Does Financialization Alleviate the Funding Dilemma of Green Innovation in Heavily Polluting Firms?: Evidence from China’s A-Share Listed Companies
Abstract
1. Introduction
2. Literature Review
2.1. Research on Green Innovation
2.2. Research on Financialization of Heavily Polluting Firms and Green Innovation
3. Theoretical Analysis and Research Hypotheses
3.1. Impact of Financialization on Green Innovation in Heavily Polluting Firms
3.2. Financing Constraint Mechanism
4. Empirical Research Design
4.1. Empirical Model Setup
4.1.1. Selection of the Spatial Weight Matrix
4.1.2. Spatial Correlation Tests
4.1.3. Spatial Model Specification Tests
4.1.4. Mechanism Testing
4.2. Data and Variables
4.2.1. Variables and Measurements
- (1)
- Dependent variable: green innovation (GreenPa)
- (2)
- Key explanatory variable: financialization (Fin)
- (3)
- Mechanism variable: financing constraints (SA)
- (4)
- Control variables
4.2.2. Data Sources
5. Empirical Results and Analysis
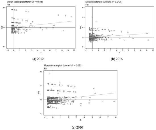
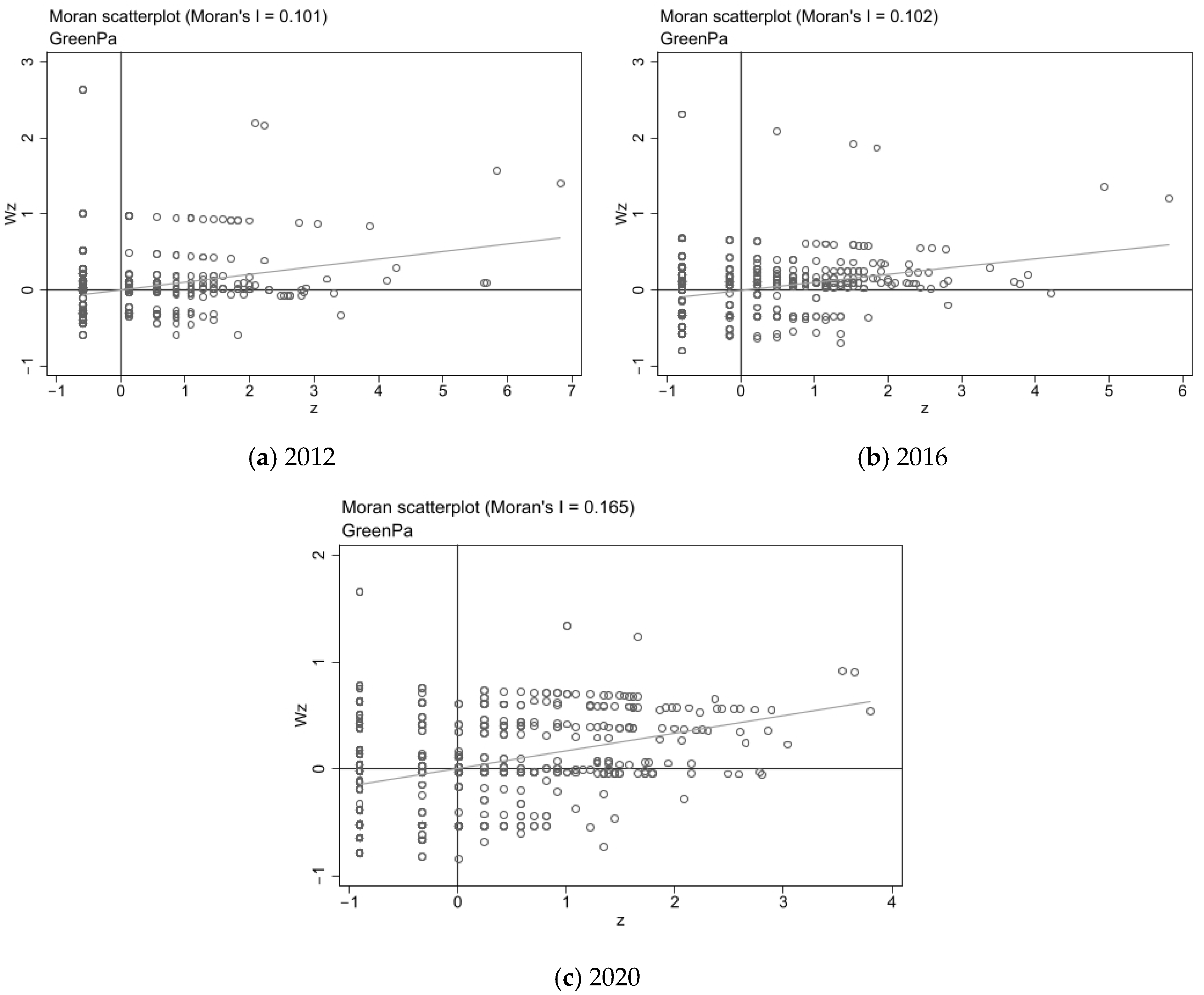
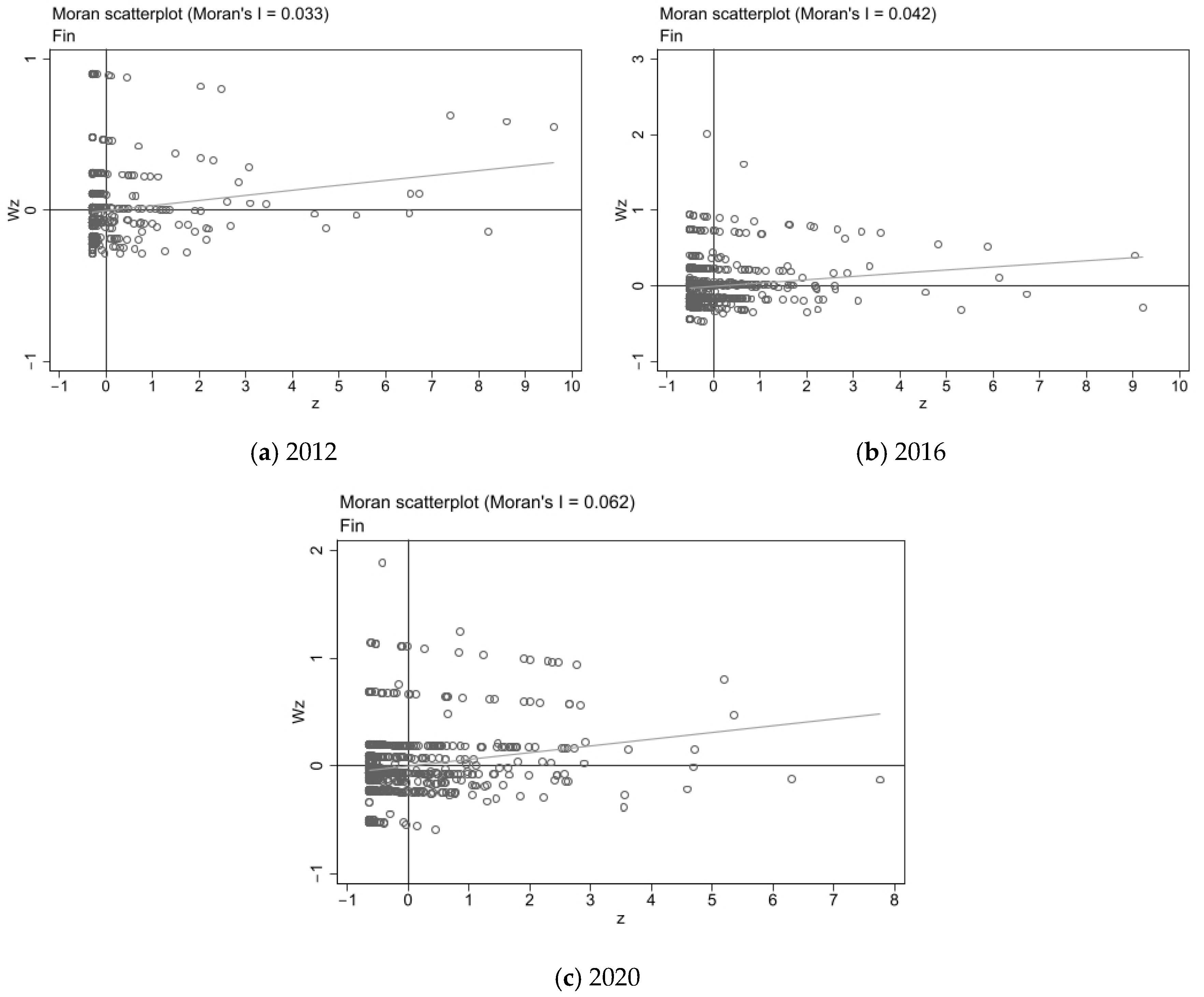
5.1. Results of Spatial Correlation Tests
5.1.1. Results of Global Spatial Correlation Tests
5.1.2. Results of Local Spatial Correlation Tests
5.2. Results of Spatial Model Specification Tests
5.3. Estimation Results of the Spatial Durbin Model
5.4. Robustness Tests
5.5. Heterogeneity Tests
5.6. Testing of the Financing Constraint Mechanism
6. Discussion
6.1. Dual Impact of Financialization on Green Innovation: Implications for the Financialization Theory
6.2. Peer Effects and Industry-Wide Spillovers: Expansion of the Innovation Theory
6.3. Financialization and Financing Constraints: Contribution to the Capital Market Imperfections Theory
6.4. Governance Shortcomings and Managerial Incentives: Implications for the Agency Theory
7. Conclusions and Policy Recommendations
- (1)
- Financialization inhibits green innovation, validating Hypothesis 1. The results confirm that while financialization has both a “reservoir effect” (providing liquidity for innovation) and a “crowding-out effect” (diverting resources from innovation), the latter dominates due to the high risks, long payback periods, and uncertain returns of green innovation. This aligns with Tobin’s Q theory, reinforcing the idea that firms prioritize short-term financial investments over long-term innovation in capital-constrained environments.
