Blockchain Effects and Investment Strategies in the Maritime Supply Chain Under Perishable Goods Loss
Abstract
1. Introduction
1.1. Background and Motivation
- Is it beneficial to invest in BCT when considering the perishable goods loss?
- Who is better off investing in BCT? And what are optimal strategies for port and shipping company?
- Is it more beneficial for the port and the shipping company to transport goods with a high or low perishable goods loss rate based on BCT?
1.2. Contribution Statements and Paper Structure
2. Literature Review
2.1. BCT in Maritime Supply Chain
2.2. Perishable Goods Research with BCT
2.3. Perishable Goods Research in Maritime Supply Chain
2.4. Research Gap
3. Modelling and Equilibrium Results
3.1. Model NBCT
3.2. Model PBCT
3.3. Model SBCT
3.4. Equilibrium Results
4. Effects of BCT Investment and Analysis of Perishable Goods Loss Rate
4.1. Benefits of BCT Investment
4.1.1. Market Demand and Profits Effects
4.1.2. Consumer Surplus and Social Welfare Effects
4.2. Comparisons Between Model PBCT and Model SBCT
4.2.1. Market Demand and Profit Effects
4.2.2. Consumer Surplus and Social Welfare Effects
4.3. The Impact of Perishable Goods Loss Rate
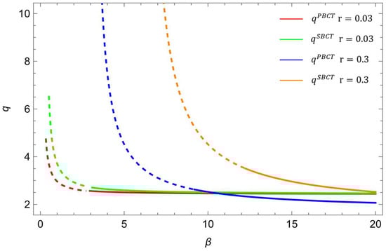
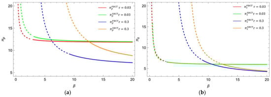
5. Numerical Analysis
5.1. Optimal Strategy Analysis
5.2. The Impact of the BCT Investment Cost Coefficient with Different Perishable Goods Loss Rates
6. Conclusions
- Investing in BCT is beneficial for both the port and the shipping company when the BCT investment cost coefficient exceeds a threshold. Furthermore, the shipping company faces a higher BCT investment cost threshold than the port. Both actors have higher profits and higher market demand compared to the scenario without BCT investment. Furthermore, our results indicate that BCT investment enhances both social welfare and consumer surplus when accounting for perishable goods loss.
- The optimal investment decisions for the port and the shipping company are influenced by the BCT investment cost coefficient and perishable goods loss rate. When the port’s BCT investment cost coefficient exceeds that of the shipping company, the shipping company’s BCT investment yields higher market demand, profits, consumer surplus, and social welfare. As the perishable goods loss rate increases, both the port and the shipping company are more inclined towards the shipping company investing in BCT, with a more pronounced profit advantage for the shipping company when the loss rate is high.
- Within a specific range of the shipping company’s BCT investment cost coefficient, a higher perishable goods loss rate boosts profits and demand for both the port and the shipping company.
6.1. Managerial Implications
6.2. Practical Implications
6.3. Limitations and Implications for Future Research
Supplementary Materials
Author Contributions
Funding
Data Availability Statement
Conflicts of Interest
Abbreviations
| BCT | Blockchain technology |
| GSBN | Global Shipping Business Network |
References
- Company, T.B.R. Perishable Goods Sea Transportation Global Market Report 2024. Available online: https://www.researchandmarkets.com/reports/5792937/perishable-goods-sea-transportation-global (accessed on 10 October 2024).
- Gray, P. Reefer Market Update and Challenges Ahead. Available online: https://www.internationalblueberry.org/assets/uploads/2023/07/Philip-Gray_Reefer-market-update-and-challenges-ahead.pdf (accessed on 10 October 2024).
- Bridgett, L. Container Shipping Situation Worsens Due to Congestion, Delays, and Empty Containers. Available online: https://www.spglobal.com/commodityinsights/en/ci/research-analysis/container-shipping-situation-worsens-due-to-congestion-delays.html (accessed on 10 October 2024).
- Club, B.P.I. Refrigerated Container Cargo Claims. Available online: https://britanniapandi.com/2022/04/refrigerated-container-cargo-claims/ (accessed on 10 October 2024).
