Random Asymmetric Jets Driven by Black-Hole Hyperaccretion in Gamma-Ray Bursts
Abstract
1. Introduction
2. Model
3. Results
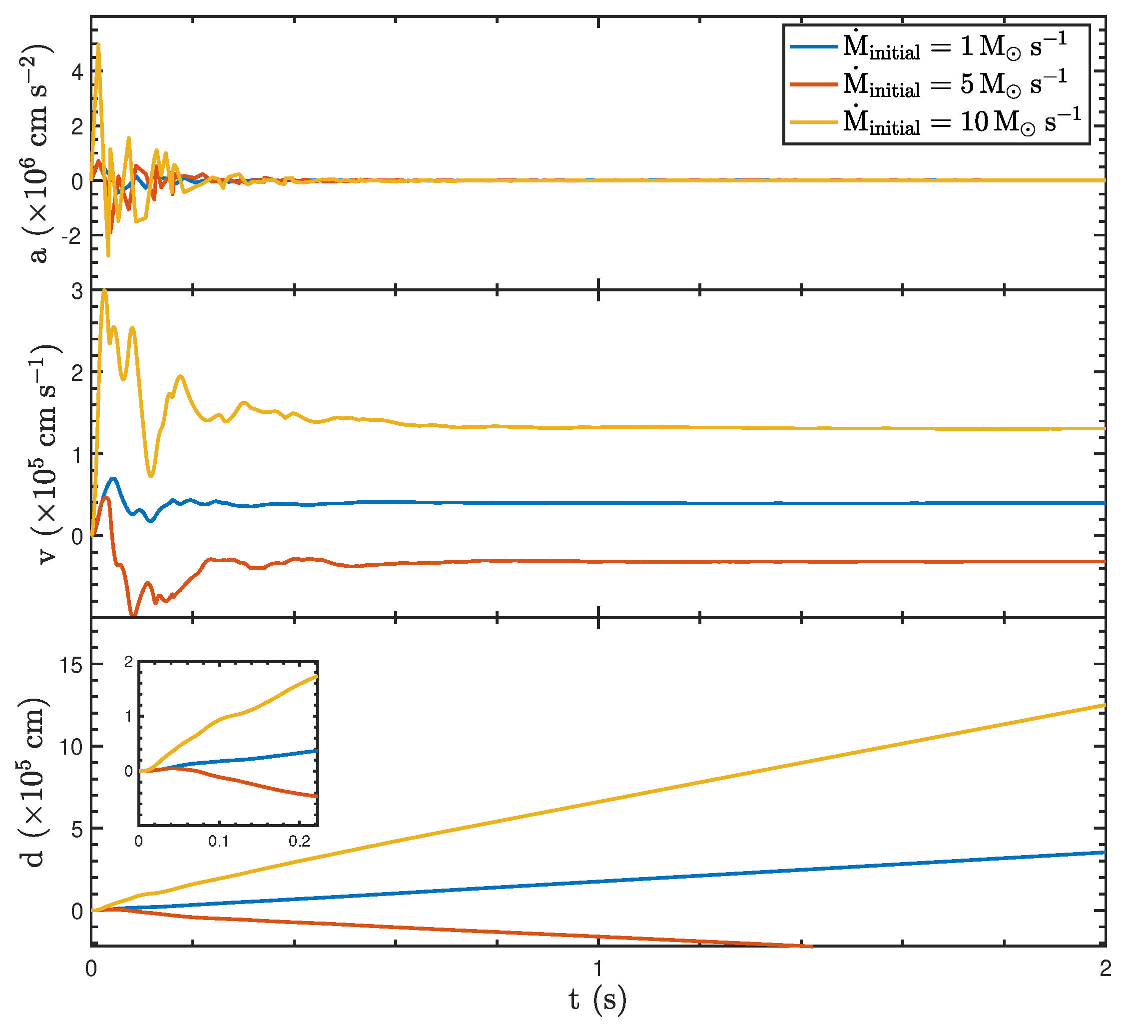
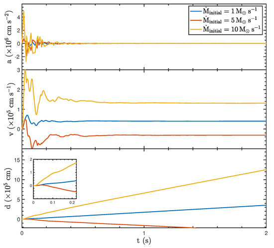
3.1. The Effect of Initial Mass Accretion Rates
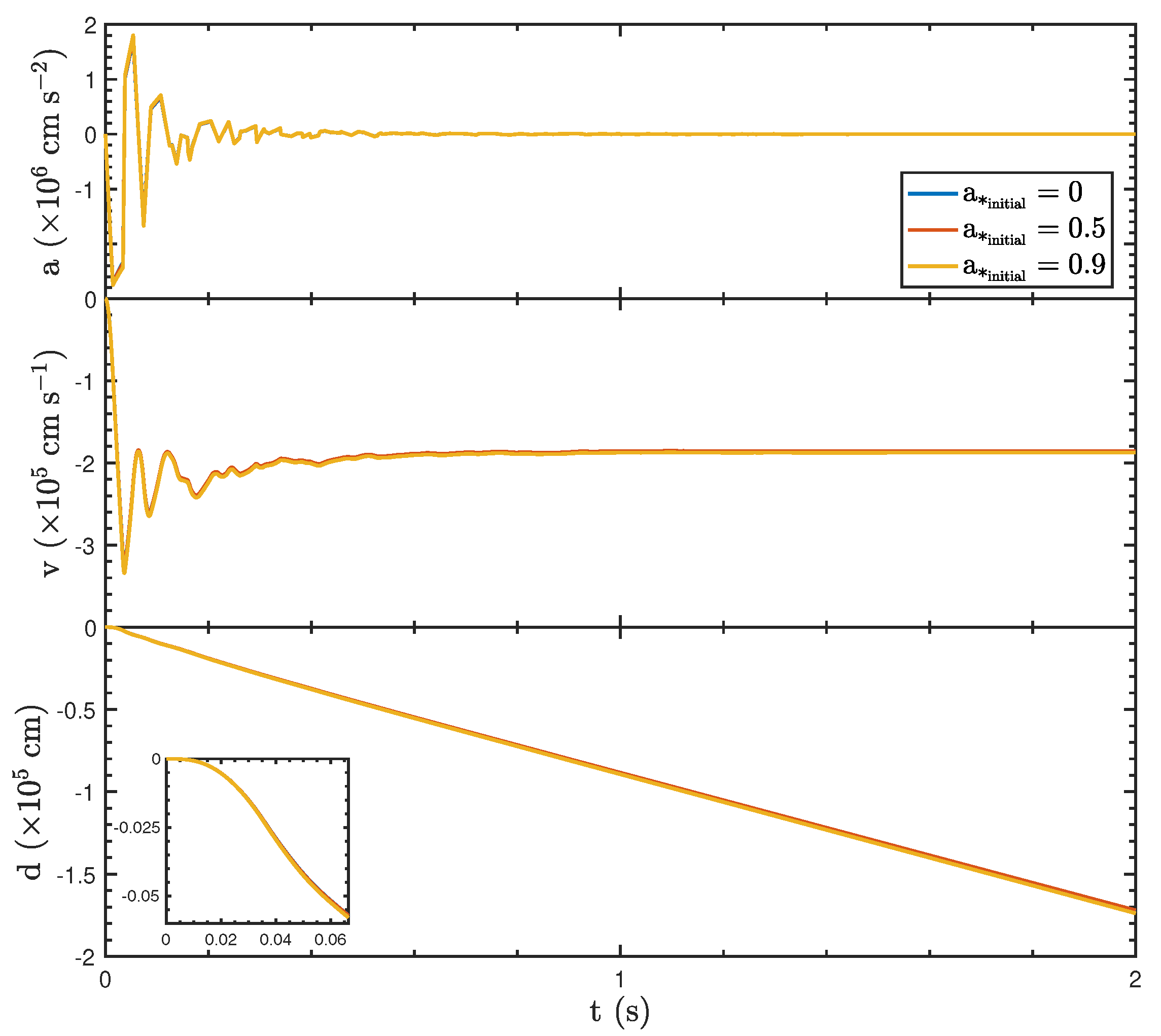
3.2. The Effect of Initial Spins
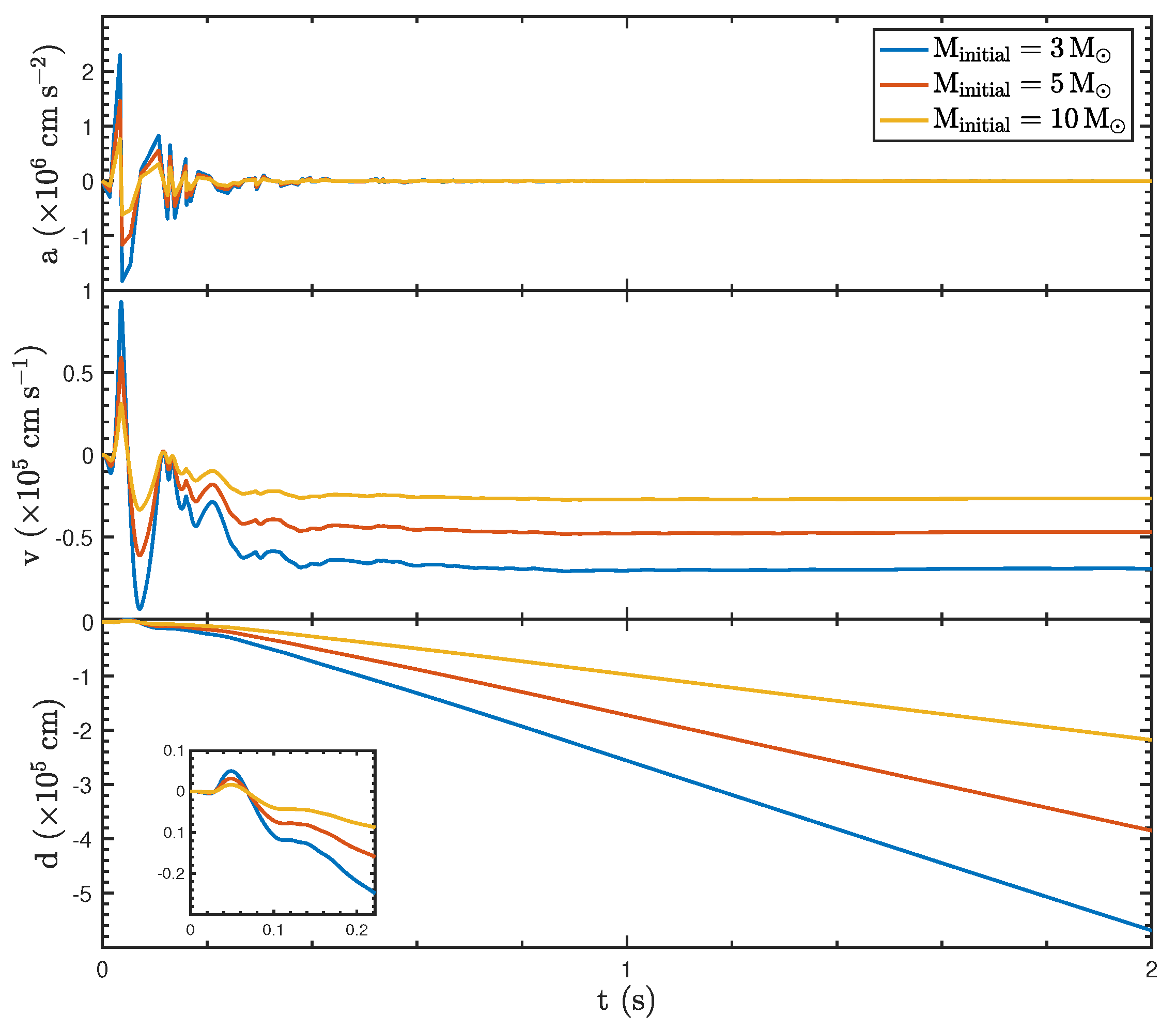
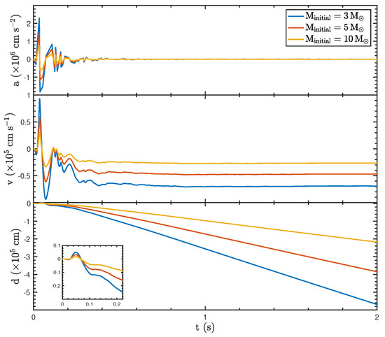
3.3. The Effect of Initial Mass of the BH
3.4. GW Production in BH Hyperaccretion System with Asymmetric Jets
4. Summary and Conclusions
Author Contributions
Funding
Data Availability Statement
Acknowledgments
Conflicts of Interest
References
- Abbott, B.P.; Abbott, R.; Abbott, T.D.; Acernese, F.; Ackley, K.; Adams, C.; Adams, T.; Addesso, P.; Adhikari, R.X.; Adya, V.B.; et al. Gravitational Waves and Gamma-Rays from a Binary Neutron Star Merger: GW170817 and GRB 170817A. Astrophys. J. Lett. 2017, 848, L13. [Google Scholar] [CrossRef]
 - MacFadyen, A.I.; Woosley, S.E. Collapsars: Gamma-Ray Bursts and Explosions in “Failed Supernovae”. Astrophys. J. 1999, 524, 262. [Google Scholar] [CrossRef]
 - Arcavi, I.; Hosseinzadeh, G.; Howell, D.A.; McCully, C.; Poznanski, D.; Kasen, D.; Barnes, J.; Zaltzman, M.; Vasylyev, S.; Maoz, D.; et al. Optical Emission from a Kilonova Following a Gravitational-Wave-Detected Neutron Star Merger. Nature 2017, 551, 64–66. [Google Scholar] [CrossRef]
 - Coulter, D.A.; Foley, R.J.; Kilpatrick, C.D.; Drout, M.R.; Piro, A.L.; Shappee, B.J.; Siebert, M.R.; Simon, J.D.; Ulloa, N.; Kasen, D.; et al. Swope Supernova Survey 2017a (SSS17a), the Optical Counterpart to a Gravitational Wave Source. Science 2017, 358, 1556–1558. [Google Scholar] [CrossRef]
