Radial Oscillations of the HESS J1731-347 Compact Object Imposing the Karmarkar Condition
Abstract
1. Introduction
2. Anisotropic Relativistic Stars in Einstein’s Gravity
2.1. Structure Equations for Fluid Spheres
2.2. Anisotropic Stars Imposing the Karmarkar Condition in Gravity
3. Modeling the HESS Compact Object
3.1. Criteria for Realistic Solutions
- Causality, i.e., the speed of sound must be lower than the speed of light in vacuum
- The energy conditions impose certain constraints on the stress-energy tensor of matter within a given theory of gravity. The acceptable conditions assumed for the energy-momentum tensor are as follows: weak energy condition (WEC), dominant energy condition (DEC), null energy condition (NEC), and strong energy condition (SEC), see for instance [88,89,90]. If and are arbitrary time-like and null vectors, respectively, then the conditions for the energy-momentum tensor are expressed with the following inequalities
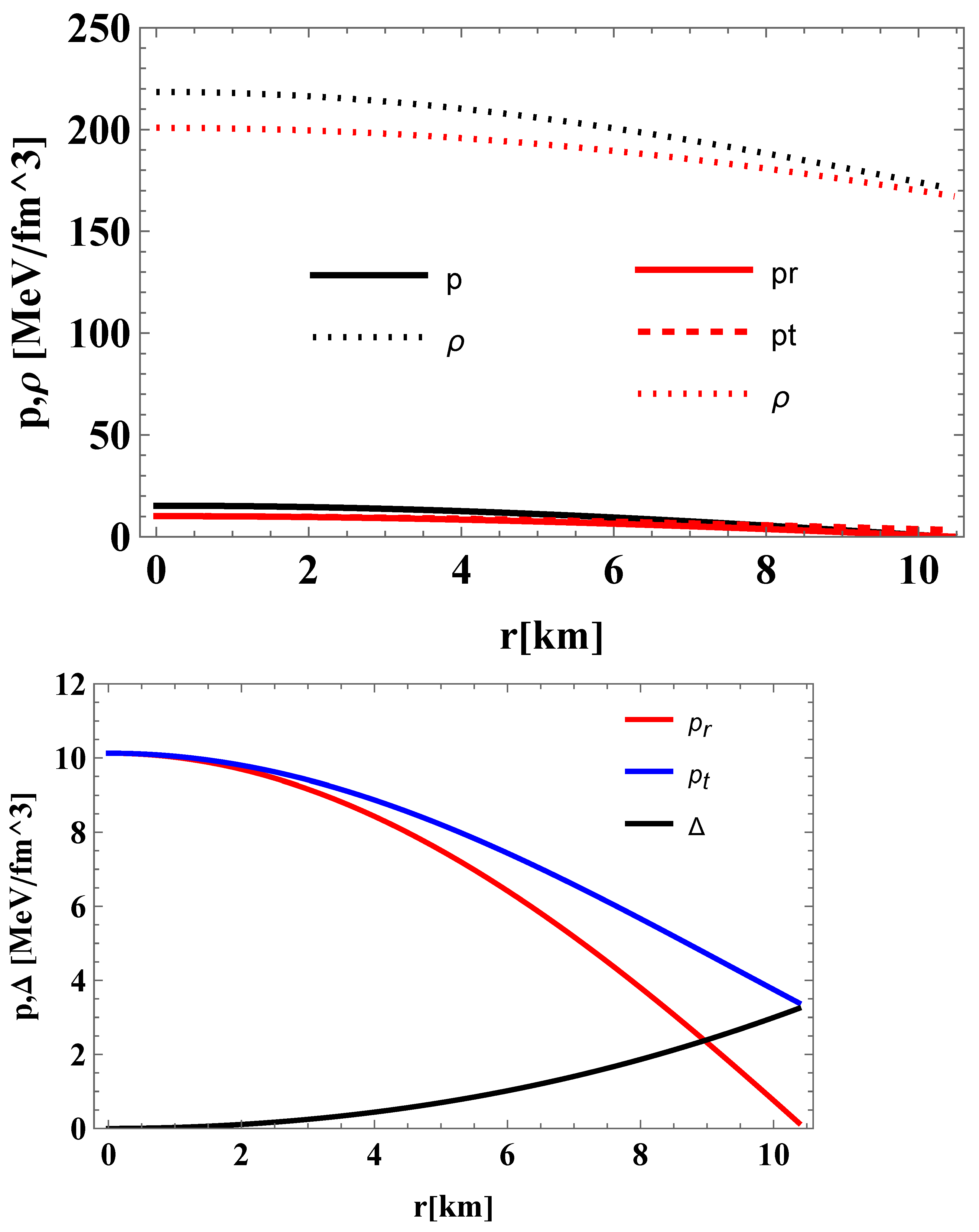
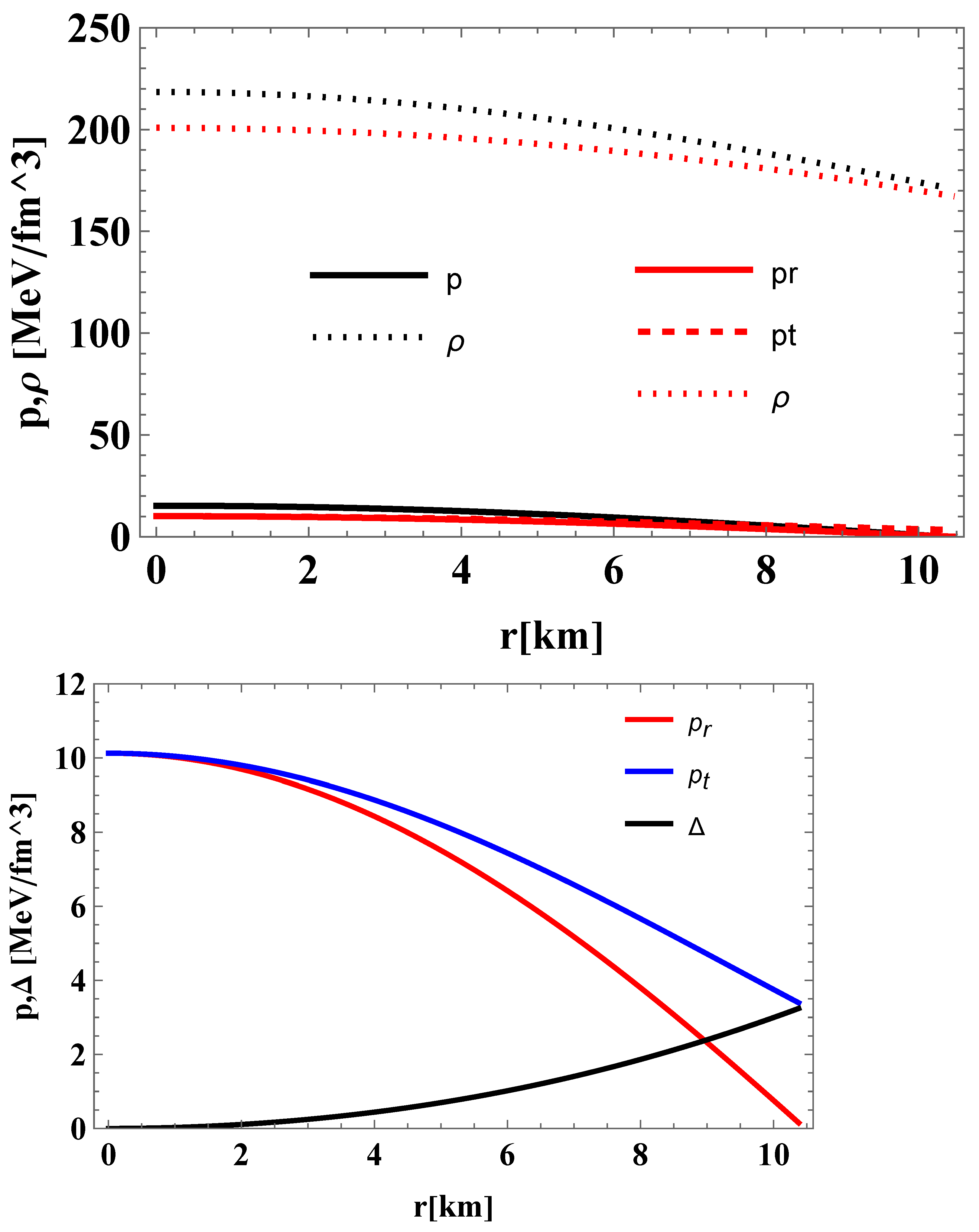
3.2. The HESS J1731-347 Object
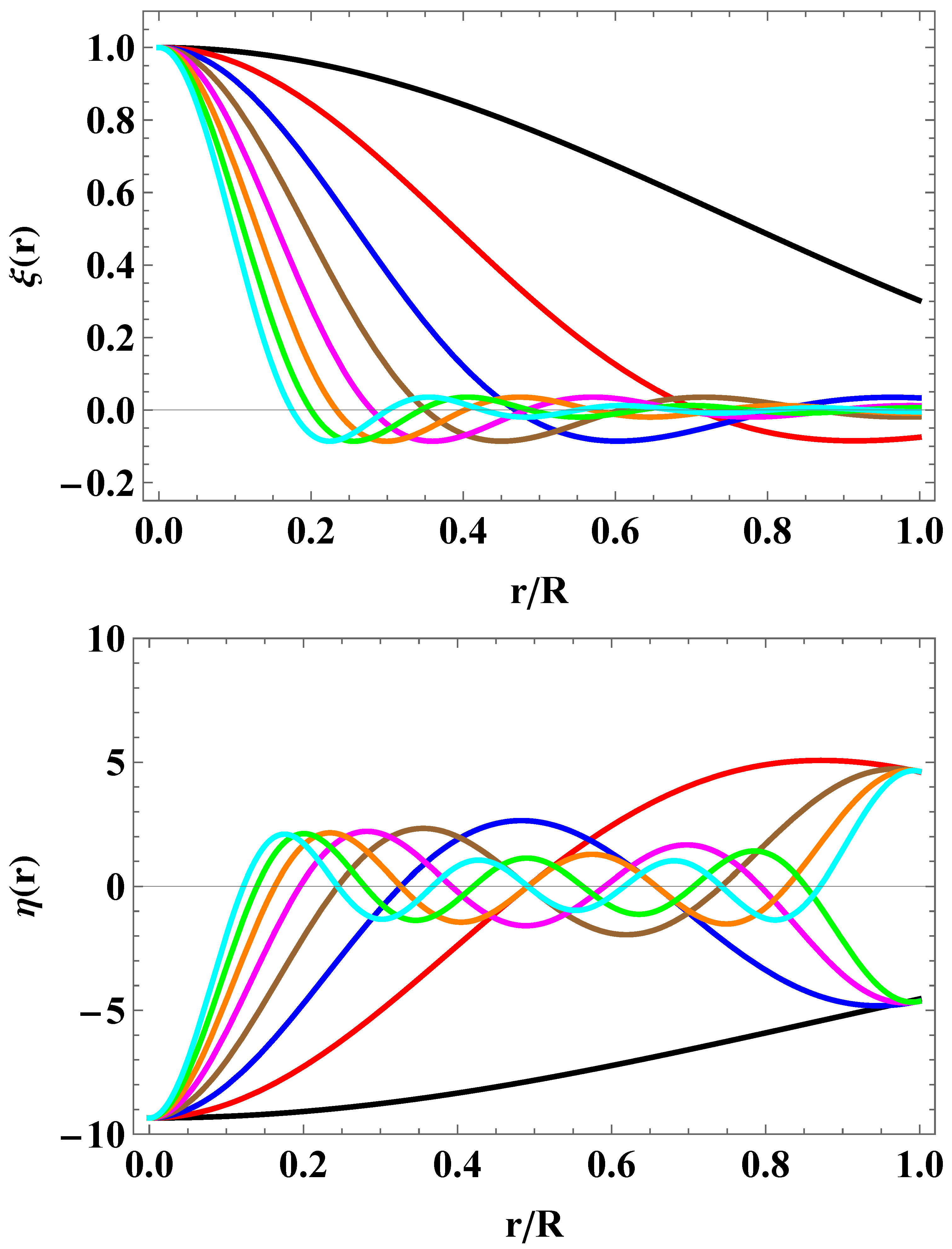
4. Radial Oscillation Modes of Relativistic Stars
4.1. Equations for Perturbations
4.2. Tolman IV Solution
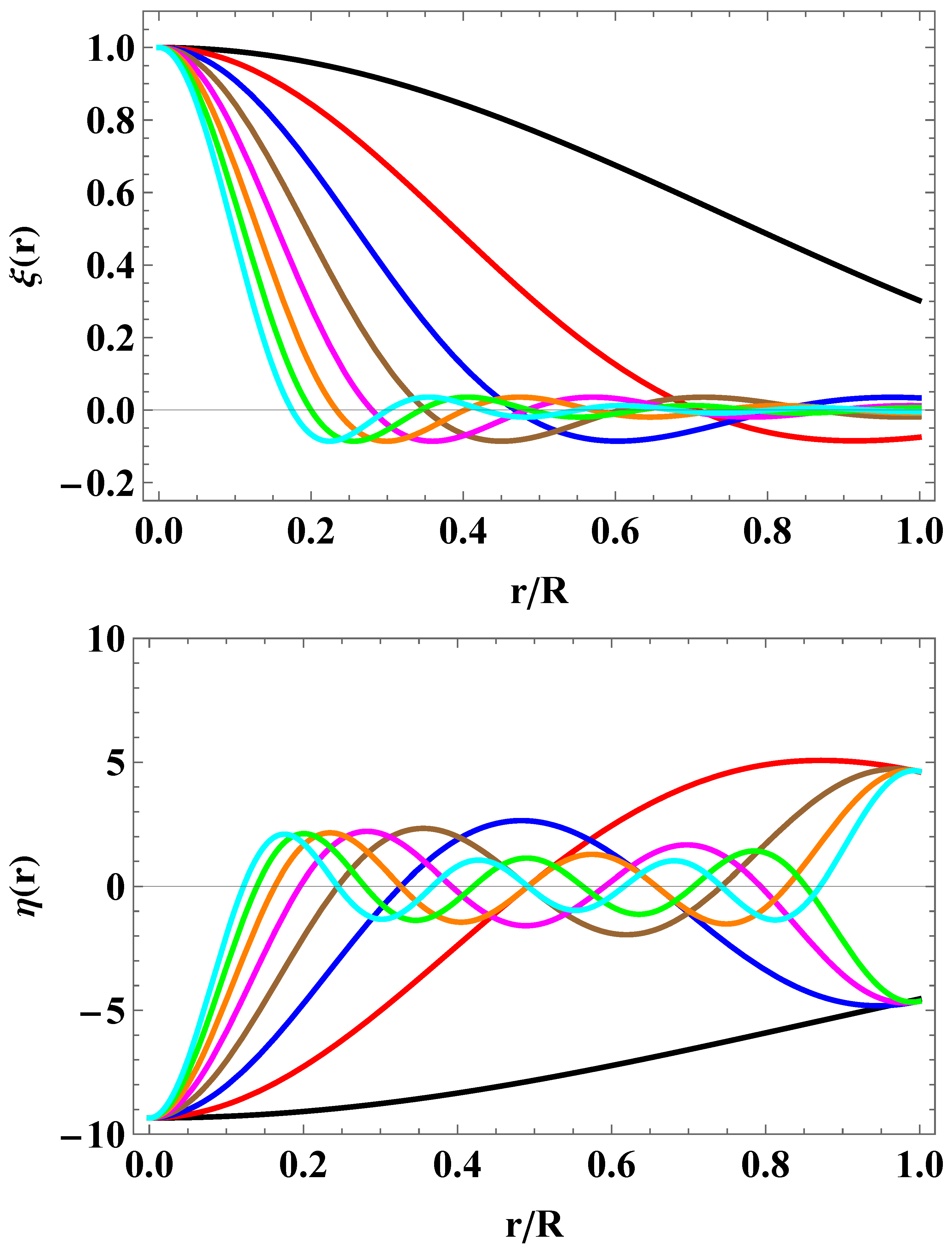
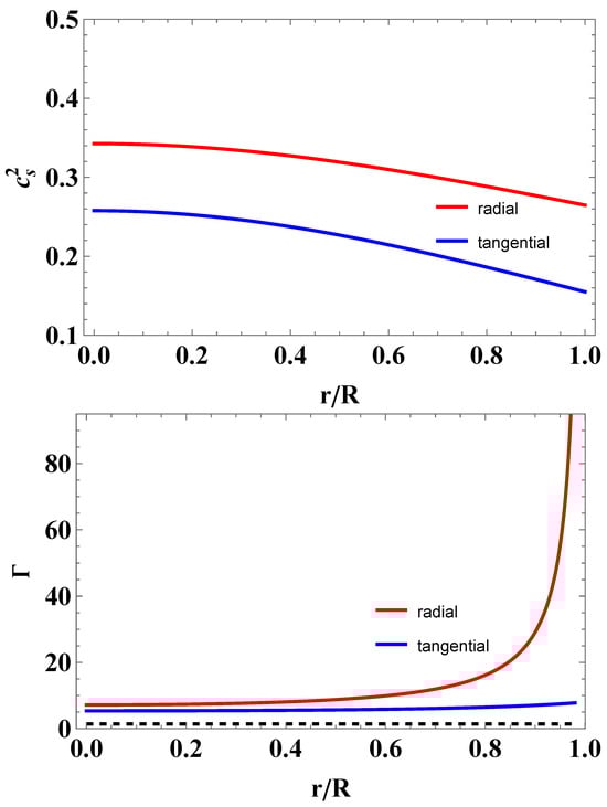
4.3. Discussion of the Results
5. Concluding Remarks
Funding
Data Availability Statement
Acknowledgments
Conflicts of Interest
References
- Einstein, A. The Field Equations of Gravitation. Sitzungsber. Preuss. Akad. Wiss. Berlin Math. Phys. 1915, 1915, 844–847. [Google Scholar]
- Weinberg, S. Gravitation and Cosmology: Principles and Applications of the General Theory of Gravitation; John Wiley and Sons: Hoboken, NJ, USA, 1972. [Google Scholar]
- Meisner, C.W.; Thorne, K.S.; Wheeler, J.A. Gravitation; Princeton University Press: Princeton, NJ, USA, 1973. [Google Scholar]
- Abbott, B.P. et al. [LIGO Scientific and Virgo] Observation of Gravitational Waves from a Binary Black Hole Merger. Phys. Rev. Lett. 2016, 116, 061102. [Google Scholar] [CrossRef]
- Abbott, B.P. et al. [LIGO Scientific and Virgo] GW151226: Observation of Gravitational Waves from a 22-Solar-Mass Binary Black Hole Coalescence. Phys. Rev. Lett. 2016, 116, 241103. [Google Scholar] [CrossRef] [PubMed]
- Abbott, B.P. et al. [LIGO Scientific and VIRGO] GW170104: Observation of a 50-Solar-Mass Binary Black Hole Coalescence at Redshift 0.2. Phys. Rev. Lett. 2017, 118, 221101, Erratum in Phys. Rev. Lett. 2018, 121, 129901. [Google Scholar] [CrossRef]
- Asmodelle, E. Tests of General Relativity: A Review. arXiv 2017, arXiv:1705.04397. [Google Scholar]