- Pu, S.; Lam, J.S.L. Blockchain adoptions in the maritime industry: A conceptual framework. Marit. Policy Manag. 2020, 48, 777–794. [Google Scholar] [CrossRef]
- Wang, J.; Liu, J.; Wang, F.; Yue, X. Blockchain technology for port logistics capability: Exclusive or sharing. Transp. Res. Part B Methodol. 2021, 149, 347–392. [Google Scholar] [CrossRef]
- Yang, C.-S. Maritime shipping digitalization: Blockchain-based technology applications, future improvements, and intention to use. Transp. Res. Part E Logist. Transp. Rev. 2019, 131, 108–117. [Google Scholar] [CrossRef]
- Sengupta, T.; Narayanamurthy, G.; Moser, R.; Pereira, V.; Bhattacharjee, D. Disruptive Technologies for Achieving Supply Chain Resilience in COVID-19 Era: An Implementation Case Study of Satellite Imagery and Blockchain Technologies in Fish Supply Chain. Inf. Syst. Front. 2022, 24, 1107–1123. [Google Scholar] [CrossRef]
- Jo, J.; Yi, S.; Lee, E.-K. Including the reefer chain into genuine beef cold chain architecture based on blockchain technology. J. Clean. Prod. 2022, 363, 132646. [Google Scholar] [CrossRef]
- (UNCTAD) UNCoTaD. Review of Maritime Transport 2023. Available online: https://unctad.org/publication/review-maritime-transport-2023 (accessed on 10 October 2024).
- Gopalakrishnan, P.K.; Hall, J.; Behdad, S. Cost analysis and optimization of Blockchain-based solid waste management traceability system. Waste Manag. 2021, 120, 594–607. [Google Scholar] [CrossRef]
- Tiwari, S.; Sharma, P.; Choi, T.-M.; Lim, A. Blockchain and third-party logistics for global supply chain operations: Stakeholders’ perspectives and decision roadmap. Transp. Res. Part E Logist. Transp. Rev. 2023, 170, 103012. [Google Scholar] [CrossRef]
- Bruno, M. Maersk Scraps TradeLens. Available online: https://www.porttechnology.org/news/maersk-scraps-tradelens/ (accessed on 10 October 2024).
- Cole, R.; Stevenson, M.; Aitken, J. Blockchain technology: Implications for operations and supply chain management. Supply Chain. Manag. Int. J. 2019, 24, 469–483. [Google Scholar] [CrossRef]
- Liu, J.; Zhang, H.; Zhen, L. Blockchain technology in maritime supply chains: Applications, architecture and challenges. Int. J. Prod. Res. 2021, 61, 3547–3563. [Google Scholar] [CrossRef]
- Pu, S.; Lam, J.S.L. Greenhouse gas impact of digitalizing shipping documents: Blockchain vs. centralized systems. Transp. Res. Part D Transp. Environ. 2021, 97, 102942. [Google Scholar] [CrossRef]
- Zhao, H.; Liu, J.; Hu, X. Servitization with blockchain in the maritime supply chain. Ocean Coast. Manag. 2022, 225, 106195. [Google Scholar] [CrossRef]
- Nguyen, S.; Chen, P.S.-L.; Du, Y. Blockchain adoption in container shipping: An empirical study on barriers, approaches, and recommendations. Mar. Policy 2023, 155, 105724. [Google Scholar] [CrossRef]
- Balci, G.; Surucu-Balci, E. Blockchain adoption in the maritime supply chain: Examining barriers and salient stakeholders in containerized international trade. Transp. Res. Part E Logist. Transp. Rev. 2021, 156, 102539. [Google Scholar] [CrossRef]
- Zhong, H.; Zhang, F.; Gu, Y. A Stackelberg game based two-stage framework to make decisions of freight rate for container shipping lines in the emerging blockchain-based market. Transp. Res. Part E Logist. Transp. Rev. 2021, 149, 102303. [Google Scholar] [CrossRef]
- Wang, H.; Wang, C.; Li, M.; Xie, Y. Blockchain technology investment strategy for shipping companies under competition. Ocean Coast. Manag. 2023, 243, 106696. [Google Scholar] [CrossRef]
