Probing Jet Compositions with Extreme Mass Ratio Binary Black Holes
Abstract
1. Introduction
2. Jet Composition and Radiation Mechanism
2.1. Jet Composition
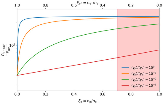
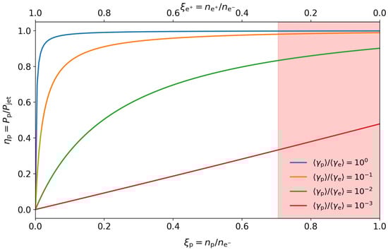
- Baryonic Jet: A baryonic jet’s mass is dominated by its baryonic (hadronic) component: protons and/or heavier nuclei. For example, the shaded region in Figure 3 indicates a case when the barynoic component contributes of the total mass, and a representative baryonic jet. A commonly adopted pure electron–proton jet with belongs to this model. In a baryonic jet, although the mass is predominantly composed of baryonic matter, the energy content may not be similarly dominated. This occurs when leptons have significantly higher energy , as illustrated in Figure 3. The efficient acceleration of the jet’s hadronic components is crucial for generating ultra-high-energy cosmic rays (UHECR) [38] and UHE neutrinos [39]. Neutrino-producing blazars (such as TXS 0506+056 [40,41]) offer corroborative evidence of a hadronic component in the jet.
- Hybrid Jet: A hybrid lepton–hadronic jet has a mass composition between a pure pair-dominated/leptonic jet and a hadronic jet, encompassing the most general jet composition, which includes electrons, positrons, and baryons. Multifrequency and multi-messenger modeling efforts for the analysis of blazar observations usually include all these components [18].
2.2. Leptonic Interactions and Associated Radiative Processes
2.3. Hadronic Interactions and Associated Radiative and Particle Processes
3. EMRB as a Probe to Jet Composition
3.1. Orbital Parameter Space
3.2. Modeling Multi-Frequency Emissions of the Miniquasar Jet
3.2.1. Leptonic Emission
3.2.2. Hadronic Emission
3.2.3. Estimation of Emission Efficiency and Multi-Frequency Emission Ratio
3.3. Two-Stage Accretion and Jet Power
3.4. Multi-Frequency Light Curves as Diagnostic for Jet Composition
4. Summary and Final Remarks
- The period of the EMRBs of interest here is on the order of years (see also Figure 2). Recurrent encounters between the miniquasar jet and the SMBH accretion flow lead to periodic accretion episodes and jet activity from the miniquasar, characterized by a two-stage accretion process described in Section 3.3.
- In the first stage, when the miniquasar traverses the thin accretion disk of the SMBH, it captures material through Bondi accretion. In the second stage, the captured material is then gradually funneled into the miniquasar, usually leading to super-Eddington accretion. The jet is assumed to be launching when the super-Eddinton accretion onto the miniquasar is satisfied, Equation (38). Typical intrinsic jet power is about (see the estimation described after Equation (39)).The duration of both the accretion phase and the associated jet activity is determined primarily by the viscous timescale of the inflowing material. As the captured material is gradually depleted, both the accretion rate and the resulting jet power decrease over time before the jet activity is quenched.
- Once the miniquasar jet is launched and interacts with the SMBH’s accretion disk, the resulting emission signatures serve as a valuable diagnostic for probing the jet composition. The multi-frequency radiation power from the transient jet can be estimated based on the jet power carried by different particle species and their respective energy-conversion efficiencies to radiation (see also Section 2.2, Section 2.3, Section 3.2.1 and Section 3.2.2).
- The leptonic components within the jet are the source of optical/UV emissions through synchrotron radiation and approximate MeV/GeV gamma rays via IC scattering. In contrast, the proton–proton interactions from the hadronic constituents can yield MeV/GeV gamma-rays through either neutral pion decay or the IC process involving secondary leptons generated by charged pion decay. Additionally, synchrotron radiation from these secondary leptons may also contribute to optical/UV emissions. An analysis of the ratios of different frequency emissions is provided in Section 3.2.3.