- Stephani, H.; Kramer, D.; Maccallum, M.; Hoenselaers, C.; Herlt, E. Exact Solutions of Einstein’s Field Equations; Cambridge University Press: Cambridge, UK, 2003. [Google Scholar]
- Ruderman, R. Pulsars: Structure and dynamics. Ann. Rev. Astron. Astrophys. 1972, 10, 427. [Google Scholar] [CrossRef]
- Bowers, R.L.; Liang, E.P.T. Anisotropic Spheres in General Relativity. Astrophys. J. 1974, 188, 657. [Google Scholar] [CrossRef]
- Sokolov, A.I. Phase transitions in a superfluid neutron liquid. JETP 1980, 79, 1137. [Google Scholar]
- Sawyer, R.F. Condensed π− Phase in Neutron Star Matter. Phys. Rev. Lett. 1972, 29, 823. [Google Scholar] [CrossRef]
- Kippenhahn, R.; Weigert, A. Stellar Structure and Evolution; Springer: Berlin, Germany, 1990. [Google Scholar]
- Ovalle, J. Decoupling gravitational sources in general relativity: From perfect to anisotropic fluids. Phys. Rev. D 2017, 95, 104019. [Google Scholar] [CrossRef]
- Ovalle, J. Searching exact solutions for compact stars in braneworld: A Conjecture. Mod. Phys. Lett. A 2008, 23, 3247–3263. [Google Scholar] [CrossRef]
- Randall, L.; Sundrum, R. A Large mass hierarchy from a small extra dimension. Phys. Rev. Lett. 1999, 83, 3370–3373. [Google Scholar] [CrossRef]
- Randall, L.; Sundrum, R. An Alternative to compactification. Phys. Rev. Lett. 1999, 83, 4690–4693. [Google Scholar] [CrossRef]
- Estrada, M.; Tello-Ortiz, F. A new family of analytical anisotropic solutions by gravitational decoupling. Eur. Phys. J. Plus 2018, 133, 453. [Google Scholar] [CrossRef]
- Morales, E.; Tello-Ortiz, F. Compact Anisotropic Models in General Relativity by Gravitational Decoupling. Eur. Phys. J. C 2018, 78, 841. [Google Scholar] [CrossRef]
- Estrada, M.; Prado, R. The Gravitational decoupling method: The higher dimensional case to find new analytic solutions. Eur. Phys. J. Plus 2019, 134, 168. [Google Scholar] [CrossRef]
- Ovalle, J.; Casadio, R.; Rocha, R.d.; Sotomayor, A.; Stuchlik, Z. Black holes by gravitational decoupling. Eur. Phys. J. C 2018, 78, 960. [Google Scholar] [CrossRef]
- Ovalle, J. Non-uniform Braneworld Stars: An Exact Solution. Int. J. Mod. Phys. D 2009, 18, 837–852. [Google Scholar] [CrossRef]
- Ovalle, J. The Schwarzschild’s Braneworld Solution. Mod. Phys. Lett. A 2010, 25, 3323–3334. [Google Scholar] [CrossRef]
- Casadio, R.; Ovalle, J. Brane-world stars and (microscopic) black holes. Phys. Lett. B 2012, 715, 251–255. [Google Scholar] [CrossRef]
- Casadio, R.; Ovalle, J. Brane-world stars from minimal geometric deformation, and black holes. Gen. Rel. Grav. 2014, 46, 1669. [Google Scholar] [CrossRef]
- Ovalle, J.; Gergely, L.Á.; Casadio, R. Brane-world stars with a solid crust and vacuum exterior. Class. Quant. Grav. 2015, 32, 045015. [Google Scholar] [CrossRef]
