Next Article in Journal
Transforming Quality into Results: A Multivariate Analysis with Hotelling’s T2 on the Impact of ISO 9001
Previous Article in Journal
An Integrated Optimization Framework for Connected and Automated Vehicles and Traffic Signals in Urban Networks
 
 
Font Type:
Arial Georgia Verdana
Font Size:
Aa Aa Aa
Line Spacing:
Column Width:
Background:
Article

Evolutionary Game Analysis of Empowering SMEs’ Digital Transformation by Core Manufacturing Enterprises Under Government Subsidies

Department of E-Commerce, South China University of Technology, Guangzhou 510641, China
*
Author to whom correspondence should be addressed.
Systems 2025, 13(4), 225; https://doi.org/10.3390/systems13040225
Submission received: 18 February 2025 / Revised: 13 March 2025 / Accepted: 18 March 2025 / Published: 25 March 2025
(This article belongs to the Section Systems Practice in Social Science)

Abstract

To effectively address the dual challenges of insufficient motivation for digital transformation (DT) among small and medium-sized enterprises (SMEs) and low collaboration efficiency in the manufacturing supply chain within the context of the digital economy, this paper focuses on how government subsidy policies can promote the empowerment behavior of core manufacturing enterprises (CMEs) to resolve the DT difficulties of SMEs and drive the overall upgrade of the manufacturing industry. Based on evolutionary game theory, a three-party evolutionary game model involving the government, CMEs, and SMEs is constructed. The evolutionary stability strategies of the three parties under different scenarios are explored, and the evolutionary stability of system strategies under single-factor and two-factor interactions is analyzed through MATLAB simulations. The research results indicate that (1) the intensity of government subsidies shows an inverted U-shaped impact on their effectiveness. (2) The government subsidy to CMEs can not only directly incentivize empowerment but also indirectly promote the DT of SMEs. (3) CMEs converge to the empowerment strategy faster than SMEs, while SMEs are more sensitive to insufficient subsidies. (4) SMEs have weak self-transformation capabilities, and their willingness to undergo DT is significantly more influenced by external factors than by internal factors. The above findings can help to clarify the interactive relationships among the government, CMEs, and SMEs in the DT process and provide valuable suggestions from multiple perspectives to promote the SMEs’ DT.

1. Introduction

Driven by the dual impetus of the wave of the digital economy and global economic integration, technologies like artificial intelligence, the internet, big data, cloud computing, and blockchain have accelerated innovation, which fosters the deep integration of the digital economy and the real economy and opens up new opportunities for the transformation and growth of the manufacturing industry. Although significant progress has been made in the DT of the manufacturing industry [1], the DT processes of small and medium-sized enterprises (SMEs) are moving more slowly compared to large enterprises [2,3], exhibiting a polarized trend overall. Large enterprises, positioned upstream in the supply chain, are able to accelerate the DT process due to their advantages in technology, capital, market position, and resources, and have achieved outstanding results in areas such as smart manufacturing, data-driven decision-making, and supply chain optimization. In contrast, SMEs, which constitute the majority of the manufacturing sector, face multiple constraints such as inadequate technology, financial shortages, talent shortages, and weak transformation capabilities, and are generally trapped in the dilemma of being “unwilling to transform, afraid to transform, and unable to transform” in their DT efforts [2,4,5]. The 2022 World Economic Forum white paper highlighted that SMEs contribute nearly 70% of global GDP and employment opportunities, which shows that SMEs are a crucial force in driving social and economic development. The Guidelines for the DT of SMEs, issued in China in 2022, emphasize the pivotal role of SMEs in promoting high-quality development of the real economy and identify DT as a key approach to achieving this goal. Through DT, SMEs can more effectively manage input costs, optimize business processes [6], expand their customer base, and improve overall enterprises’ performance [7], achieving the dual goals of cost reduction and efficiency improvement. Therefore, exploring effective ways to promote the SMEs’ DT is crucial for promoting the manufacturing industry and for ensuring stable, high-quality economic development [8,9].
Core manufacturing enterprises (CMEs), with their advanced technologies, mature DT experiences, and abundant resource advantages, play a key function in driving the DT of SMEs [10,11,12]. CMEs are able to accurately identify the pain points in the SMEs’ DT through long-term collaboration with SMEs and a deep understanding of their needs. Therefore, CMEs can leverage their technological advantages to provide tailored digital solutions for SMEs, upgrade production equipment, and implement data-driven operational models [11]. At the same time, CMEs can promote information sharing and data interoperability by establishing unified digital standards for the supply chain, breaking down information silos, and achieving seamless integration and real-time collaboration of business processes. Additionally, CMEs can enhance supply chain collaborative transformation by building industrial internet platforms that integrate upstream and downstream resources and improve the efficiency and quality of each link in the industry chain [10,11,12]. SMEs can better undergo DT with the help of CMEs and integrate into the ecosystem of CMEs, thereby enhancing collaboration capabilities. This can improve the efficiency of the supply chain led by CMEs and in turn boost the market competitiveness of CMEs [13].
At present, a number of core enterprises worldwide have effectively driven the DT of upstream and downstream SMEs. In China, Midea Group has built the industrial internet platform “Meicloud” with Midea as the “chain master” after completing its DT, providing digital services for numerous enterprises in the fields of home appliance manufacturing, industrial equipment, and robotics, significantly improving supply chain efficiency and reducing costs. Lenovo Group is driving intelligent transformation by offering modular smart transformation services and launching an all-in-one smart service platform. This initiative empowers the supply chain and promotes platform development, actively fulfilling its corporate responsibility as a “chain master” and supporting the intelligent transformation of numerous SMEs. China has introduced multiple policies to summarize and promote those successful practices in recent years. For example, the Guidelines for the DT of SMEs, issued in China in 2022, highlight that SMEs should leverage the industrial internet platforms established by CMEs to accelerate the enhancement of their digital capabilities. Similarly, the “Special Action Plan to Empower the DT of SMEs (2025–2027)” issued in China in 2024 further emphasizes the support for leading and key enterprises in driving SMEs to actively integrate into the industrial and supply chains of large enterprises, thereby advancing the collaborative DT of upstream and downstream SMEs. In other countries, Bosch, through the RIES industrial cloud platform, assists SMEs in introducing and applying technologies, enabling rapid and low-cost DT. Siemens launched the “MindSphere industrial cloud platform”, which reduces the technological threshold for SMEs by providing unified data interfaces or modular solutions, enabling cross-brand device integration. The U.S. manufacturing industry, through industrial software giants like PTC, builds open technology platforms, allowing SMEs to purchase digital service modules as needed. General Electric promotes industrial internet and big data analytics globally through the Predix platform, helping SMEs achieve smart manufacturing and equipment monitoring. Additionally, Embraer, a Brazilian aerospace company, opened up the ONEChain plan to small suppliers, providing a cloud-based production management system that simplifies and digitizes supply chain operations, increasing the visibility and transparency of the production capacity of over 200 suppliers by 40%. Therefore, global practices collectively validate the key roles of core enterprises and the government, which provides a basis for the construction of this paper. Behind these cases, CMEs also face many challenges, such as high investment costs, coordination difficulties, and the issue of short-term returns versus long-term investments. In addition, the DT of SMEs is currently progressing slowly, and DT is a long-term, dynamic, and complex process influenced by various factors. To analyze in detail the strategic evolution process and the impact of key factors for the government, CMEs, and SMEs in this process, evolutionary game theory is introduced into this paper. A tripartite evolutionary game model is constructed to explore the system’s stability conditions, and numerical analysis is used to examine the strategy changes in each party under different influencing factors, drawing corresponding conclusions and policy recommendations.
The remaining content of this paper is as follows: In Section 2, a review of related research on enterprise DT, DT of SMEs, and evolutionary game theory is provided. Section 3 constructs a tripartite evolutionary game model based on assumptions. Section 4 analyzes the evolutionary stable strategies of the three parties under different conditions. Section 5 considers a stable strategy and uses numerical simulations to analyze the impact of various factors on the behavioral strategy changes in CMEs and SMEs. Section 6 discusses the results obtained from the research. Finally, a summary of the work is presented, along with the identification of the limitations of the paper and future research directions.

2. Literature Review

In recent years, DT in enterprises has become a cross-disciplinary research hotspot. The theoretical development has undergone a paradigm shift from a technological perspective to a system collaboration approach. Research primarily focuses on the connotation, impact, and implementation paths of DT in enterprises. Early research suggests that DT is the integration and application of digital technologies in the operations of enterprises, emphasizing the core role of digital technologies in production process optimization, intelligent transformation, and management model innovation [5,14,15]. As research and practice have deepened, scholars have expanded the boundaries of DT, proposing that DT can reconstruct supply chain collaboration networks and bring about disruptive changes in customer value creation methods [16,17]. In the context of globalization and interconnectedness, DT has become a key path for optimizing business processes [15], improving operational efficiency and enterprise performance, and achieving economies of scope and scale [13,18]. Moreover, enterprises can accelerate the integration of internal and external information resources through DT [19], improving supply chain collaboration efficiency and stability [16,17], better adapting to ever-changing market demands, thereby enhancing market competitiveness, and achieving long-term stable growth [20,21]. However, when an enterprise’s organizational structure and resource capabilities are incompatible with DT, significant learning and management costs often arise, leading to the failure of DT [22,23,24]. Therefore, different enterprises need to choose DT paths suitable for their circumstances, enhancing their DT capabilities through core technological reforms, business model reconstruction, and organizational structure optimization [25]. Existing research has achieved certain results in terms of impact and transformation paths, but fewer studies have explored the digital collaboration mechanisms and internal operation mechanisms between upstream and downstream enterprises.
As key players in the manufacturing industry, SMEs face challenges such as limited capital, technological barriers, talent shortages, and weak digital infrastructure [2,4,5], often falling into dilemmas of “reluctance to transform” and “fear of transformation”. Although empirical studies show that incremental DT [5,26,27] and differentiated path choices [28] can effectively alleviate transformation pressure, relying solely on SMEs for DT often leads to limited success, especially in the context of resource and technological shortages. External support is critical to the enterprises’ activities and development of SMEs [6,10,29]. Resource dependence theory reveals that the survival of enterprises depends not only on internal resources but also on the ability to obtain key resources from the external environment [30,31,32]. For instance, the government can reduce the costs of DT for SMEs through subsidies and incentives [33,34], core enterprises can provide necessary technological support, resource assurance, and knowledge sharing to SMEs [13]; and internet platforms enable large enterprises and SMEs to share data, break down data silos between enterprises, and enhance the depth of integration of digital resources between enterprises [35,36,37]. However, some scholars have found that certain government incentive policies do not have a significant supporting effect on the DT of SMEs, such as post-event subsidy policies, subsidies with long application cycles, and unreasonable subsidy settings [38]. Through DT, SMEs can establish connections with cooperative enterprises, suppliers, and customers to respond to rapidly changing markets and supply chains [39], accelerate integration into supply chains and industrial networks led by large enterprises [6], and promote innovation in business models [28]. Therefore, SMEs need to select suitable business models for operation based on their own characteristics and the current stage of DT while cultivating a trusted, professional digital team responsible for the execution and supervision of DT.
Traditional game theory faces fundamental limitations in explaining complex cooperative behaviors due to its assumptions of complete rationality and information symmetry, which are difficult to adapt to the bounded rationality decision-making scenarios in DT [40]. As a result, scholars began to explore game problems when participants were in a state of bounded rationality and gradually introduced the concept of evolutionary game theory. The evolutionary game model provides insights into the emergence and stability of cooperative behavior and the evolution of social norms, allowing researchers to study interactive behaviors and strategic decision-making processes in complex systems. The model also facilitates a deeper exploration of the dynamic effects of various key factors on the decisions of strategic agents [40]. Consequently, the evolutionary game model has been widely applied in various digitalization-related research fields. For instance, the evolutionary model has been successfully applied to scenarios such as digital service-based knowledge sharing [40], marine ranching DT policy design [41], incentive mechanism for DT in the construction industry [33], and digital empowerment of collaborative innovation in the e-commerce industry chain [33]. As research advances, evolutionary game analysis incorporates more comprehensive theoretical perspectives, including prospect theory [42] and random disturbance theory [43]. Compared to the macro-predictive limitations of system dynamics, the data-dependent characteristics and complexity of agent-based modeling, and the dynamic mechanism explanation flaws in econometrics, evolutionary game theory is better suited for characterizing strategy selection and evolutionary processes, revealing stable strategies in different contexts, without the need to overly complicate individual modeling or macro feedback mechanisms. Moreover, the DT of SMEs is essentially a dynamic process of strategy optimization and adjustment over the long term. Therefore, by constructing evolutionary game models and conducting numerical analysis, it is possible to reflect the more microscopic and complex influencing factors during the system’s evolutionary process [43].
Although existing research on DT has made progress in theoretical frameworks and impact mechanisms, there remain several important research gaps and limitations. First, many studies focus primarily on the internal aspects of firms or individual supply chains, overlooking the interactions between firms and the external environment during the DT process. While some studies mention the dynamic interactions and game-theoretical relationships between government, CMEs, and SMEs, most of the research is focused on dyadic relationships rather than triadic ones, such as data sharing between large enterprises and SMEs [30], government regulation, and the green transformation of SMEs [44]. However, the dynamics and interrelations between government, CMEs, and SMEs have not been sufficiently explored. For instance, how do government policies influence decision-making between CMEs and SMEs? What is the role of CMEs in the DT process of SMEs? How do SMEs influence the decisions of CMEs? Secondly, most current research centers on the challenges and influencing factors of DT for SMEs, while neglecting studies on the paths of DT for SMEs. Although scholars generally acknowledge that DT positively impacts business process optimization, supply chain collaboration, and business model innovation, the potential negative impacts or underlying causes of transformation failure have been largely overlooked. Furthermore, there is a lack of systematic research on the dynamic evolution of the behaviors and strategic decision-making processes of the three parties involved during the DT of SMEs. SMEs often face challenges such as bounded rationality, information asymmetry, and uncertainty; however, current research seldom integrates these factors in understanding their impact on decision-making behavior and collaborative relationships. Additionally, there is insufficient exploration of how different participants (government, CMEs, and SMEs) engage in games under incomplete information and achieve mutually beneficial cooperation.
Therefore, this paper constructs a tripartite evolutionary game model involving the government, CMEs, and upstream and downstream SMEs from the view of the industrial and supply chains. Through model analysis and solution, this paper aims to answer the following key questions:
(1)
How do the behavioral strategies and stable evolutionary states of the three parties evolve under different conditions?
(2)
How do government subsidy policies influence the strategic choices of CMEs and SMEs?
(3)
What measures can be taken to enhance the enthusiasm of CMEs in empowering the DT of SMEs?