- (2)
- Peer effects amplify the negative impact of financialization, further supporting Hypothesis 2. Green innovation in heavily polluting firms exhibits strong peer effects, where the adverse effects of financialization spill over to other firms within the industry. This supports the innovation diffusion theory, emphasizing that firm-level innovation decisions are influenced by broader industry dynamics and financialization-driven negative spillovers can suppress collective innovation efforts.
- (3)
- Financialization exacerbates financing constraints, confirming Hypothesis 2. Our results demonstrate that financialization reduces internally available funds and raises external financing costs, intensifying financing constraints and further inhibiting green innovation. This is consistent with the capital market imperfections theory and pecking order theory, which highlight how asymmetric information and liquidity constraints hinder firms from investing in long-term innovation.
- (4)
- Corporate governance issues magnify the negative impact of financialization. The study finds that agency conflicts play a critical role in the suppression of the financialization of green innovation. When managerial monetary incentives are high, the negative impact of financialization is more pronounced, as executives prioritize short-term financial gains over high-risk, long-term green investments. This extends the agency theory, demonstrating how financialization offers managers a new channel for opportunistic behavior at the expense of long-term sustainability.
- (5)
- Regional and managerial heterogeneities of the impact of financialization. The study identifies significant variations in the effect of financialization on green innovation based on regional economic development and managerial incentives. The negative impact is stronger in eastern and central China and among firms with high monetary compensation for executives, suggesting that institutional and managerial factors shape the extent of the influence of financialization.
- (1)
- Strengthen policy guidance and optimize resource allocation. Governments should counteract the inhibitory effect of financialization by implementing green subsidies, tax incentives, and green credit mechanisms to redirect financial resources toward green innovation. Strengthening carbon trading markets can also create financial incentives for sustainable investments.
- (2)
- Promote industry-level coordination and peer-based governance. Given the strong peer effects, policymakers should encourage the formation of green innovation alliances, facilitate industry-wide information-sharing platforms, and establish sector-specific green innovation standards to promote positive spillovers and mitigate the negative externalities of financialization.
- (3)
- Strengthen the green financial system to alleviate financing constraints. Expanding green financial instruments (e.g., green bonds, sustainability-linked loans) and developing risk-sharing mechanisms (e.g., green insurance, government-backed guarantees) can reduce financing constraints and incentivize firms to engage in long-term green innovation.
- (4)
- Improve corporate governance and align managerial incentives with sustainability goals. Reforming executive compensation structures to include green innovation performance metrics and strengthening corporate transparency and ESG disclosures can align managerial incentives with long-term sustainable development. Encouraging institutional investors to support long-term equity financing can further reduce financialization-driven short-termism.
Author Contributions
Funding
Data Availability Statement
Conflicts of Interest
References
- Porter, M.E.; van der Linde, C. Toward a New Conception of the Environment-Competitiveness Relationship. J. Econ. Perspect. 1995, 9, 97–118. [Google Scholar] [CrossRef]
- Berrone, P.; Fosfuri, A.; Gelabert, L.; Gomez-Mejia, L.R. Necessity as the mother of ‘green’ inventions: Institutional pressures and environmental innovations. Strat. Mgmt. J. 2013, 34, 897–909. [Google Scholar] [CrossRef]
