Causal Loop Diagramming of Socioeconomic Impacts of COVID-19: State-of-the-Art, Gaps and Good Practices
Abstract
:1. Introduction
2. Methods and Scope
3. Results
3.1. Research Focus
3.2. Common and Rare Components
3.3. Basic Network Properties of COVID-19 CLDs
3.4. Major Drivers and Most Impacted Components
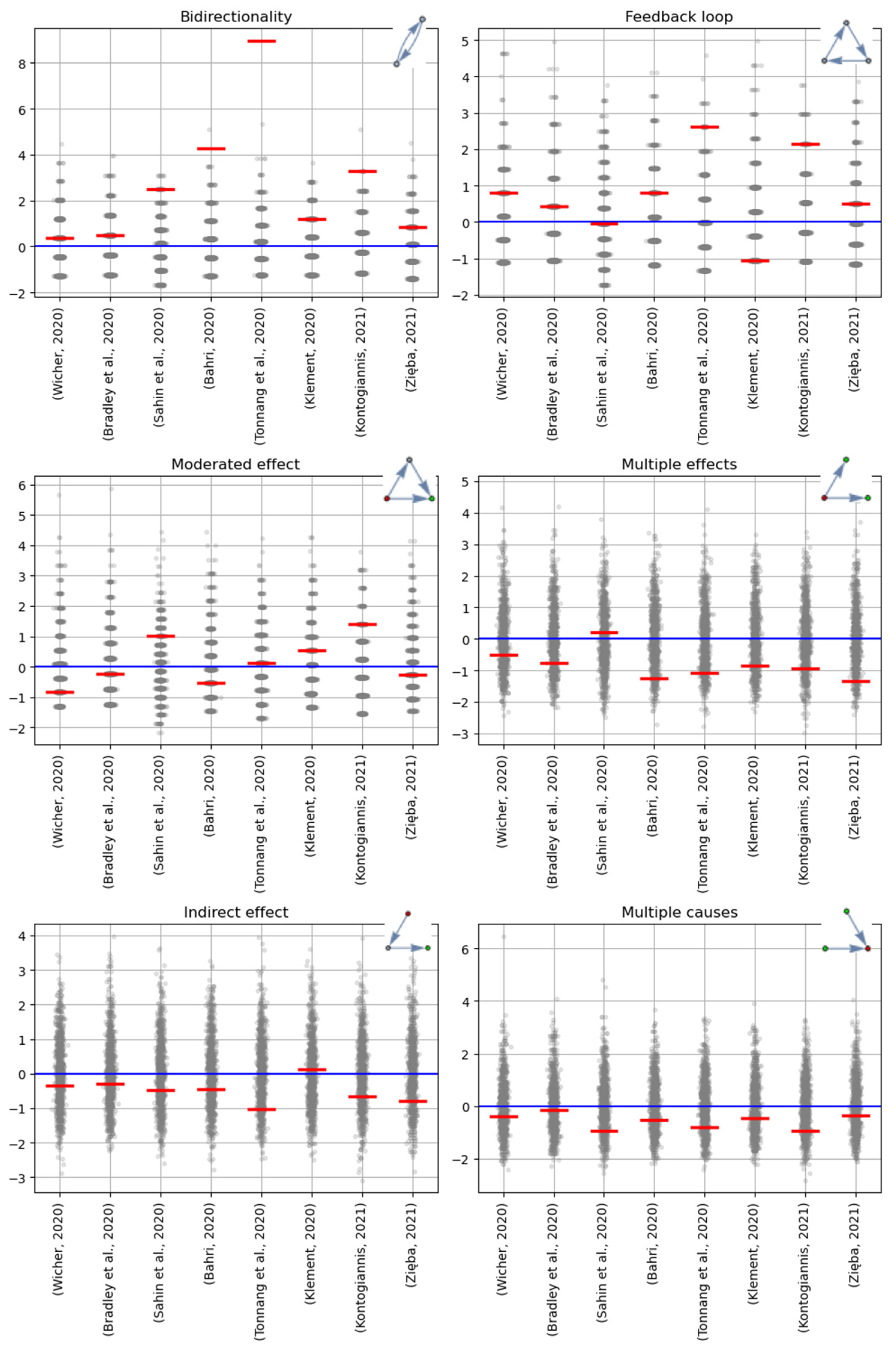
3.5. Structural Complexity: Motifs
3.6. Good Practices of Creation and Visualization of CLDs
4. Discussion and Conclusions
Supplementary Materials
Author Contributions
Funding
Data Availability Statement
Acknowledgments
Conflicts of Interest
| 1 | Here, and in what follows, the names of CLD components in quotation marks are those originally used by their authors in the reviewed publications. |
| 2 | |
| 3 | These can be computed as sums of the absolute values of rows and columns of the respective adjacency matrices. |
| 4 | The 10% threshold is our choice to delimit a group of the most impacting/impacted components from the others. We show this in the distribution plots of the in- and out-degrees for each reviewed CLD (Supplementary Materials Figure S1). |
| 5 | If several components with the same degree were divided by the top decile, all of them were considered. |
| 6 | Vester originally classified all components with a high product of in- and out-degrees as critical, thus often including active and passive components. In this review, we emphasize the role of components, which are both systems drivers and indicators, but formally could not be classified as either active or passive. Formally we included components which either (i) have different in- and out-degrees less than top deciles or (ii) have equal in- and out-degrees in the top deciles, and, at the same time, have the product of in-degree and out-degree in the top deciles of the corresponding distributions of in- and out-degrees for each CLD. Vester also considers buffer components which have a low product of in- and out-degrees. These are beyond of scope of our analysis. |
| 7 | The CLD by [14] does not have any active components fulfilling our criteria. |
| 8 | Their CLD contained eight standard deviations more of the bidirectional structures than the random networks’ mean. |
| 9 | A linear transformation of raw data that provides that the mean and the variance of the distribution are 0 and 1, correspondingly. The standard score thus gives the number of standard deviations by which the actual data point is above or below the mean value. |