3. Evolutionary Game Model Construction

This paper presents the evolutionary game model for the DT of SMEs, facilitated by CMEs with government subsidies. The model is based on several key assumptions to describe the evolutionary game processes involving multiple stakeholders, including the government, CMEs, and SMEs.
Assumption 1.
The participants include the government, CMEs, and SMEs in the game, all of which are boundedly rational agents. Each participant has its own set of actions and strategic choices, and these choices interact with one another.
Assumption 2.
Each participant in the game has two strategy choices: the probability of CMEs choosing the “empowerment” strategy is x (0 ≤ x ≤ 1), and the probability of CMEs choosing the “non-empowerment” strategy is 1 − x; the probability of SMEs choosing the “DT” strategy is y (0 ≤ y ≤ 1), and the probability of SMEs choosing the “non-adoption of digital transformation (NDT)” strategy is 1 − y; the probability that the government chooses the “subsidy” strategy is z (0 ≤ z ≤ 1), and the probability of choosing the “non-subsidy” strategy is 1 − z.
Assumption 3.
Assuming that the basic benefits of CMEs are R m . Investing in technology, capital, talent, and other resources is essential if CMEs decide to empower, for which the cost of empowerment for CMEs is K m [30,43]. The empowerment provided by CMEs can improve internal production and management efficiency to some extent [6,19], even if SMEs choose not to transform, which increases the CMEs’ benefits by α m R m , where α m is the direct benefits coefficient, which is positively correlated with the enterprises’ empowerment level and degree of digitalization [37,44]. When CMEs choose to empower and SMEs choose to transform, supply chain synergy is enhanced [16], increasing the core manufacturing enterprise’ benefits by α r R m , where α r is the direct benefits coefficient, primarily positively relevant with the overall level of DT and the efficiency of supply chain collaboration. Moreover, due to the long-term cooperative relationship between the CMEs and the SMEs, the DT situation is formed in which larger enterprises lead smaller ones through empowerment; the CMEs will obtain long-term empowerment investment benefits, expressed as l n ( 1 + K m ) . Given that α r is the direct benefits coefficient for the DT of the supply chain, set the condition as follows: m a x { α m , α s } < α r < α s + α m , K m > α m R m .
Assumption 4.
Assuming that the basic benefits of SMEs are R s . If SMEs choose to transform, the investment cost for DT is C s [30,43]. If the CMEs refuse to provide empowerment, SMEs can only carry out the DT independently. In this case, the benefits increase from DT for SMEs is α s R s , where α s is the direct benefits coefficient, positively correlated with the level of digitalization and the efforts made by SMEs in digitalization [37,44]. Furthermore, SMEs face certain risk losses when independently choosing DT, denoted as S s [45]. Based on scholarly research and the practical reality of SMEs’ DT, assuming that S s > α s R s . Otherwise, if the CMEs choose to empower, the benefits increase for SMEs is α r R s , and SMEs must pay the value-added fee F s to the CMEs. In this case, SMEs can reduce their DT cost through the empowerment of CMEs, and the DT cost for SMEs becomes C s = C s r s K m , where r s is the absorptive capacity of SMEs, which is positively correlated with the digital level and effort [45].
Assumption 5.
When the CMEs choose to provide empowerment while the SMEs choose not to transform, the SMEs benefit from the spillover effects of the CMEs’ empowerment, receiving the “free-rider” benefits of G s [46]. Conversely, when the CMEs refrain from providing empowerment and the SMEs decide to transform, the CMEs benefit from the spillover effects of the SMEs’ transformation, receiving the “free-rider” benefits of G m , where G m < ( α r + α m ) R m and G s < ( α r + α s ) R s . When both the CMEs provide empowerment and the SMEs choose to transform, a deep cooperative relationship is formed within the supply chains, while the successful DT enhances the overall competitiveness and market position of the supply chain, generating excess benefits E . Of these excess benefits, the CMEs receive β m E , and the SMEs receive β s E , where β s = 1 β m , β m   a n d   β s represent the profit distribution coefficients.
Assumption 6.
In the case of the government subsidies, financial support is offered for both the empowerment activities of CMEs and the DT efforts of SMEs [47]. In China, Guangdong Province provides support for DT projects of eligible enterprises, with funding covering up to 50% of the actual investment in the project. Beijing offers a reward to large enterprises that provide digital and intelligent transformation services to SMEs at a rate of 10% of the project’s investment amount. This paper assumes the subsidy to the CMEs is τ m K m , and the subsidy to the SMEs is τ s C s , where τ m   a n d   τ s are, respectively, the strength of the government’s subsidies to CMEs and SMEs, and R g > τ m K m , R g > τ s C s . The government receives a total basic subsidy amount from the national treasury, referred to as the government’s basic benefits R g . When the CMEs provide empowerment and the SMEs adopt the DT, economic development is stimulated, and more employment opportunities are created [46]. In this situation, the government gains social and economic benefits of I .
Building on the upper assumptions, a game payoff matrix is developed for various strategy combinations of the government, CMEs, and SMEs, as illustrated in Table 1.
Building on the above payoff matrix and the probability assumptions regarding the adoption of different strategies, the replication dynamic equations for each game participant under government subsidies can be derived:
(1)
The expected payoffs for CMEs choosing the empowerment and non-empowerment strategy can be given as follows:
U m e = y z 1 + α r R m 1 τ m K m + F s + ln 1 + K m + β m E         + z 1 y 1 + α m R m 1 τ m K m         + y 1 z 1 + α r R m K m + F s + ln 1 + K m + β m E         + 1 z 1 y [ 1 + α m R m K m ]
U m n e = y z R m + G m + z 1 y R m + y 1 z R m + G m + 1 z 1 y R m
The average payoff for the CMEs is: U m ¯ = x U m e + 1 x U m n e .
(2)
The expected payoffs for SMEs choosing the DT and NDT strategy can be given as follows:
U s e = x z 1 + α r R s 1 τ s C s + r s K m F s + β s E         + z 1 x 1 + α s R s S s ( 1 τ s ) C s         + x 1 z 1 + α r R s C s + r s K m F s + β s E         + 1 z 1 x [ 1 + α s R s S s C s ]
U s n e = x z ( R s + G s ) + z 1 x R s + x 1 z R s + G s + 1 z 1 x R s
The average payoff for SMEs is: U s ¯ = y U s e + 1 y U s n e .
(3)
The expected payoffs for the government choosing subsidy and non-subsidy strategies can be given as follows:
U g e = x y R g τ m K m τ s C s + I + x 1 y R g τ m K m         + y 1 x R g τ s C s + 1 x 1 y R g
U g n e = x y I
The average payoff for the government is: U g ¯ = z U g e + 1 z U g n e .
According to the Malthusian dynamic equation, the replication dynamic equations for the CMEs, SMEs, and the government are as follows:
U x = x 1 y R m α m K m + y F s + β m E + R m α r R m α m G m + ln 1 + K m + z τ m K m
U y = y 1 y R s α s C s S s + x R s α r + r s K m + S s + β s E R s α s G s F s + z τ s C s
U z = z 1 z R g y τ s C s x τ m K m

4. Evolutionary Game Equilibrium Analysis

4.1. Evolutionary Stability Analysis of CMEs

The first derivative of the replication dynamic equation for CMEs is obtained from Equation (1) as follows:
d U x d x = 1 2 x R m α m K m + y F s + β m E + R m α r R m α m G m + ln 1 + K m + z τ m K m
According to the stability theorem and properties of differential equations, the condition for the CMEs to choose the probability of empowerment in a stable state is U x = 0 and d U x d x < 0 . For convenience in discussion, let G z = R m α m K m + y F s + β m E + R m α r R m α m G m + ln 1 + K m + z τ m K m ,   z 1 = K m R m α m y F s + β m E + R m α r R m α m G m + ln 1 + K m τ m K m , y 1 = K m R m α m F s + β m E + R m α r R m α m G m + ln 1 + K m . Since d G z d z = τ m K m > 0 , G z is the increasing function of z .
When z = z 1 = K m R m α m y F s + β m E + R m α r R m α m G m + ln 1 + K m τ m K m , G z = 0 ,  U x 0 , at which point the core manufacturing enterprise cannot determine the stable strategy.
When z z 1 , setting U x = 0 , yield two possible evolutionary stable states: x = 0   o r   x = 1 .
(1)
If 0 < y 1 < y , then x = 1 is the evolutionary stable strategy for the CMEs.
(2)
If 0 < y < y 1 , when z < z 1 < 1 , x = 0 is the evolutionary stable strategy for the CMEs; while 0 < z 1 < z , x = 1 is the evolutionary stable strategy for the CMEs.
The phase diagram for the CMEs strategy evolution is shown in Figure 1, where 0 < z 1 < 1 .
Proposition 1.
When the probability of SMEs choosing the DT strategy is greater than y 1 , the CMEs tend to choose the empowerment strategy regardless of whether the government provides subsidies. When the probability of SMEs choosing DT strategy is less than y 1 , if the probability of government subsidies is less than z 1 , the CMEs tend to choose the non-empowerment strategy; if the probability of government subsidies is greater than z 1 , the CMEs tend to choose the empowerment strategy.
Proof. 
Combining the analysis of the evolutionary stability of CMEs, we will discuss the situation in two cases:
(1)
Case 1: When F s + β m E + R m α r R m α m G m + ln 1 + K m > 0 , y 1 = K m R m α m F s + β m E + R m α r R m α m G m + ln 1 + K m > 0 . If y > y 1 , then z 1 < 0 ; therefore, when z ϵ [ 0,1 ] , G z > 0 , d U x d x | x = 0 > 0 , d U x d x | x = 1 < 0 , meaning x = 1 is the evolutionary stable strategy. If y < y 1 , when z = z 1 , then G z = 0 , d U x d x = 0 , U x 0 , meaning that the CMEs cannot sure a stable strategy. When z < z 1 < 1 , then G z < 0 , d U x d x | x = 0 < 0 , d U x d x | x = 1 > 0 , so x = 0 is the evolutionary stable strategy. When z 1 < z < 1 , then G z > 0 , d U x d x | x = 0 > 0 , d U x d x | x = 1 < 0 , thus x = 1 is the evolutionary stable strategy.
(2)
Case 2: When F s + β m E + R m α r R m α m G m + ln 1 + K m < 0 , then z 1 > 0 . Therefore, when 0 < z = z 1 < 1 , then G z = 0 , d U x d x = 0 ,  U x 0 , meaning that the CMEs cannot sure a stable strategy. When z < z 1 < 1 , then G z < 0 , d U x d x | x = 0 < 0 , d U x d x | x = 1 > 0 , meaning x = 0 is the evolutionary stable strategy. When z 1 < z < 1 , then G z > 0 ,    d U x d x | x = 0 > 0 , d U x d x | x = 1 < 0 , so x = 1 is the evolutionary stable strategy. Therefore, as both y   a n d   z increase, the stable strategy of CMEs transitions from x = 0 to x = 1 , representing a shift from a non-empowerment strategy to an empowerment strategy. □
Proposition 1 indicates that when SMEs lack sufficient motivation for DT, CMEs face higher risks, such as sunk costs of technological investment and the potential losses from failed empowerment. In such cases, government subsidies can drive CMEs to shift from the non-empowerment strategy to the empowerment strategy. However, when SMEs are more motivated to undergo DT, CMEs tend to choose the empowerment strategy regardless of whether the government provides subsidies. Therefore, when SMEs have low motivation for DT, the government needs to develop stable and transparent subsidy policies, enhance the credibility of the policies, and send clear and positive signals to CMEs to encourage empowerment. When SMEs have high motivation for DT, the government can gradually reduce the probability of subsidies and shift towards market autonomy, avoiding long-term reliance on government policies. Simultaneously, SMEs should actively express their demand and willingness for DT, sending positive signals of cooperation to CMEs in order to encourage them to adopt the empowerment strategy.
Inference 1.
The probability of the CMEs choosing the empowerment strategy is correlated positively with basic benefits, value-added service fees, direct benefits coefficients, excess benefits, and the respective profit distribution coefficients, while it is negatively correlated with the empowerment costs and free-rider benefits.
Proof. 
Figure 1 shows the volume V m 1 representing the probability of the CMEs adopting the non-empowerment strategy, and V m 2 representing the probability of choosing the empowerment strategy. The calculations are as follows:
The volume for the non-empowerment strategy is: V m 1 = 0 1 0 1 K m R m α m y F s + β m E + R m α r R m α m G m + ln 1 + K m τ m K m d y d z = 2 K m R m α m F s β m E R m α r + G m ln 1 + K m 2 τ m K m . The volume for the empowerment strategy is: V m 2 = 1 2 K m R m α m F s β m E R m α r + G m ln 1 + K m 2 τ m K m .
The first-order partial derivative of V m 2 with respect to K m is: V m 2 K m = ( 2 1 1 + K m ) ( 2 τ m K m ) + ( 2 K m R m α m F s β m E R m α r + G m ln 1 + K m ) ( 2 τ m ) ( 2 τ m K m ) 2 = G m R m α m + α r F s β m E 2 τ m K m 2 + K m 1 + K m ln 1 + K m 2 τ m K m 2 . Since G m < R m α m + α r , s o G m R m α m + α r F s β m E < 0 . Next, analyzing K m 1 + K m ln 1 + K m : Let 1 + K m = m , so K m = m 1 , then h m = 1 1 m ln m , Taking the derivative of h m with respect to m : h m = d h m d m = 1 m m 2 , setting h m = 0   g i v e s   m = 1 . When m < 1 , h m > 0 , meaning h m is increasing. When m > 1 , h m < 0 , meaning h m is decreasing. Therefore, the maximum value of h m occurs at m = 1 , and h 1 = 0 . Thus, K m 1 + K m ln 1 + K m h 1 = 0 , so V m 2 K m = < 0 .
The first-order partial derivatives of V m 2 with respect to the other influencing factors are: V m 2 R m = α m + α m 2 τ m K m > 0 , V m 2 α m = R m 2 τ m K m > 0 , V m 2 F s = 1 2 τ m K m > 0 , V m 2 β m = E 2 τ m K m > 0 , V m 2 E = β m 2 τ m K m > 0 , V m 2 α r = R m 2 τ m K m > 0 , V m 2 G m = 1 2 τ m K m < 0 . Therefore V m 2 is the monotonically increasing function of R m , α m , F s , α r , β m , E , and the monotonically decreasing function of G m , K m . That is, the increase in R m , α m , F s , α r , β m , E or the decrease in G m , K m , will increase the probability of the CMEs adopting the empowerment strategy. □
Inference 1 suggests that the improvements of the CMEs’ basic benefits and the direct benefits coefficients, the enhancement of the excess benefits, value-added service fees, and the profit distribution coefficient, as well as reductions in empowerment costs and free-riding benefits, can significantly increase the CMEs’ willingness to empower. However, the CMEs require high capital turnover and high investment due to the larger operational scale, the high complexity of DT, and the key position in the supply chain. If the empowerment costs are too high, CMEs will reduce the willingness to adopt the empowerment strategy; especially when free-riding benefits are large or empowerment costs are excessively high, CMEs are more likely to abandon the empowerment behavior. Therefore, CMEs should plan the investment of empowerment funds and resources reasonably, improve empowerment levels and supply chain collaboration efficiency, optimize the profit distribution mechanism, and control empowerment costs to ensure an effective balance between benefits and costs, thereby maximizing the empowerment effect. Furthermore, the government can assist CMEs in reducing empowerment costs by increasing subsidies, establishing public service platforms, providing technical training, and taking regulatory measures to reduce opportunistic behavior, thus effectively promoting the empowerment decision-making of CMEs.

