Impact of Leadership Relations and Mature Technology on Digital Technology Complementary Innovation
Abstract
1. Introduction
- How do leadership relationship changes influence the decisions of the buyer, the new supplier, and the existing supplier?
- What impact does the presence of mature technology have on the decisions of the buyer and the new supplier?
- How does the probability of DTCI success influence the decisions of the buyer, the new supplier, and the existing supplier?
2. Theoretical Foundation and Literature Review
2.1. Theoretical Foundation
2.2. Literature Review
2.2.1. Digital Technology and Complementary Innovations
2.2.2. Leadership Relations in the Supply Chain
2.2.3. Literature Summary
3. Methodology and Model Construction
3.1. Model Setup
3.2. Equilibrium Solutions Under Three Scenarios
4. Result Analysis
4.1. Propositions of Three Scenarios
- (ii)
- For the buyer, the effort level for DTCI remains unaffected by either leadership scenario, denoted as .
- (iii)
- For the existing supplier, the effort level to improve mature technology is the same across all scenarios, denoted as .
4.2. Impact of Mature Technology on Decisions of Buyer and New Supplier
4.3. Optimal Decision-Making of Buyer and New Supplier
- (ii)
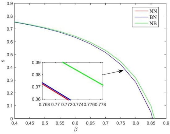
- Among the three scenarios, the new supplier prefers the NB scenario, the buyer prefers the BN scenario, and both are preferable to the NN scenario, that is, , .
5. Model Extension
- (ii)
- In terms of profit, the profit under the PI scenario is higher than the total profit of the supply chain under the other three scenarios, that is, .
6. Numerical Analysis
6.1. The Impact of DTCI Success Probability on Supply Chain Member Decisions
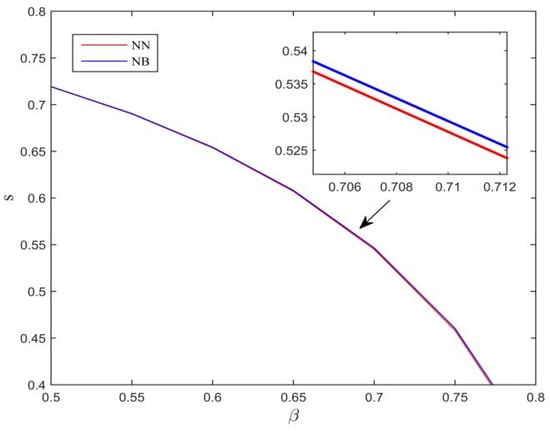
6.2. The Impact of DTCI Success Probability on Profits
7. Conclusions and Management Implications
Author Contributions
Funding
Institutional Review Board Statement
Informed Consent Statement
Data Availability Statement
Conflicts of Interest
Appendix A
Appendix A.1
Appendix A.2
Appendix A.3
Appendix A.4
Appendix A.5
References
- Yoo, Y.; Henfridsson, O.; Lyytinen, K. Research commentary—The new organizing logic of digital innovation: An agenda for information systems research. Inf. Syst. Res. 2010, 21, 724–735. [Google Scholar]
- Liu, Y.; Dong, J.; Mei, L.; Shen, R. Digital innovation and performance of manufacturing firms: An affordance perspective. Technovation 2023, 119, 102458. [Google Scholar]
- Kwak, K.; Kim, W.; Park, K. Complementary multiplatforms in the growing innovation ecosystem: Evidence from 3D printing technology. Technol. Forecast. Soc. Chang. 2018, 136, 192–207. [Google Scholar]
- Cenamor, J.; Frishammar, J. Openness in platform ecosystems: Innovation strategies for complementary products. Res. Policy 2021, 50, 104148. [Google Scholar]
- Sohu. Xiaomi and TCL Join Forces! A Record-Breaking Domestic Collaboration with 7 Million Units Shipped in Two Years. Sohu. 12 July 2019. Available online: https://www.sohu.com/a/326337534_82439 (accessed on 7 January 2025).