| 10 | Table entries marked with “N/A” indicate that the corresponding aspect has been neither explicitly articulated by the authors or the reviewed studies nor it could be identified straightforward by the review authors. |
| 11 | We assume that the authors of the reviewed CLDs have defined such subsystems a priori classifying components substantially, e.g., economic, social, healthcare, etc. However, it is also possible to recognize subsystems after a CLD has been developed, for example, using graph clustering methods. |
| 12 | Usually four generic problem archetypes are specified [45]: (i) the underachievement, (ii) relative achievement, (iii) relative control, and (iv) out-of-control. While also being “building blocks” of CLDs containing few components, these are different to motifs discussed in Section 3.5. |
| 13 | Three studies mention this explicitly, while the CLDs of three more studies have a typical visual appearance, which allowed us to attribute them to this software. |
| 14 | Analysis of multiple causes and multiple effects (along with detection of feedback loops) for each component of a CLD can be performed using Vensim software (which was used to develop the majority of the reviewed CLDs and is commonly used for this purpose). |
| 15 | Although six out of eight reviewed CLDs account for time delays for some of the links helping to qualitatively understand the speed of impact propagation, this still does not enable a formal analysis of the modeled systems’ dynamics. |
References
- Dong, E.; Du, H.; Gardner, L. An interactive web-based dashboard to track COVID-19 in real time. Lancet Infect. Dis. 2020, 20, 533–534. [Google Scholar] [CrossRef]
- Zięba, K. How can systems thinking help us in the COVID-19 crisis? Knowl. Process Manag. 2021, 1–10. [Google Scholar] [CrossRef]
- The OECD Forum Network towards a People-Centred, Inclusive, and Sustainable COVID-19 Recovery: OECD Launches the Centre on Well-Being, Inclusion, Sustainability and Equal Opportunity (WISE). Available online: https://www.oecd-forum.org/posts/towards-a-people-centred-inclusive-and-sustainable-covid-19-recovery-oecd-launches-the-centre-on-well-being-inclusion-sustainability-and-equal-opportunity-wise (accessed on 18 December 2020).