- Among the diverse multi-frequency features associated with the EMRBs under consideration, we focus primarily on emissions from miniquasar jets and their interaction with the SMBH accretion flow. In Section 3.4, we model the orbital dynamics and corresponding light curves of UV and gamma-ray power resulting from jet–disk collisions for a demonstration case. With the efficient pp interaction, Equation (25), and the radiation conversion rate, Equation (26), during the jet–disk interaction, the ratio of gamma-ray-to-UV emission serves as a valuable diagnostic to identify the presence of hadronic components within the jet. This ratio increases with the fraction of jet power carried by hadrons.
Funding
Data Availability Statement
Acknowledgments
Conflicts of Interest
Appendix A. Mass Accretion and Accretion Rate of the Miniquasar

| 1 | Assuming the miniquasar passes the SMBH disk around the pericenter , we have and , In order of magnitude , and , is about a few hours. |
| 2 | A typical estimate of the viscous timescale is given by [60] For a slim-disk case, , this yields |
| 3 | At lower accretion rates, observations of both black hole X-ray binaries (BHXBs) and AGN indicate that relativistic jets can be launched during a spectral transition near the accretion rate of about [1,4,65,66], and the jet is quenched beyond the threshold value . As the Super-Eddington accretion continues evolves and the accretion rate decays, the relativistic jet may be quenched with the condition in Equation (38) is satisfied, then launched again near the threshold value . As a result, EMRB systems may also provide opportunities to probe the jet composition for jets launched at different accretion rates. |
References
- Fender, R.P.; Belloni, T.M.; Gallo, E. Towards a unified model for black hole X-ray binary jets. Mon. Not. R. Astron. Soc. 2004, 355, 1105–1118. [Google Scholar] [CrossRef]
- Corbel, S. Microquasars: An observational review. In Proceedings of the Jets at All Scales, IAU Symposium, Potsdam, Germany, 20–24 August 2023; Romero, G.E., Sunyaev, R.A., Belloni, T., Eds.; Cambridge University Press: Cambridge, UK, 2011; Volume 275, pp. 205–214. [Google Scholar] [CrossRef]
- Kylafis, N.D.; Contopoulos, I.; Kazanas, D.; Christodoulou, D.M. Formation and destruction of jets in X-ray binaries. Astron. Astrophys. 2012, 538, A5. [Google Scholar] [CrossRef]
- Trump, J.R.; Impey, C.D.; Kelly, B.C.; Civano, F.; Gabor, J.M.; Diamond-Stanic, A.M.; Merloni, A.; Urry, C.M.; Hao, H.; Jahnke, K.; et al. Accretion Rate and the Physical Nature of Unobscured Active Galaxies. Astrophys. J. 2011, 733, 60. [Google Scholar] [CrossRef]
- Fabian, A.C. Observational Evidence of Active Galactic Nuclei Feedback. Annu. Rev. Astron. Astrophys. 2012, 50, 455–489. [Google Scholar] [CrossRef]
- Hovatta, T.; Lindfors, E. Relativistic Jets of Blazars. New Astron. Rev. 2019, 87, 101541. [Google Scholar] [CrossRef]
- Combes, F. Active Galactic Nuclei: Fueling and Feedback; IoP Publishing: Bristol, UK, 2021. [Google Scholar] [CrossRef]
- Asada, K.; Nakamura, M. The Structure of the M87 Jet: A Transition from Parabolic to Conical Streamlines. Astrophys. J. Lett. 2012, 745, L28. [Google Scholar] [CrossRef]