 - Metzger, B.D. Kilonovae. Living Rev. Relativ. 2017, 20, 3. [Google Scholar] [CrossRef] [PubMed]
 - Zhang, B. The Physics of Gamma-Ray Bursts; Cambridge University Press: Cambridge, UK, 2018; ISBN 978-1-139-22653-0. [Google Scholar] [CrossRef]
 - Blandford, R.D.; Znajek, R.L. Electromagnetic Extraction of Energy from Kerr Black Holes. Mon. Not. R. Astron. Soc. 1977, 179, 433–456. [Google Scholar] [CrossRef]
 - Popham, R.; Woosley, S.E.; Fryer, C. Hypernovae and Gamma-ray Bursts. Astrophys. J. 1999, 518, 356. [Google Scholar] [CrossRef]
 - Liu, T.; Gu, W.-M.; Xue, L.; Lu, J.-F. Structure and Luminosity of Neutrino-cooled Accretion Disks. Astrophys. J. 2007, 661, 1025. [Google Scholar] [CrossRef]
 - Kato, S.; Fukue, J.; Mineshige, S. Black Hole Accretion Disks: Towards a New Paradigm; Kyoto University Press: Kyoto, Japan, 2008. [Google Scholar]
 - Liu, T.; Gu, W.-M.; Zhang, B. Neutrino-Dominated Accretion Flows as the Central Engine of Gamma-Ray Bursts. New Astron. Rev. 2017, 79, 1–25. [Google Scholar] [CrossRef]
 - Fishman, G.J.; Meegan, C.A. Gamma-Ray Bursts. Annu. Rev. Astron. Astrophys. 1995, 33, 415–458. [Google Scholar] [CrossRef]
 - Zhang, B.; Yan, H. The Internal-collision-induced Magnetic Reconnection and Turbulence (ICMART) Model of Gamma-ray Bursts. Astrophys. J. 2011, 726, 90. [Google Scholar] [CrossRef]
 - Kobayashi, S.; Piran, T.; Sari, R. Can Internal Shocks Produce the Variability in Gamma-Ray Bursts? Astrophys. J. 1997, 490, 92. [Google Scholar] [CrossRef]