- Ovalle, J. Decoupling gravitational sources in general relativity: The extended case. Phys. Lett. B 2019, 788, 213–218. [Google Scholar] [CrossRef]
- Fernandes-Silva, A.; Ferreira-Martins, A.J.; da Rocha, R. Extended quantum portrait of MGD black holes and information entropy. Phys. Lett. B 2019, 791, 323–330. [Google Scholar] [CrossRef]
- Herrera, L. New definition of complexity for self-gravitating fluid distributions: The spherically symmetric, static case. Phys. Rev. D 2018, 97, 044010. [Google Scholar] [CrossRef]
- Abbas, G.; Nazar, H. Complexity factor for static anisotropic self-gravitating source in f(R) gravity. Eur. Phys. J. C 2018, 78, 510. [Google Scholar] [CrossRef]
- Sharif, M.; Butt, I.I. Complexity Factor for Charged Spherical System. Eur. Phys. J. C 2018, 78, 688. [Google Scholar] [CrossRef]
- Abbas, G.; Nazar, H. Complexity Factor For Anisotropic Source in Non-minimal Coupling Metric f(R) Gravity. Eur. Phys. J. C 2018, 78, 957. [Google Scholar] [CrossRef]
- Nazar, H.; Abbas, G. Complexity factor for dynamical spherically symmetric fluid distributions in f(R) gravity. Int. J. Geom. Meth. Mod. Phys. 2019, 16, 1950170. [Google Scholar] [CrossRef]
- Sharif, M.; Majid, A. Complexity factor for static sphere in self-interacting Brans–Dicke gravity. Chin. J. Phys. 2019, 61, 38–46. [Google Scholar] [CrossRef]
- Sharif, M.; Majid, A.; Nasir, M.M.M. Complexity factor for self-gravitating system in modified Gauss–Bonnet gravity. Int. J. Mod. Phys. A 2019, 34, 1950210. [Google Scholar] [CrossRef]
- Khan, S.; Mardan, S.A.; Rehman, M.A. Framework for generalized polytropes with complexity factor. Eur. Phys. J. C 2019, 79, 1037. [Google Scholar] [CrossRef]
- Nazar, H.; Alkhaldi, A.H.; Abbas, G.; Shahzad, M.R. Complexity factor for anisotropic self-gravitating sphere in Rastall gravity. Int. J. Mod. Phys. A 2021, 36, 2150233. [Google Scholar] [CrossRef]
- Arias, C.; Contreras, E.; Fuenmayor, E.; Ramos, A. Anisotropic star models in the context of vanishing complexity. Ann. Phys. 2022, 436, 168671. [Google Scholar] [CrossRef]
- Rincon, A.; Panotopoulos, G.; Lopes, I. Anisotropic Quark Stars with an Interacting Quark Equation of State within the Complexity Factor Formalism. Universe 2023, 9, 72. [Google Scholar] [CrossRef]
- Rincón, Á.; Panotopoulos, G.; Lopes, I. Anisotropic stars made of exotic matter within the complexity factor formalism. Eur. Phys. J. C 2023, 83, 116. [Google Scholar] [CrossRef]
- Karmarkar, K.R. Gravitational metrics of spherical symmetry and class one. Proc. Ind. Acad. Sci. A 1948, 27, 56. [Google Scholar] [CrossRef]
- Maurya, S.K.; Gupta, S.T.T.Y.K.; Rahaman, F. A new exact anisotropic solution of embedding class one. Eur. Phys. J. A 2016, 52, 191. [Google Scholar] [CrossRef]