- Kesidou, E.; Wu, L. Stringency of environmental regulation and eco-innovation: Evidence from the eleventh five-year plan and green patents. Econ. Lett. 2020, 190, 109090. [Google Scholar] [CrossRef]
- Yuan, B.L.; Cao, X.Y. Do corporate social responsibility practices contribute to green innovation? The mediating role of green dynamic capability. Technol. Soc. 2022, 68, 101868. [Google Scholar] [CrossRef]
- Xia, L.; Gao, S.; Wei, J.C.; Ding, Q.Y. Government subsidy and corporate green innovation—Does board governance play a role? Energ. Policy 2022, 161, 112720. [Google Scholar] [CrossRef]
- Demir, F. Financial liberalization, private investment and portfolio choice: Financialization of real sectors in emerging markets. J. Dev. Econ. 2009, 88, 314–324. [Google Scholar] [CrossRef]
- Xie, Z.J.; Du, J.; Wu, Y.C. Does financialization of non-financial corporations promote the persistence of innovation: Evidence from A-share listed manufacturing corporations in China. Eurasian Bus. Rev. 2022, 12, 229–250. [Google Scholar] [CrossRef]
- Tori, D.; Onaran, O. The effects of financialization on investment: Evidence from firm-level data for the UK. Camb. J. Econ. 2018, 42, 1393–1416. [Google Scholar] [CrossRef]
- Xu, X.M.; Xuan, C. A study on the motivation of financialization in emerging markets: The case of Chinese nonfinancial corporations. Int. Rev. Econ. Finance 2021, 72, 606–623. [Google Scholar] [CrossRef]
- Matray, A. The local innovation spillovers of listed firms. J. Financ. Econ. 2021, 141, 395–412. [Google Scholar] [CrossRef]
- Schumpeter, J.A. Theory of Economic Development, 1st ed.; The Commercial Press: Beijing, China, 1990. [Google Scholar]
- Braun, E.; Wield, D. Regulation as a means for the social control of technology. Technol. Anal. Strateg. Manag. 1994, 6, 259–272. [Google Scholar] [CrossRef]
- Rennings, K. Redefining innovation—Eco-innovation research and the contribution from ecological economics. Ecol. Econ. 2000, 32, 319–332. [Google Scholar] [CrossRef]
- Fussler, C.; James, P. Driving Eco-Innovation: A Breakthrough Discipline for Innovation and Sustainability, 1st ed.; Pitman Publishing: London, UK, 1996. [Google Scholar]
- Chen, Y.S.; Lai, S.B.; Wen, C.T. The Influence of Green Innovation Performance on Corporate Advantage in Taiwan. J. Bus. Ethics 2006, 67, 331–339. [Google Scholar] [CrossRef]
- Cheng, C.C.; Shiu, E.C. Validation of a proposed instrument for measuring eco-innovation: An implementation perspective. Technovation 2012, 32, 329–344. [Google Scholar] [CrossRef]
- Qi, S.Z.; Lin, S.; Cui, J. Do Environmental Rights Trading Schemes Induce Green Innovation? Evidence from Listed Firms in China. Econ. Res. J. 2018, 53, 129–143. [Google Scholar]
- Lian, G.H.; Xu, A.T.; Zhu, Y.H. Substantive green innovation or symbolic green innovation? The impact of ER on enterprise green innovation based on the dual moderating effects. J. Innov. Knowl. 2022, 7, 100203. [Google Scholar] [CrossRef]
- Yan, B.; Cheng, M.; Wang, N.H. ESG green spillover, supply chain transmission and corporate green innovation. Econ. Res. J. 2024, 59, 72–91. [Google Scholar]
- Sustainable Manufacturing and Eco-Innovation: Towards a Green Economy. Available online: https://www.greenpolicyplatform.org/sites/default/files/downloads/resource//Sustainable_Manufacturing_and_Eco-innovation_OECD.pdf (accessed on 10 December 2021).
- Wagner, M. On the relationship between environmental management, environmental innovation and patenting: Evidence from German manufacturing firms. Res. Policy 2007, 36, 1587–1602. [Google Scholar] [CrossRef]
- Chen, X.H.; Yi, N.; Zhang, L.; Li, D.Y. Does institutional pressure foster corporate green innovation? Evidence from China’s top 100 companies. J. Clean. Prod. 2018, 188, 304–311. [Google Scholar] [CrossRef]