4.2. Evolutionary Stability Analysis of SMEs

The first derivative of the replication dynamic equation for SMEs is obtained from Equation (2) as follows:
d U y d y = 1 2 y R s α s C s S s + x R s α r + r s K m + S s + β s E R s α s G s F s + z τ s C s
According to the stability theorem and properties of differential equations, the condition for SMEs to adopt the probability of DT in a stable state is U y = 0 and d U y d y < 0 . Let Q z = R s α s C s S s + x R s α r R s α s + S s + β s E G s F s + r s K m + z τ s C s ,   z 2 = C s + S s R s α s x R s α r R s α s + S s + β s E G s F s + r s K m τ s C s ,   x 1 = C s + S s R s α s R s α r + r s K m + S s + β s E R s α s G s F s . Since d Q z d z = τ s C s > 0 , Q z is the increasing function of z .
When z = z 2 , then Q z = 0 , d U y d y = 0 , U y 0 , at which point the SMEs cannot ensure a stable strategy.
When z z 1 , two cases are considered:
(1)
If 0 < x 1 < x , then Q z > 0 , d U y d y | y = 0 > 0 , d U y d y | y = 1 < 0 , so y = 1 is the evolutionary stable strategy of SMEs.
(2)
If 0 < x < x 1 , when z < z 2 < 1 , then Q z < 0 , d U y d y | y = 0 < 0 , d U y d y | y = 1 > 0 , thus y = 0 is the evolutionary stable strategy of SMEs; When 0 < z 2 < z , then Q z > 0 , d U y d y | y = 0 > 0 , d U y d y | y = 1 < 0 , thus y = 1 is the evolutionary stable strategy of the SMEs.
The phase diagram for the SMEs strategy evolution is shown in Figure 2, where 0 < z 1 < 1 .
Proposition 2.
When the probability of CMEs choosing the empowerment strategy is greater than x 1 , SMEs tend to choose the DT strategy regardless of the probability of government subsidies. When the probability of CMEs choosing the empowerment strategy is less than x 1 , if the probability of government subsidies is less than z 2 , SMEs tend to choose the NDT strategy; if the probability of government subsidies is greater than z 2 , SMEs tend to choose the DT strategy.
Proof. 
Combining the analysis of the evolutionary stability of SMEs, we will discuss the situation in two cases:
(1)
Case 1: When R s α r + r s K m + S s + β s E R s α s G s F s > 0 , then x 1 > 0 . If x > x 1 , then z 2 < 0 . When z ϵ [ 0,1 ] , Q z > 0 ,   d U y d y | y = 0 > 0 , d U y d y | y = 1 < 0 , meaning y = 1 is the evolutionary stable strategy. If x < x 1 , when z = z 2 , then Q z = 0 , d U y d y = 0 ,  U y 0 , indicating that at which point the SMEs cannot sure a stable strategy. When z < z 2 < 1 , then Q z < 0 , d U y d y | y = 0 < 0 , d U y d y | y = 1 > 0 , so y = 0 is the evolutionary stable strategy. When z > z 2 , then Q z > 0 , d U y d y | y = 0 > 0 , d U y d y | y = 1 < 0 , thus x = 1 is the evolutionary stable strategy.
(2)
Case 2: When R s α r + r s K m + S s + 1 β m E R s α s G s F s < 0 , we observe z 2 > 0 . When 0 < z = z 2 < 1 , then Q z = 0 , d U y d y = 0 , U y 0 , indicating that at which point the SMEs cannot sure a stable strategy. When z < z 2 < 1 , then Q z < 0 , d U y d y | y = 0 < 0 , d U y d y | y = 1 > 0 , meaning y = 0 is the evolutionary stable strategy. When z 2 < z < 1 , then Q z > 0 , d U y d y | y = 0 > 0 , d U y d y | y = 1 < 0 , so y = 1 is the evolutionary stable strategy. Therefore, as both x   a n d   z increase, the stable strategy of SMEs transitions from y = 0 to y = 1 , representing a shift from the NDT strategy to the DT strategy. □
Proposition 2 indicates that the support from CMEs is a strong driving force for the DT of SMEs. When the willingness of CMEs to empower is sufficiently high, SMEs expect to reduce the risks and losses of DT through the technological output, order guarantees, supply chain collaboration, and other means provided by CMEs. As a result, they tend to choose the DT strategy. When CMEs provide insufficient empowerment, government subsidies can drive SMEs to shift from the NDT strategy to the DT strategy. Therefore, CMEs should convey positive empowerment signals to SMEs and establish a sound empowerment mechanism to help SMEs overcome the challenges of DT. Government policies should flexibly adjust the intensity of intervention based on the participation of CMEs, forming a “market-driven and government-complement” collaborative model. When the willingness of CMEs to empower is low, government subsidies should play a role, while when the willingness of CMEs to empower is high, subsidies should be gradually reduced to unleash market vitality.
Inference 2.
The probability of SMEs choosing the DT strategy is correlated positively with the empowerment costs of CMEs, the excess benefits and their profit distribution coefficients, as well as their basic benefits and absorptive capacity. While it is negatively correlated with value-added service fees, risk loss costs, and free-riding benefits.
Proof. 
Figure 2 shows the volume V s 1 representing the probability of the SMEs adopting the NDT strategy, and V s 2 representing the probability of adopting the DT strategy. The calculations are as follows:
The volume for the NDT strategy is: V s 1 = 0 1 0 1 C s + S s R s α s x R s α r R s α s + S s + β s E G s F s + r s K m τ s C s d x d z = 2 C s + S s β s E R s α s + F s R s α r + G s r s K m 2 τ s C s . The volume for the DT strategy is: V s 2 = 1 V s 1 = 1 2 C s + S s β s E R s α s + F s R s α r + G s r s K m 2 τ s C s .
So the first-order partial derivatives of V s 2 to each influencing factor are as follows: V s 2 G s = 1 2 τ s C s < 0 , V s 2 S s = 1 2 τ s C s < 0 , V s 2 R s = α s + α r 2 τ s C s > 0 , V s 2 α s = R s 2 τ s C s > 0 , V s 2 α r = R s 2 τ s C s > 0 , V s 2 F s = 1 2 τ s C s < 0 , V s 2 r s = K m 2 τ s C s > 0 , V s 2 K m = r s 2 τ s C s > 0 , V s 2 β s = E 2 τ s C s > 0 , V s 2 E = β s 2 τ s C s > 0 . Therefore, V s 2 is the monotonically increasing function of R s , α s , α r , r s , K m , β s , E and the monotonically decreasing function of G s , S s , F s . In other words, the increase in R s , α s , α r , r s , K m , β s , E or the decrease in G s , S s , F s will increase the probability of the SMEs adopting the strategy of DT. □
Inference 2 indicates that the empowerment behavior of CMEs, the basic benefits, absorptive capacity, direct benefits coefficients, excess benefits, and profit distribution coefficients of SMEs all have a positive effect on enhancing SMEs’ willingness to adopt DT. However, when the costs of DT risk losses, free-riding benefits, or value-added service fees are too high, the willingness of SMEs to adopt DT decreases. Therefore, SMEs should strengthen their digital capabilities, optimize resource allocation and profit distribution mechanisms, increase their efforts in DT, and actively seek external support to enhance their ability to handle the challenges of DT. CMEs can increase the scale of empowerment or design risk-sharing mechanisms to help SMEs alleviate the risks and burdens they may face during the DT process while setting reasonable value-added service fees to enhance SMEs’ willingness to take DT. In addition, the government can provide DT consulting or training services and take regulatory measures to reduce opportunistic behavior among SMEs, further boosting their willingness to embrace DT. As inferred from inference 1, an increase in the profit distribution coefficient β m and the value-added service fee can enhance the empowerment willingness of CMEs, where β m + β s = 1 . Therefore, a reduction in β m and F s would increase the willingness of SMEs to undergo DT. Since the profit distribution coefficient of CMEs and the value-added service fee essentially reflect the bargaining power between CMEs and SMEs, some SMEs, due to their weak position, lack bargaining power and are at a disadvantage in the distribution of DT benefits, thus losing their initiative in the DT process. Furthermore, CMEs may transfer the empowerment costs by setting higher profit distribution coefficients and value-added service fees, thereby reducing SMEs’ willingness to undergo DT. Therefore, when SMEs are in a disadvantaged position, the design of contracts related to value-added service fees and profit distribution coefficients could involve government regulation or other institutions as witnesses to protect the interests of SMEs.

4.3. Evolutionary Stability Analysis of Government

The first derivative of the replication dynamic equation for the government is obtained from Equation (3) as follows:
d U z d z = 1 2 z R g y τ s C s x τ m K m
According to the stability theorem and properties of differential equations, the condition for the probability of government subsidy to be in a stable state is U z = 0 and d U z d z < 0 . For convenience in discussion, let H z = R s α s C s S s + x R s α r R s α s + S s + 1 β m E G s F s + r s K m + z τ s C s ,   x 2 = R g τ s C s y τ m K m ; L e t   H y = R g τ s C s y τ m K m x , y 2 = R g τ m K m x τ s C s . Since d H x d x = τ m K m < 0 , d H y d y = τ s C s < 0 , H x is the decreasing function of x , H y is the decreasing function of y .
(1)
when x = x 2 < 1 , the government cannot sure a stable strategy; when x > x 2 , z = 0 is the government’s evolutionarily stable strategy; when x < x 2 < 1 , z = 1 is the government’s evolutionarily stable strategy.
(2)
when y = y 2 < 1 , the government cannot sure a stable strategy; when y > y 2 , z = 0 is the government’s evolutionarily stable strategy; when y < y 2 < 1 , z = 1 is the government’s evolutionarily stable strategy.
The phase diagram for the government strategy evolution is shown in Figure 3.
Proposition 3.
When the probability of CMEs empowering satisfies x > x 2 or the probability of SMEs choosing DT satisfies y > y 2 , the government tends to choose the no-subsidy strategy. In other words, the stronger the DT willingness of CMEs and SMEs, the more likely the government will not provide subsidies.
Proof. 
Let H x = R g τ s C s y τ m K m x . From H x = 0 we obtain x 2 = R g τ s C s y τ m K m . Since d H x d x = τ m K m < 0 , H x is the decreasing function of x . Given that R g > τ s C s   a n d   0 y 1 , it follows that R g τ s C s y > 0 , so x 2 = R g τ s C s y τ m K m > 0 . When x = x 2 < 1 , then H x = 0 , d U z d z = 0 , U y 0 , at which point the government cannot determine the stable strategy. When x 2 < x < 1 , then H x < 0 , d U z d z | z = 0 < 0 , d U z d z | z = 1 > 0 , meaning z = 0 is the evolutionary stable strategy. When x < x 2 < 1 , then H x > 0 , d U z d z | z = 0 > 0 , d U z d z | z = 1 < 0 , z = 1 is the evolutionary stable strategy. Similarly, let H y = R g τ s C s y τ m K m x . From H y = 0 we obtain y 2 = R g τ m K m x τ s C s . Since d H y d y = τ s C s < 0 , H y is the decreasing function of y . Given that R g > τ m K m and 0 x 1 , it follows that R g τ m K m x > 0 , so y 2 = R g τ m K m x τ s C s > 0 . When 0 < y = y 2 < 1 , then H y = 0 , d U z d z = 0 , U y 0 , at which point the government cannot determine the stable strategy. When y 2 < y < 1 , then H y < 0 , d U z d z | z = 0 < 0 , d U z d z | z = 1 > 0 , meaning z = 0 is the evolutionary stable strategy. When y < y 2 < 1 , then H y > 0 , d U z d z | z = 0 > 0 , d U z d z | z = 1 < 0 , z = 1 is the evolutionary stable strategy. □
Proposition 3 indicates that government subsidies act as a “starter” in the early stages of DT, rather than a long-term “fuel”. When the willingness of CMEs to empower and the willingness of SMEs to undergo DT are high, the government could avoid excessive intervention. Subsidy policies should be timely and proactively withdrawn to prevent resource waste or market distortion. Therefore, the government can set dynamic subsidy policies based on the probabilities of CMEs and SMEs choosing strategies, gradually reducing subsidies until subsidy behavior is eliminated.