- Pu, S.; Lam, J.S.L. A game theoretic approach of optimal adoption time of blockchain: A case of ship operators. Comput. Ind. Eng. 2022, 169, 108219. [Google Scholar] [CrossRef]
- Blackburn, J.; Scudder, G. Supply Chain Strategies for Perishable Products: The Case of Fresh Produce. Prod. Oper. Manag. 2009, 18, 129–137. [Google Scholar] [CrossRef]
- Amorim, P.; Meyr, H.; Almeder, C.; Almada-Lobo, B. Managing perishability in production-distribution planning: A discussion and review. Flex. Serv. Manuf. J. 2011, 25, 389–413. [Google Scholar] [CrossRef]
- Vu, N.; Ghadge, A.; Bourlakis, M. Blockchain adoption in food supply chains: A review and implementation framework. Prod. Plan. Control 2021, 34, 506–523. [Google Scholar] [CrossRef]
- Hosseini Bamakan, S.M.; Ghasemzadeh Moghaddam, S.; Dehghan Manshadi, S. Blockchain-enabled pharmaceutical cold chain: Applications, key challenges, and future trends. J. Clean. Prod. 2021, 302, 127021. [Google Scholar] [CrossRef]
- Sunny, J.; Undralla, N.; Madhusudanan Pillai, V. Supply chain transparency through blockchain-based traceability: An overview with demonstration. Comput. Ind. Eng. 2020, 150, 106895. [Google Scholar] [CrossRef]
- Mangla, S.K.; Kazancoglu, Y.; Ekinci, E.; Liu, M.; Özbiltekin, M.; Sezer, M.D. Using system dynamics to analyze the societal impacts of blockchain technology in milk supply chainsrefer. Transp. Res. Part E Logist. Transp. Rev. 2021, 149, 102289. [Google Scholar] [CrossRef]
- Sander, F.; Semeijn, J.; Mahr, D. The acceptance of blockchain technology in meat traceability and transparency. Br. Food J. 2018, 120, 2066–2079. [Google Scholar] [CrossRef]
- Liu, J.; Zhao, H.; Lyu, Y.; Yue, X. The provision strategy of blockchain service under the supply chain with downstream competition. Ann. Oper. Res. 2022, 327, 375–400. [Google Scholar] [CrossRef]
- Li, Y.; Tan, C.; Ip, W.H.; Wu, C.H. Dynamic blockchain adoption for freshness-keeping in the fresh agricultural product supply chain. Expert. Syst. Appl. 2023, 217, 119494. [Google Scholar] [CrossRef]
- Zhang, X.; Li, Z.; Li, G. Impacts of blockchain-based digital transition on cold supply chains with a third-party logistics service provider. Transp. Res. Part E Logist. Transp. Rev. 2023, 170, 103014. [Google Scholar] [CrossRef]
- Wu, X.-Y.; Fan, Z.-P.; Cao, B.-B. An analysis of strategies for adopting blockchain technology in the fresh product supply chain. Int. J. Prod. Res. 2021, 61, 3717–3734. [Google Scholar] [CrossRef]
- Zhang, X.; Lam, J.S.L.; Iris, Ç. Cold chain shipping mode choice with environmental and financial perspectives. Transp. Res. Part D Transp. Environ. 2020, 87, 102537. [Google Scholar] [CrossRef]
- Castelein, B.; Geerlings, H.; Van Duin, R. The reefer container market and academic research: A review study. J. Clean. Prod. 2020, 256, 120654. [Google Scholar] [CrossRef]
- Kaptan, M.; Bayazit, O. Fuzzy Bayesian network analysis of the factors causing food losses in reefer containers. J. Food Process Eng. 2023, 46, e14358. [Google Scholar] [CrossRef]
- Shen, L.; Yang, Q.; Hou, Y.; Lin, J. Research on information sharing incentive mechanism of China’s port cold chain logistics enterprises based on blockchain. Ocean Coast. Manag. 2022, 225, 106229. [Google Scholar] [CrossRef]
- United Nations Commission On International Trade Law. United Nations Convention on Contracts for the International Carriage of Goods Wholly or Partly by Sea (New York, 2008) (the “Rotterdam Rules”). Available online: https://uncitral.un.org/en/texts/transportgoods/conventions/rotterdam_rules (accessed on 10 October 2024).
