaneous mechanism [71]. These calculable models seem not working in two aspects, firstly it is very difficult to build models in which the loop corrections allow below O() and second the observed weak CP violation is of the Kobayashi–Maskawa form [72].
However, the PQ-type solution of the strong CP problem was so attractive that the “invisible” axion with lifetime greater than the age of the Universe was reinvented with an singlet scalar field [13]. Currently, this is the most studied global symmetry. For this , the explicit breaking term is the QCD anomaly term
where is the gluon field strength (its dual), and . The symmetry in (11), for example, changes and the anomaly term has the shift symmetry if the anomaly term does not contribute to the effective potential. However, the anomaly contributes to the effective potential and the question is, “What is the value at the minimum of the potential ?” If the potential V does not break the CP symmetry, it is easy to show that the potential generated by the anomaly term chooses as the minimum of the potential [73], which is a good cosmological solution of the strong CP problem. Even if the weak CP violation is introduced, the shift of the minimum is very tiny [74], , which does not spoil the nature of the strong CP solution along this line. The axion decay constant is bounded from the energy density of cold axions within a narrow window [75,76,77],2
At the minimum, the axion mass is usually calculated approximately from the cosine potential. For the two quark case, however, the axion potential mixed with is given in a closed form in the chiral perturbation theory as [43]
where
From Equation (19), we obtain
which is about 5% below the value obtained by using the cosine potential. So, using the suceptibility 75.5 MeV of [43] is almost the same as using MeV of Equation (6).
In the search of the QCD “invisible” axion, the axion–photon–photon coupling is the key parameter where
where is given above the QCD chiral symmetry breaking scale and is the contribution from the QCD phase transition, cited as [62] and [79]. Here, we choose it as for a guidance. In a sense, the customary numbers presented in most talks are ad hoc, which can be glimpsed from those exclusion plots where the KSVZ lines are shown only for [80].
In this solution, there is only one parameter, the value of the “invisible” axion field or . The reason is that the form of the anomaly is completely specified at one loop and no more [81]. One parameter to this interaction is one coupling to the weak interaction. In both cases, details are more involved however, in the former case the detailed “invisible” axion models and in the latter case the CKM and PMNS weak gauge boson couplings to three family members. Because of this one coupling nature, one could have easily proved that is at the minimum of free energy [73].
The axion detection uses the following coupling [82],
where is the electromagnetic field strength (its dual). Equation (24) gives the form such that parallel to contributes to the coupling. The usual design [83] is a cavity detector immersed in a strong constant magnetic field. Then, follows the cosmic oscillation of the classical axion field generating the axions in the cavity, which is given completely in the axio-electrodynamics in [84]. [Note that similar results with the resonance condition were given earlier [85,86].] This idea of using the oscillating E is pictorially shown in Figure 3.
Figure 3.
The resonant detection idea of the QCD axion. The E-field follows the axion vacuum oscillation.
In the search of the QCD “invisible” axion, the axion-photon-photon coupling is the key parameter. In a sense, the customary numbers presented in most talks are ad hoc, which can be glimpsed from those exclusion plots where the KSVZ lines are shown only for [80]. My exclusion plot is presented in Figure 4.
Figure 4.
The vs. plot [88,89].
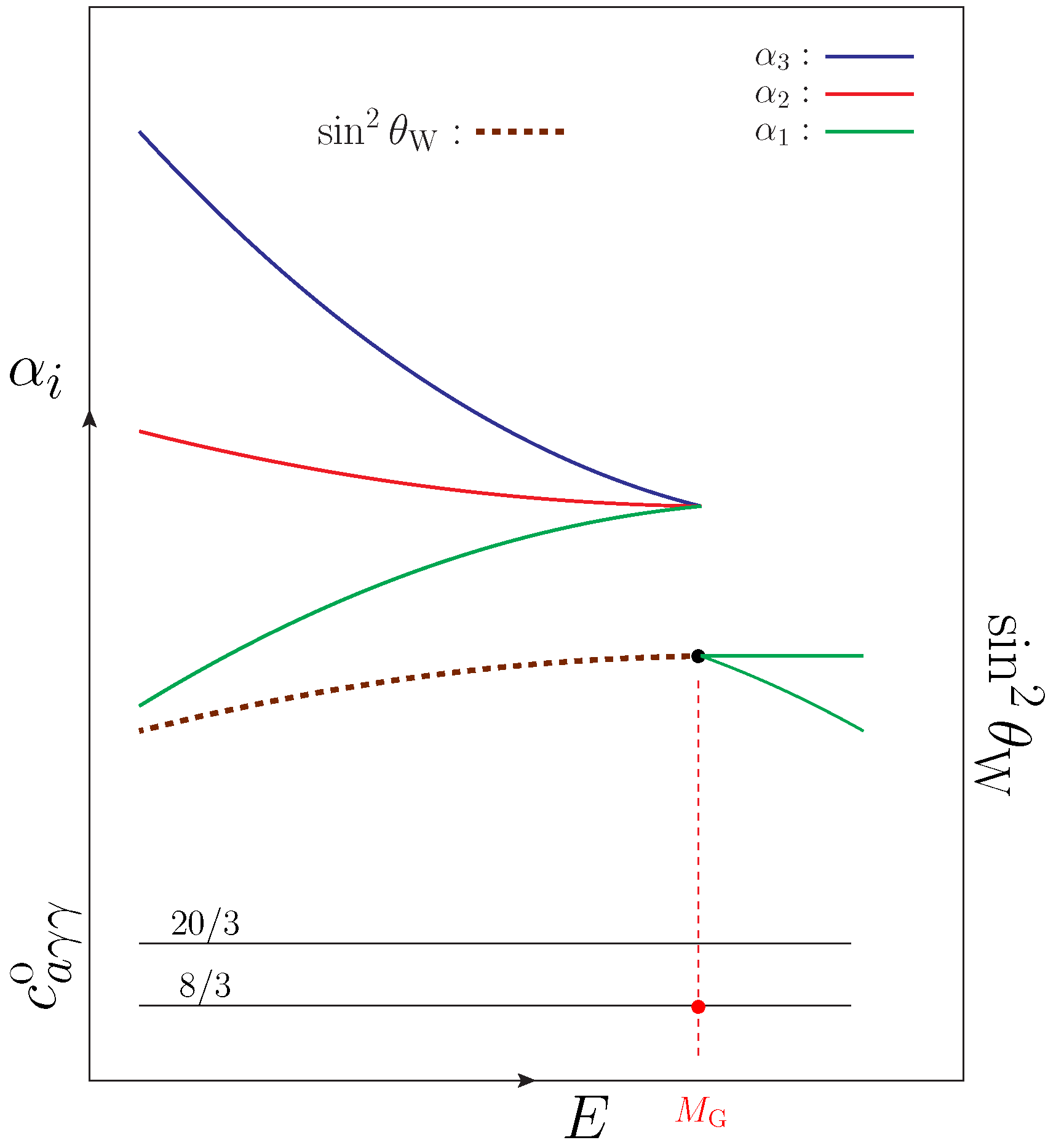
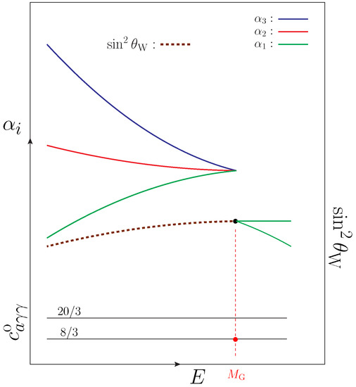
In some GUT models, is related to the weak mixing angle . A schematic view on the gauge couplings, , and is presented as in Figure 5. The evolution of are shown in the middle part. is determined by quantum numbers and does not evolve above as shown in the lower part of the figure. Axions from GUTs usually give , which is not necessarily satisfied with unknown charges above the GUT scale, and there exist models with , for example in [87].
