Squeezed Fermion Back-to-Back Correlation for Expanding Sources
Abstract
1. Introduction
2. Formulas
3. Results
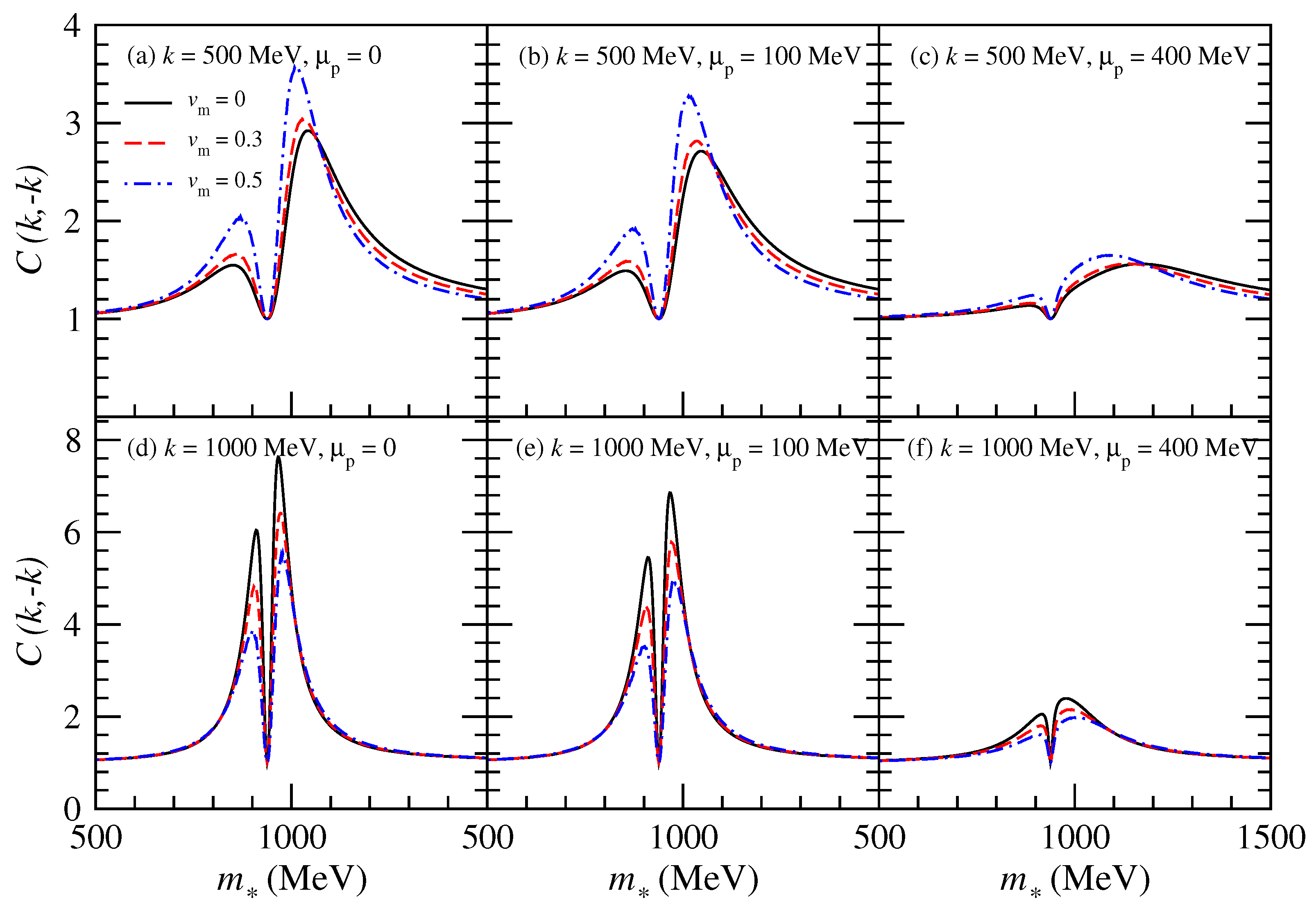
3.1. fBBC of Proton–Antiproton Pairs
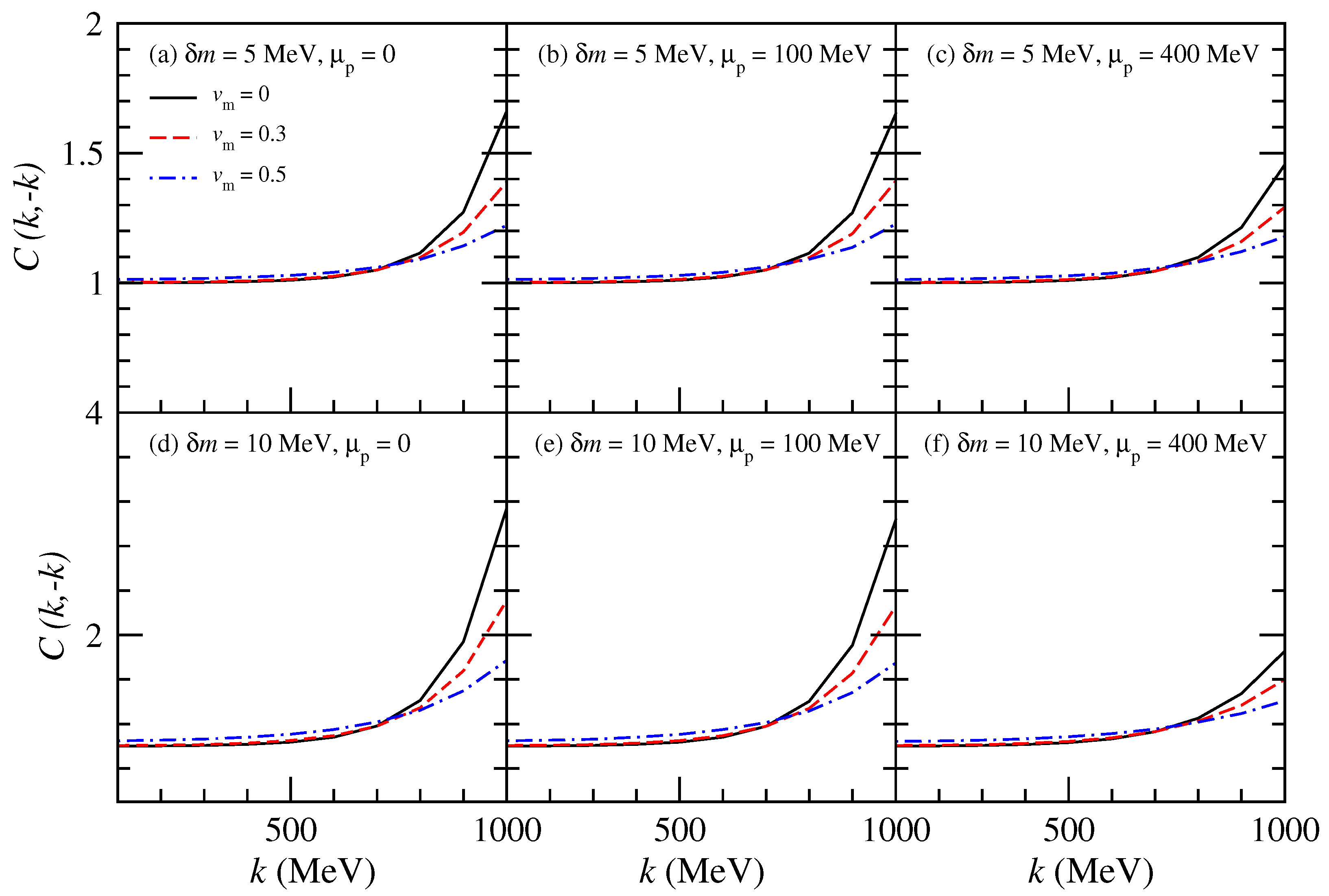
3.2. fBBC of - Pairs
4. Summary and Discussion
Funding
Data Availability Statement
Conflicts of Interest
References
- Asakawa, M.; Csörgő, T.; Gyulassy, M. Squeezed Correlations and Spectra for Mass-Shifted Bosons. Phys. Rev. Lett. 1999, 83, 4013. [Google Scholar] [CrossRef]
- Padula, S.S.; Krein, G.; Csörgő, T.; Hama, Y.; Panda, P.K. Back-to-back correlations for finite expanding fireballs. Phys. Rev. C 2006, 73, 044906. [Google Scholar] [CrossRef]
- Dudek, D.M.; Padula, S.S. Squeezed K+K− correlations in high energy heavy ion collisions. Phys. Rev. C 2010, 82, 034905. [Google Scholar] [CrossRef]
- Padula, S.S.; Socolowski, O., Jr. Searching for squeezed particle-antiparticle correlations in high-energy heavy-ion collisions. Phys. Rev. C 2010, 82, 034908. [Google Scholar] [CrossRef]
- Zhang, Y.; Yang, J.; Zhang, W.N. Squeezed correlations of ϕ meson pairs for hydrodynamic sources in high-energy heavy-ion collisions. Phys. Rev. C 2015, 92, 024906. [Google Scholar] [CrossRef]
- Zhang, Y.; Yang, J.; Zhang, W.N. Relativistic effects on the back-to-back correlation functions of boson-antiboson pairs in high energy heavy ion collisions. Chin. Phys. C 2015, 39, 034103. [Google Scholar] [CrossRef][Green Version]