- Huawei. Chint and Huawei Signed a Cooperation Agreement. Huawei. 12 December 2021. Available online: https://solar.huawei.com/cn/news-room (accessed on 26 March 2025).
- Liu, W.; Long, S.; Liang, Y.; Wang, J.; Wei, S. The influence of leadership and smart level on the strategy choice of the smart logistics platform: A perspective of collaborative innovation participation. Ann. Oper. Res. 2021, 324, 893–935. [Google Scholar]
- Zhang, W.; Lee, H.H. Investment strategies for sourcing a new Technology in the presence of a mature technology. Manag. Sci. 2022, 68, 4631–4644. [Google Scholar]
- Chen, X.; Wang, X.; Jing, H. Technology licensing strategies for three cost-differential manufacturers. Eur. J. Oper. Res. 2023, 308, 622–635. [Google Scholar]
- Xiao, Q.; Chen, L.; Xie, M.; Wang, C. Optimal contract design in sustainable supply chain: Interactive impacts of fairness concern and overconfidence. J. Oper. Res. Soc. 2021, 72, 1505–1524. [Google Scholar]
- Chung, H.; Lee, E. Asymmetric relationships with symmetric suppliers: Strategic choice of supply chain price leadership in a competitive market. Eur. J. Oper. Res. 2017, 259, 564–575. [Google Scholar]
- Li, P.; Rao, C.; Goh, M.; Yang, Z. Pricing strategies and profit coordination under a double echelon green supply chain. J. Clean. Prod. 2021, 278, 123694. [Google Scholar]
- Al-Omoush, K.S.; de Lucas, A.; del Val, M.T. The role of e-supply chain collaboration in collaborative innovation and value-co creation. J. Bus. Res. 2023, 158, 113647. [Google Scholar]
- Liu, W.; Wei, W.; Choi, T.M.; Yan, X. Impacts of leadership on corporate social responsibility management in multi-tier supply chains. Eur. J. Oper. Res. 2022, 299, 483–496. [Google Scholar]
- Xia, Q.; Zhi, B.; Wang, X. The role of cross-shareholding in the green supply chain: Green contribution, power structure and coordination. Int. J. Prod. Econ. 2021, 234, 108037. [Google Scholar]
- Benitez, J.; Arenas, A.; Castillo, A.; Esteves, J. Impact of digital leadership capability on innovation performance: The role of platform digitization capability. Inf. Manag. 2022, 59, 103590. [Google Scholar]
- Peng, Y. An Analysis of Entrepreneurial Leadership Based on Schumpeter’s Theory of Innovation. Acad. J. Bus. Manag. 2023, 5, 34–37. [Google Scholar]
- Mithas, S.; Chen, Z.L.; Saldanha, T.J.; De Oliveira Silveira, A. How will artificial intelligence and Industry 4.0 emerging technologies transform operations management? Prod. Oper. Manag. 2022, 31, 4475–4487. [Google Scholar]
- Khan, A.A.; Laghari, A.A.; Li, P.; Dootio, M.A.; Karim, S. The collaborative role of blockchain, artificial intelligence, and industrial internet of things in digitalization of small and medium-size enterprises. Sci. Rep. 2023, 13, 1656. [Google Scholar]
- Fu, W.; Diez, J.R.; Schiller, D. Interactive learning, informal networks and innovation: Evidence from electronics firm survey in the Pearl River Delta, China. Res. Policy 2013, 42, 635–646. [Google Scholar]
- Moghavvemi, S.; Hakimian, F.; Feissal, T.M.F.T. Competitive advantages through IT innovation adoption by SMEs. Soc. Technol. 2012, 2, 24–39. [Google Scholar]
- Patnaik, P.; Bakkar, M. Exploring determinants influencing artificial intelligence adoption, reference to diffusion of innovation theory. Technol. Soc. 2024, 79, 102750. [Google Scholar]
- Sunday, C.E.; Vera, C.C.E. Examining information and communication technology (ICT) adoption in SMEs: A dynamic capabilities approach. J. Enterp. Inf. Manag. 2018, 31, 338–356. [Google Scholar]