- Kravchenko, E.V.; Pashchenko, I.N.; Homan, D.C.; Kovalev, Y.Y.; Lister, M.L.; Pushkarev, A.B.; Ros, E.; Savolainen, T. MOJAVE—XXII. Brightness temperature distributions and geometric profiles along parsec-scale active galactic nucleus jets. Mon. Not. R. Astron. Soc. 2025, 538, 2008–2030. [Google Scholar] [CrossRef]
- Asada, K.; Nakamura, M.; Doi, A.; Nagai, H.; Inoue, M. Discovery of Sub- to Superluminal Motions in the M87 Jet: An Implication of Acceleration from Sub-relativistic to Relativistic Speeds. Astrophys. J. Lett. 2014, 781, L2. [Google Scholar] [CrossRef]
- Marin, F.; Barnouin, T.; Wu, K.; Lopez-Rodriguez, E. Forgotten treasures in the HST/FOC UV imaging polarimetric archives of active galactic nuclei: III. Five years monitoring of M87. Astron. Astrophys. 2024, 692, A179. [Google Scholar] [CrossRef]
- Fan, X.L.; Wu, Q.; Liao, N.H. Constraints on the Composition, Magnetization, and Radiative Efficiency in the Jets of Blazars. Astrophys. J. 2018, 861, 97. [Google Scholar] [CrossRef]
- Owen, E.R.; Yang, H.Y.K. Multiwavelength emission from leptonic processes in ageing galaxy bubbles. Mon. Not. R. Astron. Soc. 2022, 510, 5834–5853. [Google Scholar] [CrossRef]
- Owen, E.R.; Yang, H.Y.K. Emission from hadronic and leptonic processes in galactic jet-driven bubbles. Mon. Not. R. Astron. Soc. 2022, 516, 1539–1556. [Google Scholar] [CrossRef]
- Cerruti, M. Leptonic and Hadronic Radiative Processes in Supermassive-Black-Hole Jets. Galaxies 2020, 8, 72. [Google Scholar] [CrossRef]
- Lin, Y.H.; Yang, H.Y.K.; Owen, E.R. Evolution and feedback of AGN jets of different cosmic ray composition. Mon. Not. R. Astron. Soc. 2023, 520, 963–975. [Google Scholar] [CrossRef]
- Kantzas, D.; Markoff, S.; Lucchini, M.; Ceccobello, C.; Chatterjee, K. Exploring the role of composition and mass loading on the properties of hadronic jets. Mon. Not. R. Astron. Soc. 2023, 520, 6017–6039. [Google Scholar] [CrossRef]
- Rodrigues, X.; Paliya, V.S.; Garrappa, S.; Omeliukh, A.; Franckowiak, A.; Winter, W. Leptohadronic multi-messenger modeling of 324 gamma-ray blazars. Astron. Astrophys. 2024, 681, A119. [Google Scholar] [CrossRef]
- Lico, R.; Casadio, C.; Jorstad, S.G.; Gómez, J.L.; Marscher, A.P.; Traianou, E.; Kim, J.Y.; Zhao, G.Y.; Fuentes, A.; Cho, I.; et al. New jet feature in the parsec-scale jet of the blazar OJ 287 connected to the 2017 teraelectronvolt flaring activity. Astron. Astrophys. 2022, 658, L10. [Google Scholar] [CrossRef]
- Valtonen, M.J.; Zola, S.; Gupta, A.C.; Kishore, S.; Gopakumar, A.; Jorstad, S.G.; Wiita, P.J.; Gu, M.; Nilsson, K.; Marscher, A.P.; et al. Evidence of Jet Activity from the Secondary Black Hole in the OJ 287 Binary System. Astrophys. J. Lett. 2024, 968, L17. [Google Scholar] [CrossRef]
- Zhang, S.N.; Ebisawa, K.; Sunyaev, R.; Ueda, Y.; Harmon, B.A.; Sazonov, S.; Fishman, G.J.; Inoue, H.; Paciesas, W.S.; Takahash, T. Broadband High-Energy Observations of the Superluminal Jet Source GRO J1655-40 during an Outburst. Astrophys. J. 1997, 479, 381–387. [Google Scholar] [CrossRef]