4.4. Three-Party Evolutionarily Stable Strategy

According to Reinhard’s [48] research conclusion, in asymmetric dynamic games, the mixed strategy equilibrium is not the evolutionarily stable equilibrium. Therefore, it only analyzes the pure strategy equilibrium points of the evolutionary game system [48]. By solving U x = 0 , U y = 0   a n d   U z = 0 , eight pure strategy equilibrium points can be obtained: E 1 (0, 0, 0), E 2 (1, 0, 0), E 3 (0, 1, 0), E 4 (0, 0, 1), E 5 (1, 1, 0), E 6 (1, 0, 1), E 7 (0, 1, 1), E 8 (1, 1, 1). From Equations (1)–(3), the following system of equations can be obtained as follows [49]:
U x = x 1 x R m α m K m + y F s + β m E + R m α r R m α m G m + ln 1 + K m + z τ m K m U y = y 1 y R s α s C s S s + x R s α r + r s K m + S s + β s E R s α s G s F s + z τ s C s U z = z 1 z [ R g τ s C s y x τ m K m ]
The Jacobian matrix of Equation (4) is as below:
J = U ( x ) x U ( x ) y U ( x ) z U ( y ) x U ( y ) y U ( y ) z U ( z ) x U ( z ) y U ( z ) z = 1 2 x y ( β m E + R m α r R m α m + F s G m + l n ( 1 + K m ) ) + R m α m K m + + z τ m K m x 1 x F s + β m E + R m α r G m R m α m + ln 1 + K m x 1 x τ m K m y 1 y R s α r + r s K m + β s E + S s R s α s G s F s 1 2 y x ( R s α r + r s K m + S s + β s E R s α s G s F s ) + z τ s C s + R s α s C s S s y 1 y τ s C s z 1 z τ m K m z 1 z τ s C s 1 2 z R g τ s C s y τ m K m x
Using Lyapunov’s first method to analyze the stability of the equilibrium points: If all eigenvalues of the Jacobian matrix have negative real parts, the equilibrium point is asymptotically stable; if the Jacobian matrix has at least one eigenvalue with a positive real part, the equilibrium point is unstable; if the Jacobian matrix has eigenvalues with zero real parts, while the remaining eigenvalues have negative real parts, the equilibrium point is in a critical state [49,50,51,52]. The corresponding eigenvalues are obtained by substituting the eight pure strategy equilibrium points into the Jacobian matrix, as shown in Table 2.
So, when λ 1 < 0, λ 2 < 0, and λ 3 < 0, the equilibrium point is the Evolutionarily Stable Strategy. From the previous parameter assumptions, we can infer that R g τ m K m > 0 , R g τ s C s > 0 , and C s R s α s τ s C s + S s > 0 . Therefore, the equilibrium points E 1 (0, 0, 0), E 2 (1, 0, 0), E 3 (0, 1, 0), E 7 (0, 1, 1) all have non-negative eigenvalues and do not satisfy the stability condition. Thus, this paper only analyzes the equilibrium points E 4 (0, 0, 1), E 5 (1, 1, 0), E 6 (1, 0, 1), a n d   E 8 (1, 1, 1). The following four propositions can be derived:
Proposition 4.
When R m α m K m + τ m K m < 0 , the evolutionary stable point of the system is E 4 (0, 0, 1), that is, the CMEs do not empower, the SMEs do not transform, and the government provides subsidies. R m α m K m + τ m K m < 0 represents the net benefit of CMEs after empowerment under government subsidies. Therefore, even if the government provides subsidies, when the net benefit after empowerment by CMEs remains negative, choosing not to empower is the optimal strategy for CMEs, as empowerment would lead to losses. DT of SMEs usually relies on empowerment by CMEs. If CMEs do not provide empowerment, SMEs may rationally choose not to pursue DT due to a lack of technology, resources, or high transformation costs.
Proposition 5.
When K m F s β m E l n 1 + K m R m α r + G m < 0 , C s β s E + F s + G s R s α r r s K m < 0 , R g τ s C s τ m K m < 0 , the evolutionary stable point of the system is E 5 (1, 1, 0), that is, the CMEs empower, the SMEs transform, and the government does not provide subsidies. When the long-term benefits of empowerment by CMEs exceed the sum of empowerment costs and opportunity costs, CMEs tend to choose empowerment. Similarly, when the benefits of DT for SMEs exceed the sum of DT costs and opportunity costs, SMEs are inclined to choose DT. At this point, due to the total cost of government subsidies exceeding the basic benefits, the government does not provide subsidies. However, because the benefits of collaboration between CMEs and SMEs can cover the costs, both parties can achieve self-incentivization through market-based collaboration, making government subsidy unnecessary.
Proposition 6.
When K m R m α m τ m K m < 0 , R s a r + β s E F s C s + r s K m + τ s C s G s < 0 , the evolutionary stable point of the system is E 6 (1, 0, 1), that is, the CMEs empower, the SMEs do not transform, and the government provides subsidies. When government subsidies make the actual cost of empowerment by CMEs lower than the direct benefits derived from empowerment, CMEs still choose the empowerment strategy, even if SMEs choose the NDT strategy. This is because the direct incentives from government subsidies and the benefits brought by empowerment itself can offset the costs lost in the empowerment process. At this point, government subsidies and the empowerment support from CMEs still cannot compensate for the losses brought about by the DT of SMEs, so SMEs tend to choose the NDT strategy.
Proposition 7.
When K m F s β m E ln 1 + K m + G m R m α r τ m K m < 0 , C s β s E + F s R s α r r s K m τ s C s + G s < 0 , τ s C s + τ m K m R g < 0 , the evolutionary stable point of the system is E 8 (1, 1, 1), that is, the CMEs empower, the SMEs transform, and the government provides subsidies. Under government subsidies, because the long-term benefits of empowerment chosen by CMEs are greater than the sum of the empowerment costs and opportunity costs, CMEs tend to choose the empowerment strategy. Similarly, under government subsidies, when the benefits of DT for SMEs are greater than the sum of the DT costs and opportunity costs, SMEs tend to choose the DT strategy. At this point, the basic benefits for the government exceed the total cost of subsidies, indicating that fiscal expenditure remains within a reasonable range, and therefore the government chooses to provide subsidies.

5. Numerical Analysis

According to the industrial cycle theory [53], the equilibrium point E 5 (1, 1, 0) represents the optimal evolutionary stable strategy during the mature stage of DT, where the government gradually withdraws subsidies, and market-driven forces take the lead. This is also the ideal stable strategy the system aims to achieve. However, according to the “2024 Report on the DT of SMEs”, the majority of SMEs are still in the early stages of DT or have not started the process. The issues of “daring not to transform, not wanting to transform, and not knowing how to transform” are widespread. Therefore, at this stage, government subsidies are necessary, which aligns with the actions of many developing countries that continue to provide subsidies for the DT of SMEs. Given the current situation, this paper takes E 8 (1, 1, 1) as the optimal stable strategy for the system at this stage and conducts numerical simulations on the stable strategy E 8 to analyze how government subsidies and other related factors influence the stable strategies of the three parties.
Due to the sensitivity and fragmented nature of enterprise data, there is currently a lack of real and publicly available complete datasets. And research has shown that the value of simulation models lies in their explanatory power and ability to reveal mechanisms, rather than in fully replicating reality [54,55]. Therefore, in order to enhance the similarity between the model simulation results and the actual situation, this paper is based on existing partial data and abstracts parameters with reference to suggestions from certain scholars. Specifically, case studies from the “Typical Cases of DT in Guangdong Province’s Manufacturing Industry” and the “Typical Cases of ‘Chain’ DT of SMEs” are analyzed. For example, over a period of ten years, Midea has invested more than CNY 20 billion in DT, and in 2021, Midea Group achieved a net profit of CNY 29 billion. Through empowerment, Midea Group’s production efficiency saw a significant increase of 70%. Embraer, through the ONEChain program, has improved the visibility and transparency of the production capacity of over 200 suppliers by 40%. Perfect Daily Products Co., Ltd. (Yangzhou, China) upgraded digitally in supply chain quality assurance, online production quality testing, and product traceability, resulting in a 34% increase in per capita output value and a 74% reduction in risk. The Haixingyun Manufacturing Cloud Platform empowered SMEs, enabling management and traceability of the entire production process, shortening production cycles by more than 30%, and shortening order delivery time by more than 40%. Regarding policies, the central government provides subsidies up to CNY 150 million for provincial capital cities and municipalities directly under the central government, with a maximum of CNY 100 million for other prefecture-level cities. Funds require that more than 80% be used for SME transformation, with subsidy rates typically ranging from 30% to 50%. Therefore, we set the values of some parameters as follows: α m = 0.3 , α r = 0.5 , α s = 0.4 , τ m = 0.3 , τ s = 0.4 ,  R g = 13 . Other parameters are assigned values based on the ideas of Hao et al. [50] and Zhang et al. [33], while ensuring that they do not deviate from industry benchmarks and satisfy the conditions as follows: K m F s β m E ln 1 + K m + G m R m α r τ m K m < 0 , C s β s E + F s R s α r r s K m τ s C s + G s < 0 , τ s C s + τ m K m R g < 0 . The parameter values are shown in Table 3. Since the simulated values cannot accurately reflect the actual income and cost values in the DT of SMEs, the focus is on conducting a sensitivity analysis of the strategic choices of the three parties under changes in different key parameters. MATLAB 2024b software is used to simulate and analyze the strategy choices of the three parties under different scenarios.

5.1. Model Validity Test

A numerical simulation is simulated under the aforementioned conditions. To more accurately and objectively reflect the system’s evolutionary path, the simulation begins with the random initial willingness from three parts and evolves over time. The final evolution results are shown in Figure 4. As shown in Figure 4, the system ultimately evolves to the stable strategy E 8 (1, 1, 1). The results of the simulation analysis are the same as the conclusions of the three-party stable strategy analysis, indicating that the model is valid. That is, when K m F s β m E ln 1 + K m + G m R m α r τ m K m < 0 , C s β s E + F s R s α r r s K m τ s C s + G s < 0 , τ s C s + τ m K m R g < 0 , the CMEs empower, the SMEs transform, and the government provides subsidies. Under the condition that all other factors stay the same, the initial willingness does not affect the evolutionarily stable strategy, but it does influence the trajectory of the agent’s evolution towards the stable strategy. The higher the initial willingness, the more quickly the system evolves towards the stable strategy.
Next, still take E 8 (1, 1, 1) as the stable strategy for the current stage of DT in the supply chain, studying the impact of various key factors on the evolutionary stable strategy. To eliminate the impact of the initial strategy probabilities of the three game participants on the evolutionary stable state, the initial strategy probabilities for each participant are set to (x, y, z) = (0.5, 0.5, 0.5).

5.2. The Impact of Single Factors on the Evolutionary Stable Strategy

5.2.1. The Impact of Government Subsidy Intensity on the System’s Evolutionary Results

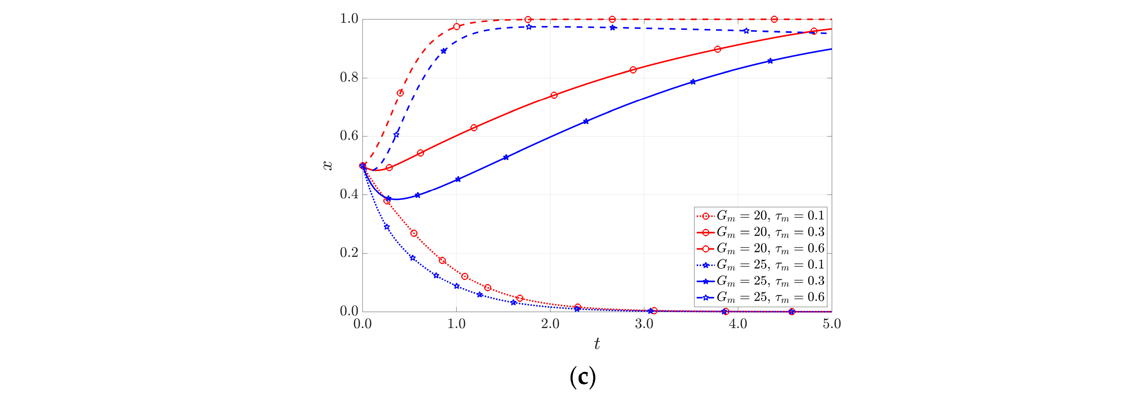
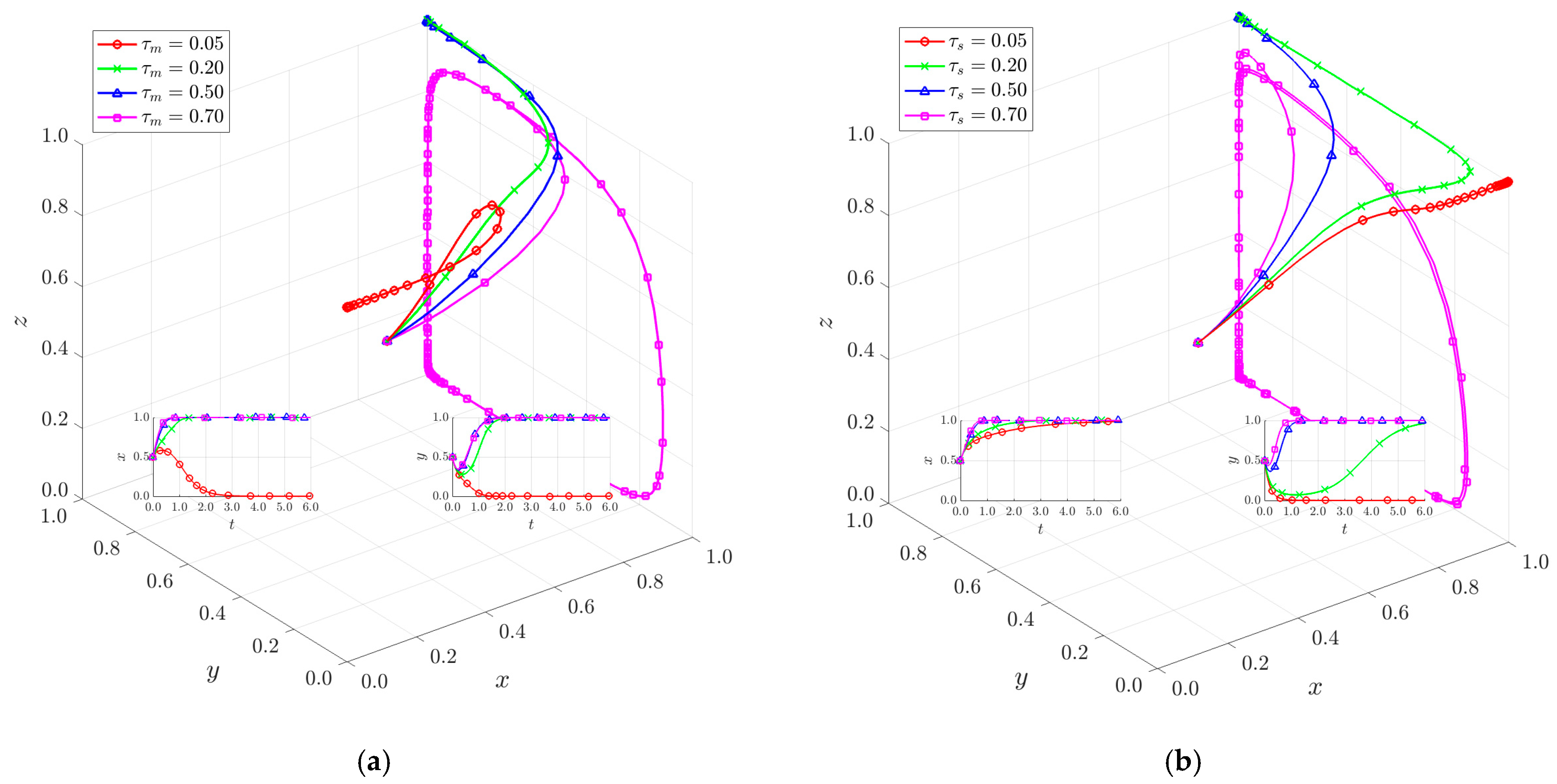
Under the condition that other parameters remain unchanged, the government subsidy intensity for CMEs τ m and for SMEs τ s are set to 0.05, 0.20, 0.50, and 0.70. The simulation results are shown in Figure 5.
Figure 5a shows that when the government subsidy intensity for CMEs is 0.05 ( τ m = 0.05 ), the system will evolve to the (0, 0, 1) stable strategy. As the government subsidy intensity increases to τ m [ 0.2 , 0.5 ] , the system will evolve to the (1, 1, 1) stable strategy, where CMEs empower, and SMEs undergo DT. When the subsidy intensity for CMEs continues to increase to 0.7, the system no longer has an evolutionary stable strategy, as an excessively high subsidy leads to over-expenditure in government finances. Figure 5b shows that when the government subsidy intensity for SMEs is 0.05 ( τ s = 0.05 ), the system will evolve to the (1, 0, 1) stable strategy. As the subsidy intensity continues to increase to τ s [ 0.2 , 0.5 ] , the system will evolve to the (1, 1, 1) evolutionary stable strategy, where CMEs empower and SMEs undergo DT. However, when the government subsidy intensity for SMEs continues to increase to 0.7, the system no longer has an evolutionary stable strategy.
It can be concluded that when the government subsidy intensity is too low, CMEs tend to not empower, and SMEs tend to not transform. As the subsidy intensity gradually increases and reaches a critical threshold, CMEs shift from the non-empowerment strategy to the empowerment strategy, and SMEs shift from the NDT strategy to the DT strategy. Moreover, as the government subsidy intensity increases, both CMEs and SMEs evolve more rapidly toward stable strategies. Specifically, the probability of CMEs choosing the empowerment strategy and the probability of SMEs choosing the DT strategy both significantly increase. It is worth noting that when the government subsidy intensity exceeds the critical value, the convergence speed of CMEs choosing the empowerment strategy becomes faster than the convergence speed of SMEs choosing the DT strategy. Conversely, when the government subsidy intensity is below the critical value, the convergence speed of SMEs choosing the NDT strategy is faster than the convergence speed of CMEs choosing the non-empowerment strategy. Additionally, the government subsidy intensity for CMEs not only affects the strategic choices of CMEs but also indirectly influences the strategic choices of SMEs. In contrast, the government subsidy intensity for SMEs only affects the strategic choices of SMEs themselves.
In summary, the intensity of government subsidies has an inverted U-shaped effect on the effectiveness of empowerment and DT. A certain level of subsidy can successfully motivate CMEs to adopt the empowerment strategy and drive SMEs to choose the DT strategy. When the government subsidy intensity is moderate, due to the advantages in resources, scale, management, and technology, CMEs are able to quickly utilize the subsidy to achieve faster strategy convergence, which can also influence the strategic choices of SMEs by the supply chain and the whole industry or through market effects. For example, Gree Electric quickly promoted the digitalization of its supply chain after receiving subsidies, due to its strong financial and technological capabilities. In contrast, SMEs face limitations in funding and technology and require more time to assess risks and benefits, making their DT process slower and their convergence rate relatively slower. In addition, when the subsidy intensity is low, SMEs tend to adopt a conservative strategy due to insufficient funding or lack of transformation incentives. Furthermore, SMEs are more dependent on subsidies, and once subsidies are insufficient, they are more likely to converge to a stable state of NDT compared to CMEs. This reflects the high sensitivity of SMEs to subsidies, while also indicating a lack of intrinsic motivation. Additionally, excessively high subsidies can lead to a dependency on government subsidies rather than intrinsic motivation in enterprise strategies. Therefore, the government needs to precisely set the subsidy intensity to strike a balance between correcting market failures and avoiding distortions. Alternatively, phased evaluations can be introduced in subsidy policies to prevent enterprises from becoming dependent on subsidies. And design a dynamic subsidy phase-out mechanism based on business behavior, gradually eliminating subsidies to stimulate the intrinsic motivation of SMEs.