- Lee, S.G.; Trimi, S.; Kim, C. Innovation and imitation effects’ dynamics in technology adoption. Ind. Manag. Data Syst. 2013, 113, 772–799. [Google Scholar]
- Milliou, C.; Petrakis, E. Timing of technology adoption and product market competition. Int. J. Ind. Organ. 2011, 29, 513–523. [Google Scholar]
- Carter, C.R.; Rogers, D.S.; Choi, T.Y. Toward the theory of the supply chain. J. Supply Chain Manag. 2015, 51, 89–97. [Google Scholar]
- Flynn, B.B.; Koufteros, X.; Lu, G. On theory in supply chain uncertainty and its implications for supply chain integration. J. Supply Chain Manag. 2016, 52, 3–27. [Google Scholar]
- Stoian, C.A.; Tohanean, D. Platform business models–a case study of the technology industry. J. Econ. Manag. Sci. 2021, 4, 8–18. [Google Scholar]
- Roeck, D.; Sternberg, H.; Hofmann, E. Distributed ledger technology in supply chains: A transaction cost perspective. Int. J. Prod. Res. 2020, 58, 2124–2141. [Google Scholar]
- Tsay, A.A.; Gray, J.V.; Noh, I.J.; Mahoney, J.T. A review of production and operations management research on outsourcing in supply chains: Implications for the theory of the firm. Prod. Oper. Manag. 2018, 27, 1177–1220. [Google Scholar]
- Bergek, A.; Berggren, C.; Magnusson, T.; Hobday, M. Technological discontinuities and the challenge for incumbent firms: Destruction, disruption or creative accumulation? Res. Policy 2013, 42, 1210–1224. [Google Scholar]
- Nambisan, S.; Wright, M.; Feldman, M. The digital transformation of innovation and entrepreneurship: Progress, challenges and key themes. Res. Policy 2019, 48, 103773. [Google Scholar]
- Hilbolling, S.; Berends, H.; Deken, F.; Tuertscher, P. Sustaining Complement Quality for Digital Product Platforms: A Case Study of the Philips Hue Ecosystem. J. Prod. Innov. Manag. 2020, 38, 21–48. [Google Scholar] [CrossRef]
- Feng, X.; Chen, L. Can external knowledge search enhance the collaborative innovation capabilities of small, medium and micro enterprises?—The mediating role of complementary and complementary knowledge integration. Sci. Sci. Manag. Sci. Technol. 2015, 36, 105–117. [Google Scholar]
- Zhang, Y.; Tong, T.W. How vertical integration affects firm innovation: Quasi-experimental evidence. Organ. Sci. 2021, 32, 455–479. [Google Scholar]
- Zahoor, N.; Khan, Z.; Wu, J.; Tarba, S.Y.; Donbesuur, F.; Khan, H. Vertical alliances and innovation: A systematic review of the literature and a future research agenda. Technovation 2023, 122, 102588. [Google Scholar]
- Beltagui, A.; Rosli, A.; Candi, M. Exaptation in a digital innovation ecosystem: The disruptive impacts of 3D printing. Res. Policy 2020, 49, 103833. [Google Scholar] [CrossRef]
- Dahlander, L.; Gann, D.M.; Wallin, M.W. How open is innovation? A retrospective and ideas forward. Res. Policy 2021, 50, 104218. [Google Scholar]
- Chen, L.; Li, T.; Zhang, T. Supply chain leadership and firm performance: A meta-analysis. Int. J. Prod. Econ. 2021, 235, 108082. [Google Scholar] [CrossRef]
- Shin, N.; Park, S. Supply chain leadership driven strategic resilience capabilities management: A leader-member exchange perspective. J. Bus. Res. 2021, 122, 1–13. [Google Scholar] [CrossRef]
- Nurhayati, K.; Rezaei, J.; Tavasszy, L. The interplay between power structure and decision-making in supply chains: A systematic review. J. Supply Chain Manag. Sci. 2021, 2, 85–114. [Google Scholar] [CrossRef]