- Singh, K.N.; Bhar, P.; Pant, N. A new solution of embedding class I representing anisotropic fluid sphere in general relativity. Int. J. Mod. Phys. D 2016, 25, 1650099. [Google Scholar] [CrossRef]
- Bhar, P.; Maurya, S.K.; Gupta, Y.K.; Manna, T. Modelling of anisotropic compact stars of embedding class one. Eur. Phys. J. A 2016, 52, 312. [Google Scholar] [CrossRef]
- Maurya, S.K.; Gupta, Y.K.; Ray, S.; Deb, D. A new model for spherically symmetric charged compact stars of embedding class 1. Eur. Phys. J. C 2017, 77, 45. [Google Scholar] [CrossRef]
- Bhar, P.; Govender, M. Anisotropic charged compact star of embedding class I. Int. J. Mod. Phys. D 2016, 26, 1750053. [Google Scholar] [CrossRef]
- Maurya, S.K.; Maharaj, S.D. Anisotropic fluid spheres of embedding class one using Karmarkar condition. Eur. Phys. J. C 2017, 77, 328. [Google Scholar] [CrossRef]
- Bhar, P.; Singh, K.N.; Manna, T. A new class of relativistic model of compact stars of embedding class I. Int. J. Mod. Phys. D 2017, 26, 1750090. [Google Scholar] [CrossRef]
- Tello-Ortiz, F.; Maurya, S.K.; Errehymy, A.; Singh, K.N.; Daoud, M. Anisotropic relativistic fluid spheres: An embedding class I approach. Eur. Phys. J. C 2019, 79, 885. [Google Scholar] [CrossRef]
- Jasim, M.K.; Maurya, S.K.; Al-Sawaii, A.S.M. A generalised embedding class one static solution describing anisotropic fluid sphere. Astrophys. Space Sci. 2020, 365, 9. [Google Scholar] [CrossRef]
- Baskey, L.; Das, S.; Rahaman, F. An analytical anisotropic compact stellar model of embedding class I. Mod. Phys. Lett. A 2021, 36, 2150028. [Google Scholar] [CrossRef]
- Zubair, M.; Waheed, S.; Javaid, H. A Generic Embedding Class-I Model via Karmarkar Condition in Gravity. Adv. Astron. 2021, 2021, 6685578. [Google Scholar] [CrossRef]
- Demorest, P.; Pennucci, T.; Ransom, S.; Roberts, M.; Hessels, J. Shapiro Delay Measurement of A Two Solar Mass Neutron Star. Nature 2010, 467, 1081–1083. [Google Scholar] [CrossRef]
- Antoniadis, J.; Freire, P.C.C.; Wex, N.; Tauris, T.M.; Lynch, R.S.; van Kerkwijk, M.H.; Kramer, M.; Bassa, C.; Dhillon, V.S.; Driebe, T.; et al. A Massive Pulsar in a Compact Relativistic Binary. Science 2013, 340, 6131. [Google Scholar] [CrossRef]
- Sullivan, A.G.; Romani, R.W. A Joint X-ray and Optical Study of the Massive Redback Pulsar J2215+5135. arXiv 2024, arXiv:2405.13889. [Google Scholar] [CrossRef]
- Weber, F. Strange quark matter and compact stars. Prog. Part. Nucl. Phys. 2005, 54, 193–288. [Google Scholar] [CrossRef]
- Aziz, A.; Ray, S.; Rahaman, F.; Khlopov, M.; Guha, B.K. Constraining values of bag constant for strange star candidates. Int. J. Mod. Phys. D 2019, 28, 1941006. [Google Scholar] [CrossRef]