5.2.2. The Impact of Basic Benefits on the System’s Evolutionary Results

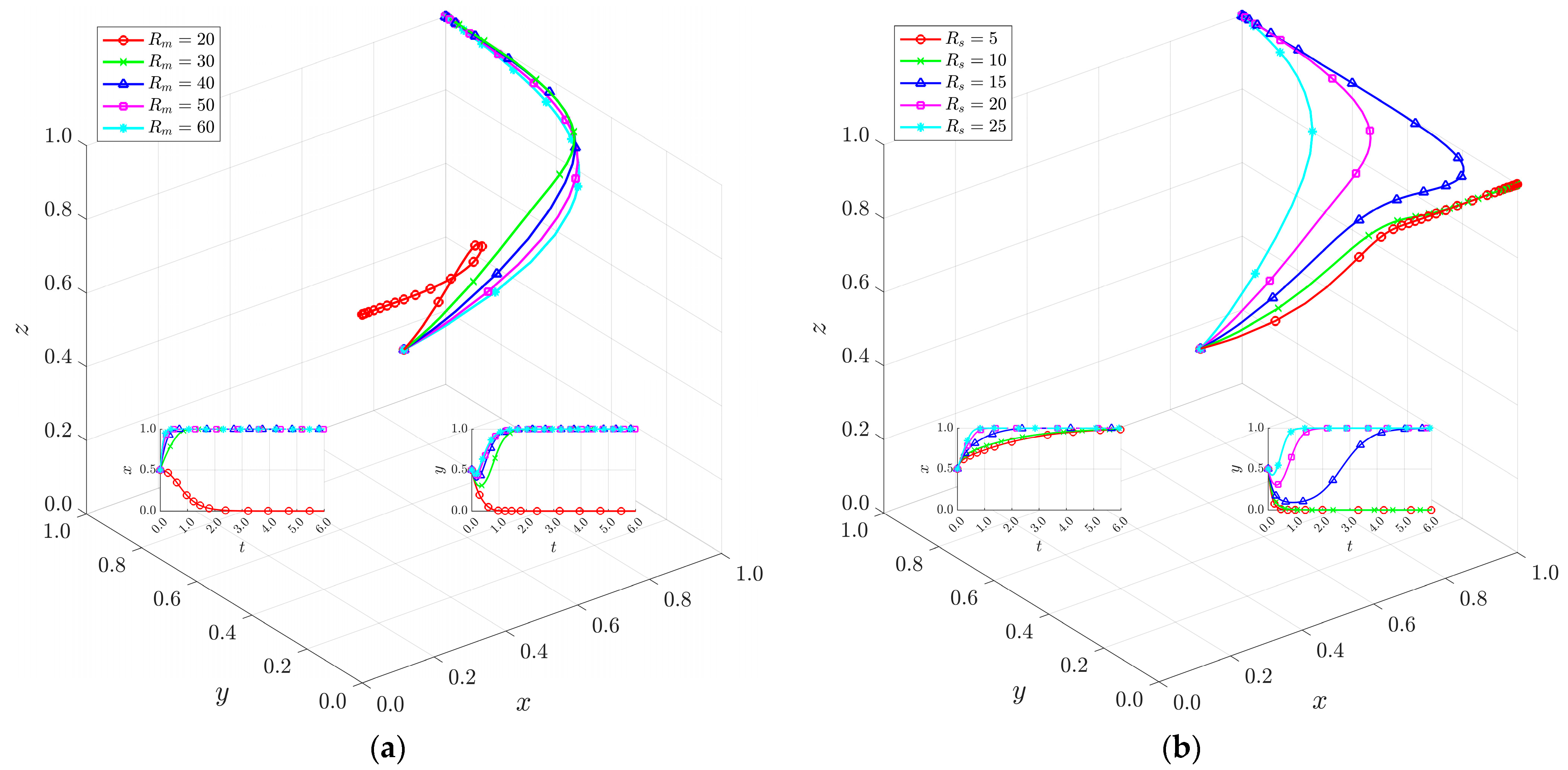
Since R m represents the basic benefits of CMEs in the supply chain and R s represents the basic benefits of SMEs in the supply chain, it is set that R m > R s . To analyze the impact of R m and R s on the evolutionary game process and results, R m is assigned values of 20, 30, 40, 50, and 60; R s is assigned values of 5, 10, 15, 20, and 25. The simulation results are shown in Figure 6.
(1)
CMEs
Figure 6a shows that the system evolves to the (0, 0, 1) stable strategy when the basic benefits of CMEs are low ( R m = 20 ), indicating that, under limited resources and funding, CMEs primarily focus on maintaining existing operations and tend to choose the non-empowerment strategy. As the basic benefits R m of CMEs increase, to the range of [30,40,50,60], disposable resources of CMEs grow, thereby driving the system to evolve to the (1, 1, 1) stable strategy. The higher the basic benefits, the faster the system evolves to the equilibrium point. It is worth noting that when the basic benefits of CMEs are low, SMEs also tend to avoid choosing DT. This is due to the low basic benefits of CMEs at this time, which may reflect issues such as a shrinking profit margin in the entire industry or supply chain, declining industry prosperity, or technical and management bottlenecks, while SMEs usually rely on the market performance and orders of CMEs. Therefore, SMEs are more inclined to avoid risks, maintain existing operations, and choose not to transform in an uncertain economic environment.
(2)
SMEs
Figure 6b illustrates that the system tends to evolve to the stable strategy (1, 0, 1) when the benefits of SMEs are in the range of [5,10]. When the basic benefits R s of SMEs increase to the range of [15,20,25], the system gradually evolves to the stable strategy (1, 1, 1), and the higher the basic benefits of SMEs, the faster the system evolves to the equilibrium point. This indicates that SMEs with low basic benefits often face significant survival pressure and struggle to obtain sufficient funding, which limits their ability and willingness to undertake DT, leading to a preference for the NDT strategy. While SMEs with higher basic benefits possess more funds, resources, and risk resilience, enabling them to support DT and upgrading, they tend to choose the DT strategy. Therefore, when CMEs empower SMEs, there is a need to fully recognize the demands and challenges faced by SMEs in low-profit regions on the path of DT. Attention should be directed towards a broader group of weaker SMEs, and effective empowerment measures should be implemented to provide support. This will create a development scenario where larger enterprises drive smaller ones, thereby collectively promoting the progress and development of the entire industry.

5.2.3. The Impact of Empowerment Costs and DT Costs on the System’s Evolutionary Results

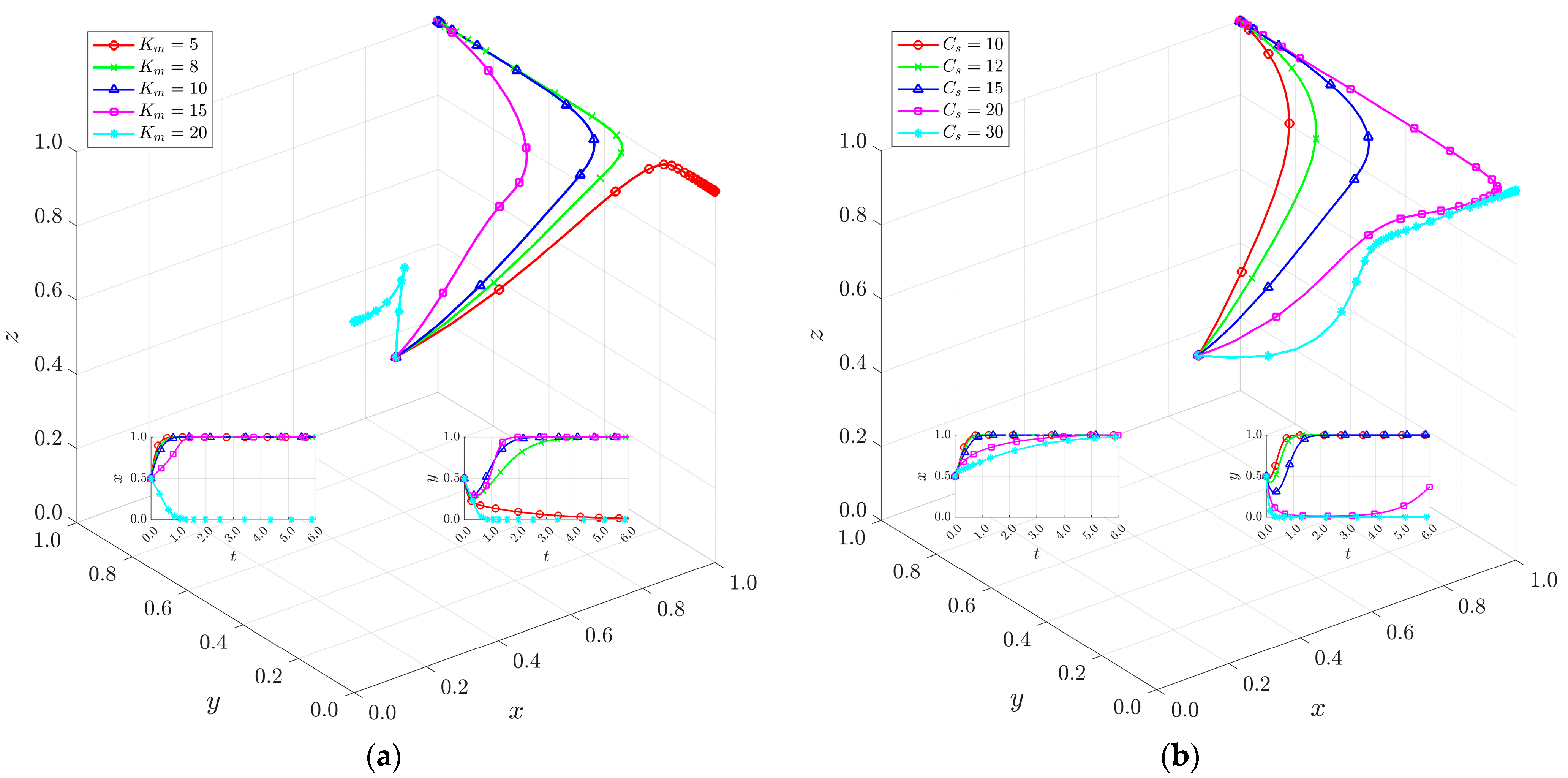
To analyze the impact of K m and C s on the evolutionary game process and results, K m is assigned values of 5, 8, 10, 15, and 20, while C s is assigned values of 10, 12, 15, 20, and 30. The simulation results are shown in Figure 7.
(1)
CMEs
Figure 7a illustrates that the empowerment costs of CMEs play a crucial role in the strategic choices of both the CMEs and SMEs. Under constant conditions, the CMEs tend to adopt the non-empowerment strategy when the empowerment costs K m = 20 , which results in the system evolving to the (0, 0, 1) stable state. CMEs gradually shift to the empowerment strategy as the empowerment costs decrease to K m [ 8,10,15 ] , and the system eventually reaches the (1, 1, 1) stable state. Additionally, lower empowerment costs expedite the system’s progression toward the stable strategy. However, when the empowerment costs K m = 5 , SMEs might adopt the NDT strategy, due to the fact that SMEs may perceive the support and resources from the CMEs as inadequate for effectively driving their DT despite the CMEs choosing the empowerment strategy. This implies that CMEs must carefully weigh both their own needs and costs as well as those of SMEs when formulating an empowerment strategy to find the optimal empowerment cost strategy. This can ensure that the empowerment costs of CMEs are neither too high, preventing them from implementing the empowerment strategy, nor too low, making it ineffective in supporting SMEs’ DT.
(2)
SMEs
Figure 7b shows that the DT costs of SMEs primarily influence their own strategic choices. Under constant conditions, SMEs tend to adopt the NDT strategy when the DT costs of SMEs C s = 30 , and the system evolves to the (1, 0, 1) stable state. As the DT costs decrease to C s [ 10 , 12 , 15 , 20 ] , SMEs shift from the NDT strategy to the DT strategy, and the system evolves to the (1, 1, 1) stable state. Moreover, the lower the DT costs, the faster the system moves toward the stable strategy. This suggests that excessively high DT costs can suppress SMEs’ willingness to choose DT. Therefore, one of the key factors to promote SMEs to adopt DT is reducing the DT costs for SMEs. In addition, changes in the empowerment costs of CMEs will simultaneously affect the strategic choices of both the CMEs themselves and SMEs, whereas changes in the DT costs of SMEs will only affect their own strategic choices. Therefore, policy design should focus more on the “leveraging effect” of CMEs within the industry chain, activating overall synergy by reducing their empowerment costs, rather than isolating the cost considerations of a single entity.