Figure 5.
A schematic view on the gauge couplings, , and .
For a calculation of , one should pay attention that the model must lead to an acceptable SM phenomenology. In Table 1, we present in several KSVZ and DFSZ models.
Table 1.
The coupling for given in the KSVZ and DFSZ models. For the u and d quark masses, is assumed for simplicity. in the last row of KSVZ means m quarks of and m quarks of . SUSY in the DFSZ models includes contributions of color partners of Higgsinos. If we do not include the color partners, i.e., in the MSSM without heavy colored particles, .
Calculations of from ultra-violet completed models are welcome. So far there exists only one calculation on from string compactification [88,89]. In Table 2, we list two calculations of . In a orbifold compactification present in Ref. [92], the axion-photon-photon coupling has been calculated [89],
which is shown as the green line in the axion coupling vs. axion mass plot of Figure 4.
Table 2.
String model prediction of . In the last line, with
.
3.1. Axion Inhomogeneities in Galaxies and Mini-Clusters
If there existed inhomogeneities of axion field in the galaxies, some large scales could have been formed [93]. In particular, if there existed strong primordial inhomogeneities of cold axions, their astrophysical effects can be estimated [94], such that axion perturbations on scales corresponding to causally disconnected regions at GeV can lead to very dense pseudo-soliton configurations. It is because these configurations at the misalignment at GeV evolve to axion mini-clusters with present density . This high density enables the process for the Bose–Einstein relaxation in the gravitationally bound clumps of axions, forming axion mini-clusters. During inflation, formation of primordial black holes in the mass range could have been formed from the axion inhomogeneities [95].
3.2. The Domain Wall Problem in “Invisible” Axion Models
It is well-known that if a discrete symmetry is spontaneously broken then there results domain walls in the course of the Universe evolution [96]. For the “invisible” axion models, it was pointed out that the domain wall number different from 1 must have led to serious cosmological problems in the standard Big Bang cosmology [97,98]. In this regard, the standard DFSZ models with should not be considered. For the “invisible” axions, we consider only models. The argument goes like this. In the evolving Universe, there always exists a (or a few) horizon scale string(s) and a giant wall attached to it [98] as shown in Figure 6a. There are a huge number of small walls bounded by an axionic string which punch holes in the giant walls as shown in Figure 6b. The punched holes expand with the light velocity and eat up the giant string-walls as shown in Figure 6c. This is the scenario in the models [99].
Figure 6.
A horizon scale string-wall for with a small membrane bounded by string. (a) A (or a few) horizon scale string(s) and a giant wall attached to it [98]; (b) A huge number of small walls bounded by an axionic string which punch holes in the giant walls; (c) The punched holes expand with the light velocity and eat up the giant string-walls.
However, “invisible” axion models with have cosmological problems. For example, for , a horizon scale string and wall system has the configuration shown in Figure 7. Figure 7a,b show small balls, and Figure 7c,d show a horizon scale string-wall system after absorbing the small balls. Certainly, the horizon scale string-wall system is not erased, which is a cosmological disaster in the standard Big Bang cosmology.
Figure 7.
Small DW balls ((a,b), with punches showing the inside blue-vacuum) and the horizon scale string-wall system (c,d) for : (a) a DW ball with a string loop, (b) a DW ball without a string loop, (c) collision with a ball of type (a), and (d) collision by a ball of type (b). Yellow walls are walls, and yellow-green walls are walls. Yellow-green walls of type (b) are also present.
With inflation, the domain wall problem has to be reconsidered. However, if the GUT scale vacuum energy were present, it is likely that the domain wall problem becomes severe. So, I want to stress that the axionic domain problem is better to be resolved without the dilution effect by inflation. One obvious model is the KSVZ axion with one heavy quark.
Another, a more sophiscated, solution is the Lazarides–Shafi mechanism in which the seemingly different vacua are identified by gauge transformation. Ref. [100] used the centers of extended-GUT groups for this purpose. Still another solution is to use Goldstone boson directions of spontaneously broken global symmetries [101,102]. There can exist a cosmological solution, using a hidden-sector confining force [103].
However, the most appealing solution is to use the model-independent (MI) axion in string compactification. It is known that the MI axion has [104,105]. Also, due to the ’t Hooft mechanism which we discussed in Section 2.1, the “invisible” axion scale can be lowered from the string scale down to an intermediate scale [89] and can be proved/disproved to exist in Nature.
3.3. Searches of “Invisible” Axions
The ongoing search of “invisible” QCD axions is based on the BCM in the Universe [2]. After the discovery of the Higgs boson which seems to be a fundamental elementary particle, the possibility of the QCD axion being fundamental gained some weight. The future axion search experiment can detect the CDM axion even its contribution to CDM is only 10% [106]. Because the axion decay constant can be in the intermediate scale, the “invisible” axions can live up to now (for ) and constitute DM of the Universe. Cosmology of the “invisible” axions has started in 1982–1983 [10,11,12] with the micro-eV axions [13,14,15,16]. The needed intermediate axion scale, far below the GUT scale, is understood in models with the anomalous U(1) in string compactification [40].
For the detection of cosmic axions, the axion energy density as CDM, which is assumed to be , is the one to be detected. Relating with depends on the history of the evolving Universe due to the contribution to from the annihilating string-wall system of axions. The recent numerical calculation for an model shows that more than 90% of is contributed from the annihilating string-wall system [75], which however did not include the effects shown in Figure 6.
The 2014 BICEP2 report of “high scale inflation at the GUT scale” around implied the reheating temperature after inflation [107]. Then, studies on the isocurvature constraint with that BICEP2 data pinned down the axion mass [108]. However, more data, with dust contamination taken into account, has not lived up with this earlier report [109]. However, it is likely that the energy density during inflation might be near the GUT scale with a somewhat smaller tensor/scalar ratio than the value in the early report. In this case also, requiring is a necessity.