- Miller, M.C.; Lamb, F.K.; Dittmann, A.J.; Bogdanov, S.; Arzoumanian, Z.; Gendreau, K.C.; Guillot, S.; Ho, W.C.G.; Lattimer, J.M.; Loewenstein, M.; et al. The Radius of PSR J0740+6620 from NICER and XMM-Newton Data. Astrophys. J. Lett. 2021, 918, L28. [Google Scholar] [CrossRef]
- Riley, T.E.; Watts, A.L.; Ray, P.S.; Bogdanov, S.; Guillot, S.; Morsink, S.M.; Bilous, A.V.; Arzoumanian, Z.; Choudhury, D.; Deneva, J.S.; et al. A NICER View of the Massive Pulsar PSR J0740+6620 Informed by Radio Timing and XMM-Newton Spectroscopy. Astrophys. J. Lett. 2021, 918, L27. [Google Scholar] [CrossRef]
- Salmi, T.; Vinciguerra, S.; Choudhury, D.; Riley, T.E.; Watts, A.L.; Remillard, R.A.; Ray, P.S.; Bogdanov, S.; Guillot, S.; Arzoumanian, Z.; et al. The Radius of PSR J0740+6620 from NICER with NICER Background Estimates. Astrophys. J. 2022, 941, 150. [Google Scholar] [CrossRef]
- Doroshenko, V.; Suleimanov, V.; Pühlhofer, G.; Santangelo, A. A strangely light neutron star within a supernova remnant. Nat. Astron. 2022, 6, 1444–1451. [Google Scholar] [CrossRef]
- Sagun, V.; Giangrandi, E.; Dietrich, T.; Ivanytskyi, O.; Negreiros, R.; Providência, C. What Is the Nature of the HESS J1731-347 Compact Object? Astrophys. J. 2023, 958, 49. [Google Scholar] [CrossRef]
- Brillante, A.; Mishustin, I.N. Radial oscillations of neutral and charged hybrid stars. EPL 2014, 105, 39001. [Google Scholar] [CrossRef]
- Kokkotas, K.D.; Ruoff, J. Radial oscillations of relativistic stars. Astron. Astrophys. 2001, 366, 565. [Google Scholar] [CrossRef]
- Miniutti, G.; Pons, J.A.; Berti, E.; Gualtieri, L.; Ferrari, V. Non-radial oscillation modes as a probe of density discontinuities in neutron stars. Mon. Not. Roy. Astron. Soc. 2003, 338, 389. [Google Scholar] [CrossRef]
- Panotopoulos, G.; Lopes, I. Radial oscillations of strange quark stars admixed with condensed dark matter. Phys. Rev. D 2017, 96, 083013. [Google Scholar] [CrossRef]
- Passamonti, A.; Bruni, M.; Gualtieri, L.; Nagar, A.; Sopuerta, C.F. Coupling of radial and axial non-radial oscillations of compact stars: Gravitational waves from first-order differential rotation. Phys. Rev. D 2006, 73, 084010. [Google Scholar] [CrossRef]
- Passamonti, A.; Bruni, M.; Gualtieri, L.; Sopuerta, C.F. Coupling of radial and non-radial oscillations of relativistic stars: Gauge-invariant formalism. Phys. Rev. D 2005, 71, 024022. [Google Scholar] [CrossRef]
- Savonije, G.J. Non-radial oscillations of the rapidly rotating Be star HD 163868. Astron. Astrophys. 2007, 469, 1057. [Google Scholar] [CrossRef]
- Vásquez Flores, C.; Hall, Z.B., II; Jaikumar, P. Nonradial oscillation modes of compact stars with a crust. Phys. Rev. C 2017, 96, 065803. [Google Scholar] [CrossRef]