- Kaaret, P.; Corbel, S.; Tomsick, J.A.; Fender, R.; Miller, J.M.; Orosz, J.A.; Tzioumis, A.K.; Wijnands, R. X-Ray Emission from the Jets of XTE J1550-564. Astrophys. J. 2003, 582, 945–953. [Google Scholar] [CrossRef]
- Tagawa, H.; Kimura, S.S.; Haiman, Z.; Perna, R.; Bartos, I. Observable Signature of Merging Stellar-mass Black Holes in Active Galactic Nuclei. Astrophys. J. 2023, 950, 13. [Google Scholar] [CrossRef]
- Tagawa, H.; Kimura, S.S.; Haiman, Z. High-energy Electromagnetic, Neutrino, and Cosmic-Ray Emission by Stellar-mass Black Holes in Disks of Active Galactic Nuclei. Astrophys. J. 2023, 955, 23. [Google Scholar] [CrossRef]
- Kocsis, B.; Yunes, N.; Loeb, A. Observable signatures of extreme mass-ratio inspiral black hole binaries embedded in thin accretion disks. Phys. Rev. D Part. Fields Gravit. Cosmol. 2011, 84, 024032. [Google Scholar] [CrossRef]
- Lehto, H.J.; Valtonen, M.J. OJ 287 Outburst Structure and a Binary Black Hole Model. Astrophys. J. 1996, 460, 207. [Google Scholar] [CrossRef]
- Pihajoki, P. Black hole accretion disc impacts. Mon. Not. R. Astron. Soc. 2016, 457, 1145–1161. [Google Scholar] [CrossRef]
- McLaughlin, M.A. The North American Nanohertz Observatory for Gravitational Waves. Class. Quantum Gravity 2013, 30, 224008. [Google Scholar] [CrossRef]
- Kramer, M.; Champion, D.J. The European Pulsar Timing Array and the Large European Array for Pulsars. Class. Quantum Gravity 2013, 30, 224009. [Google Scholar] [CrossRef]
- Manchester, R.N.; Hobbs, G.; Bailes, M.; Coles, W.A.; van Straten, W.; Keith, M.J.; Shannon, R.M.; Bhat, N.D.R.; Brown, A.; Burke-Spolaor, S.G.; et al. The Parkes Pulsar Timing Array Project. Publ. Astron. Soc. Aust. 2013, 30, e017. [Google Scholar] [CrossRef]
- Verbiest, J.P.W.; Lentati, L.; Hobbs, G.; van Haasteren, R.; Demorest, P.B.; Janssen, G.H.; Wang, J.B.; Desvignes, G.; Caballero, R.N.; Keith, M.J.; et al. The International Pulsar Timing Array: First data release. Mon. Not. R. Astron. Soc. 2016, 458, 1267–1288. [Google Scholar] [CrossRef]
- Pan, Z.; Yang, H. Formation rate of extreme mass ratio inspirals in active galactic nuclei. Phys. Rev. D Part. Fields Gravit. Cosmol. 2021, 103, 103018. [Google Scholar] [CrossRef]
- Klein, A.; Barausse, E.; Sesana, A.; Petiteau, A.; Berti, E.; Babak, S.; Gair, J.; Aoudia, S.; Hinder, I.; Ohme, F.; et al. Science with the space-based interferometer eLISA: Supermassive black hole binaries. Phys. Rev. D Part. Fields Gravit. Cosmol. 2016, 93, 024003. [Google Scholar] [CrossRef]
- Amaro-Seoane, P.; Audley, H.; Babak, S.; Baker, J.; Barausse, E.; Bender, P.; Berti, E.; Binetruy, P.; Born, M.; Bortoluzzi, D.; et al. Laser Interferometer Space Antenna. arXiv 2017, arXiv:1702.00786. [Google Scholar] [CrossRef]
- Mościbrodzka, M.; Gammie, C.F.; Dolence, J.C.; Shiokawa, H. Pair Production in Low-luminosity Galactic Nuclei. Astrophys. J. 2011, 735, 9. [Google Scholar] [CrossRef]
- Wong, G.N.; Ryan, B.R.; Gammie, C.F. Pair Drizzle around Sub-Eddington Supermassive Black Holes. Astrophys. J. 2021, 907, 73. [Google Scholar] [CrossRef]