4. A BCM as Dark Energy
As for the QCD axion case, the DE scale can arise via a BCM of Figure 1 [24]. The global symmetry violating terms belong to the red part in Figure 1. In the Higgs portal scenario, the BCM pseudoscalar for DE must couple to the color anomaly since it couples to the Higgs doublets and the Higgs doublets couple to the SM quarks. On the other hand, mass of the BCM pseudoscalar for DE is in the range [47]. Therefore, the QCD anomaly term of the BCM must be forbidden to account for the DE scale of . There must be a global symmetry free of the QCD-anomaly. It is shown that such two global U(1) symmetries are achieved in general [25]. Out of the two U(1)’s, let us pick up the global symmetry for the DE BCM. The other U(1), carrying the color anomaly, is for the “invisible” axion. In contrast to the bound for the QCD axion given in Equation (18), the breaking scale is of order of the Planck scale [47],
From string compactification, we argued that the global symmetry via the ’t Hooft mechanism is for the “invisible” QCD axion [40,89] whose decay constant corresponds to (18). The global symmetry cannot have a QCD anomaly [25] and in the compactification of the heterotic string it must be anomaly free since there is only one from the heterotic string. Thus, the VEVs and breaking and global symmetries, respectively, are clearly distinguished in the compactification of the heterotic string. However, their hierarchical values given in Equations (18) and (26) are obtained by a kind of tuning of parameters in the potential V. It is known that the anti-symmetric tensor field in string theory leads to string axions having GUT scale decay constants [110,111]. So, it was argued in the SUSY framework that the “invisible” QCD axion from string theory is better to arise from matter fields [112].
By introducing two global symmetries, we can remove the –– anomaly where is QCD and the charge is a linear combination of two global symmetry charges. The decay constant corresponding to is . In Figure 8, we depict the scale and the breaking term . Introduction of two global symmetries is inevitable to interpret the DE scale and hence in this scenario the appearance of is a natural consequence. The height of DE potential is so small, , that the needed discrete symmetry breaking term of Figure 1 must be small, implying the discrete symmetry is of high order.
Figure 8.
The DE potential in the red angle-direction in the valley of radial field of height .
For the QCD axion, the height of the potential for the “invisible” axion is . For the DE pseudo-Goldstone boson, the height of the potential of the radial field is , according to the Higgs portal idea, shown at the central top in Figure 8. With the exact and the approximate at tree level,3 one can construct a DE model with the potential in the valley in Figure 8 from string compactification [25]. Using the SUSY language, the discrete and global symmetries below are the consequence of the full superpotential W. So, the exact discrete symmetries related to string compactification are respected by the full W, i.e., the vertical column of Figure 1. The example shown in [25] has a dimension 6 superpotential for the definition of the global symmetry from the lavender part of Figure 8, and the breaking superpotential at tree level is at a dimension 10 level. For , the global symmetry is not exact and the red part at the tree level contributes. This example shows that the definition of symmetry in the lavender part is at a high dimensional level and the breaking term in the red part is even more high dimensional [25]. A typical discrete symmetry is considered in [25], whose level is high enough such that the defining and breaking terms appear at the high dimensional levels. The charges descend from a gauge U(1) charges of the string compactification [37]. In this scheme with the Higgs portal, we introduced three scales for the VEVs, TeV scale for , the GUT scale for singlet VEVs, and the intermediate scale for the “invisible” QCD axion. The other fundamental scale is . The trans-Planckian decay constant of (26) can be a derived scale, which can be applied also to the inflation [27].
5. Inflation and Gravity Waves in the Beginning
The inflationary idea [22] was so attractive in understanding the horizon, flatness, homegeneity and isotropy problems [23], numerous inflationary models have been considered since the early 1980s [113,114,115]. Even there exists a calculable framework [116,117] in inflationary models for the “quantum” density perturbation [118]. For some time, the chaotic inflation [115] attracted a great deal of attention because it can lead to a large tensor/scalar ratio, r, in particular with the earlier report of the BICEP2 collaboration [107].
The inflationary models need almost flat potentials [119]. The logarithmic form near the origin is very flat. The potential with very small is very flat even at some trans-Planckian values of . Sinusoidal forms are almost flat near the top of the potential. The magnitude of measured by COBE excluded the logarithmic form among the new inflationary scenarios [120]. It seems that the inflation, where is the inflaton, is almost ruled out by the refined r measurements [109].
Thus, the sinusoidal forms are the remaining attractive possibility which belongs to the class of “natural” inflation [26]. These sinusoidal forms of appear in the potential as4
So, near , the potential is very flat and the natural inflationary potential works for inflation. This is one of “hill-top” inflationary models that for a large r the field value must be larger than , which is known as the Lyth bound [121]. So, the natural inflation needs the decay constant at a trans-Planckian scale [27]. Also, a trans-Planckian scale is introduced for a quintessential DE [47]. Introducing a natural inflation with a trans-Planckian decay constant is possible if one considers two spontaneously broken global symmetries [27], which is called the Kim–Nilles–Peloso (KNP) models.
This is illustrated with an effective potential of two axions. Let us consider two non-Abelian gauge groups with scales and and two pseudoscalars and resulting from breaking two global symmetries. The effective potential of and below the confining scales is [27]
where and k are parameters given by the model and and are two decay constants (or VEVs of scalar fields). Diagonalization of the mass matrix of and gives the heavy and light pseudoscalar masses as [122],
where
If , there results a massless one with . For , there can result an effectively large decay constant as shown in Ref. [27]. For simplicity, we can glimpse this phenomenon for the parameters and [122], corresponding to ,
In this two axion case, the height of the pontential is increased roughly to and the decay constant is increased by the level of the quantum number discrepancy, .
With two confining non-Abelian gauge groups, the global charges can be assigned such that an enough trans-Planckian decay constant results. However, for inflation, not needing the vacuum angle to be zero, the explicit breaking terms of two global symmetries need not arise from gauge anomalies but can arise from in the red part of Figure 1. This possibility generalized the KNP mechanism to N spontaneously broken global symmetries under the name “N-flation” [45] which has been studied extensively in string theory [123,124]. The N-flation attempted to soften the problem of the KNP model but the height of the potential increases by a factor N.
Nevertheless, this idea of increasing N has been further pursued in obtaining a kind of cosmological generation of the weak scale from axion-type potentials, the so-called “relaxion” idea [125], which however seems not completely satisfactory [126,127,128,129].
The hilltop potential of Figure 8 is a Mexican hat potential of , i.e., obtained from some discrete symmetry, allowed in string compactification [24]. The discrete symmetry may provide a small DE scale. The trans-Planckian decay constant, satisfying the Lyth bound, is obtained by a small quartic coupling in the hilltop potential V. The requirement for the vacuum energy being much smaller than is achieved by restricting the inflaton path in the radial direction in the hilltop region, , to converge to an appropriate phase direction of Figure 8.