- Mosch, P.; Schweikl, S.; Obermaier, R. Trapped in the supply chain? Digital servitization strategies and power relations in the case of an industrial technology supplier. Int. J. Prod. Econ. 2021, 236, 108141. [Google Scholar] [CrossRef]
- Wang, Y.; Yu, Z.; Jin, M.; Mao, J. Decisions and coordination of retailer-led low-carbon supply chain under altruistic preference. Eur. J. Oper. Res. 2021, 293, 910–925. [Google Scholar]
- Kulas, J.T.; Komai, M.; Grossman, P.J. Leadership, information, and risk attitude: A game theoretic approach. Leadersh. Q. 2013, 24, 349–362. [Google Scholar]
- Pakseresht, M.; Mahdavi, I.; Shirazi, B.; Mahdavi-Amiri, N. Co-reconfiguration of product family and supply chain using leader–follower Stackelberg game theory: Bi-level multi-objective optimization. Appl. Soft Comput. 2020, 91, 106203. [Google Scholar]
- Michalski, M.; Montes-Botella, J.L.; Narasimhan, R. The impact of asymmetry on performance in different collaboration and integration environments in supply chain management. Supply Chain. Manag. Int. J. 2018, 23, 33–49. [Google Scholar]
- Matsui, K. Asymmetric product distribution between symmetric manufacturers using dual-channel supply chains. Eur. J. Oper. Res. 2016, 248, 646–657. [Google Scholar] [CrossRef]
- Pu, X.; Cai, Z.; Chong, A.Y.L.; Paulraj, A. Dependence structure, relational mechanisms and performance: Teasing out the differences between upstream and downstream supply chain partners. Int. J. Oper. Prod. Manag. 2023, 43, 1009–1039. [Google Scholar]
- Ulstrup Hoejmose, S.; Grosvold, J.; Millington, A. Socially responsible supply chains: Power asymmetries and joint dependence. Supply Chain Manag. Int. J. 2013, 18, 277–291. [Google Scholar]
- Pan, K.; Cui, Z.; Xing, A.; Lu, Q. Impact of fairness concern on retailer-dominated supply chain. Comput. Ind. Eng. 2020, 139, 106209. [Google Scholar]
- Zhao, J.; Zhou, Y.W.; Cao, Z.H.; Min, J. The shelf space and pricing strategies for a retailer-dominated supply chain with consignment based revenue sharing contracts. Eur. J. Oper. Res. 2020, 280, 926–939. [Google Scholar]
- Liu, B.; Ma, S.; Guan, X.; Xiao, L. Timing of sales commitment in a supply chain with manufacturer-quality and retailer-effort induced demand. Int. J. Prod. Econ. 2018, 195, 249–258. [Google Scholar] [CrossRef]
- Shen, B.; Xu, X.; Chan, H.L.; Choi, T.M. Collaborative innovation in supply chain systems: Value creation and leadership structure. Int. J. Prod. Econ. 2021, 235, 108068. [Google Scholar] [CrossRef]
- Gosling, J.; Jia, F.; Gong, Y.; Brown, S. The role of supply chain leadership in the learning of sustainable practice: Toward an integrated framework. J. Clean. Prod. 2016, 137, 1458–1469. [Google Scholar] [CrossRef]
- Solaimani, S.; van der Veen, J. Open supply chain innovation: An extended view on supply chain collaboration. Supply Chain Manag. Int. J. 2022, 27, 597–610. [Google Scholar] [CrossRef]
- Scholten, K.; Schilder, S. The role of collaboration in supply chain resilience. Supply Chain Manag. Int. J. 2015, 20, 471–484. [Google Scholar] [CrossRef]
- Dalporto, A.; Venn, R. Supply chain leadership, transparency, workforce development and collaboration through control tower implementation. J. Supply Chain Manag. Logist. Procure. 2020, 3, 66–76. [Google Scholar] [CrossRef]
- Birasnav, M.; Bienstock, J. Supply chain integration, advanced manufacturing technology, and strategic leadership: An empirical study. Comput. Ind. Eng. 2019, 130, 142–157. [Google Scholar] [CrossRef]