- Kimura, S.S.; Toma, K.; Noda, H.; Hada, K. Magnetic Reconnection in Black Hole Magnetospheres: Lepton Loading into Jets, Superluminal Radio Blobs, and Multiwavelength Flares. Astrophys. J. Lett. 2022, 937, L34. [Google Scholar] [CrossRef]
- Globus, N.; Blandford, R. Ultra High Energy Cosmic Ray Source Models: Successes, Challenges and General Predictions. EPJ Web Conf. 2023, 283, 04001. [Google Scholar] [CrossRef]
- Mészáros, P. Astrophysical Sources of High-Energy Neutrinos in the IceCube Era. Annu. Rev. Nucl. Part. Sci. 2017, 67, 45–67. [Google Scholar] [CrossRef]
- IceCube Collaboration; Aartsen, M.G.; Ackermann, M.; Adams, J.; Aguilar, J.A.; Ahlers, M.; Ahrens, M.; Samarai, I.A.; Altmann, D.; Andeen, K.; et al. Neutrino emission from the direction of the blazar TXS 0506+056 prior to the IceCube-170922A alert. Science 2018, 361, 147–151. [Google Scholar] [CrossRef]
- Abbasi, R.; Ackermann, M.; Adams, J.; Agarwalla, S.K.; Aguilar, J.A.; Ahlers, M.; Alameddine, J.M.; Amin, N.M.; Andeen, K.; Argüelles, C.; et al. Probing the Connection between IceCube Neutrinos and MOJAVE AGN. Astrophys. J. 2024, 973, 97. [Google Scholar] [CrossRef]
- Dermer, C.D.; Menon, G. High Energy Radiation from Black Holes: Gamma Rays, Cosmic Rays, and Neutrinos; Princeton University Press: Princeton, NJ, USA, 2009. [Google Scholar]
- Rybicki, G.B.; Lightman, A.P. Radiative Processes in Astrophysics; John Wiley & Sons Inc: Hoboken, NJ, USA, 1980. [Google Scholar]
- Anantua, R.; Emami, R.; Loeb, A.; Chael, A. Determining the Composition of Relativistic Jets from Polarization Maps. Astrophys. J. 2020, 896, 30. [Google Scholar] [CrossRef]
- Mahadevan, R. Scaling Laws for Advection-dominated Flows: Applications to Low-Luminosity Galactic Nuclei. Astrophys. J. 1997, 477, 585–601. [Google Scholar] [CrossRef]
- Jakubassa-Amundsen, D.H.; Mangiarotti, A. Accuracy of analytical theories for relativistic bremsstrahlung. Phys. Rev. A 2019, 100, 032703. [Google Scholar] [CrossRef]
- Owen, E.R.; Wu, K.; Inoue, Y.; Yang, H.Y.K.; Mitchell, A.M.W. Cosmic Ray Processes in Galactic Ecosystems. Galaxies 2023, 11, 86. [Google Scholar] [CrossRef]
- Jacobsen, I.B.; Wu, K.; On, A.Y.L.; Saxton, C.J. High-energy neutrino fluxes from AGN populations inferred from X-ray surveys. Mon. Not. R. Astron. Soc. 2015, 451, 3649–3663. [Google Scholar] [CrossRef]
- Murase, K. Active Galactic Nuclei as High-Energy Neutrino Sources. In Neutrino Astronomy: Current Status, Future Prospects; Gaisser, T., Karle, A., Eds.; World Scientific Publishing: Singapore; Hackensack, NJ, USA, 2017; pp. 15–31. [Google Scholar] [CrossRef]
- Odell, A.W.; Gooding, R.H. Procedures for Solving Kepler’s Equation. Celest. Mech. 1986, 38, 307–334. [Google Scholar] [CrossRef]
- Murray, C.D.; Dermott, S.F. Solar System Dynamics; Cambridge University Press: Cambridge, UK, 1999. [Google Scholar] [CrossRef]
- Kafexhiu, E.; Aharonian, F.; Taylor, A.M.; Vila, G.S. Parametrization of gamma-ray production cross sections for p p interactions in a broad proton energy range from the kinematic threshold to PeV energies. Phys. Rev. D Part. Fields Gravit. Cosmol. 2014, 90, 123014. [Google Scholar] [CrossRef]