We can compare this hilltop inflation with the chaotic inflation. The hilltop inflation is basically a consequence of discrete symmetries [24,25,37], allowed in string compactification. If some conditions are satisfied between the discrete quantum numbers of the GUT scale fields and trans-Planckian scale fields, the hilltop potential of Figure 9 can result. On the other hand, the chaotic inflation does not have such a symmetry argument, and lacks a rationale, forbidding higher order terms.
Figure 9.
The trans-Planckian decay costant in the hilltop inflation.
In contrast to the gravity waves generated during inflation, the gravity waves from binary black hole coalescence observed recently [130,131] occurred late in the cosmic time scale. In a recent observation of a coalescence, graviton mass is bounded as [132]. Related to our MI “invisible” axion from superstring, for the MI axion creation to be of any observable effect along the coalescence, the black hole mass is required to be small, kg [133].
6. Global Symmetries and Non-Abelian Gauge Groups
We have discussed directions in spontaneously broken global symmetries and their manifestations as pseudo-Goldstone bosons. The pseudo-Goldstone boson mass corresponding to a global U(1) depends on the explicit breaking scale , the red part in Figure 1, and the decay constant f: . The explicit symmetry breakings are broadly distinguished to two classes: (i) by small terms in the Lagrangian and (ii) by non-Abelian gauge interaction. The case (i) can be studied for the Yukawa couplings and small terms in V. If all terms in and V respect the global symmetry, then loop contributions cannot break the global symmetry. So, the breaking effect must be considered at the tree level. The case (ii) is known as the instanton effect [134] and the vacuum discussed in Section 3 is the pseudo-Goldstone boson direction. This breaking arises at the one loop level as the (global symmetry)– anomaly.
Here, a few BCMs are commented. For the N-flation and , the breaking terms correspond to the case (i), obtaining contribution only from V. For the “invisible” QCD axion, it belongs to the case (ii) and there should be no contribution from V. We discussed the top-down scenario for obtaining from global symmetry from string compactification. For this to remain as a solution of the strong CP problem, however, QCD should be the only unbroken non-Abelian gauge group. The reason is the following.
We have already presented in (28) an effective potential of two axions and with two non-Abelian groups below their confining scales. Note that and k are parameters given in the model and and are two decay constants (or VEVs of scalar fields). Diagonalization of the mass matrix of and gives the heavy and light pseudoscalar masses presented in Equations (29) and (30) [122]. Here, we take different limits of parameters from the KNP inflation. Suppose that there are hierarchies and . Then, the heavy and light masses are
From Equation (32), we note that the decay constant of the heavy pseudoscalar is the smaller decay constant and the decay constant of the light pseudoscalar is the larger decay constant . So, if we try to have , then we must choose the larger decay constant which can be a GUT or string scale. So, we fail in obtaining an intermediate scale from the global symmetry for the “invisible” axion. For the global symmetry to lead to the “invisible” axion, we should not have any other non-Abelian gauge group above the TeV scale from string compactification. If another confining gauge group above the TeV scale is introduced, then a scenario must be introduced such that it is broken after achieving the objective.
7. Discussion and Conclusions
From theoretical and cosmological perspectives, we reviewed spontaneously broken global symmetries and the consequent pseudoscalar bosons. The PQ global symmetry was introduced as a prototype model, which can solve also the strong CP problem.
Theorectically, pseudoscalars can be made light if they appear as pseudo-Goldstone bosons with the decay constant f. We argued that depending on the scales of f and the explicit breaking terms, these pseudoscalars could have worked as BCMs in various stages in the evolving Universe as shown in (6) and (7). We discussed the explicit breaking terms arising from non-Abelian gauge anomalies and/or from the classical Lagrangian. These BCMs can be DE, CDM, or even an inflaton. For a possible experimental confirmation of BCM, the “invisible” QCD axion is the front runner with the decay constant in the axion window (18). We also argued that the “invisible” QCD axion at the axion window is possible from string compactification.
Since the “invisible” axion determined as noted in Section 3, one may question a possibility of determining the weak CP violation phases, the CKM phase , the PMNS phase , and also the CP phases in the Type-I [135] and Type-II [136] leptogenses. In principle, it can be done but these attempts cannot be present in simple forms because three quark families, for example, introduce many parameters, in contrast to the one parameter in QCD [81]. Determining belongs to the problem of “textures” of quark mass matrix. A hope toward this direction is to parametrize the CKM matrix in the form of Ref. [137] such that is the phase in the CKM matrix itself, which may help finding out the needed texture. There exist a few attempts along this line [136,138,139].
Acknowledgments
This was drafted when the author visited the International Center for Theoretical Physics during July 12–July 22, 2017. The author thanks Fernando Quevedo for the hospitality offered to him during the visit. This work is supported in part by the National Research Foundation (NRF) grant funded by the Korean Government (MEST) (NRF-2015R1D1A1A01058449) and by Institute of Basic Science of Korea (IBS-R017-D1).
Conflicts of Interest
The author declares no conflict of interest.