- Xu, P.Z.; Zhang, W.N.; Zhang, Y. Squeezed back-to-back correlation between bosons and antibosons with different in-medium masses in high-energy heavy-ion collisions. Phys. Rev. C 2019, 99, 011902. [Google Scholar] [CrossRef]
- Panda, P.K.; Csörgő, T.; Hama, Y.; Krein, G.; Padula, S.S. Squeezed fermions at relativistic heavy ion colliders. Phys. Lett. B 2001, 512, 49. [Google Scholar] [CrossRef]
- Soller, H. Where to look for hadronic squeezed correlations at RHIC. Nucl. Phys. A 2020, 1000, 121813. [Google Scholar] [CrossRef]
- Navas, S. et al. [Particle Data Group]. Review of Particle Physics. Phys. Rev. D 2024, 110, 030001. [Google Scholar] [CrossRef]
- Adamczyk, L. et al. [STAR Collaboration]. Bulk properties of the medium produced in relativistic heavy-ion collisions from the beam energy scan program. Phys. Rev. C 2017, 96, 044904. [Google Scholar] [CrossRef]
- Fiolhais, M.; Christov, C.; Neuber, T.; Bergmann, M.; Goeke, K. Neutron-proton mass difference in a baryonic medium and the Nolen-Schiffer anomaly. Phys. Lett. B 1991, 269, 43. [Google Scholar] [CrossRef]
- Meißner, U.-G.; Rakhimov, A.M.; Wirzba, A.; Yakhshiev, U.T. Neutron-proton mass difference in nuclear matter. Eur. Phys. J. A 2007, 31, 357–364. [Google Scholar] [CrossRef][Green Version]
