Probing the Nonlinear Density Wave Theory of Spiral Galaxies by Baryonic Tully–Fisher Relation
Abstract
1. Introduction
2. Nonlinear Density Wave Solution and Consequent Rotational Velocity Expression
- It ensures a long-lasting spiral structure, longer than one rotation period due to transport of the mass at outer regions of the disk by the soliton wave; this is the reason why the disk remains at the threshold of instability for a long time, much longer than in linearized density wave theory, for more than a few Gy;
- The existence of such a solution guaranties constant wave group velocity, as long as the condition for existence is satisfied (marginal stability of the disk; for details, see [25]), which means that all particles trapped by the wave exhibit the same velocity,
- The existence of the soliton solution of the NLS equation provides a brief, fine structure within the envelope soliton, much shorter than the width of a soliton; this can explain the formation of large density gradients within the spiral arm responsible for star formation;
- At the edge of the disk, the soliton would increase its width and velocity due to its amplitude, which can explain the disk mass density fall off with a radius faster than 1/r.
3. Methods
4. Results
5. Tully–Fisher Relation
6. Discussion and Conclusions
Author Contributions
Funding
Data Availability Statement
Acknowledgments
Conflicts of Interest
Abbreviations
| Λ CDM | Lambda–Cold Dark Matter |
| MOND | Modified Newtonian Dynamics |
| NLS | Nonlinear Schrödinger |
| BTFR | Baryonic Tully–Fisher Relation |
| SPARC | Spitzer Photometry and Accurate Rotation Curves |
| SMD | Surface Mass Density |
| RC | Rotation Curve |
Appendix A. Methods
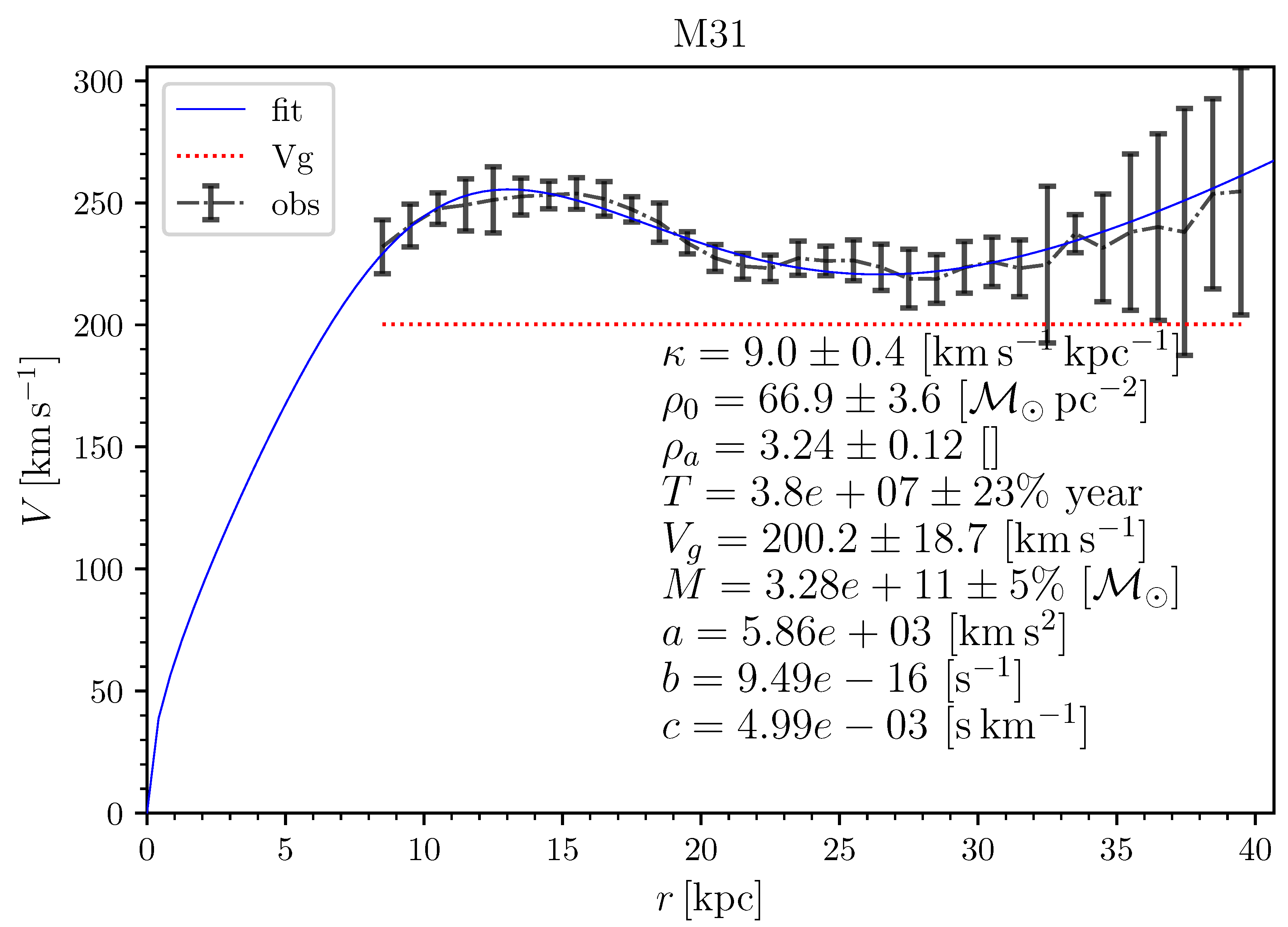
Appendix B. Individual Fits

Appendix C. Mass















References
- Tully, R.B.; Fisher, J.R. A New Method of Determining Distances to Galaxies. Astron. Astrophys. 1977, 54, 661. [Google Scholar]
- Sakai, S.; Mould, J.R.; Hughes, S.M.; Huchra, J.P.; Macri, L.M.; Kennicutt, R.C., Jr.; Gibson, B.K.; Ferrarese, L.; Freedman, W.L.; Han, M.; et al. The Hubble Space Telescope Key Project on the Extragalactic Distance Scale. XXIV. The Calibration of Tully–Fisher Relations and the Value of the Hubble Constant. Astrophys. J. 2000, 529, 698. [Google Scholar] [CrossRef]
- Trujillo-Gomez, S.; Klypin, A.; Primack, J.; Romanowsky, A.J. Galaxies in λCDM with Halo Abundance Matching: Luminosity-Velocity Relation, Baryonic Mass-Velocity Relation, Velocity Function, and Clustering. Astrophys. J. 2011, 742, 16. [Google Scholar] [CrossRef]
- De Rossi, M.E.; Tissera, P.B.; Pedrosa, S.E. Impact of supernova feedback on the Tully–Fisher relation. Astron. Astrophys. 2010, 519, A89. [Google Scholar] [CrossRef]