5.3. Interaction Effects of the Two Factors

In order to further reveal the interactions between key factors and their combined impact on enterprise strategy selection, it comprehensively considers the synergistic effects of multiple factors, including government subsidy intensity, empowerment costs, DT costs, enterprise benefits, and free-rider benefits, which can provide a more comprehensive comprehension of the complex relationship between the policy environment and enterprise behavior, offering a theoretical basis for optimizing government policy support and promoting the DT of SMEs.

5.3.1. The Interactive Effects of Dual Factors on the Strategic Evolution of CMEs

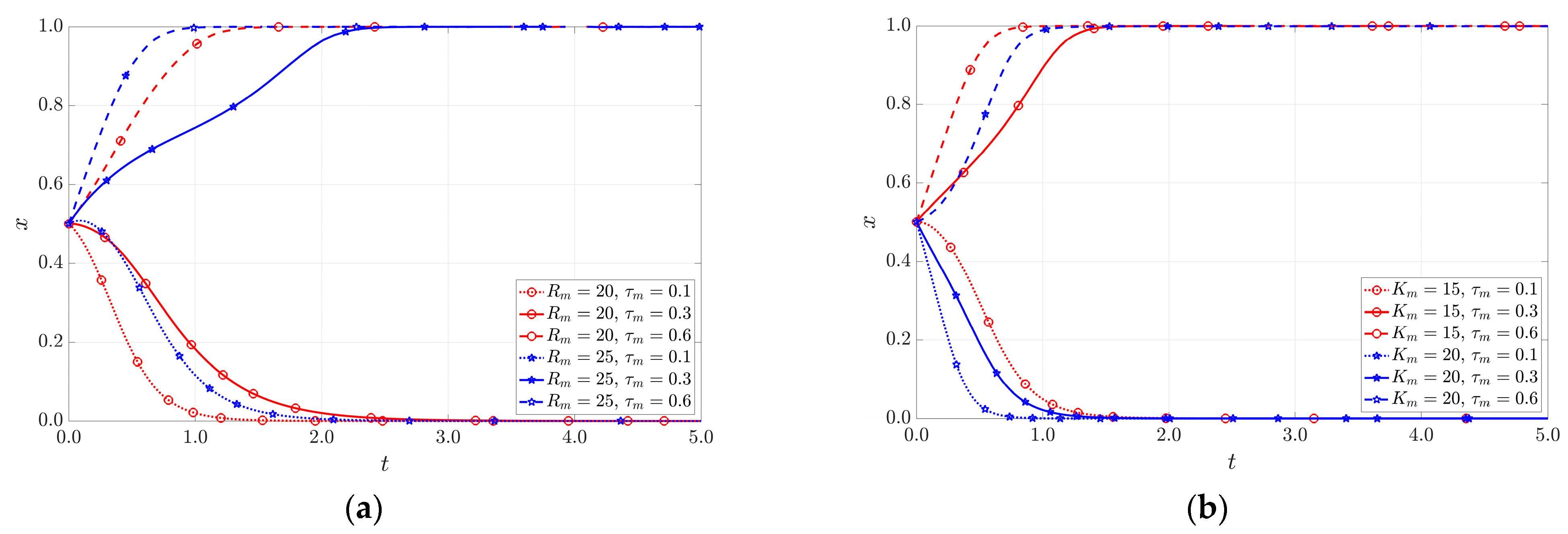
Set different parameter combinations for CMEs, where τ m takes values of 0.1, 0.3, and 0.6; R m takes values of 20 and 25; K m takes values of 15 and 20; and G m takes values of 20 and 25. The simulation results are shown in Figure 8.
Figure 8a shows that when the government subsidy intensity τ m = 0.1 , the CMEs tend to choose the non-empowerment strategy if their basic benefits R m [ 20 , 25 ] . As τ m increases to 0.3, CMEs will choose the empowerment strategy when R m = 25 , while maintaining the non-empowerment strategy when R m = 20 . As τ m increases further to 0.6, CMEs will shift to the empowerment strategy when R m [ 20 , 25 ] . Figure 8b shows that when the government subsidy intensity τ m = 0.1 , if CMEs’ empowerment costs K m [ 15 , 20 ] , CMEs tend to choose the non-empowerment strategy. As τ m increases to 0.3, CMEs will choose the empowerment strategy when K m = 15 , while maintaining the non-empowerment strategy when K m = 20 . As τ m increases further to 0.6, CMEs will choose the empowerment strategy when K m [ 15 , 20 ] . Figure 8c shows that when the government subsidy intensity τ m = 0.1 , the CMEs tend to choose the non-empowerment strategy if the CMEs’ free-riding benefits G m [ 20 , 25 ] . As τ m increases to the range of [0.3, 0.6], CMEs will choose the empowerment strategy when G m [ 20 , 25 ] .
In a word, Figure 8a–c indicate that there is a significant interaction between government subsidy intensity and the CMEs’ empowerment costs, basic benefits, and free-rider benefits. When the CMEs’ basic benefits are low, empowerment costs are high, and free-rider benefits are large, the government subsidy can effectively encourage CMEs to shift from the non-empowerment strategy to the empowerment strategy. The greater the subsidy intensity, the more likely CMEs are to adopt the empowerment strategy. Under this strategy, the lower limit of acceptable basic benefits for CMEs decreases, while the tolerance limits for empowerment costs and free-rider benefits increase. This suggests that high government subsidy intensity can effectively alleviate the economic pressure on CMEs in low-benefit or high-empowerment-cost situations, reduce empowerment risks, and lessen the temptation for free-rider behaviors, which can enhance the CMEs’ willingness to empower. Therefore, the government should flexibly adjust subsidy policies based on the economic conditions of CMEs, providing appropriate support under different scenarios to increase CMEs’ willingness to empower, thereby promoting the DT of SMEs. For example, the government should intervene in a timely manner and increase the subsidy intensity appropriately when CMEs face low benefits or high empowerment costs, while when the basic benefits of CMEs are high, subsidies can be reduced appropriately to encourage them to independently take on the responsibility of empowerment.

5.3.2. The Interactive Effects of Dual Factors on the Strategic Evolution of SMEs

Set different parameter combinations for SMEs, where τ s takes values of 0.1, 0.3, and 0.6; R s takes values of 10 and 20; C s takes values of 15 and 20; G s takes values of 3 and 6; and S s takes values of 10 and 15. The simulation results are shown in Figure 9.
Figure 9a shows that when the government subsidy intensity τ s = 0.1 , if the basic benefits of SMEs R s [ 10 , 20 ] , SMEs tend to choose the NDT strategy. As τ s increases to 0.3, SMEs will choose the DT strategy when R s = 20 and the NDT strategy when R s = 10 . When τ s continues to increase to 0.6, SMEs will choose the DT strategy when R s [ 10 , 20 ] . Figure 9b shows that when τ s = 0.1 , if the DT costs of SMEs C s [ 15 , 20 ] , SMEs tend to choose the NDT strategy. As τ s increases to 0.3, SMEs will choose the DT strategy when C s = 15 and the NDT strategy when C s = 20 . When the government subsidy intensity continues to increase to 0.6, SMEs will choose the DT strategy when C s [ 15 , 20 ] . Figure 9c shows that when τ s = 0.1 , if the free-riding benefits of SMEs G s [ 3 , 6 ] , SMEs tend to choose the NDT strategy. As τ s increases to 0.3, SMEs will choose the DT strategy when G s = 3 and the NDT strategy when G s = 6 . As τ s continues to increase to 0.6, SMEs will choose the DT strategy when G s [ 3 , 6 ] . Figure 9d shows that when τ s = 0.1 , if the risk loss of SMEs S s [ 10 , 15 ] , SMEs tend to choose the NDT strategy. As τ s increases to the range of [0.3, 0.6], SMEs will choose the DT strategy when S s [ 10 , 15 ] .
In a word, Figure 9a–d indicate that there is a significant interaction between government subsidy intensity and the basic benefits, DT costs, free-rider benefits, and risk losses of SMEs on the evolution of SMEs strategies. Different SMEs face considerable variations in factors such as DT costs, benefits, and risk losses during the transformation process. The government subsidy can effectively drive SMEs to shift from the NDT strategy to the DT strategy when SMEs have low basic benefits, high DT costs, high free-rider benefits, or high-risk losses. The higher the subsidy intensity, the stronger the willingness of SMEs to adopt the DT strategy. Therefore, the government should consider the actual circumstances of SMEs and adopt differentiated, tiered subsidy strategies. For example, for SMEs facing higher DT costs, more financial support can be provided, offering higher subsidies to those with higher costs and lower subsidies to those with lower costs; for SMEs with greater risk losses, risk compensation can be increased or more flexible policy support can be offered. The government can more effectively promote the DT process of SMEs by flexibly adjusting policies.

6. Discussion

Based on evolutionary game theory, this paper explores the interactive mechanisms of government subsidy, CMEs empowerment, and the DT of SMEs. The paper also analyzes how key factors influence the strategic choices of the three parties, thereby effectively promoting the DT of SMEs. Through systematic modeling and simulation analysis, this paper draws the following main results:
(1)
The intensity of government subsidies has an inverted U-shaped effect on the effectiveness of empowerment and DT. A certain level of subsidy intensity can encourage CMEs to adopt empowerment strategies and promote SMEs to implement DT strategies, which confirms previous studies and intuitive experiences derived from real-world practice, such as the positive regulatory effect of the government subsidy on the DT of enterprises [56], with government subsidy coefficients that can significantly enhance the optimal outcomes of enterprise DT [57]. While higher subsidy intensity to enterprises may carry the risks of excessive public expenditure or inefficiency [34,58], and may lead to market mechanism distortions, providing an explanation for the “subsidy failure” phenomenon in policy practice [59].
(2)
The differentiated response speed characteristics of enterprises. CMEs will converge with the empowerment strategy more quickly than SMEs when government subsidies are provided, whereas insufficient subsidies trigger a faster shift in SMEs toward conservative strategies. Thus, SMEs exhibit high sensitivity to low subsidy levels. Once the subsidies are insufficient, SMEs will quickly abandon the transformation. Therefore, the government should design more flexible and differentiated subsidy policies based on the actual needs and characteristics of different enterprises.
(3)
The imbalance between the external dependence and intrinsic motivation of SMEs. Compared to CMEs, the willingness of SMEs to undergo DT is more significantly influenced by external factors, such as support from CMEs and government subsidies. This reveals their weak autonomous transformation capabilities. This exposes the weakness of SMEs’ autonomous transformation capabilities and their lack of intrinsic motivation.
(4)
CMEs have a dual leverage characteristic. The government subsidy to CMEs can directly motivate CMEs to empower while also indirectly promoting the DT of SMEs, thus indicating the feasibility of the “big drives small” strategy. This also breaks the cognitive limitation that “supporting large enterprises equals occupying resources.” This suggests that policymakers should give full consideration to supporting CMEs to leverage the DT of the entire supply chain and should not overlook subsidies for these enterprises due to their dominant position.
The above research shows that government subsidies and empowerment from CMEs can significantly promote the DT of SMEs. However, once SMEs become overly dependent on external support, it may lead to a lack of internal motivation, which can result in the failure of DT. Francesco Appio et al. [60], through interviews with 10 SMEs from various backgrounds and industries in Europe, found that the focus of SME DT lies in accessing external resources and reconfiguring internal resources, rather than merely relying on external support. Hermann et al. [61], through four iterations and analyses of 210 digital innovation projects in German SMEs, used cluster analysis to identify five types of digital innovation projects, concluding that external support can help bridge gaps in technology, skills, and resources, thereby enhancing SMEs’ self-sufficiency and the effectiveness of their innovation projects in DT. Pourmorshed and Durst [62], through case studies of Swedish SMEs, proposed that SMEs can develop a digital supply chain through five processes: digital strategy, digital organization and culture, digital operations, digital products and services, and digital customer experience. Therefore, to effectively promote the DT of SMEs, the joint efforts of the government, CMEs, and SMEs are required, and it cannot rely on a single party alone. So based on the above research analysis and findings, in order to better promote the DT of SMEs and effectively empower CMEs, the following recommendations can be drawn:
(1)
The government should establish differentiated, dynamic subsidy policies based on the different characteristics of CMEs and SMEs and establish a supervision mechanism. Firstly, the government can set different subsidy thresholds for enterprises of varying sizes or industries. For example, a higher subsidy ratio can be provided for SMEs with weaker infrastructure, while a relatively lower subsidy ratio can be set for enterprises with certain technological foundations. To prevent excessive reliance on government subsidies, the government should consider setting the maximum subsidy amount to ensure fairness and reasonable resource allocation. And establish industry-specific graded subsidy mechanisms to avoid excessive subsidies in specific sectors. Secondly, a progressive subsidy approach can be adopted, where subsidies are gradually increased or reduced according to the progress and outcomes of the enterprises’ DT, rather than providing a fixed subsidy. The government can also establish a performance evaluation mechanism for subsidies, whereby the subsidy amount is determined based on whether the enterprise achieves the set DT objectives, thus avoiding unnecessary resource wastage. Furthermore, a dynamic subsidy degression mechanism should be introduced in a timely manner based on the behavior or performance of the enterprises, gradually phasing out the subsidy system. Finally, the government should strengthen supervision over the use of subsidy funds, conducting regular checks to ensure that the funds are used for DT projects and preventing enterprises from using subsidy funds for non-productive expenditures.
(2)
SMEs should closely monitor the release and adjustment of government policies, actively apply for fiscal subsidies, special funds, tax incentives, low-interest loans, and other policy supports to reduce costs and risks during the DT process. Second, SMEs should clearly articulate the demand and willingness for DT, actively convey collaboration signals to CMEs, leverage their flexibility and innovation advantages, and demonstrate their market potential and development prospects, thereby encouraging CMEs to adopt corresponding empowerment strategies. In addition, SMEs should enhance internal digital application and management capabilities through methods such as introducing technological equipment, hiring digital talent, conducting employee training, and optimizing management, rather than solely relying on external empowerment. For example, collaboration with technology providers can be leveraged to introduce advanced technologies and digital management systems, which would improve production efficiency and data management capabilities. SMEs should establish a continuous digital skills training system internally, offering specialized training to employees to enhance proficiency in new technologies and tools. Furthermore, internal organizational structures should be adjusted according to the needs of DT, promoting digital management and automated workflows to improve operational efficiency.
(3)
CMEs should first focus on optimizing internal management and expanding market share, emphasizing the growth of their own business and profitability to improve profitability and reduce operational costs, which can create more favorable conditions for empowering the DT of SMEs. Also, CMEs should regularly assess and adjust empowerment pricing plans based on the development status of SMEs and changes in the market environment. Considering the actual needs and characteristics of SMEs, CMEs can explore diversified pricing methods, such as project-based pricing, revenue-based pricing, or service-level pricing, or adopt approaches like cost-sharing, subsidy incentives, and profit-sharing. In addition, CMEs should establish long-term stable partnerships with SMEs, addressing the capital, talent, and technology gaps faced by SMEs, and designing and implementing reasonable empowerment plans. For instance, CMEs can provide the technological support needed for DT by sharing resources such as technology, platforms, and data (e.g., digital platforms, ERP systems, or data analysis tools), helping upstream and downstream SMEs improve production efficiency. Regular technical exchange meetings, seminars, or online learning platforms can be organized to help SMEs quickly master the latest technologies and industry trends, enhancing their skills and management capabilities. Additionally, CMEs can collaborate with technology companies to jointly build digital platforms or leverage external technical support to further reduce empowerment costs and accelerate the DT process with industry and supply chain partners.