- Yu, Y.; Xiao, T. Pricing and cold-chain service level decisions in a fresh agri-products supply chain with logistics outsourcing. Comput. Ind. Eng. 2017, 111, 56–66. [Google Scholar] [CrossRef]
- Choi, T.-M. Blockchain-technology-supported platforms for diamond authentication and certification in luxury supply chains. Transp. Res. Part E Logist. Transp. Rev. 2019, 128, 17–29. [Google Scholar] [CrossRef]
- Liu, J.; Wang, J. Carrier alliance incentive analysis and coordination in a maritime transport chain based on service competition. Transp. Res. Part E Logist. Transp. Rev. 2019, 128, 333–355. [Google Scholar] [CrossRef]







| Notations | Descriptions |
|---|---|
| Market demand | |
| Potential market scale | |
| Reefer freight rate | |
| Port service price | |
| Reefer freight rate elasticity coefficient | |
| Perishable goods loss rate of without BCT, i.e., basic quantity perishable goods loss rate, where | |
| Unit claim cost paid by shipping company to shipper for perishable goods loss, an exogenous parameter | |
| The marginal impact of enhanced customs clearance efficiency | |
| Enhanced customs | |
| BCT investment cost coefficient | |
| Profit | |
| Subscript | denotes the port; denotes the shipping company |
| Superscript | Superscripts indicate the respective model: NBCT (no BCT investment), PBCT (port invests in BCT), and SBCT (shipping company invests in BCT) |
| Model NBCT | Model PBCT | Model SBCT |
|---|---|---|
| Parameter Setting | Significance |
|---|---|
| When the reefer freight rate is zero and there is no BCT investment, the maximum possible market demand is 10. This serves as a benchmark for comparative analysis. | |
| = 1 | For every unit increase in the reefer freight rate, market demand decreases by exactly one unit. This normalization simplifies comparative analysis. |
| = 10 | For each unit of perishable goods loss, the shipping company must compensate the shipper with a cost of 10. |
| The perishable goods loss rate is commonly within [0, 0.5] [39]. To clearly demonstrate the impact of perishable goods loss on BCT investment, this study selects two extreme values: 0.03 (relatively low loss) and 0.3 (relatively high loss). | |
| = 0.5 | For each unit increase in customs clearance efficiency, market demand increases by 0.5 units |
| To improve the customs clearance efficiency level by one unit, the required investment cost falls within this range. |
| Decision Subject | Region | Comparison of Profit | Optimal Strategy |
|---|---|---|---|
| Port | I | Investment by shipping company | |
| Port | II | Investment by port | |
| Shipping company | I | Investment by shipping company | |
| Shipping company | II | Investment by port |
Disclaimer/Publisher’s Note: The statements, opinions and data contained in all publications are solely those of the individual author(s) and contributor(s) and not of MDPI and/or the editor(s). MDPI and/or the editor(s) disclaim responsibility for any injury to people or property resulting from any ideas, methods, instructions or products referred to in the content. |
© 2025 by the authors. Licensee MDPI, Basel, Switzerland. This article is an open access article distributed under the terms and conditions of the Creative Commons Attribution (CC BY) license (https://creativecommons.org/licenses/by/4.0/).
Share and Cite
Li, L.; Zhou, J. Blockchain Effects and Investment Strategies in the Maritime Supply Chain Under Perishable Goods Loss. Systems 2025, 13, 196. https://doi.org/10.3390/systems13030196
Li L, Zhou J. Blockchain Effects and Investment Strategies in the Maritime Supply Chain Under Perishable Goods Loss. Systems. 2025; 13(3):196. https://doi.org/10.3390/systems13030196
Chicago/Turabian StyleLi, Liying, and Jianqin Zhou. 2025. "Blockchain Effects and Investment Strategies in the Maritime Supply Chain Under Perishable Goods Loss" Systems 13, no. 3: 196. https://doi.org/10.3390/systems13030196
APA StyleLi, L., & Zhou, J. (2025). Blockchain Effects and Investment Strategies in the Maritime Supply Chain Under Perishable Goods Loss. Systems, 13(3), 196. https://doi.org/10.3390/systems13030196