- Pitelis, C.N.; Wagner, J.D. Strategic shared leadership and organizational dynamic capabilities. Leadersh. Q. 2019, 30, 233–242. [Google Scholar] [CrossRef]
- Hanna, A.A.; Smith, T.A.; Kirkman, B.L.; Griffin, R.W. The emergence of emergent leadership: A comprehensive framework and directions for future research. J. Manag. 2021, 47, 76–104. [Google Scholar] [CrossRef]
- Ford, J.; Ford, L.; Polin, B. Leadership in the implementation of change: Functions, sources, and requisite variety. J. Chang. Manag. 2021, 21, 87–119. [Google Scholar] [CrossRef]
- Yang, M.; Fu, M.; Zhang, Z. The adoption of digital technologies in supply chains: Drivers, process and impact. Technol. Forecast. Soc. Chang. 2021, 169, 120795. [Google Scholar] [CrossRef]
- Al-Emran, M.; Griffy-Brown, C. The role of technology adoption in sustainable development: Overview, opportunities, challenges, and future research agendas. Technol. Soc. 2023, 73, 102240. [Google Scholar] [CrossRef]
- Cennamo, C.; Santalo, J. Generativity tension and value creation in platform ecosystems. Organ. Sci. 2019, 30, 617–641. [Google Scholar] [CrossRef]








| Literature | [52] | [33] | [8] | This Paper |
|---|---|---|---|---|
| Research Theme | Impact of Early Commitment and Delayed Commitment on New Technology Investment | Complementary Innovation in Digital Platforms | Investment Strategy for New Technology | Impact of Leadership Relations and Mature Technology on Complementary Innovation in Digital Technology |
| Research Method | Theoretical Modeling | Empirical Study | Theoretical Modeling | Theoretical Modeling |
| Supply Chain Structure | One Manufacturer and Supplier | / | One Manufacturer and Two Suppliers | One Buyer and Two Suppliers |
| Complementary Innovation | × | √ | × | √ |
| Leadership Relationship | √ | × | × | √ |
| Existing Supplier | × | × | √ | √ |
| Scenario | NN | BN | NB |
|---|---|---|---|
Disclaimer/Publisher’s Note: The statements, opinions and data contained in all publications are solely those of the individual author(s) and contributor(s) and not of MDPI and/or the editor(s). MDPI and/or the editor(s) disclaim responsibility for any injury to people or property resulting from any ideas, methods, instructions or products referred to in the content. |
© 2025 by the authors. Licensee MDPI, Basel, Switzerland. This article is an open access article distributed under the terms and conditions of the Creative Commons Attribution (CC BY) license (https://creativecommons.org/licenses/by/4.0/).
Share and Cite
Chen, J.; Wei, S.; Wang, Q.; Niu, K. Impact of Leadership Relations and Mature Technology on Digital Technology Complementary Innovation. Systems 2025, 13, 241. https://doi.org/10.3390/systems13040241
Chen J, Wei S, Wang Q, Niu K. Impact of Leadership Relations and Mature Technology on Digital Technology Complementary Innovation. Systems. 2025; 13(4):241. https://doi.org/10.3390/systems13040241
Chicago/Turabian StyleChen, Juan, Shuang Wei, Qiang Wang, and Kunzai Niu. 2025. "Impact of Leadership Relations and Mature Technology on Digital Technology Complementary Innovation" Systems 13, no. 4: 241. https://doi.org/10.3390/systems13040241
APA StyleChen, J., Wei, S., Wang, Q., & Niu, K. (2025). Impact of Leadership Relations and Mature Technology on Digital Technology Complementary Innovation. Systems, 13(4), 241. https://doi.org/10.3390/systems13040241