- Kontogiannis, T. A qualitative model of patterns of resilience and vulnerability in responding to a pandemic outbreak with system dynamics. Saf. Sci. 2021, 134, 105077. [Google Scholar] [CrossRef]
- Ilmola-Sheppard, L.; Strelkovskii, N.; Rovenskaya, E.; Abramzon, S.; Bar, R. A Systems Description of the National Well-Being System. Available online: http://pure.iiasa.ac.at/id/eprint/16318/ (accessed on 2 September 2021).
- Ioannidis, J.P.A. Coronavirus disease 2019: The harms of exaggerated information and non-evidence-based measures. Eur. J. Clin. Investig. 2020, 50, e13222. [Google Scholar] [CrossRef] [PubMed]
- Hynes, W.; Trump, B.; Love, P.; Linkov, I. Bouncing forward: A resilience approach to dealing with COVID-19 and future systemic shocks. Environ. Syst. Decis. 2020, 40, 174–184. [Google Scholar] [CrossRef]
- Reynolds, S. COVID-19 Means Systems Thinking Is No Longer Optional. Available online: https://www.thinknpc.org/blog/covid-19-means-systems-thinking-is-no-longer-optional/ (accessed on 22 July 2021).
- Haley, D.; Paucar-Caceres, A.; Schlindwein, S. A Critical Inquiry into the Value of Systems Thinking in the Time of COVID-19 Crisis. Systems 2021, 9, 13. [Google Scholar] [CrossRef]
- Jackson, M.C. How We Understand “Complexity” Makes a Difference: Lessons from Critical Systems Thinking and the Covid-19 Pandemic in the UK. Systems 2020, 8, 52. [Google Scholar] [CrossRef]
- Hassan, I.; Obaid, F.; Ahmed, R.; Abdelrahman, L.; Adam, S.; Adam, O.; Yousif, M.A.; Mohammed, K.; Kashif, T. A Systems Thinking approach for responding to the COVID-19 pandemic. East. Mediterr. Health J. 2020, 26, 872–876. [Google Scholar] [CrossRef]
- Sahin, O.; Salim, H.; Suprun, E.; Richards, R.; MacAskill, S.; Heilgeist, S.; Rutherford, S.; Stewart, R.A.; Beal, C.D. Developing a Preliminary Causal Loop Diagram for Understanding the Wicked Complexity of the COVID-19 Pandemic. Systems 2020, 8, 20. [Google Scholar] [CrossRef]
- Klement, R.J. Systems Thinking About SARS-CoV-2. Front. Public Health 2020, 8, 1–6. [Google Scholar] [CrossRef] [PubMed]
- Bahri, M. The Nexus Impacts of the COVID-19: A Qualitative Perspective. Preprints 2020, 2020050033. [Google Scholar] [CrossRef]
- Tonnang, H.; Greenfield, J.; Mazzaferro, G.; Austin, C.C. COVID-19 Emergency Public Health and Economic Measures Causal Loops: A Computable Framework. SSRN Electron. J. 2020. [Google Scholar] [CrossRef]
- Bradley, D.T.; Mansouri, M.A.; Kee, F.; Garcia, L.M.T. A systems approach to preventing and responding to COVID-19. EClinicalMedicine 2020, 21, 100325. [Google Scholar] [CrossRef] [Green Version]
- Taylor, I.; Masys, A.J. A System Dynamics Model of COVID-19 in Canada: A Case Study in Sensemaking. In Sensemaking for Security; Masys, A.J., Ed.; Springer: Cham, Switzerland, 2021; pp. 179–199. [Google Scholar]
- Sy, C.; Ching, P.M.; San Juan, J.L.; Bernardo, E.; Miguel, A.; Mayol, A.P.; Culaba, A.; Ubando, A.; Mutuc, J.E. Systems Dynamics Modeling of Pandemic Influenza for Strategic Policy Development: A Simulation-Based Analysis of the COVID-19 Case. Process Integr. Optim. Sustain. 2021, 1–14. [Google Scholar] [CrossRef]
- Niwa, M.; Hara, Y.; Sengoku, S.; Kodama, K. Effectiveness of Social Measures against COVID-19 Outbreaks in Selected Japanese Regions Analyzed by System Dynamic Modeling. Int. J. Environ. Res. Public Health 2020, 17, 6238. [Google Scholar] [CrossRef]