 - Fryer, C.L.; New, K.C.B. Gravitational Waves from Gravitational Collapse. Living Rev. Relativ. 2003, 6, 2. [Google Scholar] [CrossRef]
 - Kotake, K.; Sato, K.; Takahashi, K. Explosion Mechanisms, Neutrino Bursts, and Gravitational Waves in Core-Collapse Supernovae. Rep. Prog. Phys. 2006, 69, 971. [Google Scholar] [CrossRef]
 - Ott, C.D. The Gravitational Wave Signature of Core-collapse Supernovae. Class. Quantum Gravity 2009, 26, 063001. [Google Scholar] [CrossRef]
 - Abbott, B.P.; Abbott, R.; Abbott, T.D.; Abernathy, M.R.; Acernese, F.; Ackley, K.; Adams, C.; Adams, T.; Addesso, P.; Adhikari, R.X.; et al. Observation of Gravitational Waves from a Binary Black Hole Merger. Phys. Rev. Lett. 2016, 116, 061102. [Google Scholar] [CrossRef] [PubMed]
 - Abbott, B.P.; Abbott, R.; Abbott, T.D.; Acernese, F.; Ackley, K.; Adams, C.; Adams, T.; Addesso, P.; Adhikari, R.X.; Adya, V.B.; et al. GW170817: Observation of Gravitational Waves from a Binary Neutron Star Inspiral. Phys. Rev. Lett. 2017, 119, 161101. [Google Scholar] [CrossRef]
 - Segalis, E.B.; Ori, A. Emission of Gravitational Radiation from Ultrarelativistic Sources. Phys. Rev. D 2001, 64, 064018. [Google Scholar] [CrossRef]
 - Piran, T. Gravitational Radiation from Gamma-Ray Bursts. arXiv 2001, arXiv:astro-ph/0102315. [Google Scholar] [CrossRef]
 - Piran, T. Gamma-Ray Bursts-A Primer for Relativists. Gen. Relativ. Gravit. 2002, 34, 259–275. [Google Scholar] [CrossRef]