- Tao, F.; Zhao, J.Y.; Zhou, H. Does environmental regulation improve the quantity and quality of green innovation: Evidence from the target responsibility system of environmental protection. China Ind. Econ. 2021, 2, 136–154. [Google Scholar]
- Li, Z.H.; Liao, G.K.; Wang, Z.Z.; Huang, Z.H. Green loan and subsidy for promoting clean production innovation. J. Clean. Prod. 2018, 187, 421–431. [Google Scholar] [CrossRef]
- Wang, X.; Wang, Y. Research on the green innovation promoted by green credit policies. J. Manag. World 2021, 37, 173–188. [Google Scholar]
- Chen, Z.G.; Zhang, Y.Q.; Wang, H.S.; Ouyang, X.; Xie, Y.X. Can green credit policy promote low-carbon technology innovation? J. Clean. Prod. 2022, 359, 132061. [Google Scholar] [CrossRef]
- Hu, G.Q.; Wang, X.Q.; Wang, Y. Can the green credit policy stimulate green innovation in heavily polluting enterprises? Evidence from a quasi-natural experiment in China. Energy Econ. 2021, 98, 105134. [Google Scholar] [CrossRef]
- Zhang, S.L.; Wu, Z.H.; He, Y.N.; Hao, Y. How does the green credit policy affect the technological innovation of enterprises? Evidence from China. Energy Econ. 2022, 113, 106236. [Google Scholar] [CrossRef]
- Guo, J.J.; Fang, Y.; Guo, Y. Environmental regulation, short-term failure tolerance and firm green innovation: Evidence from the practice of green credit policy. Econ. Res. J. 2024, 59, 112–129. [Google Scholar]
- Gorodnichenko, Y.; Schnitzer, M. Financial constraints and innovation: Why poor countries don’t cash up. J. Eur. Econ. Assoc. 2013, 11, 1115–1152. [Google Scholar] [CrossRef]
- Xiang, X.J.; Liu, C.J.; Yang, M. Who is financing corporate green innovation? Int. Rev. Econ. Financ. 2022, 78, 321–337. [Google Scholar] [CrossRef]
- Cui, X.; Wang, C.F.; Sensoy, A.; Liao, J.; Xie, X.C. Economic policy uncertainty and green innovation: Evidence from China. Econ. Model. 2023, 118, 106104. [Google Scholar] [CrossRef]
- Keskin, D.; Diehl, J.C.; Molenaar, N. Innovation process of new ventures driven by sustainability. J. Clean. Prod. 2013, 45, 50–60. [Google Scholar] [CrossRef]
- Ghisetti, C.; Rennings, K. Environmental innovations and profitability: How does it pay to be green? An empirical analysis on the German innovation survey. J. Clean. Prod. 2014, 75, 106–117. [Google Scholar] [CrossRef]
- Fang, Z.M.; Kong, X.R.; Sensoy, A.; Cui, X.; Cheng, F.Y. Government’s awareness of environmental protection and corporate green innovation: A natural experiment from the new environmental protection law in China. Econ. Anal. Policy 2021, 70, 294–312. [Google Scholar] [CrossRef]
- He, K.; Chen, W.Y.; Zhang, L.G. Senior management’s academic experience and corporate green innovation. Technol. Forecast. Soc. Chang. 2021, 166, 120664. [Google Scholar] [CrossRef]
- Ren, S.G.; Wang, Y.; Hu, Y.C.; Yan, J. CEO hometown identity and firm green innovation. Bus. Strat. Environ. 2021, 30, 756–774. [Google Scholar] [CrossRef]
- Javeed, S.A.; Latief, R.; Jiang, T.; Ong, T.S.; Tang, Y.J. How environmental regulations and corporate social responsibility affect the firm innovation with the moderating role of chief executive officer (CEO) power and ownership concentration? J. Clean. Prod. 2021, 308, 127212. [Google Scholar] [CrossRef]
- Wang, F.M.; He, J.; Chen, L.L. Will Interlocking directors with green experience promote quantity increase and quality improvement of enterprise green innovation. China Ind. Econ. 2023, 10, 155–173. [Google Scholar]
- Machokoto, M.; Gyimah, D.; Ntim, C.G. Do peer firms influence innovation? Br. Account. Rev. 2021, 53, 100988. [Google Scholar] [CrossRef]
- Tan, X.J.; Yan, Y.X.; Dong, Y.Y. Peer effect in green credit induced green innovation: An empirical study from China’s green credit guidelines. Resour. Policy 2022, 76, 102619. [Google Scholar] [CrossRef]
- Wang, X.; Chu, X. Research on the peer group effect of green technology innovation in manufacturing enterprises: Reference function based on multi-level situation. Nankai Bus. Rev. 2022, 25, 68–81. [Google Scholar]
- Zhang, Z.; Wang, Y.Y.; Jia, M. Sheep or wolves? Peer effect in the green innovation behavior of heavy polluting companies. Manag. Rev. 2024, 36, 119–132. [Google Scholar]