- Sterman, J.D. Business Dynamics: System Thinking and Modeling for a Complex World; Irwin McGraw-Hill: Boston, MA, USA, 2001. [Google Scholar]
- Homer, J.; Oliva, R. Maps and models in system dynamics: A response to Coyle. Syst. Dyn. Rev. 2001, 17, 347–355. [Google Scholar] [CrossRef]
- Kumar, A.; Priya, B.; Srivastava, S.K. Response to the COVID-19: Understanding implications of government lockdown policies. J. Policy Model. 2021, 43, 76–94. [Google Scholar] [CrossRef] [PubMed]
- Adamu, A.A.; Jalo, R.I.; Habonimana, D.; Wiysonge, C.S. COVID-19 and routine childhood immunization in Africa: Leveraging systems thinking and implementation science to improve immunization system performance. Int. J. Infect. Dis. 2020, 98, 161–165. [Google Scholar] [CrossRef]
- Shahabi, V.; Azar, A.; Faezy Razi, F.; Fallah Shams, M.F. Simulation of the effect of COVID-19 outbreak on the development of branchless banking in Iran: Case study of Resalat Qard–al-Hasan Bank. Rev. Behav. Financ. 2020, 13, 85–108. [Google Scholar] [CrossRef]
- Zieba, K. How can Systems Thinking Help Us Handling the COVID-19 Crisis? In Proceedings of the 21st European Conference on Knowledge Management ECKM 2020, Coventry, UK, 3–4 September 2020. [Google Scholar]
- Wicher, D. The COVID-19 Case as an Example of Systems Thinking Usage. Available online: https://agilejar.com/2020/03/a-great-example-of-systems-thinking-covid-19-case/ (accessed on 22 July 2021).
- Oliva, R. Model structure analysis through graph theory: Partition heuristics and feedback structure decomposition. Syst. Dyn. Rev. 2004, 20, 313–336. [Google Scholar] [CrossRef]
- Vester, F. The Art of Interconnected Thinking; MCB Publishing House: München, Germany, 2007. [Google Scholar]
- Forgie, V.E.; van den Belt, M.; McDonald, G.W. Extending the Boundaries of Economics to Well-Being: An Interlinked Thinking Approach. In Feedback Economics; Cavana, R.Y., Dangerfield, B.C., Pavlov, O.V., Radzicki, M.J., Wheat, I.D., Eds.; Springer: Cham, Switzerland, 2021; pp. 521–544. [Google Scholar]
- Levy, M.A.; Lubell, M.N.; McRoberts, N. The structure of mental models of sustainable agriculture. Nat. Sustain. 2018, 1, 413–420. [Google Scholar] [CrossRef]
- Aminpour, P.; Gray, S.A.; Singer, A.; Scyphers, S.B.; Jetter, A.J.; Jordan, R.; Murphy, R.; Grabowski, J.H. The diversity bonus in pooling local knowledge about complex problems. Proc. Natl. Acad. Sci. USA 2021, 118, e2016887118. [Google Scholar] [CrossRef] [PubMed]
- Butts, C.T. Social network analysis: A methodological introduction. Asian J. Soc. Psychol. 2008, 11, 13–41. [Google Scholar] [CrossRef] [Green Version]
- Aminpour, P.; Schwermer, H.; Gray, S. The relationship between social identity and cognitive diversity in environmental stakeholders. PsyArXiv 2021. [Google Scholar] [CrossRef]
- Bärwolff, G. Mathematical Modeling and Simulation of the COVID-19 Pandemic. Systems 2020, 8, 24. [Google Scholar] [CrossRef]
- Ahmed, F.; Ahmed, N.; Pissarides, C.; Stiglitz, J. Why inequality could spread COVID-19. Lancet Public Health 2020, 5, e240. [Google Scholar] [CrossRef]
- Stok, F.M.; Bal, M.; Yerkes, M.A.; de Wit, J.B.F. Social Inequality and Solidarity in Times of COVID-19. Int. J. Environ. Res. Public Health 2021, 18, 6339. [Google Scholar] [CrossRef] [PubMed]
- Betley, E.; Sterling, E.; Akabas, S.; Gray, S.; Sorensen, A.; Jordan, R.; Eustice, C. Modeling links between corn production and beef production in the United States: A systems thinking exercise using mental modeler. Lessons Conserv. 2021, 11, 26–32. [Google Scholar]