 - Sago, N.; Ioka, K.; Nakamura, T.; Yamazaki, R. Gravitational Wave Memory of Gamma-Ray Burst Jets. Phys. Rev. D 2004, 70, 104012. [Google Scholar] [CrossRef]
 - Du, S.; Li, X.-D.; Hu, Y.-M.; Peng, F.-K.; Li, M. Gravitational Waves Induced by the Asymmetric Jets of Gamma-ray Bursts. Mon. Not. R. Astron. Soc. 2018, 480, 402–406. [Google Scholar] [CrossRef]
 - Kumar, P.; Narayan, R.; Johnson, J.L. Mass Fall-Back and Accretion in the Central Engine of Gamma-Ray Bursts. Mon. Not. R. Astron. Soc. 2008, 388, 1729–1742. [Google Scholar] [CrossRef]
 - Hou, S.-J.; Liu, T.; Gu, W.-M.; Lin, D.-B.; Sun, M.-Y.; Wu, X.-F.; Lu, J.-F. Time Evolution of Flares in GRB 130925A: Jet Precession in a Black Hole Accretion System. Astrophys. J. 2014, 781, L19. [Google Scholar] [CrossRef]
 - Creighton, J.; Anderson, W. Gravitational-Wave Physics and Astronomy: An Introduction to Theory, Experiment, and Data Analysis; Wiley Series on Cosmology; Wiley-VCH: Weinheim, Germany, 2011; ISBN 978-3527408863. [Google Scholar]
 - Acernese, F.; Agathos, M.; Agatsuma, K.; Aisa, D.; Allemandou, N.; Allocca, A.; Amarni, J.; Astone, P.; Balestri, G.; Ballardin, G.; et al. Advanced Virgo: A Second-Generation Gravitational-Wave Detector. Class. Quantum Gravity 2014, 32, 024001. [Google Scholar] [CrossRef]
 - Akutsu, T.; Ando, M.; Arai, K.; Arai, Y.; Araki, S.; Araya, A.; Aritomi, N.; Aso, Y.; Bae, S.; Bae, Y.; et al. Overview of KAGRA: Detector Design and Construction History. Prog. Theor. Exp. Phys. 2021, 2021, 05A101. [Google Scholar] [CrossRef]