- Tonini, C.; Maraston, C.; Thomas, D.; Devriendt, J.; Silk, J. Hierarchical models of high-redshift galaxies with thermally pulsing asymptotic giant branch stars: Comparison with observations. Mon. Not. R. Astron. Soc. 2010, 403, 1749. [Google Scholar] [CrossRef]
- Milgorm, M. A modification of the Newtonian dynamics as a possible alternative to the hidden mass hypothesis. Astrophys. J. 1983, 270, 371. [Google Scholar] [CrossRef]
- Sanders, R.H. Anty-gravity and galaxy rotation curves. Astron. Astrophys. 1984, 136, L21. [Google Scholar]
- Moffat, J.W. Scalar–tensor–vector gravity theory. J. Cosmol. Astropart. Phys. 2006, 03, 004. [Google Scholar] [CrossRef]
- Freeman, K.C. On the disks of spiral and S0 galaxies. Astrophys. J. 1970, 170, 3. [Google Scholar]
- Verheijen, M.A. The Ursa Major Cluster of Galaxies; Tully–Fisher Relations and Dark Matter. Astrophys. J. 2001, 563, 694. [Google Scholar] [CrossRef]
- Bell, E.F.; de Jong, R.S. Stellar Mass-to-Light Ratios and the Tully–Fisher Relation. Astrophys. J. 2001, 550, 212. [Google Scholar] [CrossRef]
- Vukcevic, M. The Spiral galaxies flat rotational velocity curve explained by the constant group velocity of a nonlinear density wave. Astrophys. J. 2021, 161, 118. [Google Scholar] [CrossRef]
- McGaugh, S.S. The Baryonic Tully–Fisher Relation of Gas-Rich Galaxies as a Test of λCdm and Mond. Astrophys. J. 2012, 143, 40. [Google Scholar] [CrossRef]
- Gurovich, S.; Freeman, K.; Jerjen, H.; Staveley-Smith, L.; Puerari, I. The slope of the baryonic tully–fisher relation. Astrophys. J. 2010, 140, 663. [Google Scholar] [CrossRef]
- Trachternach, C.; De Blok, W.J.G.; McGaugh, S.S.; Van der Hulst, J.M.; Dettmar, R.J. The baryonic Tully–Fisher relation and its implication for dark matter halos. Astron. Astrophys. 2010, 505, 577. [Google Scholar] [CrossRef]
- Stark, D.V.; McGaugh, S.S.; Swaters, R.A. A first attempt to calibrate the baryonic Tully–Fisher relation with gas-dominated galaxies. Astrophys. J. 2009, 138, 392. [Google Scholar] [CrossRef]
- Pfenniger, D.; Revaz, Y. The Baryonic Tully–Fisher relation revisited. Astron. Astrophys. 2005, 431, 511. [Google Scholar] [CrossRef]
- McGaugh, S.S.; Schombert, J.M.; Bothun, G.D.; De Blok, W.J.G. The Baryonic Tully–Fisher Relation. Astrophys. J. 2000, 533, L99. [Google Scholar] [CrossRef] [PubMed]
- Lelli, F.; McGaugh, S.S.; Schombert, J.M. The small scatter of the baryonic Tully–Fisher relation. Astrophys. J. 2016, 816, L14. [Google Scholar] [CrossRef]
- Lelli, F.; McGaugh, S.S.; Schombert, J.M. SPARC: Mass models for 157 disk galaxies with SPITZER photometry and accurate rotation curves. Astrophys. J. 2016, 152, 157. [Google Scholar] [CrossRef]
- Vukcevic, M. Nonlinear Density Wave Theory in a Gaseous Disk. Astrophys. J. 2024, 167, 15. [Google Scholar] [CrossRef]
- Henrikseni, R.N. Transient Spiral Arms in Isothermal Stellar Systems. arXiv 2012, arXiv:1207.5430. [Google Scholar]