- Wilcox, R.R. The Normal Curve and Outlier Detection. In Fundamentals of Modern Statistical Methods; Springer: New York, NY, USA, 2010; pp. 29–45. [Google Scholar]
- Niemeijer, D.; de Groot, R.S. A conceptual framework for selecting environmental indicator sets. Ecol. Indic. 2008, 8, 14–25. [Google Scholar] [CrossRef]
- Kim, H.; Andersen, D.F. Building confidence in causal maps generated from purposive text data: Mapping transcripts of the Federal Reserve. Syst. Dyn. Rev. 2012, 28, 311–328. [Google Scholar] [CrossRef]
- Vennix, J.A.M. Group Model Building: Facilitating Team Learning Using System Dynamics; John Wiley & Sons Ltd.: Chichester, UK, 1996; ISBN 978-0-470-86668-9. [Google Scholar]
- Eker, S.; Zimmermann, N. Using Textual Data in System Dynamics Model Conceptualization. Systems 2016, 4, 28. [Google Scholar] [CrossRef] [Green Version]
- Stämpfli, A. A Domain-Specific Language to Process Causal Loop Diagrams with R. In Operations Research Proceedings 2019. Selected Papers of the Annual International Conference of the German Operations Research Society (GOR), Dresden, Germany, 4–6 September 2019; Neufeld, J.S., Buscher, U., Lasch, R., Möst, D., Schönberger, J., Eds.; Springer International Publishing: Berlin/Heidelberg, Germany, 2020; pp. 651–657. [Google Scholar]
- Schoenenberger, L.; Schmid, A.; Tanase, R.; Beck, M.; Schwaninger, M. Structural Analysis of System Dynamics Models. Simul. Model. Pract. Theory 2021, 110, 102333. [Google Scholar] [CrossRef]
- Wolstenholme, E.F. Towards the definition and use of a core set of archetypal structures in system dynamics. Syst. Dyn. Rev. 2003, 19, 7–26. [Google Scholar] [CrossRef]
- Lane, D.C. The emergence and use of diagramming in system dynamics: A critical account. Syst. Res. Behav. Sci. 2008, 25, 3–23. [Google Scholar] [CrossRef]
- Saleh, M.; Oliva, R.; Kampmann, C.E.; Davidsen, P.I. A comprehensive analytical approach for policy analysis of system dynamics models. Eur. J. Oper. Res. 2010, 203, 673–683. [Google Scholar] [CrossRef]
- Kampmann, C.E. Feedback loop gains and system behavior (1996). Syst. Dyn. Rev. 2012, 28, 370–395. [Google Scholar] [CrossRef]
- Schoenberg, W. LoopX: Visualizing and understanding the origins of dynamic model behavior. arXiv 2019, arXiv:1909.01138. [Google Scholar]
- Dhirasasna, N.; Sahin, O. A Multi-Methodology Approach to Creating a Causal Loop Diagram. Systems 2019, 7, 42. [Google Scholar] [CrossRef] [Green Version]
- Senge, P.M. The Fifth Discipline: The Art and Practice of the Learning Organization; Doubleday: New York, NY, USA, 1990; ISBN 1368304091100. [Google Scholar]
- Schoenenberger, L.; Schmid, A.; Schwaninger, M. Towards the algorithmic detection of archetypal structures in system dynamics. Syst. Dyn. Rev. 2015, 31, 66–85. [Google Scholar] [CrossRef]
- Cavana, R.Y.; Mares, E.D. Integrating critical thinking and systems thinking: From premises to causal loops. Syst. Dyn. Rev. 2004, 20, 223–235. [Google Scholar] [CrossRef]
- Trope, Y.; Liberman, N. Construal-level theory of psychological distance. Psychol. Rev. 2010, 117, 440–463. [Google Scholar] [CrossRef] [PubMed] [Green Version]
- WHO. WHO Director-General’s Opening Remarks at the Media Briefing on COVID-19. Available online: https://www.who.int/director-general/speeches/detail/who-director-general-s-opening-remarks-at-the-media-briefing-on-covid-19---3-august-2020 (accessed on 29 July 2021).