- Flores, C.V.; Lugones, G. Radial oscillations of color superconducting self-bound quark stars. Phys. Rev. D 2010, 82, 063006. [Google Scholar] [CrossRef]
- Franco, L.M.; Link, B.; Epstein, R.I. Quaking neutron stars. Astrophys. J. 2000, 543, 987. [Google Scholar] [CrossRef]
- Andersson, N.; Jones, D.I.; Kokkotas, K.D.; Stergioulas, N. R mode runaway and rapidly rotating neutron stars. Astrophys. J. Lett. 2000, 534, L75. [Google Scholar] [CrossRef]
- Tsang, D.; Read, J.S.; Hinderer, T.; Piro, A.L.; Bondarescu, R. Resonant Shattering of Neutron Star Crusts. Phys. Rev. Lett. 2012, 108, 011102. [Google Scholar] [CrossRef]
- Chirenti, C.; Gold, R.; Miller, M.C. Gravitational waves from f-modes excited by the inspiral of highly eccentric neutron star binaries. Astrophys. J. 2017, 837, 67. [Google Scholar] [CrossRef]
- Michel, E.; Baglin, A.; Auvergne, M.; Catala, C.; Samadi, R. CoRoT measures solar-like oscillations and granulation in stars hotter than the Sun. Science 2008, 322, 558–560. [Google Scholar] [CrossRef] [PubMed]
- Mosser, B.; Belkacem, K.; Goupil, M.J.; Miglio, A.; Morel, T.; Barban, C.; Baudin, F.; Hekker, S.; Samadi, R.; Ridder, J.D.; et al. Red-giant seismic properties analyzed with CoRoT. Astron. Astrophys. 2010, 517, A22. [Google Scholar] [CrossRef]
- Mosser, B.; Belkacem, K.; Goupil, M.J.; Michel, E.; Elsworth, Y.; Barban, C.; Kallinger, T.; Hekker, S.; DeRidder, J.; Samadi, R.; et al. The universal red-giant oscillation pattern: An automated determination with CoRoT data. Astron. Astrophys. 2011, 525, L9. [Google Scholar] [CrossRef]
- Bischoff-Kim, A.; Østensen, R.H. Asteroseismology of the Kepler field DBV White Dwarf—It’s a hot one! Astrophys. J. Lett. 2011, 742, L16. [Google Scholar] [CrossRef]
- Evans, M.; Adhikari, R.X.; Afle, C.; Ballmer, S.W.; Biscoveanu, S.; Borhanian, S.; Brown, D.A.; Chen, Y.; Eisenstein, R.; Gruson, A.; et al. A Horizon Study for Cosmic Explorer: Science, Observatories, and Community. arXiv 2021, arXiv:2109.09882. [Google Scholar]
- Punturo, M.; Abernathy, M.; Acernese, F.; Allen, B.; Andersson, N.; Arun, K.; Barone, F.; Barr, B.; Barsuglia, M.; Beker, M.; et al. The Einstein Telescope: A third-generation gravitational wave observatory. Class. Quant. Grav. 2010, 27, 194002. [Google Scholar] [CrossRef]
- Ovalle, J.; Linares, F. Tolman IV solution in the Randall-Sundrum Braneworld. Phys. Rev. D 2013, 88, 104026. [Google Scholar] [CrossRef]
- Tolman, R.C. Static solutions of Einstein’s field equations for spheres of fluid. Phys. Rev. 1939, 55, 364–373. [Google Scholar] [CrossRef]
- Oppenheimer, J.R.; Volkoff, G.M. On massive neutron cores. Phys. Rev. 1939, 55, 374–381. [Google Scholar] [CrossRef]