References
- Ade, P.A.R.; Aghanim, N.; Arnaud, M.; Ashdown, M.; Aumont, J.; Baccigalupi, C.; Banday, A.J.; Barreiro, R.B.; Bartlett, J.G.; Bartolo, N.; et al. Planck 2015 results. XIII. Cosmological parameters. Astron. Astrophys. 2016, 594, A13. [Google Scholar]
- Kim, J.E.; Semertzidis, Y.; Tsujikawa, S. Bosonic coherent motions in the Universe. Front. Phys. 2014, 2, 60. [Google Scholar] [CrossRef]
- Del Popolo, A. Non-baryonic dark matter in cosmology. Int. J. Mod. Phys. D 2014, 23, 1430005. [Google Scholar] [CrossRef]
- Blumenthal, G.R.; Faber, S.M.; Primack, J.R.; Rees, M.J. Formation of galaxies and large scale structure with cold dark matter. Nature 1984, 311, 517–525. [Google Scholar] [CrossRef]
- Zwicky, F. Die Rotverschiebung von extragalaktischen Nebeln. Helv. Phys. Acta 1933, 6, 110–127. [Google Scholar] [CrossRef]
- Trimble, V. Existence and nature of dark matter in the Universe. Ann. Rev. Astron. Astrophys. 1987, 25, 425–472. [Google Scholar] [CrossRef]
- Hut, P. Limits on masses and number of neutral weakly interacting particles. Phys. Lett. B 1977, 69, 85–88. [Google Scholar] [CrossRef]
- Lee, B.W.; Weinberg, S. Cosmological lower bound on heavy neutrino masses. Phys. Rev. Lett. 1977, 39, 165–168. [Google Scholar] [CrossRef]
- Goldberg, H. Constraint on the photino mass from cosmology. Phys. Rev. Lett. 1983, 50, 1419–1422. [Google Scholar] [CrossRef]
- Preskill, J.; Wise, M.B.; Wilczek, F. Cosmology of the invisible axion. Phys. Lett. B 1983, 120, 127–132. [Google Scholar] [CrossRef]
- Abbott, L.F.; Sikivie, P. A cosmological bound on the invisible axion. Phys. Lett. B 1983, 120, 133–136. [Google Scholar] [CrossRef]
- Dine, M.; Fischler, W. The not so harmless axion. Phys. Lett. B 1983, 120, 137–141. [Google Scholar] [CrossRef]
- Kim, J.E. Weak interaction singlet and strong CP invariance. Phys. Rev. Lett. 1979, 43, 103–107. [Google Scholar] [CrossRef]
- Shifman, M.A.; Vainshtein, A.I.; Zakharov, V.I. Can confinement ensure natural CP invariance of strong interactions? Nucl. Phys. B 1980, 166, 493–506. [Google Scholar] [CrossRef]
- Zhitnitskij, A.R. On possible suppression of the axion hadron interactions. Yad. Fiz. 1980, 31, 497–504. (In Russian) [Google Scholar]
- Dine, M.; Fischler, W.; Srednicki, M. A simple solution to the strong CP problem with a harmless axion. Phys. Lett. B 1981, 104, 199–202. [Google Scholar] [CrossRef]
- Riess, A.G.; Filippenko, A.V.; Challis, P.; Clocchiatti, A.; Diercks, A.; Garnavich, P.M.; Gilliland, R.L.; Hogan, C.J.; Jha, S.; Kirshner, R.P.; et al. Observational evidence from supernovae for an accelerating Universe and a cosmological constant. Astrophys. J. 1998, 116, 1009–1038. [Google Scholar] [CrossRef]
- Perlmutter, S.; Aldering, G.; Goldhaber, G.; Knop, R.A.; Nugent, P.; Castro, P.G.; Hook, I.M. Measurements of Omega and Lambda from 42 high redshift supernovae. Astrophys. J. 1999, 517, 565. [Google Scholar] [CrossRef]
- Einstein, A. Cosmological considerations in the general theory of relativity. Sitzungsber. Preuss. Akad. Wiss. Berlin (Math. Phys.) 1917, 1917, 142–152. [Google Scholar]
- Weinberg, S. The cosmological constant problem. Rev. Mod. Phys. 1989, 61, 1. [Google Scholar] [CrossRef]
- Veltman, M. Cosmology and the Higgs mechanism. Phys. Rev. Lett. 1975, 34, 777. [Google Scholar] [CrossRef]
- Lemaître, G. Contributions to a British Association Discussion on the Evolution of the Universe. Nature 1931, 128, 704–706. [Google Scholar] [CrossRef]
- Guth, A.H. The inflationary Universe: A possible solution to the horizon and flatness problems. Phys. Rev. D 1981, 23, 347–356. [Google Scholar] [CrossRef]
- Kim, J.E.; Nilles, H.P. Dark energy from approximate U(1)de symmetry. Phys. Lett. B 2014, 730, 53–58. [Google Scholar] [CrossRef]
- Kim, J.E. Modeling the small dark energy scale with a quintessential pseudoscalar boson. J. Korean Phys. Soc. 2014, 64, 795–805. [Google Scholar] [CrossRef]
- Freese, K.; Frieman, J.A.; Olinto, A.V. Natural inflation with pseudo Nambu–Goldstone bosons. Phys. Rev. Lett. 1990, 65, 3233–3236. [Google Scholar] [CrossRef] [PubMed]
- Kim, J.E.; Nilles, H.P.; Peloso, M. Completing natural inflation. J. Cosmol. Astropart. Phys. 2005, 1, 61–70. [Google Scholar] [CrossRef]
- Silveira, V.; Zee, A. Scalar phantoms. Phys. Lett. B 1985, 161, 136–140. [Google Scholar] [CrossRef]
- Patt, B.; Wilczek, F. Higgs-field portal into hidden sectors. arXiv, 2006; arXiv:hep-ph/0605188. [Google Scholar]
- Schabinger, R.; Wells, J.D. Minimal spontaneously broken hidden sector and its impact on Higgs boson physics at the large hadron collider. Phys. Rev. D 2005, 72, 093007. [Google Scholar] [CrossRef]
- Giddings, S.B.; Strominger, A. Axion induced topology change in quantum gravity and string theory. Nucl. Phys. B 1988, 306, 890–907. [Google Scholar] [CrossRef]
- Gilbert, G. Wormhole induced proton decay. Nucl. Phys. B 1989, 328, 159–170. [Google Scholar] [CrossRef]
- Krauss, L.M.; Wilczek, F. Discrete gauge symmetry in continuum theories. Phys. Rev. Lett. 1989, 62, 1221–1223. [Google Scholar] [CrossRef] [PubMed]
- Ibanez, L.E.; Ross, G.G. Discrete gauge symmetries and the origin of baryon and lepton number conservation in supersymmetric versions of the standard model. Nucl. Phys. B 1992, 368, 3–37. [Google Scholar] [CrossRef]