| Authors/CLD ID | Title | Date Published | Type | Reference |
|---|---|---|---|---|
| (Wicher, 2020) | The COVID-19 case as an example of Systems Thinking usage | 15 March 2020 | Blog | [26] |
| (Bradley et al., 2020) | A systems approach to preventing and responding to COVID-19 | 28 March 2020 | Paper in a peer-reviewed journal | [16] |
| (Sahin et al., 2020) | Developing a Preliminary Causal Loop Diagram for Understanding the Wicked Complexity of the COVID-19 Pandemic | 18 June 2020 | Paper in a peer-reviewed journal | [12] |
| (Bahri, 2020) | The Nexus Impacts of the COVID-19: A Qualitative Perspective | 8 August 2020 | Preprint | [14] |
| (Tonnang et al., 2020) | COVID-19 Emergency public health and economic measures causal loops: A computable framework. In COVID-19 | 10 September 2020 | Preprint | [15] |
| (Klement, 2020) | Systems Thinking About SARS-CoV-2 | 28 October 2020 | Paper in a peer-reviewed journal | [13] |
| (Kontogiannis, 2021) | A qualitative model of patterns of resilience and vulnerability in responding to a pandemic outbreak with system dynamics | 10 November 2020 | Paper in a peer-reviewed journal | [4] |
| (Zięba, 2021) | How can systems thinking help us in the COVID-19 crisis? | 8 June 2021 | Paper in a peer-reviewed journal | [2] |
| # | Motif Name | Motif Description (Following [33]) | Motif Schematic View |
|---|---|---|---|
| (i) | Bidirectionality | A node impacts and is impacted by another adjacent node | ![]() |
| (ii) | Multiple causes | Two non-adjacent nodes impact another node, adjacent to both of them | ![]() |
| (iii) | Multiple effects | A node impacts two adjacent nodes which are non-adjacent between each other | ![]() |
| (iv) | Indirect effect | A node impacts a non-adjacent node through a third node | ![]() |
| (v) | Moderated effect | A node impacts an adjacent node both directly and through a third node | ![]() |
| (vi) | Feedback loop (3 components) | Three adjacent nodes impact each other in one direction, i.e., clockwise, or counterclockwise | ![]() |
| CLD ID | Research Question/Focus |
|---|---|
| (Wicher, 2020) | “I focused on the media and my role, as an individual, in the COVID-19.” |
| (Bradley et al., 2020) | “<…> provide a framework to look beyond the chain of infection and better understand the multiple implications of decisions and (in)actions in face of such a complex situation involving many interconnected factors.” |
| (Sahin et al., 2020) | “<…> visualise the complexity in managing the COVID-19 pandemic through a systems lens by identifying the interconnectivity between health, economic, social and environmental aspects.” |
| (Bahri, 2020) | “<…> provide readers a qualitative analysis how the COVID-19 may affect our susceptible population, healthcare facilities and economy.” |
| (Tonnang et al., 2020) | “<…> envision linkages between the elements of the contagion, healthcare, and the economy, and visualize key components that characterize the whole system.” |
| (Klement, 2020) | “<…> try to identify and study system structures and causal loops of the problem at hand, integrating all relevant disciplines within an inter- and transdisciplinary approach.” |
| (Kontogiannis, 2021) | “<…> unravel the nexus of social and institutional forces that affect the parameters of ‘system dynamics’ models <…>”; “<…> explore how CLDs, their modular blocks (i.e., system archetypes) and leverage points could be used to model <…> principles of resilience.” |