- Ardito, L.; Petruzzelli, A.M.; Pascucci, F.; Peruffo, E. Inter-firm R&D collaborations and green innovation value: The role of family firms’ involvement and the moderating effects of proximity dimensions. Bus. Strat. Env. 2019, 28, 185–197. [Google Scholar]
- Bonfiglioli, A. Financial integration, productivity and capital accumulation. J. Int. Econ. 2008, 76, 337–355. [Google Scholar] [CrossRef]
- Gehringer, A. Growth, productivity and capital accumulation: The effects of financial liberalization in the case of European integration. Int. Rev. Econ. Financ. 2013, 25, 291–309. [Google Scholar] [CrossRef]
- Liu, G.C. Financial asset allocations and the firms’ R & D activity in China: Crowding-out or crowding-in? Stat. Res. 2017, 34, 49–61. [Google Scholar]
- Duchin, R.; Gilbert, T.; Harford, J.; Hrdlicka, C. Precautionary savings with risky assets: When cash is not cash. J. Financ. 2017, 72, 793–852. [Google Scholar] [CrossRef]
- Wang, H.J.; Cao, Y.Q.; Yang, Q.; Yang, Z. Does the financialization of non-financial enterprises promote or inhibit corporate Innovation. Nankai Bus. Rev. 2017, 20, 155–166. [Google Scholar]
- Duan, J.S.; Zhuang, X.D. Financial investment behavior and enterprise technological innovation—Motivation analysis and empirical evidence. China Ind. Econ. 2021, 1, 155–173. [Google Scholar]
- Huang, Y.J.; Xu, Z.Y. The role of principal-agent in corporate financialization and green innovation. Financ. Res. Lett. 2024, 63, 105391. [Google Scholar] [CrossRef]
- Keynes, J.M. The General Theory of Employment, Interest and Money, 1st ed.; Macmillan: London, UK, 1936. [Google Scholar]
- Cao, W.; Qi, H.D.; Zhao, C. Research on the motivation for financial asset allocation: Analysis based on the nature of property rights and the reform of mixed-ownership. China Ind. Econ. 2023, 2, 150–168. [Google Scholar]
- Du, Y.; Zhang, H.; Chen, J.Y. The impact of financialization on future development of real enterprises’ core business: Promotion or inhibition. China Ind. Econ. 2017, 12, 113–131. [Google Scholar]
- Liu, G.C.; Liu, Y.Y.; Zhang, J. Financial asset allocations and fixed investment fluctuations of Chinese listed companies. China Econ. Q. 2019, 18, 573–596. [Google Scholar]
- Brown, J.R.; Petersen, B.C. Cash holdings and R&D smoothing. J. Corp. Financ. 2011, 17, 694–709. [Google Scholar]
- Ju, X.S.; Dic, L.; Yu, Y.H. Financing constraints, working capital management and the persistence of firm innovation. Econ. Res. J. 2013, 48, 4–16. [Google Scholar]
- Hu, Y.M.; Wang, X.T.; Zhang, J. The motivation for financial asset allocation: Reservoir or substitution? Evidence from Chinese listed companies. Econ. Res. J. 2017, 52, 181–194. [Google Scholar]
- Markowitz, H. Portfolio Selection. J. Financ. 1952, 7, 77–91. [Google Scholar]
- Tang, H.Q.; Zhang, C.S. Investment risk, return gap, and financialization of non-listed non-financial firms in China. Pac. Basin Financ. J. 2019, 58, 101213. [Google Scholar] [CrossRef]
- Feng, Y.Q.; Zhang, H.L.; Ni, J. Motivations for investment in financial assets of entity enterprises: Heterogeneous impacts of monetary policy and moderating effects of digital finance. China Ind. Econ. 2024, 2, 118–136. [Google Scholar]
- Tobin, J. Money and economic growth. Econometrica 1965, 33, 671–684. [Google Scholar] [CrossRef]
- Bai, Y.; Song, S.Y.; Jiao, J.L.; Yang, R.R. The impacts of government R&D subsidies on green innovation: Evidence from Chinese energy-intensive firms. J. Clean. Prod. 2019, 233, 819–829. [Google Scholar]
- Nordhaus, W.D. The Spirit of Green: The Economics of Collisions and Contagions in a Crowded World, 1st ed.; China CITIC Press: Beijing, China, 2022. [Google Scholar]
- Wang, H.; Feng, Z.; Yuan, L.; Lin, W.F. Green R&D intervention of public research institutions and green innovation of enterprises: From the perspective of environmental externalities. China Ind. Econ. 2024, 9, 81–99. [Google Scholar]