7. Conclusions

This paper develops a three-party evolutionary game model involving the government, CMEs, and SMEs, exploring the evolutionary stability strategies of the three parties under various scenarios. Through MATLAB simulations, the evolutionary paths and stability of the ideal strategies at the current stage are analyzed under univariate and bivariate interactions. The results show that government subsidies have an inverted U-shaped effect on the empowerment of CMEs and the DT of SMEs. A moderate level of subsidies effectively stimulates the empowerment motivation of CMEs and promotes the DT of SMEs, thus validating the effectiveness of the “big drives small” strategy. Additionally, due to the weak endogenous motivation of SMEs, they often rely on dual support from “government subsidies and CMEs empowerment” to effectively undergo DT. Based on these findings, the paper further proposes specific measures from the perspectives of the government, CMEs, and SMEs to effectively promote the DT of SMEs. For example, the government should implement differentiated dynamic subsidy policies based on the specific needs and characteristics of different enterprises, balancing market mechanisms with resource efficiency, and avoiding the risk of transformation stagnation due to insufficient subsidies or policy failure caused by excessive subsidies. On the other hand, SMEs need to enhance their digital capabilities, strengthen the development of endogenous capacities, and reduce over-reliance on external support to improve their long-term competitiveness, and so on.
Compared to existing research, such as data sharing games from the perspective of platform empowerment [30], policy analysis of government regulation-driven DT in SMEs [63], and multi-agent collaborative transformation empowered by digital platforms [43], this paper provides a more detailed and comprehensive analysis of the evolutionarily stable strategy equilibrium, with a more theoretical approach. Additionally, the numerical analysis explores the impact of the interaction between two parameters, rather than being limited to single-parameter variation simulations. Therefore, this paper’s potential border contributions and innovations are as follows: Firstly, the role of government subsidies, the resource capability advantages of CMEs, and the DT needs of SMEs are integrated into the same analytical framework, which further improves the existing literature’s inadequacies regarding the dynamic game interaction between the “government-CMEs-SMEs” triad. Secondly, a tripartite evolutionary game model involving the government, CMEs, and SMEs is constructed, and the conditions for the system to reach a stable state are explored. Finally, situational factors such as government subsidies, value-added service fees, risk losses, and free-riding benefits are introduced. Through single-factor and two-factor interactive simulation analysis, the interactive relationships and corresponding behavioral strategies of the government, CMEs, and SMEs under different situational influences are examined, thereby enhancing the relevance of the research to real-world issues.
However, this paper has several limitations. First, the model assumes that SMEs are homogeneous and share the same decision-making logic, failing to capture the heterogeneous response mechanisms resulting from differences in technological gaps and financing capabilities. It also overlooks potential conflicts of interest between CMEs and SMEs, which may weaken the model’s explanatory power in asymmetric power scenarios. Second, DT in reality is essentially a multi-stage, incremental process, while this paper simplifies the complex decision-making process of DT into a binary choice. Moreover, the model primarily focuses on the cooperative relationship between CMEs and their upstream and downstream SMEs, neglecting the non-cooperative relationships with other SMEs. The applicability of these findings to other relational economic entities remains to be validated. Therefore, future research could consider expanding the study by incorporating perspectives such as complex network structures, multi-stage game models, the fitness function of agents, and migration theory.

Author Contributions

Conceptualization, Y.S.; methodology, Y.S.; software, Z.W.; validation, Y.S. and Z.W.; formal analysis, Y.S.; resources, Z.Z.; data curation, Z.W.; writing—original draft preparation, Z.W.; writing—review and editing, Y.S. and Z.Z.; supervision, Z.Z.; funding acquisition, Z.Z. All authors have read and agreed to the published version of the manuscript.

Funding

This research was funded by the National Natural Science Foundation of China (Grant No. 72461004) and the Natural Science Foundation of Guangdong Province (Grant No. 2022A1515010966).

Data Availability Statement

The simulation data will be provided on request.

Conflicts of Interest

The authors declare no conflicts of interest.

Abbreviations

The following abbreviations are used in this manuscript:
SMEssmall and medium-sized enterprises
CMEscore manufacturing enterprises
DTdigital transformation
NDTnon-adoption of digital transformation