- Shakura, N.I.; Sunyaev, R.A. Black holes in binary systems. Observational appearance. Astron. Astrophys. 1973, 24, 337–355. [Google Scholar]
- Novikov, I.; Thorne, K. Black Holes. Les Astres Occlus; Gordon Breach: New York, NY, USA, 1973; Volume 52, pp. 343–450. [Google Scholar]
- Kelner, S.R.; Aharonian, F.A.; Bugayov, V.V. Energy spectra of gamma rays, electrons, and neutrinos produced at proton-proton interactions in the very high energy regime. Phys. Rev. D Part. Fields Gravit. Cosmol. 2006, 74, 034018. [Google Scholar] [CrossRef]
- Bondi, H.; Hoyle, F. On the mechanism of accretion by stars. Mon. Not. R. Astron. Soc. 1944, 104, 273. [Google Scholar] [CrossRef]
- Bondi, H. On spherically symmetrical accretion. Mon. Not. R. Astron. Soc. 1952, 112, 195. [Google Scholar] [CrossRef]
- Pringle, J.E. Accretion discs in astrophysics. Annu. Rev. Astron. Astrophys. 1981, 19, 137–162. [Google Scholar] [CrossRef]
- Tanaka, T. Exact time-dependent solutions for the thin accretion disc equation: Boundary conditions at finite radius. Mon. Not. R. Astron. Soc. 2011, 410, 1007–1017. [Google Scholar] [CrossRef][Green Version]
- Kato, S.; Fukue, J.; Mineshige, S. Black-Hole Accretion Disks–Toward a New Paradigm; Kyoto University Press: Kyoto, Japan, 1998. [Google Scholar]
- Abramowicz, M.A.; Czerny, B.; Lasota, J.P.; Szuszkiewicz, E. Slim Accretion Disks. Astrophys. J. 1988, 332, 646. [Google Scholar] [CrossRef]
- Sądowski, A.; Narayan, R.; McKinney, J.C.; Tchekhovskoy, A. Numerical simulations of super-critical black hole accretion flows in general relativity. Mon. Not. R. Astron. Soc. 2014, 439, 503–520. [Google Scholar] [CrossRef]
- Ricarte, A.; Narayan, R.; Curd, B. Recipes for Jet Feedback and Spin Evolution of Black Holes with Strongly Magnetized Super-Eddington Accretion Disks. Astrophys. J. Lett. 2023, 954, L22. [Google Scholar] [CrossRef]
- Curd, B.; Emami, R.; Anantua, R.; Palumbo, D.; Doeleman, S.; Narayan, R. Jets from SANE super-Eddington accretion discs: Morphology, spectra, and their potential as targets for ngEHT. Mon. Not. R. Astron. Soc. 2023, 519, 2812–2837. [Google Scholar] [CrossRef]
- Esin, A.A.; McClintock, J.E.; Narayan, R. Advection-Dominated Accretion and the Spectral States of Black Hole X-Ray Binaries: Application to Nova Muscae 1991. Astrophys. J. 1997, 489, 865–889. [Google Scholar] [CrossRef]
- Remillard, R.A.; McClintock, J.E. X-Ray Properties of Black-Hole Binaries. Annu. Rev. Astron. Astrophys. 2006, 44, 49–92. [Google Scholar] [CrossRef]
- The IceCube Collaboration; Aartsen, M.G.; Abraham, K.; Ackermann, M.; Adams, J.; Aguilar, J.A.; Ahlers, M.; Ahrens, M.; Altmann, D.; Anderson, T.; et al. The IceCube Neutrino Observatory—Contributions to ICRC 2015 Part I: Point Source Searches. arXiv 2015, arXiv:1510.05222. [Google Scholar] [CrossRef]
- Aartsen, M.G.; Ackermann, M.; Adams, J.; Aguilar, J.A.; Ahlers, M.; Ahrens, M.; Altmann, D.; Andeen, K.; Anderson, T.; Ansseau, I.; et al. The IceCube Neutrino Observatory: Instrumentation and online systems. J. Instrum. 2017, 12, P03012. [Google Scholar] [CrossRef]
- Sinopoulou, A.; Coniglione, R.; Muller, R.; Tzamariudaki, E.; Tzamariudaki, E.; KM3NeT Collaboration. Atmospheric neutrinos with the first detection units of KM3NeT/ARCA. J. Instrum. 2021, 16, C11015. [Google Scholar] [CrossRef]