- Banks, T.; Dine, M. Note on discrete gauge anomalies. Phys. Rev. D 1992, 45, 1424–1427. [Google Scholar] [CrossRef]
- Preskill, J.; Trivedi, S.P.; Wilczek, F.; Wise, M.B. Cosmology and broken discrete symmetry. Nucl. Phys. B 1991, 363, 207–220. [Google Scholar] [CrossRef]
- Kim, J.E. Abelian discrete symmetries ZN and ZnR from string orbifolds. Phys. Lett. B 2013, 726, 450–455. [Google Scholar] [CrossRef]
- Choi, K.S.; Kim, J.E.; Kyae, B.; Nam, S. Hairs of discrete symmetries and gravity. Phys. Lett. B 2017, 769, 430–435. [Google Scholar] [CrossRef]
- ’t Hooft, G. Renormalizable Lagrangians for massive Yang-Mills fields. Nucl. Phys. B 1971, 35, 167–188. [Google Scholar] [CrossRef]
- Kim, J.E. The strong CP problem in orbifold compactifications and an SU(3)×SU(2)×U(1)n model. Phys. Lett. B 1988, 207, 434–440. [Google Scholar] [CrossRef]
- Peccei, R.D.; Quinn, H.R. CP conservation in the presence of pseudoparticles. Phys. Rev. Lett. 1977, 38, 1440–1443. [Google Scholar] [CrossRef]
- Bethke, S.; Dissertori, G.; Salam, G.P. Quantum Chromodynamics. In Review of Particle Physics; IOP Publishing: Beijing, China, 2016; Volume 40, pp. 132–150. [Google Scholar]
- di Cortona, G.G.; Hardy, E.; Vega, J.P.; Villadoro, G. The QCD axion, precisely. J. High Energy Phys. 2016, 2016, 34. [Google Scholar] [CrossRef]
- Gondolo, P.; Visinelli, L. Axion cold dark matter in view of BICEP2 results. Phys. Rev. Lett. 2014, 113, 011802. [Google Scholar] [CrossRef] [PubMed]
- Dimopoulos, S.; Kachru, S.; McGreevy, J.; Wacker, J.G. N-flation. J. Cosmol. Astropart. Phys. 2008, 2008, 003. [Google Scholar] [CrossRef]
- Ringwald, A.; Rosenberg, L.J.; Rybka, G. Axions and other similar particles. In Review of Particle Physics; IOP Publishing: Beijing, China, 2016; Volume 40, pp. 686–714. [Google Scholar]
- Carroll, S.M. Quintessence and the rest of the world. Phys. Rev. Lett. 1998, 81, 3067–3070. [Google Scholar] [CrossRef]
- Kim, J.E.; Marsh, D.J. An ultralight pseudoscalar boson. Phys. Rev. D 2016, 93, 025027. [Google Scholar] [CrossRef]
- Marsh, D.J. Axion cosmology. Phys. Rep. 2016, 643, 1–79. [Google Scholar] [CrossRef]
- Hui, L.; Ostriker, J.P.; Tremaine, S.; Witten, E. Ultralight scalars as cosmological dark matter. Phys. Rev. D 2017, 95, 043541. [Google Scholar] [CrossRef]
- Wilczek, F. Axions and family symmetry breaking. Phys. Rev. Lett. 1982, 49, 1549–1552. [Google Scholar] [CrossRef]
- Reiss, D.B. Can the family group be a global symmetry? Phys. Lett. B 1982, 115, 217–220. [Google Scholar] [CrossRef]
- Gelmini, G.B.; Nussinov, S.; Yanagida, T. Does nature like Nambu-Goldstone bosons? Nucl. Phys. B 1983, 219, 31–40. [Google Scholar] [CrossRef]
- Berezhiani, Z.G.; Khlopov, M.Y. Cosmology of spontaneously broken gauge family symmetry with axion solution of the strong CP problem. Z. Phys. C Part. Fields 1991, 49, 73–78. [Google Scholar] [CrossRef]
- Baker, C.A.; Doyle, D.D.; Geltenbort, P.; Green, K.; Van der Grinten, M.G.D.; Harris, P.G.; Richardson, J.D. Improved experimental limit on the electric dipole moment of the neutron. Phys. Rev. Lett. 2006, 97, 131801. [Google Scholar] [CrossRef] [PubMed]
- Kobayashi, M.; Maskawa, T. CP violation in the renormalizable theory of weak interaction. Prog. Theor. Phys. 1973, 49, 652–657. [Google Scholar] [CrossRef]
- Weinberg, S. Gauge theory of CP violation. Phys. Rev. Lett. 1976, 37, 657–661. [Google Scholar] [CrossRef]
- Mohapatra, R.N. Renormalizable model of weak and electromagnetic interactions with CP violation. Phys. Rev. D 1972, 6, 2023. [Google Scholar] [CrossRef]
- Glashow, S.L.; Weinberg, S. Natural conservation laws for neutral currents. Phys. Rev. D 1977, 15, 1958. [Google Scholar] [CrossRef]
- Weinberg, S. A new light boson? Phys. Rev. Lett. 1978, 40, 223–226. [Google Scholar] [CrossRef]
- Wilczek, F. Problem of strong P and T invariance in the presence of instantons. Phys. Rev. Lett. 1978, 40, 279–282. [Google Scholar] [CrossRef]
- Kim, J.E. Light pseudoscalars, particle physics and cosmology. Phys. Rep. 1987, 150, 1–177. [Google Scholar] [CrossRef]
- Peccei, R.D. A Short Review of Axions. In Proceedings of the 19th International Conference on High Energy Physics, Tokyo, Japan, 23–30 August 1978. [Google Scholar]
- Bég, M.A.B.; Tsao, H.S. Strong P and T noninvariances in a superweak theory. Phys. Rev. Lett. 1978, 41, 278–281. [Google Scholar] [CrossRef]
- Mohapatra, R.N.; Senjanović, G. Natural suppression of strong P and T noninvariance. Phys. Lett. B 1978, 79, 283–286. [Google Scholar] [CrossRef]
- Segrè, G.; Weldon, H.A. Natural suppression of strong P and T violations and calculable mixing angles in SU(2)×U(1). Phys. Rev. Lett. 1979, 42, 1191. [Google Scholar] [CrossRef]
- Barr, S.; Langacker, P. A superweak gauge theory of CP-invariance violation. Phys. Rev. Lett. 1979, 42, 1654–1658. [Google Scholar] [CrossRef]
- Georgi, H. A model of soft CP violation. Hadronic J. 1978, 1, 155. [Google Scholar]
- Nelson, A. Naturally weak CP violation. Phys. Lett. B 1984, 136, 387–391. [Google Scholar] [CrossRef]
- Barr, S.M. Solving the strong CP problem without the Peccei-Quinn symmetry. Phys. Rev. Lett. 1984, 53, 329–332. [Google Scholar] [CrossRef]