References

  1. Cheng, Y.R.; Zhou, X.R.; Li, Y.J. The effect of digital transformation on real economy enterprises? total factor productivity. Int. Rev. Econ. Financ. 2023, 85, 488–501. [Google Scholar] [CrossRef]
  2. Hansen, A.K.; Christiansen, L.; Lassen, A.H. Technology isn’t enough for Industry 4.0: On SMEs and hindrances to digital transformation. Int. J. Prod. Res. 2024, 1–21. [Google Scholar] [CrossRef]
  3. Zhang, X.; Xu, Y.; Ma, L. Research on Successful Factors and Influencing Mechanism of the Digital Transformation in SMEs. Sustainability 2022, 14, 2549. [Google Scholar] [CrossRef]
  4. Hu, Y.; Pan, Y.; Yu, M.; Chen, P. Navigating Digital Transformation and Knowledge Structures: Insights for Small and Medium-Sized Enterprises. J. Knowl. Econ. 2024, 15, 16311–16344. [Google Scholar] [CrossRef]
  5. Sagala, G.H.; Ori, D. Toward SMEs digital transformation success: A systematic literature review. Inf. Syst. E-Bus. Manag. 2024, 22, 667–719. [Google Scholar] [CrossRef]
  6. Skare, M.; de las Mercedes de Obesso, M.; Ribeiro-Navarrete, S. Digital transformation and European small and medium enterprises (SMEs): A comparative study using digital economy and society index data. Int. J. Inf. Manag. 2023, 68, 102594. [Google Scholar] [CrossRef]
  7. Sabai, K.; Ho, T.C.F. Digital technology, digital capability and organizational performance: A mediating role of digital innovation. Int. J. Innov. Sci. 2019, 11, 177–195. [Google Scholar] [CrossRef]
  8. Peng, Y.; Tao, C. Can digital transformation promote enterprise performance?-From the perspective of public policy and innovation. J. Innov. Knowl. 2022, 7, 100198. [Google Scholar] [CrossRef]
  9. Tang, T.; Ma, C.-A.; Lv, H.-Y.; Hao, F.-Y. The Effect of Corporate Resource Abundance on the Transformation and Upgrading of Manufacturing Enterprises from the Perspective of Whole Process Innovation. Sustainability 2023, 15, 11003. [Google Scholar] [CrossRef]
  10. Liu, C.; Sheng, Z.; Hu, X.; Tian, C. Hand in hand or left behind: The dual impact of leading firms’ digital technologies on industry digital transformation. N. Am. J. Econ. Financ. 2025, 75, 102305. [Google Scholar] [CrossRef]
  11. Teng, Y.; Zheng, J.; Li, Y.; Wu, D. Optimizing digital transformation paths for industrial clusters: Insights from a simulation. Technol. Forecast. Soc. Change 2024, 200, 123170. [Google Scholar] [CrossRef]
  12. Zhang, S.; Yang, Y.; Gan, H.; Ren, Y. Digital welfare of the value cycle of agribusiness supply chain network: Evidence from China’s listed agriculture-affiliated companies. Technol. Anal. Strateg. Manag. 2024, 1–15. [Google Scholar] [CrossRef]
  13. Li, Z.; Zhang, X.; Tao, Z.; Wang, B. Enterprise digital transformation and supply chain management. Financ. Res. Lett. 2024, 60, 104883. [Google Scholar] [CrossRef]
  14. Vial, G. Understanding digital transformation: A review and a research agenda. J. Strateg. Inf. Syst. 2019, 28, 118–144. [Google Scholar] [CrossRef]
  15. Omrani, N.; Rejeb, N.; Maalaoui, A.; Dabic, M.; Kraus, S. Drivers of Digital Transformation in SMEs. IEEE Trans. Eng. Manag. 2022, 71, 5030–5043. [Google Scholar] [CrossRef]
  16. Tian, H.; Shi, T. Corporate digital transformation and supply chain synergy effects. Financ. Res. Lett. 2024, 62, 105247. [Google Scholar] [CrossRef]
  17. Shi, H.; Liu, Y.; Yang, Y. Enterprise digital transformation and supply chain stability. Financ. Res. Lett. 2024, 63, 105299. [Google Scholar] [CrossRef]
  18. Shen, L.; Zhang, X.; Liu, H. Digital technology adoption, digital dynamic capability, and digital transformation performance of textile industry: Moderating role of digital innovation orientation. Manag. Decis. Econ. 2022, 43, 2038–2054. [Google Scholar] [CrossRef]
  19. Zhai, H.; Yang, M.; Chan, K.C. Does digital transformation enhance a firm’s performance? Evidence from China. Technol. Soc. 2022, 68, 101841. [Google Scholar] [CrossRef]
  20. Liu, Y.; Chi, G. Does digital transformation promote supply chain efficiency? Evidence from China. Manag. Decis. Econ. 2024, 45, 5562–5576. [Google Scholar] [CrossRef]
  21. Yu, Z.; Cao, X.; Tang, L.; Yan, T.; Wang, Z. Does digitalization improve supply chain efficiency? Financ. Res. Lett. 2024, 67, 105822. [Google Scholar] [CrossRef]
  22. Ekata, G.E. The IT productivity paradox: Evidence from the Nigerian banking industry. Electron. J. Inf. Syst. Dev. Ctries. 2012, 51, 1–25. [Google Scholar] [CrossRef]
  23. Hajli, M.; Sims, J.M.; Ibragimov, V. Information technology (IT) productivity paradox in the 21st century. Int. J. Product. Perform. Manag. 2015, 64, 457–478. [Google Scholar] [CrossRef]
  24. Bertani, F.; Ponta, L.; Raberto, M.; Teglio, A.; Cincotti, S. The complexity of the intangible digital economy: An agent-based model. J. Bus. Res. 2021, 129, 527–540. [Google Scholar] [CrossRef]
  25. Zhang, Y.; Wang, J. Research on influencing factors and path of digital transformation of manufacturing enterprises. Kybernetes 2024, 53, 752–762. [Google Scholar] [CrossRef]
  26. Depaoli, P.; Za, S.; Scornavacca, E. A model for digital development of SMEs: An interaction-based approach. J. Small Bus. Enterp. Dev. 2020, 27, 1049–1068. [Google Scholar] [CrossRef]
  27. Trischler, M.F.G.; Li-Ying, J. Exploring the relationship between multi-dimensional digital readiness and digital transformation outcomes. Int. J. Innov. Manag. 2022, 26, 2240014. [Google Scholar] [CrossRef]
  28. Matarazzo, M.; Penco, L.; Profumo, G.; Quaglia, R. Digital transformation and customer value creation in Made in Italy SMEs: A dynamic capabilities perspective. J. Bus. Res. 2021, 123, 642–656. [Google Scholar] [CrossRef]
  29. Lamperti, S.; Cavallo, A.; Sassanelli, C. Digital Servitization and Business Model Innovation in SMEs: A Model to Escape from Market Disruption. IEEE Trans. Eng. Manag. 2023, 71, 4619–4633. [Google Scholar] [CrossRef]
  30. Li, D.; Mei, X. Evolutionary game analysis of data sharing among large and medium-sized enterprises in the perspective of platform empowerment. Sci. Rep. 2024, 14, 11447. [Google Scholar] [CrossRef]
  31. Hom, C.L.; Samson, D.; Cebon, P.B.; Cregan, C. Inside the black box: An investigation of non-executive director activity through the lens of dynamic capability. Asia Pac. J. Manag. 2021, 38, 857–895. [Google Scholar] [CrossRef]
  32. Tang, S.; Zhang, L.; Xu, Y. Every Coin Has Two Sides: Enterprise Digital Transformation and Symbolic Innovation. IEEE Trans. Eng. Manag. 2024, 71, 15465–15477. [Google Scholar] [CrossRef]
  33. Zhang, C.; Hu, K.; Liu, X. Digital transformation of construction industry under government reward and punishment mechanism based on evolutionary game modeling. J. Asian Archit. Build. Eng. 2024, 1–18. [Google Scholar] [CrossRef]
  34. Zheng, Y.; Mei, L.; Chen, W. Does government policy matter in the digital transformation of farmers’ cooperatives?-A tripartite evolutionary game analysis. Front. Sustain. Food Syst. 2024, 8, 1398319. [Google Scholar] [CrossRef]
  35. Liu, Y.; Zhang, Y.; Xie, X.; Mei, S. Affording digital transformation: The role of industrial Internet platform in traditional manufacturing enterprises digital transformation. Heliyon 2024, 10, e28772. [Google Scholar] [CrossRef]
  36. Li, H.; Yang, Z.; Jin, C.; Wang, J. How an industrial internet platform empowers the digital transformation of SMEs: Theoretical mechanism and business model. J. Knowl. Manag. 2023, 27, 105–120. [Google Scholar] [CrossRef]
  37. Ning, J.; Xiong, L. Analysis of the dynamic evolution process of the digital transformation of renewable energy enterprises based on the cooperative and evolutionary game model. Energy 2024, 288, 129758. [Google Scholar] [CrossRef]
  38. Jia, J.; Xu, Y.; Li, W. A study on the strategic momentum of SMEs’ digital transformation: Evidence from China. Technol. Forecast. Soc. Change 2024, 200, 123038. [Google Scholar] [CrossRef]
  39. Kergroach, S. SMEs Going Digital: Policy Challenges and Recommendations; OECD Publishing: Paris, France, 2021. [Google Scholar]
  40. Lin, K.-Y.; Hu, L.; Zhang, K. UNISON framework of data-driven tripartite evolutionary game-based knowledge sharing decision for digital servitization. Comput. Ind. Eng. 2024, 189, 109935. [Google Scholar] [CrossRef]
  41. Zheng, S.; Zhang, Y. Analyzing the evolutionary game of subsidies’ strategy in the digitization of marine ranch: A theoretical framework. Front. Mar. Sci. 2024, 11, 1376256. [Google Scholar] [CrossRef]
  42. Li, F.; Du, X.; Zhang, P.; Li, H.; Fei, X. Co-evolutionary mechanism of stakeholders’ strategies in comprehensive agricultural water price reform: The view of evolutionary game based on prospect theory. Sustainability 2023, 15, 11977. [Google Scholar] [CrossRef]
  43. Yi, X.; Lu, S.; Li, D.; Liu, W. Manufacturing enterprises digital collaboration empowered by Industrial Internet Platform: A multi-agent stochastic evolutionary game. Comput. Ind. Eng. 2024, 194, 110415. [Google Scholar]
  44. Wu, S.; Cheng, P.; Yang, F. Study on the impact of digital transformation on green competitive advantage: The role of green innovation and government regulation. PLoS ONE 2024, 19, e0306603. [Google Scholar] [CrossRef]
  45. Wang, Y.; Xu, J.; Zhang, G. An Evolutionary Game Study of Collaborative Innovation across the Whole Industry Chain of Rural E-Commerce under Digital Empowerment. Systems 2024, 12, 353. [Google Scholar] [CrossRef]
  46. Lan, S.; Cui, M. Enterprise digital transformation and employment: Spillover effect within supply chains. Financ. Res. Lett. 2024, 67, 105928. [Google Scholar] [CrossRef]
  47. Fan, X.; Zhao, S.; Shao, D.; Wang, S.; Zhang, B. Talking and walking: Corporate digital transformation and government subsidies. Financ. Res. Lett. 2024, 64, 105444. [Google Scholar] [CrossRef]
  48. Selten, R.; Selten, R. A Note on Evolutionarily Stable Strategies in Asymmetric Animal Conflicts; Springer: Dordrecht, The Netherlands, 1988. [Google Scholar]
  49. Friedman, D. Evolutionary games in economics. Econom. J. Econom. Soc. 1991, 59, 637–666. [Google Scholar]
  50. Hao, M.; Wang, H.; Gao, K. The Multiagent Evolutionary Game Research of Enterprise Resource Sharing on a Shared Manufacturing Platform. Discret. Dyn. Nat. Soc. 2022, 2022, 2322887. [Google Scholar] [CrossRef]
  51. Peng, G.; Zhang, X.; Liu, Y. Ex-post vs. ex-ante regulation on platforms’ discriminatory pricing under different market structures: An evolutionary game study. Electron. Commer. Res. 2024, 1–32. [Google Scholar] [CrossRef]
  52. Jiang, H.; Yao, L.; Bai, X.; Li, H. Dynamic Analysis and Simulation of the Feasibility and Stability of Innovative Carbon Emission Reduction Projects Entering the Carbon-Trading Market. Sustainability 2023, 15, 6908. [Google Scholar] [CrossRef]
  53. Wang, S.; Su, H.; Hou, Q. Evolutionary game study on multi-agent value co-creation of service-oriented digital transformation in the construction industry. PLoS ONE 2023, 18, e0285697. [Google Scholar] [CrossRef] [PubMed]
  54. Gilbert, N.; Troitzsch, K. Simulation for the Social Scientist, 2nd ed.; Open University Press: Maidenhead, UK, 2005. [Google Scholar]
  55. Shi, Q.; Li, B.; Zhang, M.; Hertogh, M. Research on Collaborative Risk Management Mechanism of Mega Projects: A Tripartite Evolutionary Game Model Considering the Participation of Insurance Institution. Systems 2024, 12, 240. [Google Scholar] [CrossRef]
  56. Zhao, X.; Zhao, L.; Sun, X.; Xing, Y. The incentive effect of government subsidies on the digital transformation of manufacturing enterprises. Int. J. Emerg. Mark. 2024, 19, 3892–3912. [Google Scholar] [CrossRef]
  57. Xie, W.; Zheng, D.; Luo, J.; Wang, Z.; Wang, Y. Research of cooperation strategy of government-enterprise digital transformation based on differential game. Open Math. 2022, 20, 791–808. [Google Scholar] [CrossRef]
  58. Yunke, Q.; Roitero, K.; Barbera, D.L.; Spina, D.; Mizzaro, S.; Demartini, G. Combining Human and Machine Confidence in Truthfulness Assessment. J. Data Inf. Qual. 2023, 15, 1–17. [Google Scholar] [CrossRef]
  59. Kong, H.; Sun, L.; Zhang, W. Digitization and Green Technology Innovation of Chinese Firms Under Government Subsidy Policies. Systems 2024, 12, 447. [Google Scholar] [CrossRef]
  60. Appio, F.P.; Cacciatore, E.; Cesaroni, F.; Crupi, A.; Marozzo, V. Open innovation at the digital frontier: Unraveling the paradoxes and roadmaps for SMEs’ successful digital transformation. Eur. J. Innov. Manag. 2024, 27, 223–247. [Google Scholar]
  61. Hermann, A.; Gollhardt, T.; Cordes, A.-K.; von Lojewski, L.; Hartmann, M.P.; Becker, J. Digital transformation in SMEs: A taxonomy of externally supported digital innovation projects. Int. J. Inf. Manag. 2024, 74, 102713. [Google Scholar] [CrossRef]
  62. Pourmorshed, S.; Durst, S. The usefulness of the digitalization integration framework for developing digital supply chains in SMEs. Sustainability 2022, 14, 14352. [Google Scholar] [CrossRef]
  63. Zhu, J.; Baker, J.S.; Song, Z.; Yue, X.-G.; Li, W. Government regulatory policies for digital transformation in small and medium-sized manufacturing enterprises: An evolutionary game analysis. Humanit. Soc. Sci. Commun. 2023, 10, 751. [Google Scholar] [CrossRef]
Figure 1. Phase diagram of cmes strategy evolution. (a) when z = z 1 , the diagram of cmes strategy evolution. (b) when z < z 1 , the diagram of cmes strategy evolution. (c) when z > z 1 , the diagram of cmes strategy evolution.
Figure 1. Phase diagram of cmes strategy evolution. (a) when z = z 1 , the diagram of cmes strategy evolution. (b) when z < z 1 , the diagram of cmes strategy evolution. (c) when z > z 1 , the diagram of cmes strategy evolution.
Systems 13 00225 g001
Figure 2. Phase diagram of smes strategy evolution. (a) when z = z 2 , the diagram of smes strategy evolution. (b) when z < z 2 , the diagram of smes strategy evolution. (c) when z > z 2 , the diagram of smes strategy evolution.
Figure 2. Phase diagram of smes strategy evolution. (a) when z = z 2 , the diagram of smes strategy evolution. (b) when z < z 2 , the diagram of smes strategy evolution. (c) when z > z 2 , the diagram of smes strategy evolution.
Systems 13 00225 g002
Figure 3. Phase diagram of government strategy evolution. (a) when y = y 2 , the diagram of government strategy evolution. (b) when y < y 2 , the diagram of government strategy evolution. (c) when y > y 2 , the diagram of government strategy evolution.
Figure 3. Phase diagram of government strategy evolution. (a) when y = y 2 , the diagram of government strategy evolution. (b) when y < y 2 , the diagram of government strategy evolution. (c) when y > y 2 , the diagram of government strategy evolution.
Systems 13 00225 g003
Figure 4. System evolution path.
Figure 4. System evolution path.
Systems 13 00225 g004
Figure 5. The impact of government subsidy on the system’s evolutionary results. (a) The impact of changes in τ m on the system’s evolutionary results; (b) the impact of changes in τ s on the system’s evolutionary results.
Figure 5. The impact of government subsidy on the system’s evolutionary results. (a) The impact of changes in τ m on the system’s evolutionary results; (b) the impact of changes in τ s on the system’s evolutionary results.
Systems 13 00225 g005
Figure 6. The impact of basic benefits on the system’s evolutionary results. (a) The impact of changes in R m on the system’s evolutionary results; (b) the impact of changes in R s on the system’s evolutionary results.
Figure 6. The impact of basic benefits on the system’s evolutionary results. (a) The impact of changes in R m on the system’s evolutionary results; (b) the impact of changes in R s on the system’s evolutionary results.
Systems 13 00225 g006
Figure 7. The impact of empowerment costs and DT costs on the system’s evolutionary results. (a) The impact of changes in K m on the system’s evolutionary results; (b) the impact of changes in C s on the system’s evolutionary results.
Figure 7. The impact of empowerment costs and DT costs on the system’s evolutionary results. (a) The impact of changes in K m on the system’s evolutionary results; (b) the impact of changes in C s on the system’s evolutionary results.
Systems 13 00225 g007
Figure 8. The impact of the combinations of τ m ,   R m ,   K m ,   a n d   G m on the system’s evolutionary results. (a) The impact of changes in τ m and R m on the system’s evolutionary results; (b) the impact of changes in τ m and K m on the system’s evolutionary results; (c) the impact of changes in τ m and G m on the system’s evolutionary results.
Figure 8. The impact of the combinations of τ m ,   R m ,   K m ,   a n d   G m on the system’s evolutionary results. (a) The impact of changes in τ m and R m on the system’s evolutionary results; (b) the impact of changes in τ m and K m on the system’s evolutionary results; (c) the impact of changes in τ m and G m on the system’s evolutionary results.
Systems 13 00225 g008aSystems 13 00225 g008b
Figure 9. The impact of the combinations of τ s ,   R s ,   C s ,   G s ,   a n d   S s on the system’s evolutionary results. (a) The impact of changes in τ s and R s on the system’s evolutionary results; (b) the impact of changes in τ s and C s on the system’s evolutionary results; (c) the impact of changes in τ s and G s on the system’s evolutionary results; (d) the impact of changes in τ s and S s on the system’s evolutionary results.
Figure 9. The impact of the combinations of τ s ,   R s ,   C s ,   G s ,   a n d   S s on the system’s evolutionary results. (a) The impact of changes in τ s and R s on the system’s evolutionary results; (b) the impact of changes in τ s and C s on the system’s evolutionary results; (c) the impact of changes in τ s and G s on the system’s evolutionary results; (d) the impact of changes in τ s and S s on the system’s evolutionary results.
Systems 13 00225 g009
Table 1. Payoff matrix for the game model of CMEs, SMEs, and the government.
Table 1. Payoff matrix for the game model of CMEs, SMEs, and the government.
CMEsSMEsGovernment
Subsidy (z)Non-Subsidy (1 − z)
Empowerment
(x)
DT
(y)
1 + α r R m 1 τ m K m + F s + ln 1 + K m + β m E
1 + α r R s 1 τ s C s + r s K m F s + β s E
R g τ m K m τ s C s + I
1 + α r R m K m + F s + ln 1 + K m + β m E
1 + α r R s C s + r s K m F s + β s E
I
NDT
(1 − y)
1 + α m R m 1 τ m K m
R s + G s
R g τ m K m
1 + α m R m K m
R s + G s
0
Non-Empowerment (1 − x)DT
(y)
R m + G m
1 + α s R s S s 1 τ s C s
R g τ s C s
R m + G m
1 + α s R s S s C s
0
NDT
(1 − y)
R m
R s
R g
R m
R s
0
Table 2. Eigenvalues of the Jacobian matrix.
Table 2. Eigenvalues of the Jacobian matrix.
Equilibrium Point λ 1 λ 2 λ 3 Equilibrium Conditions
E 1 (0, 0, 0) R m α m K m R s α s C s S s R g -
E 2 (1, 0, 0) K m R m α m R s a r C s + β s E F s + r s K m G s R g τ m K m -
E 3 (0, 1, 0) R m α r + F s + β m E + l n ( 1 + K m ) K m G m C s R s α s + S s R g τ s C s -
E 4 (0, 0, 1) R m α m K m + τ m K m R s α s C s S s + τ s C s R g Proposition 4
E 5 (1, 1, 0) K m F s β m E l n ( 1 + K m ) R m α r + G m C s β s E + F s R s α r + G s r s K m R g τ s C s τ m K m Proposition 5
E 6 (1, 0, 1) K m R m α m τ m K m R s α r + β s E F s C s + r s K m + τ s C s G s τ m K m R g Proposition 6
E 7 (0, 1, 1) F s + β m E K m G m + ln 1 + K m + R m α r + τ m K m C s R s a s τ s C s + S s τ s C s R g -
E 8 (1, 1, 1) K m F s β m E τ m K m ln 1 + K m + G m R m α r C s β s E + F s R s α r r s K m τ s C s + G s τ s C s + τ m K m R g Proposition 7
Table 3. Parameter assignments.
Table 3. Parameter assignments.
R m K m α m α r G m R s C s α s τ m τ s F s r s G s S s R g I E β m
30120.30.51013150.40.30.470.73101310100.5
Disclaimer/Publisher’s Note: The statements, opinions and data contained in all publications are solely those of the individual author(s) and contributor(s) and not of MDPI and/or the editor(s). MDPI and/or the editor(s) disclaim responsibility for any injury to people or property resulting from any ideas, methods, instructions or products referred to in the content.

Share and Cite

MDPI and ACS Style

Shi, Y.; Wen, Z.; Zhang, Z. Evolutionary Game Analysis of Empowering SMEs’ Digital Transformation by Core Manufacturing Enterprises Under Government Subsidies. Systems 2025, 13, 225. https://doi.org/10.3390/systems13040225

AMA Style

Shi Y, Wen Z, Zhang Z. Evolutionary Game Analysis of Empowering SMEs’ Digital Transformation by Core Manufacturing Enterprises Under Government Subsidies. Systems. 2025; 13(4):225. https://doi.org/10.3390/systems13040225

Chicago/Turabian Style

Shi, Yongqiang, Zhili Wen, and Zhiyong Zhang. 2025. "Evolutionary Game Analysis of Empowering SMEs’ Digital Transformation by Core Manufacturing Enterprises Under Government Subsidies" Systems 13, no. 4: 225. https://doi.org/10.3390/systems13040225

APA Style

Shi, Y., Wen, Z., & Zhang, Z. (2025). Evolutionary Game Analysis of Empowering SMEs’ Digital Transformation by Core Manufacturing Enterprises Under Government Subsidies. Systems, 13(4), 225. https://doi.org/10.3390/systems13040225

Note that from the first issue of 2016, this journal uses article numbers instead of page numbers. See further details here.

Article Metrics

Back to TopTop