 - Hild, S.; Abernathy, M.; Acernese, F.E.; Amaro-Seoane, P.; Andersson, N.; Arun, K.; Barone, F.; Barr, B.; Barsuglia, M.; Beker, M.; et al. Sensitivity Studies for Third-Generation Gravitational Wave Observatories. Class. Quantum Gravity 2011, 28, 094013. [Google Scholar] [CrossRef]
 




Disclaimer/Publisher’s Note: The statements, opinions and data contained in all publications are solely those of the individual author(s) and contributor(s) and not of MDPI and/or the editor(s). MDPI and/or the editor(s) disclaim responsibility for any injury to people or property resulting from any ideas, methods, instructions or products referred to in the content.  | 
© 2025 by the authors. Licensee MDPI, Basel, Switzerland. This article is an open access article distributed under the terms and conditions of the Creative Commons Attribution (CC BY) license (https://creativecommons.org/licenses/by/4.0/).
Share and Cite
Yang, Z.-O.; Qi, Y.-Q.; Liu, T. Random Asymmetric Jets Driven by Black-Hole Hyperaccretion in Gamma-Ray Bursts. Universe 2025, 11, 43. https://doi.org/10.3390/universe11020043
Yang Z-O, Qi Y-Q, Liu T. Random Asymmetric Jets Driven by Black-Hole Hyperaccretion in Gamma-Ray Bursts. Universe. 2025; 11(2):43. https://doi.org/10.3390/universe11020043
Chicago/Turabian StyleYang, Zi-Ou, Yan-Qing Qi, and Tong Liu. 2025. "Random Asymmetric Jets Driven by Black-Hole Hyperaccretion in Gamma-Ray Bursts" Universe 11, no. 2: 43. https://doi.org/10.3390/universe11020043
APA StyleYang, Z.-O., Qi, Y.-Q., & Liu, T. (2025). Random Asymmetric Jets Driven by Black-Hole Hyperaccretion in Gamma-Ray Bursts. Universe, 11(2), 43. https://doi.org/10.3390/universe11020043
        