- Schwarzschild, K. On the gravitational field of a mass point according to Einstein’s theory. Sitzungsber. Preuss. Akad. Wiss. Berlin Math. Phys. 1916, 1916, 189–196. [Google Scholar]
- Barua, J.; Krori, K.D. A singularity-free solution for a charged fluid sphere in general relativity. J. Phys. A 1975, 8, 508. [Google Scholar]
- Moustakidis, C.C. The stability of relativistic stars and the role of the adiabatic index. Gen. Rel. Grav. 2017, 49, 68. [Google Scholar] [CrossRef]
- Hawking, S.W.; Ellis, G.F.R. The Large Scale Structure of Space-Time; Cambridge University Press: Chicago, UK, 2023. [Google Scholar]
- Wald, R.M. General Relativity; Chicago University Press: Chicago, IL, USA, 1984. [Google Scholar]
- Frolov, V.P.; Novikov, I.D. Black Hole Physics: Basic Concepts and New Developments; Springer: Berlin, Germany, 1998. [Google Scholar]
- Panotopoulos, G.; Vernieri, D.; Lopes, I. Quark stars with isotropic matter in Hořava gravity and Einstein–æther theory. Eur. Phys. J. C 2020, 80, 537. [Google Scholar] [CrossRef]
- Balart, L.; Panotopoulos, G.; Rincón, Á. Regular Charged Black Holes, Energy Conditions, and Quasinormal Modes. Fortsch. Phys. 2023, 71, 2300075. [Google Scholar] [CrossRef]
- Gondek-Rosinska, D.; Limousin, F. The final phase of inspiral of strange quark star binaries. arXiv 2008, arXiv:0801.4829. [Google Scholar]
- Drago, A.; Lavagno, A.; Pagliara, G. Can very compact and very massive neutron stars both exist? Phys. Rev. D 2014, 89, 043014. [Google Scholar] [CrossRef]
- Drago, A.; Lavagno, A.; Pagliara, G.; Pigato, D. The scenario of two families of compact stars: 1. Equations of state, mass-radius relations and binary systems. Eur. Phys. J. A 2016, 52, 40. [Google Scholar] [CrossRef]
- Drago, A.; Pagliara, G. The scenario of two families of compact stars: 2. Transition from hadronic to quark matter and explosive phenomena. Eur. Phys. J. A 2016, 52, 41. [Google Scholar] [CrossRef]
- Chanmugan, G. Radial oscillations of zero-temperature white dwarfs and neutron stars below nuclear densities. ApJ 1977, 217, 799. [Google Scholar] [CrossRef]
- Väth, H.M.; Chanmugan, G. Radial oscillations of neutron stars and strange stars. Astron. Astrophys. 1992, 260, 250. [Google Scholar]
- Arbañil, J.D.V.; Panotopoulos, G. Tidal deformability and radial oscillations of anisotropic polytropic spheres. Phys. Rev. D 2022, 105, 024008. [Google Scholar] [CrossRef]
- Tassoul, M. Asymptotic approximations for stellar nonradial pulsations. ApJS 1980, 43, 469. [Google Scholar] [CrossRef]
- Chaplin, W.J.; Miglio, A. Asteroseismology of Solar-Type and Red-Giant Stars. Ann. Rev. Astron. Astrophys. 2013, 51, 353. [Google Scholar] [CrossRef]