- Lee, T.D. A theory of spontaneous T violation. Phys. Rev. D 1973, 8, 1226–1239. [Google Scholar] [CrossRef]
- Gershon, T.; Nir, Y. CP violation in the quark sector. In Review of Particle Physics; IOP Publishing: Beijing, China, 2016; Volume 40, pp. 233–245. [Google Scholar]
- Vafa, C.; Witten, E. Parity conservation in QCD. Phys. Rev. Lett. 1984, 53, 535–536. [Google Scholar] [CrossRef]
- Georgi, H.; Randall, L. Flavor conserving CP violation in invisible axion models. Nucl. Phys. B 1986, 276, 241–252. [Google Scholar] [CrossRef]
- Hiramatsu, T.; Kawasaki, M.; Saikawa, K.I.; Sekiguchi, T. Axion cosmology with long-lived domain walls. J. Cosmol. Astropart. Phys. 2013, 2013, 001. [Google Scholar] [CrossRef]
- Bae, K.J.; Huh, J.H.; Kim, J.E. Update of axion CDM energy. arXiv, 2008; arXiv:1704.07542[hep-ph]. [Google Scholar]
- Raffelt, G.G. Astrophysical axion bounds. In Axions; Springer: Berlin/Heidelberg, Germany, 2008; pp. 51–71. [Google Scholar] [CrossRef]
- Berezhiani, Z.G.; Sakharov, A.S.; Khlopov, M.Y. Primordial background of cosmological axions. Sov. J. Nucl. Phys. 1992, 55, 1063–1071. [Google Scholar]
- Kim, J.E.; Carosi, G. Axions and the strong CP problem. Rev. Mod. Phys. 2010, 82, 557–602. [Google Scholar] [CrossRef]
- Kim, J.E. Constraints on very light axions from cavity experiments. Phys. Rev. D 1998, 58, 055006. [Google Scholar] [CrossRef]
- Adler, S.L.; Bardeen, W.A. Absence of higher order corrections in the anomalous axial vector divergence equation. Phys. Rev. 1969, 182, 1517–1536. [Google Scholar] [CrossRef]
- Primakoff, H. Photo-production of neutral mesons in nuclear electric fields and the mean life of the neutral meson. Phys. Rev. 1951, 81, 899. [Google Scholar] [CrossRef]
- Sikivie, P. Experimental tests of the ‘invisible’ axion. Phys. Rev. Lett. 1984, 52, 695. [Google Scholar] [CrossRef]
- Hong, J.; Kim, J.E.; Nam, S.; Semertzidis, Y. Calculations of resonance enhancement factor in axion-search tube-experiments. arXiv, 2017; arXiv:1403.1576[hep-ph]. [Google Scholar]
- Sikivie, P. Detection rates for ‘invisible’ axion searches. Phys. Lett. D 1985, 32, 2988–2991. [Google Scholar] [CrossRef]
- Krauss, L.; Moody, J.; Wilczek, F.; Morris, D.E. Calculations for cosmic axion detection. Phys. Rev. Lett. 1985, 55, 1797–1880. [Google Scholar] [CrossRef] [PubMed]
- Kim, J.E. A model of flavor unity. Phys. Rev. Lett. 1980, 45, 1916–1919. [Google Scholar] [CrossRef]
- Kim, J.E. Calculation of axion-photon-photon coupling in string theory. Phys. Lett. B 2014, 735, 95–100. [Google Scholar] [CrossRef]
- Kim, J.E.; Kyae, B.; Nam, S. The anomalous U(1) global symmetry and flavors from an SU(5)×SU(5)’ GUT in Z12-I orbifold compactification. arXiv, 2017; arXiv:1703.05345[hep-ph]. [Google Scholar]
- Choi, K.S.; Kim, I.W.; Kim, J.E. String compactification, QCD axion and axion-photon-photon coupling. J. High Energy Phys. 2007, 2007, 116. [Google Scholar] [CrossRef]
- Kim, J.E.; Nam, S. Couplings between QCD axion and photon from string compactification. Phys. Lett. B 2016, 759, 149–153. [Google Scholar] [CrossRef]
- Huh, J.H.; Kim, J.E.; Kyae, B. SU(5)×SU(5)’ from Z12-I. Phys. Lett. D 2009, 80, 115012. [Google Scholar]
- Sakharov, A.S.; Khlopov, M.Y. The nonhomogeneity problem for the primordial axion field. Phys. Atom. Nucl. 1994, 57, 485–487. [Google Scholar]
- Kolb, E.W.; Tkachev, I.I. Axion miniclusters and Bose stars. Phys. Rev. Lett. 1993, 71, 3051–3054. [Google Scholar] [CrossRef] [PubMed]
- Khlopov, M.Y.; Rubin, S.G. Primordial structure of massive black hole clusters. Astropart. Phys. 2005, 23, 265–277. [Google Scholar] [CrossRef]
- Zeldovich, Y.B.; Kobzarev, I.Y.; Okun, L.B. Cosmological consequences of the spontaneous breakdown of discrete symmetry. Zh. Eksp. Teor. Fiz. 1974, 67, 3–11. [Google Scholar]
- Sikivie, P. Axions, domain walls, and the early Universe. Phys. Rev. Lett. 1982, 48, 1156–1159. [Google Scholar] [CrossRef]
- Vilenkin, A.; Everett, A.E. Cosmic strings and domain walls in models with Goldstone and pseudo-Goldstone bosons. Phys. Rev. Lett. 1982, 48, 1867–1870. [Google Scholar] [CrossRef]
- Barr, S.M.; Choi, K.; Kim, J.E. Axion cosmology in superstring models. Nucl. Phys. B 1987, 283, 591–604. [Google Scholar] [CrossRef]
- Lazarides, G.; Shafi, Q. Axion models with no domain wall problem. Phys. Lett. B 1982, 115, 21–25. [Google Scholar] [CrossRef]
- Choi, K.; Kim, J.E. Domain walls in superstring models. Phys. Rev. Lett. 1985, 55, 2637–3640. [Google Scholar] [CrossRef] [PubMed]
- Kim, J.E. High scale inflation, model-independent string axion, and QCD axion with domain wall number one. Phys. Lett. B 2014, 734, 68–71. [Google Scholar] [CrossRef]
- Barr, S.M.; Kim, J.E. New confining force solution of the QCD axion domain-wall problem. Phys. Rev. Lett. 2014, 113, 241301. [Google Scholar] [CrossRef] [PubMed]
- Witten, E. Cosmic superstrings. Phys. Lett. B 1985, 153, 243–246. [Google Scholar] [CrossRef]
- Kim, J.E. Axionic domain wall number related to U(1)anom global symmetry. Phys. Lett. B 2016, 759, 58–63. [Google Scholar] [CrossRef]
- CAPP Site. Available online: http://capp.ibs.re.kr/html/capp_en (accessed on 8 September 2017).