| (Zięba, 2021) | “How do businesses respond to the prolonged exposure to the COVID-19 crisis? What kind of actions are they prone to undertake and what are the drivers of those actions?” |
| CLD ID | |||
|---|---|---|---|
| (Wicher, 2020) | 21 | 37 | 3.52 |
| (Bradley et al., 2020) | 21 | 34 | 3.24 |
| (Sahin et al., 2020) | 38 | 88 | 4.63 |
| (Bahri, 2020) | 24 | 42 | 3.50 |
| (Tonnang et al., 2020) | 50 | 91 | 3.64 |
| (Klement, 2020) | 25 | 42 | 3.36 |
| (Kontogiannis, 2021) | 78 | 125 | 3.21 |
| (Zięba, 2021) | 17 | 32 | 3.77 |
| Mean | 34 | 61 | 3.61 |
| Active | Passive | Critical Hubs | ||
|---|---|---|---|---|
| Out-degree | In the top decile | Any | Not in the top decile | In the top decile |
| In-degree | Any | In the top decile | Not in the top decile | In the top decile |
| Product of in-degree and out-degree | Any | Any | In the top decile | In the top decile |
| Active/passive quotient | >1 | <1 | Any | 1 |
| CLD ID | Design Procedure | List of Components, Links, and Feedback Loops | Visualization Features | Software Implementation | Analysis Methods |
|---|---|---|---|---|---|
| (Wicher, 2020) | Based on an analytical article | N/A | Feedback loops marked | N/A | Feedback loops |
| (Bradley et al., 2020) | N/A | N/A | The essential feedback loop is highlighted by color | Vensim | Feedback loops |
| (Sahin et al., 2020) | Based on expert workshops | Components | Subsystems highlighted by colored areas; feedback loops marked | Vensim | Feedback loops |
| (Bahri, 2020) | Based on data analysis and literature review | N/A | Separate CLDs of subsystems and archetypes; feedback loops marked | Vensim | Feedback loops, system archetypes |
| (Tonnang et al., 2020) | Formal description of the development process | Feedback loops | Subsystems highlighted by colored links; feedback loops marked | Vensim | Feedback loops |
| (Klement, 2020) | Built upon existing CLD | N/A | Subsystems highlighted by colored areas; feedback loops marked | N/A | Feedback loops |
| (Kontogiannis, 2021) | Built upon an existing SIR model and expert interviews | Feedback loops | Separate CLDs of archetypes; archetypes highlighted by color on the main CLD; feedback loops marked | Vensim | Feedback loops, system archetypes |
| (Zięba, 2021) | Based on “mental database, observation, and intuitive approach” | N/A | Feedback loops marked | Vensim | Feedback loops |
Publisher’s Note: MDPI stays neutral with regard to jurisdictional claims in published maps and institutional affiliations. |
© 2021 by the authors. Licensee MDPI, Basel, Switzerland. This article is an open access article distributed under the terms and conditions of the Creative Commons Attribution (CC BY) license (https://creativecommons.org/licenses/by/4.0/).
Share and Cite
Strelkovskii, N.; Rovenskaya, E. Causal Loop Diagramming of Socioeconomic Impacts of COVID-19: State-of-the-Art, Gaps and Good Practices. Systems 2021, 9, 65. https://doi.org/10.3390/systems9030065
Strelkovskii N, Rovenskaya E. Causal Loop Diagramming of Socioeconomic Impacts of COVID-19: State-of-the-Art, Gaps and Good Practices. Systems. 2021; 9(3):65. https://doi.org/10.3390/systems9030065
Chicago/Turabian StyleStrelkovskii, Nikita, and Elena Rovenskaya. 2021. "Causal Loop Diagramming of Socioeconomic Impacts of COVID-19: State-of-the-Art, Gaps and Good Practices" Systems 9, no. 3: 65. https://doi.org/10.3390/systems9030065
APA StyleStrelkovskii, N., & Rovenskaya, E. (2021). Causal Loop Diagramming of Socioeconomic Impacts of COVID-19: State-of-the-Art, Gaps and Good Practices. Systems, 9(3), 65. https://doi.org/10.3390/systems9030065