- Capelo, D.; Lopes, I. The impact of composition choices on solar evolution: Age, helio- and asteroseismology, and neutrinos. Mon. Not. Roy. Astron. Soc. 2020, 498, 1992–2000. [Google Scholar] [CrossRef]
- Panotopoulos, G. Stellar Modeling via the Tolman IV Solution: The Cases of the Massive Pulsar J0740+6620 and the HESS J1731-347 Compact Object. Universe 2024, 10, 342. [Google Scholar] [CrossRef]
- Raaijmakers, G.; Greif, S.K.; Hebeler, K.; Hinderer, T.; Nissanke, S.; Schwenk, A.; Riley, T.E.; Watts, A.L.; Lattimer, J.M.; Ho, W.C.G. Constraints on the Dense Matter Equation of State and Neutron Star Properties from NICER’s Mass–Radius Estimate of PSR J0740+6620 and Multimessenger Observations. Astrophys. J. Lett. 2021, 918, L29. [Google Scholar] [CrossRef]
- Pang, P.T.H.; Tews, I.; Coughlin, M.W.; Bulla, M.; Broeck, C.V.D.; Dietrich, T. Nuclear Physics Multimessenger Astrophysics Constraints on the Neutron Star Equation of State: Adding NICER’s PSR J0740+6620 Measurement. Astrophys. J. 2021, 922, 14. [Google Scholar] [CrossRef]
- Ascenzi, S.; Graber, V.; Rea, N. Neutron-star measurements in the multi-messenger Era. Astropart. Phys. 2024, 158, 102935. [Google Scholar] [CrossRef]







| Mode Order n | Isotropic Star | Anisotropic Star |
|---|---|---|
| 0 | 4.48 | 5.81 |
| 1 | 10.27 | 12.62 |
| 2 | 15.76 | 19.20 |
| 3 | 21.17 | 25.72 |
| 4 | 26.55 | 32.22 |
| 5 | 31.93 | 38.72 |
| 6 | 37.29 | 45.20 |
| 7 | 42.65 | 51.68 |
Disclaimer/Publisher’s Note: The statements, opinions and data contained in all publications are solely those of the individual author(s) and contributor(s) and not of MDPI and/or the editor(s). MDPI and/or the editor(s) disclaim responsibility for any injury to people or property resulting from any ideas, methods, instructions or products referred to in the content. |
© 2025 by the author. Licensee MDPI, Basel, Switzerland. This article is an open access article distributed under the terms and conditions of the Creative Commons Attribution (CC BY) license (https://creativecommons.org/licenses/by/4.0/).
Share and Cite
Panotopoulos, G. Radial Oscillations of the HESS J1731-347 Compact Object Imposing the Karmarkar Condition. Universe 2025, 11, 146. https://doi.org/10.3390/universe11050146
Panotopoulos G. Radial Oscillations of the HESS J1731-347 Compact Object Imposing the Karmarkar Condition. Universe. 2025; 11(5):146. https://doi.org/10.3390/universe11050146
Chicago/Turabian StylePanotopoulos, Grigoris. 2025. "Radial Oscillations of the HESS J1731-347 Compact Object Imposing the Karmarkar Condition" Universe 11, no. 5: 146. https://doi.org/10.3390/universe11050146
APA StylePanotopoulos, G. (2025). Radial Oscillations of the HESS J1731-347 Compact Object Imposing the Karmarkar Condition. Universe, 11(5), 146. https://doi.org/10.3390/universe11050146