- Meißner, U.-G.; Rakhimov, A.M.; Wirzba, A.; Yakhshiev, U.T. Neutron-proton mass difference in isospin-asymmetric nuclear matter. Eur. Phys. J. A 2007, 32, 299–309. [Google Scholar] [CrossRef]






Disclaimer/Publisher’s Note: The statements, opinions and data contained in all publications are solely those of the individual author(s) and contributor(s) and not of MDPI and/or the editor(s). MDPI and/or the editor(s) disclaim responsibility for any injury to people or property resulting from any ideas, methods, instructions or products referred to in the content. |
© 2025 by the author. Licensee MDPI, Basel, Switzerland. This article is an open access article distributed under the terms and conditions of the Creative Commons Attribution (CC BY) license (https://creativecommons.org/licenses/by/4.0/).
Share and Cite
Zhang, Y. Squeezed Fermion Back-to-Back Correlation for Expanding Sources. Universe 2025, 11, 166. https://doi.org/10.3390/universe11060166
Zhang Y. Squeezed Fermion Back-to-Back Correlation for Expanding Sources. Universe. 2025; 11(6):166. https://doi.org/10.3390/universe11060166
Chicago/Turabian StyleZhang, Yong. 2025. "Squeezed Fermion Back-to-Back Correlation for Expanding Sources" Universe 11, no. 6: 166. https://doi.org/10.3390/universe11060166
APA StyleZhang, Y. (2025). Squeezed Fermion Back-to-Back Correlation for Expanding Sources. Universe, 11(6), 166. https://doi.org/10.3390/universe11060166