- Hu, C.; Mao, J.H.; Tian, M.; Wei, Y.Y.; Guo, L.Y.; Wang, Z.H. Distance matters: Investigating how geographic proximity to ENGOs triggers green innovation of heavy-polluting firms in China. J. Environ. Manag. 2021, 279, 111542. [Google Scholar] [CrossRef]
- Modigliani, F.; Miller, M.H. The cost of capital, corporation finance, and the theory of investment. Am. Econ. Rev. 1958, 48, 261–297. [Google Scholar]
- Myers, S.C.; Majluf, N.S. Corporate financing and investment decisions when firms have information that investors do not have. J. Financ. Econ. 1984, 13, 187–221. [Google Scholar] [CrossRef]
- Bernanke, B.; Gertler, M. Agency costs, net worth, and business fluctuations. Am. Econ. Rev. 1989, 79, 14–31. [Google Scholar]
- Cliff, A.; Ord, J. Spatial Processes: Models and Applications; Pion: London, UK, 1981. [Google Scholar]
- Anselin, L. Local Indicators of Spatial Association—ISA. Geogr. Anal. 2010, 27, 93–115. [Google Scholar] [CrossRef]
- Anselin, L.; Gallo, J.L.; Jayet, H. Spatial panel econometrics. In The Econometrics of Panel Data, 1st ed.; Springer: Berlin/Heidelberg, Germany, 2008; pp. 625–660. [Google Scholar]
- Elhorst, J.P. Spatial panel data models. In Spatial Econometrics, 1st ed.; Springer: Berlin/Heidelberg, Germany, 2014; pp. 37–93. [Google Scholar]
- Xie, H.J.; Lyu, X. Responsible multinational investment: ESG and Chinese OFDI. Econ. Res. J. 2022, 57, 83–99. [Google Scholar]
- Li, D.Y.; Zheng, M.; Cao, C.C.; Chen, X.H.; Ren, S.G.; Huang, M. The impact of legitimacy pressure and corporate profitability on green innovation: Evidence from China top 100. J. Clean. Prod. 2017, 141, 41–49. [Google Scholar] [CrossRef]
- Krippner, G.R. The financialization of the American economy. Socio-Econ. Rev. 2005, 3, 173–208. [Google Scholar] [CrossRef]
- Zhang, C.S.; Zheng, N. What drives the financialization of China’s real sector: Monetary expansion, profit—Seeking capital or risk aversion? J. Finan. Res. 2020, 9, 1–19. [Google Scholar]
- Hadlock, C.J.; Pierce, J.R. New evidence on measuring financial constraints: Moving beyond the KZ Index. Rev. Financ. Stud. 2010, 23, 1909–1940. [Google Scholar] [CrossRef]
- Liu, j.; Sheng, H.Q.; Ma, Y. The mechanism of corporate enterprises participating in shadow banking businesses and its model analysis of social—Welfare net loss. J. Financ. Res. 2014, 5, 96–109. [Google Scholar]
- Jensen, M.C.; Meckling, W.H. Theory of the firm: Managerial behavior, agency costs and ownership structure. J. Financ. Econ. 1976, 3, 305–360. [Google Scholar] [CrossRef]


| Names of Variables | Symbols | Measurement Methods |
|---|---|---|
| firm age | Age | natural logarithm of a firm’s age plus one |
| board size | Boardsize | natural logarithm of the total number of board members |
| market competition | Lerner | Lerner index |
| ownership concentration | TopTen | shareholding ratio of the top ten shareholders |
| growth | Growth | growth rate of a firm’s operating revenue |
| asset structure | CapDen | ratio of fixed assets to total assets |
| financial leverage | FinLever | ratio of total assets to shareholders’ equity |
| financial background | FinBack | A binary variable indicating whether the firm’s executives have a financial background (1 if yes, 0 otherwise) |
| quick ratio | Quick | ratio of a firm’s quick assets to current liabilities |
| Variable | Obs | Mean | Std. | Median | Min | Max |
|---|---|---|---|---|---|---|
| GreenPa | 6670 | 0.808 | 1.049 | 0.000 | 0.000 | 4.263 |
| Fin | 6670 | 0.034 | 0.063 | 0.007 | 0.000 | 0.353 |
| SA | 6670 | −3.831 | 0.234 | −3.837 | −4.357 | −3.117 |
| Age | 6670 | 2.886 | 0.317 | 2.944 | 1.792 | 3.466 |
| Boardsize | 6670 | 2.161 | 0.198 | 2.197 | 1.609 | 2.708 |
| Lerner | 6670 | 0.118 | 0.130 | 0.104 | −0.354 | 0.532 |
| TopTen | 6670 | 0.563 | 0.156 | 0.561 | 0.218 | 0.921 |
| Growth | 6670 | 0.162 | 0.549 | 0.069 | −0.721 | 3.831 |
| CapDen | 6670 | 0.312 | 0.169 | 0.289 | 0.031 | 0.759 |
| FinLever | 6670 | 2.178 | 1.523 | 1.739 | 1.036 | 11.583 |