- The KM3NeT Collaboration; Aiello, S.; Albert, A.; Alhebsi, A.R.; Alshamsi, M.; Alves Garre, S.; Ambrosone, A.; Ameli, F.; Andre, M.; Anghinolfi, M.; et al. Observation of an ultra-high-energy cosmic neutrino with KM3NeT. Nature 2025, 638, 376–382. [Google Scholar] [CrossRef]
- Baikal-GVD Collaboration; Avrorin, A.D.; Avrorin, A.V.; Aynutdinov, V.M.; Bannash, R.; Belolaptikov, I.A.; Brudanin, V.B.; Budnev, N.M.; Doroshenko, A.A.; Domogatsky, G.V.; et al. Baikal-GVD: Status and prospects. arXiv 2018, arXiv:1808.10353. [Google Scholar] [CrossRef]
- Schröder, F.G. Design and Expected Performance of the IceCube-Gen2 Surface Array and its Radio Component (ARENA2022). arXiv 2023, arXiv:2306.05900. [Google Scholar] [CrossRef]
- Ishihara, A. The IceCube Upgrade—Design and Science Goals. In Proceedings of the 36th International Cosmic Ray Conference (ICRC2019), Madison, WI, USA, 24 July–1 August 2019; Volume 36, p. 1031. [Google Scholar] [CrossRef]
- Agostini, M.; Böhmer, M.; Bosma, J.; Clark, K.; Danninger, M.; Fruck, C.; Gernhäuser, R.; Gärtner, A.; Grant, D.; Henningsen, F.; et al. The Pacific Ocean Neutrino Experiment. Nat. Astron. 2020, 4, 913–915. [Google Scholar] [CrossRef]
- Abi, B.; Acciarri, R.; Acero, M.A.; Adamov, G.; Adams, D.; Adinolfi, M.; Ahmad, Z.; Ahmed, J.; Alion, T.; Alonso Monsalve, S.; et al. Volume I. Introduction to DUNE. J. Instrum. 2020, 15, T08008. [Google Scholar] [CrossRef]
- Hyper-Kamiokande Proto-Collaboration; Abe, K.; Abe, K.; Aihara, H.; Aimi, A.; Akutsu, R.; Andreopoulos, C.; Anghel, I.; Anthony, L.H.V.; Aushev, V.; et al. Hyper-Kamiokande Design Report. arXiv 2018, arXiv:1805.04163. [Google Scholar] [CrossRef]
- The KM3NeT Collaboration; Aiello, S.; Albert, A.; Alhebsi, A.R.; Alshamsi, M.; Alves Garre, S.; Ambrosone, A.; Ameli, F.; Andre, M.; Aphecetche, L.; et al. Measurement of neutrino oscillation parameters with the first six detection units of KM3NeT/ORCA. J. High Energy Phys. 2024, 2024, 206. [Google Scholar] [CrossRef]
- Sanders, G.H. The Thirty Meter Telescope (TMT): An International Observatory. J. Astrophys. Astron. 2013, 34, 81–86. [Google Scholar] [CrossRef]
- Neichel, B.; Mouillet, D.; Gendron, E.; Correia, C.; Sauvage, J.F.; Fusco, T. Overview of the European Extremely Large Telescope and its instrument suite. In Proceedings of the SF2A-2018: Proceedings of the Annual Meeting of the French Society of Astronomy and Astrophysics, Bordeaux, France, 3–6 July 2018. [Google Scholar] [CrossRef]
- Padovani, P.; Cirasuolo, M. The Extremely Large Telescope. Contemp. Phys. 2023, 64, 47–64. [Google Scholar] [CrossRef]
- Barcons, X.; Barret, D.; Decourchelle, A.; den Herder, J.W.; Dotani, T.; Fabian, A.C.; Fraga-Encinas, R.; Kunieda, H.; Lumb, D.; Matt, G.; et al. Athena (Advanced Telescope for High ENergy Astrophysics) Assessment Study Report for ESA Cosmic Vision 2015–2025. arXiv 2012, arXiv:1207.2745. [Google Scholar] [CrossRef]
- Barret, D.; Decourchelle, A.; Fabian, A.; Guainazzi, M.; Nandra, K.; Smith, R.; den Herder, J.W. The Athena space X-ray observatory and the astrophysics of hot plasma. Astron. Nachrichten 2020, 341, 224–235. [Google Scholar] [CrossRef]