- Lin, C.C.; Shu, F.H. On the Spiral Structure of Disk Galaxies. Astrophys. J. 1964, 140, 646. [Google Scholar] [CrossRef]
- Shu, F.H. Six decades of spiral density wave theory. Annu. Rev. Astron. Astrophys. 2016, 54, 667. [Google Scholar] [CrossRef]
- Vukcevic, M. Non-linear density wave solutions for different models of galaxies. Mon. Not. R. Astron. Soc. 2014, 441, 565. [Google Scholar] [CrossRef][Green Version]
- Vukcevic, M.; Zekovic, V.; Radeta, M. Spiral structure of the galactic disk and its influence on the rotational velocity curve. Astron. Nachrichten 2022, 343, e210108. [Google Scholar] [CrossRef]
- Corbelli, E.; Lorenzoni, S.; Walterbos, R.; Braun, R.; Thilker, D. A wide-field H I mosaic of Messier 31 II. The disk warp, rotation, and the dark matter halo. Astron. Astrophys. 2010, 511, A89. [Google Scholar] [CrossRef]
- McGaugh, S.S.; Lelli, F.; Schombert, J.M. Radial Acceleration Relation in Rotationally Supported Galaxies. Phys. Rev. Lett. 2016, 117, 201101. [Google Scholar] [CrossRef]
- Evans, N.W.; Wilkinson, M.I. The mass of the Andromeda galaxy. Mon. Not. R. Astron. Soc. 2000, 316, 929. [Google Scholar] [CrossRef]
- Hartwick, F.D.A.; Sargent, W.L.W. The mass of M31 as determined from the motions of its globular clusters. Astrophys. J. 1974, 190, 283. [Google Scholar]
- Carignan, C.; Chemin, L.; Huchtmeier, W.K.; Lockman, F.J. The extended H I rotation curve and mass distribution of M31. Astrophys. J. 2006, 641, L109. [Google Scholar] [CrossRef]
- Chemin, L.; Carignan, C.; Foster, T. HI kinematics and dynamics of Messier 31. Astrophys. J. 2009, 705, 1395. [Google Scholar] [CrossRef]
- Torres-Flores, S.; Epinat, B.; Amram, P.; Plana, H.; de Oliveira, C.M. GHASP: An Hαkinematic survey of spiral and irregular galaxies–IX. The near-infrared, stellar and baryonic Tully–Fisher relations. Mon. Not. R. Astron. Soc. 2011, 416, 1936. [Google Scholar] [CrossRef]
- Nelson, D.; Pillepich, A.; Springel, V.; Pakmor, R.; Weinberger, R.; Genel, S.; Torrey, P.; Vogelsberger, M.; Marinacci, F.; Hernquist, L. First results from the TNG50 simulation: Galactic outflows driven by supernovae and black hole feedback. Mon. Not. R. Astron. Soc. 2019, 490, 3234. [Google Scholar] [CrossRef]
- Pillepich, A.; Nelson, D.; Springel, V.; Pakmor, R.; Torrey, P.; Weinberger, R.; Vogelsberger, M.; Marinacci, F.; Genel, S.; van der Wel, A.; et al. First results from the TNG50 simulation: The evolution of stellar and gaseous discs across cosmic time. Mon. Not. R. Astron. Soc. 2019, 490, 3196. [Google Scholar] [CrossRef]
- Natarajan, P.; Williams, L.L.R.; Bradač, M.; Grillo, C.; Ghosh, A.; Sharon, K.; Wagner, J. Strong Lensing by Galaxy Clusters. arXiv 2010, arXiv:2403.06245. [Google Scholar] [CrossRef]