- Ade, P.A.; Aikin, R.W.; Barkats, D.; Benton, S.J.; Bischoff, C.A.; Bock, J.J.; Brevik, J.A.; Buder, I.; Bullock, E.; Dowell, C.D.; et al. Detection of B-mode polarization at degree angular scales by BICEP2. Phys. Rev. Lett. 2014, 112, 241101. [Google Scholar] [CrossRef] [PubMed]
- Marsh, D.J.; Grin, D.; Hlozek, R.; Ferreira, P.G. Tensor interpretation of BICEP2 results severely constrains axion dark matter. Phys. Rev. Lett. 2014, 113, 011801. [Google Scholar] [CrossRef] [PubMed]
- Ade, P.A.; Ahmed, Z.; Aikin, R.W.; Alexander, K.D.; Barkats, D.; Benton, S.J.; Bischoff, C.A.; Bock, J.J.; Bowens-Rubin, R.; Brevik, J.A.; et al. Improved constraints on cosmology and foregrounds from BICEP2 and Keck Array cosmic microwave background data with Inclusion of 95 GHz band. Phys. Rev. Lett. 2016, 116, 031302. [Google Scholar] [CrossRef] [PubMed]
- Choi, K.; Kim, J.E. Harmful axions in superstring models. Phys. Lett. B 1985, 154, 393–396. [Google Scholar] [CrossRef]
- Svrcek, P.; Witten, E. Axions in string theory. J. High Energy Phys. 2006, 2006, 051. [Google Scholar] [CrossRef]
- Kim, J.E. Natural Higgs-flavor-democracy solution of the μ problem of supersymmetry and the QCD axion. Phys. Rev. Lett. 2013, 111, 031801. [Google Scholar] [CrossRef] [PubMed]
- Linde, A.D. A new inflationary Universe scenario: A possible solution of the horizon, flatness, homogeneity, isotropy and primordial monopole problems. Phys. Lett. B 1982, 108, 389–393. [Google Scholar] [CrossRef]
- Albrecht, A.; Steinhardt, P.J. Cosmology for grand unified theories with radiatively induced symmetry breaking. Phys. Rev. Lett. 1982, 48, 1220–1223. [Google Scholar] [CrossRef]
- Linde, A.D. Chaotic inflation. Phys. Lett. B 1983, 129, 177–181. [Google Scholar] [CrossRef]
- Hawking, S.W. The development of irregularities in a single bubble inflationary Universe. Phys. Lett. B 1982, 115, 295–297. [Google Scholar] [CrossRef]
- Guth, A.H.; Pi, S.Y. Fluctuations in the new inflationary Universe. Phys. Rev. Lett. 1982, 49, 1110–1113. [Google Scholar] [CrossRef]
- Mukhanov, V.F.; Chibisov, G.V. Quantum fluctuations and a nonsingular Universe. J. Exp. Theor. Phys. Lett. 1981, 33, 532–535. [Google Scholar]
- Liddle, A.R.; Lyth, D.H. The cold dark matter density perturbation. Phys. Rep. 1993, 231, 1–105. [Google Scholar] [CrossRef]
- Smoot, G.F.; Bennett, C.L.; Kogut, A.; Wright, E.L.; Aymon, J.; Boggess, N.W.; Cheng, E.S.; De Amici, G.; Gulkis, S.; Hauser, M.G.; et al. Structure in the COBE differential microwave radiometer first year maps. Astrophys. J. 1992, 396, 1–5. [Google Scholar] [CrossRef]
- Lyth, D.H. What would we learn by detecting a gravitational wave signal in the cosmic microwave background anisotropy? Phys. Rev. Lett. 1997, 78, 1861–1863. [Google Scholar] [CrossRef]
- Choi, K.Y.; Kim, J.E.; Kyae, B. Perspective on completing natural inflation. arXiv, 2015; arXiv:1410.1762[hep-th]. [Google Scholar]
- McAllister, L.; Silverstein, E.; Westphal, A.; Wrase, T. The powers of monodromy. arXiv, 2014; arXiv:1405.3652[hep-th]. [Google Scholar]
- Mirbabayi, M.; Senatore, L.; Silverstein, E.; Zaldarriaga, M. Gravitational waves and the scale of inflation. Phys. Rev. D 2015, 91, 063518. [Google Scholar] [CrossRef]
- Graham, P.W.; Kaplan, D.E.; Rajendran, S. Cosmological relaxation of the electroweak scale. Phys. Rev. Lett. 2015, 115, 221801. [Google Scholar] [CrossRef] [PubMed]
- Choi, K.; Kim, H.; Yun, S. Natural inflation with multiple sub-Planckian axions. Phys. Rev. D 2014, 90, 023545. [Google Scholar] [CrossRef]
- Kaplan, D.E.; Rattazzi, R.A. clockwork axion. Phys. Rev. D 2016, 93, 085007. [Google Scholar] [CrossRef]
- Choi, K.; Im, S.H. Constraints on relaxion windows. J. High Energy Phys. 2016, 2016, 93. [Google Scholar] [CrossRef]
- Flacke, T.; Frugiuele, C.; Fuchs, E.; Gupta, R.S.; Perez, G. Phenomenology of relaxion-Higgs mixing. J. High Energy Phys. 2017, 2017, 1–48. [Google Scholar] [CrossRef]
- Abbott, B.P.; Abbott, R.; Abbott, T.D.; Abernathy, M.R.; Acernese, F.; Ackley, K.; Adams, C.; Adams, T.; Addesso, P.; Adhikari, R.X.; et al. GW150914: Implications for the stochastic gravitational wave background from binary black holes. Phys. Rev. Lett. 2016, 116, 131102. [Google Scholar] [CrossRef] [PubMed]
- Abbott, B.P.; Abbott, R.; Abbott, T.D.; Abernathy, M.R.; Acernese, F.; Ackley, K.; Adams, C.; Adams, T.; Addesso, P.; Adhikari, R.X.; et al. GW151226: Observation of gravitational waves from a 22-Solar-mass binary black hole coalescence. Phys. Rev. Lett. 2016, 116, 241103. [Google Scholar] [CrossRef] [PubMed]
- Abbott, B.P.; Abbott, R.; Abbott, T.D.; Acernese, F.; Ackley, K.; Adams, C.; Adams, T.; Addesso, P.; Adhikari, R.X.; et al. GW170104: Observation of a 50-Solar-mass binary black hole coalescence at redshift 0.2. Phys. Rev. Lett. 2017, 118, 221101. [Google Scholar] [CrossRef] [PubMed]
- Kim, J.E. Gravity wave and model-independent axion. J. Korean Phys. Soc. 2017, 71, 127–129. [Google Scholar] [CrossRef]
- Belavin, A.A.; Polyakov, A.M.; Schwartz, A.S.; Tyupkin, Y.S. Pseudoparticle solutions of the Yang-Mills equations. Phys. Lett. B 1975, 59, 85–87. [Google Scholar] [CrossRef]
- Fukugita, M.; Yanagida, T. Baryogenesis without grand unification. Phys. Lett. B 1986, 174, 45–47. [Google Scholar] [CrossRef]
- Covi, L.; Kim, J.E.; Kyae, B.; Nam, S. Leptogenesis with high-scale electroweak symmetry breaking and an extended Higgs sector. Phys. Rev. D 2016, 94, 065004. [Google Scholar] [CrossRef]
- Kim, J.E.; Seo, M. Parametrization of the CKM matrix. Phys. Rev. D 2011, 84, 037303. [Google Scholar] [CrossRef]
- Kim, J.E. The CKM matrix with maximal CP violation from Z12 symmetry. Phys. Lett. B 2011, 704, 360–366. [Google Scholar] [CrossRef]
- Kim, J.E.; Nam, S. Unifying CP violations of quark and lepton sectors. The Eur. Phys. J. C 2015, 75, 619. [Google Scholar] [CrossRef]
| 1. | With two light quarks, is larger than . |
| 2. | If is much lower than the above bound at the level of GeV, the axion condensation can convert to thermal axions [78]. |
| 3. | For the , the symmetry is better to be exact at tree level or almost exact toward the solution of the strong CP problem with as discussed in Section 3. |
| 4. | If the symmetry breaking is soly by the non-Abelian anomaly, then we obtain . |
© 2017 by the author. Licensee MDPI, Basel, Switzerland. This article is an open access article distributed under the terms and conditions of the Creative Commons Attribution (CC BY) license (http://creativecommons.org/licenses/by/4.0/).