- XRISM Science Team. Science with the X-ray Imaging and Spectroscopy Mission (XRISM). arXiv 2020, arXiv:2003.04962. [Google Scholar] [CrossRef]
- Ajello, M.; Baldini, L.; Ballet, J.; Bastieri, D.; Becerra Gonzalez, J.; Bellazzini, R.; Berretta, A.; Bissaldi, E.; Bonino, R.; Brill, A.; et al. The Fourth Catalog of Active Galactic Nuclei Detected by the Fermi Large Area Telescope: Data Release 3. Astrophys. J. Suppl. Ser. 2022, 263, 24. [Google Scholar] [CrossRef]






| Notation | Definition | Reference |
|---|---|---|
| positron to electron ratio | Equation (2) | |
| proton to electron ratio | Equation (2) | |
| jet power carried by electron | Equation (9) | |
| jet power carried by positron | Equation (9) | |
| jet power carried by proton | Equation (9) | |
| lepton power to -ray power (via IC process) conversion rate | Equations (18) and (27) | |
| lepton power to UV power (via synchrotron process) conversion rate | Equations (19) and (28) | |
| efficiency of pp interaction | Equation (25) | |
| neutral pion power to -ray power conversion rate | Equation (26) | |
| charged pion power to -ray power (via IC process of secondary leptons) conversion rate | Equation (27) | |
| charged pion power to UV power (via synchrotron process of secondary leptons) conversion rate | Equation (28) |
| Orbital-Related Parameters | Value | Reference |
|---|---|---|
| Section 3.1 | ||
| a | 1500 | Section 3.1 |
| e | 0.7 | Section 3.1 |
| emissions-related parameters | value | note |
| Equation (9) | ||
| 0.5 | Equations (21) and (30) | |
| 0.8 | Equations (20) and (29) | |
| 1 | Equation (25) | |
| 1 | Equation (26) | |
| miniquasar accretion parameters | value | note |
| 500 | related to Equation (35) | |
| 2 weeks | related to Equations (36) and (37) |
Disclaimer/Publisher’s Note: The statements, opinions and data contained in all publications are solely those of the individual author(s) and contributor(s) and not of MDPI and/or the editor(s). MDPI and/or the editor(s) disclaim responsibility for any injury to people or property resulting from any ideas, methods, instructions or products referred to in the content. |
© 2025 by the author. Licensee MDPI, Basel, Switzerland. This article is an open access article distributed under the terms and conditions of the Creative Commons Attribution (CC BY) license (https://creativecommons.org/licenses/by/4.0/).
Share and Cite
Pu, H.-Y. Probing Jet Compositions with Extreme Mass Ratio Binary Black Holes. Universe 2025, 11, 370. https://doi.org/10.3390/universe11110370
Pu H-Y. Probing Jet Compositions with Extreme Mass Ratio Binary Black Holes. Universe. 2025; 11(11):370. https://doi.org/10.3390/universe11110370
Chicago/Turabian StylePu, Hung-Yi. 2025. "Probing Jet Compositions with Extreme Mass Ratio Binary Black Holes" Universe 11, no. 11: 370. https://doi.org/10.3390/universe11110370
APA StylePu, H.-Y. (2025). Probing Jet Compositions with Extreme Mass Ratio Binary Black Holes. Universe, 11(11), 370. https://doi.org/10.3390/universe11110370