- Van Rossum, G.; Drake, F.L., Jr. Python Reference Manual; Centrum voor Wiskunde en Informatica Amsterdam: Amsterdam, The Netherlands, 1995. [Google Scholar]
- Thomas, K.; Benjamin, R.K.; Fern, o.P.; Brian, G.; Matthias, B.; Jonathan, F. Positioning and Power in Academic Publishing: Players, Agents and Agendas, 2016th ed.; Loizides, F., Scmidt, B., Eds.; IOS Press: Amsterdam, The Netherlands, 2016; pp. 87–90. [Google Scholar]
- Van Der Walt, S.; Colbert, S.C.; Varoquaux, G. The NumPy Array: A Structure for Efficient Numerical Computation. Comput. Sci. Eng. 2011, 13, 22. [Google Scholar] [CrossRef]
- McKinney, W. Data Structures for Statistical Computing in Python. In Proceedings of the 9th 297 Python in Science Conference, Austin, TX, USA, 28–30 June 2010; Volume 445, pp. 51–56. [Google Scholar]
- Hunter, J.D. Matplotlib: A 2D graphics environment. Comput. Sci. Eng. 2007, 9, 90. [Google Scholar] [CrossRef]
- Binney, J.; Tremaine, S. Galactic Dynamics, 2nd ed.; Princeton University Press: Princeton, NJ, USA, 2008. [Google Scholar]
- Andrae, R.; Schulze-Hartung, T.; Melchior, P. Dos and don’ts of reduced chi-squared. arXiv 2010, arXiv:1012.3754. [Google Scholar]
- Sofue, Y. Radial distributions of surface mass density and mass-to-luminosity ratio in spiral galaxies. Publ. Astron. Soc. Jpn. 2018, 70, 31. [Google Scholar] [CrossRef]



Disclaimer/Publisher’s Note: The statements, opinions and data contained in all publications are solely those of the individual author(s) and contributor(s) and not of MDPI and/or the editor(s). MDPI and/or the editor(s) disclaim responsibility for any injury to people or property resulting from any ideas, methods, instructions or products referred to in the content. |
© 2024 by the authors. Licensee MDPI, Basel, Switzerland. This article is an open access article distributed under the terms and conditions of the Creative Commons Attribution (CC BY) license (https://creativecommons.org/licenses/by/4.0/).
Share and Cite
Vukcevic, M.; Savic, D.; Jovanović, P. Probing the Nonlinear Density Wave Theory of Spiral Galaxies by Baryonic Tully–Fisher Relation. Universe 2024, 10, 359. https://doi.org/10.3390/universe10090359
Vukcevic M, Savic D, Jovanović P. Probing the Nonlinear Density Wave Theory of Spiral Galaxies by Baryonic Tully–Fisher Relation. Universe. 2024; 10(9):359. https://doi.org/10.3390/universe10090359
Chicago/Turabian StyleVukcevic, Miroslava, Djordje Savic, and Predrag Jovanović. 2024. "Probing the Nonlinear Density Wave Theory of Spiral Galaxies by Baryonic Tully–Fisher Relation" Universe 10, no. 9: 359. https://doi.org/10.3390/universe10090359
APA StyleVukcevic, M., Savic, D., & Jovanović, P. (2024). Probing the Nonlinear Density Wave Theory of Spiral Galaxies by Baryonic Tully–Fisher Relation. Universe, 10(9), 359. https://doi.org/10.3390/universe10090359