| FinBack | 6670 | 0.660 | 0.474 | 1.000 | 0.000 | 1.000 |
| Quick | 6670 | 1.629 | 1.934 | 1.014 | 0.137 | 12.468 |
| Year | Moran’s I | Year | Moran’s I | ||
|---|---|---|---|---|---|
| Green Innovation | Financialization | Green Innovation | Financialization | ||
| 2012 | 0.101 *** | 0.033 *** | 2017 | 0.116 *** | 0.059 *** |
| 2013 | 0.101 *** | 0.043 *** | 2018 | 0.123 *** | 0.047 *** |
| 2014 | 0.095 *** | 0.042 *** | 2019 | 0.146 *** | 0.046 *** |
| 2015 | 0.107 *** | 0.044 *** | 2020 | 0.165 *** | 0.062 *** |
| 2016 | 0.102 *** | 0.042 *** | 2021 | 0.125 *** | 0.041 *** |
| Test | Statistic | Test | Statistic |
|---|---|---|---|
| LM-error | 88.666 *** | LR-error | 38.36 *** |
| Robust LM-error | 79.935 *** | Wald-error | 38.30 *** |
| LM-lag | 41.636 *** | LR-lag | 38.11 *** |
| Robust LM-lag | 32.905 *** | Wald-lag | 38.36 *** |
| Variables | Coefficient | Direct | Indirect | Total | |||
|---|---|---|---|---|---|---|---|
| Fin | −0.388 ** (0.170) | −0.408 ** (0.175) | −4.038 *** (1.005) | −4.446 *** (1.035) | |||
| Age | 0.032 (0.141) | 0.026 (0.137) | 0.006 (0.036) | 0.033 (0.172) | |||
| Boardsize | 0.038 (0.075) | 0.046 (0.072) | 0.018 (0.019) | 0.057 (0.090) | |||
| Lerner | −0.006 (0.040) | −0.006 (0.039) | −0.002 (0.010) | −0.008 (0.049) | |||
| TopTen | 0.263 ** (0.107) | 0.263 ** (0.105) | 0.066 ** (0.032) | 0.329 ** (0.133) | |||
| Growth | 0.000 (0.000) | 0.000 (0.000) | 0.000 (0.000) | 0.000 (0.000) | |||
| CapDen | −0.108 (0.101) | −0.107 (0.106) | −0.027 (0.029) | −0.134 (0.134) | |||
| FinLever | −0.001 (0.001) | −0.000 (0.001) | −0.000 (0.000) | −0.001 (0.001) | |||
| FinBack | 0.0156 (0.020) | 0.017 (0.020) | 0.004 (0.005) | 0.022 (0.025) | |||
| Quick | −0.006 (0.004) | −0.005 (0.004) | −0.001 (0.001) | −0.007 (0.005) | |||
| W × Fin | −3.138 *** (0.827) | ||||||
| rho | 0.199 *** (0.039) | ||||||
| Spatial FE | Yes | Yes | Yes | ||||
| Time FE | Yes | Yes | Yes | ||||
| Observations | 6670 | 6670 | 6670 | ||||
| GreenPa | Instrumental Variable Method | Variable Replacement Method | Subsample Method |
|---|---|---|---|
| Lag_Fin | −1.034 *** (0.176) | ||
| Fin2 | −0.472 *** (0.178) | ||
| Fin | −0.378 * (0.198) | ||
| Age | 0.198 (0.154) | 0.021 (0.141) | −0.547 * (0.301) |
| Boardsize | 0..035 (0.080) | 0.375 (0.075) | 0.076 (0.097) |
| Lerner | 0.000 (0.040) | −0.007 (0.040) | −0.025 (0.069) |
| TopTen | 0.263 ** (0.115) | 0.269 ** (0.107) | 0.547 *** (0.158) |
| Growth | −0.000 (0.000) | 0.000 (0.000) | 0.000 (0.001) |
| CapDen | 0.098 (0.107) | −0.108 (0.101) | −0.148 (0.142) |
| FinLever | −0.001 (0.001) | 0.001 (0.001) | −0.001 (0.001) |
| FinBack | 0.021 (0.021) | 0.015 (0.020) | −0.001 (0.026) |
| Quick | −0.004 (0.004) | −0.006 (0.004) | −0.020 ** (0.008) |
| W×Finb | −9.381 *** (1.616) | −3.145 *** (0.862) | −2.798 *** (1.020) |
| rho | 0.136 *** (0.443) | 0.199 *** (0.039) | 0.204 *** (0.046) |
| sigma2_e | 0.352 *** (0.006) | 0.362 *** (0.006) | 0.337 *** (0.007) |
| Variables | Eastern and Central Regions | Western Regions | High Managerial Monetary Compensation | Low Managerial Monetary Compensation |
|---|---|---|---|---|
| Fin | −0.380 ** (0.192) | −0.605 (0.377) | −0.620 ** (0.278) | −0.282 (0.208) |
| Age | 0.112 (0.154) | −0.766 ** (0.381) | −0.165 (0.215) | 0.262 (0.186) |
| Boardsize | −0.012 (0.086) | 0.260 * (0.155) | 0.033 (0.123) | 0.043 (0.092) |
| Lerner | 0.016 (0.080) | −0.019 (0.045) | −0.081 (0.135) | −0.001 (0.039) |
| TopTen | 0.196 (0.125) | 0.450 ** (0.211) | 0.218 (0.185) | 0.335 *** (0.127) |
| Growth | −0.000 (0.001) | 0.000 (0.000) | −0.011 (0.012) | 0.000 (0.000) |
| CapDen | −0.058 (0.128) | −0.219 (0.167) | −0.334 * (0.171) | 0.053 (0.122) |
| FinLever | −0.000 (0.002) | −0.001 (0.001) | −0.011 (0.007) | −0.000 (0.001) |
| FinBack | 0.017 (0.023) | 0.008 (0.044) | 0.030 (0.032) | 0.008 (0.026) |
| Quick | −0.004 (0.004) | −0.016 * (0.009) | −0.005 (0.005) | −0.006 (0.006) |
| W×Finb | −2.966 *** (0.906) | 0.124 (1.064) | −2.444 ** (0.992) | −0.932 (0.885) |
| rho | 0.187 *** (0.398) | 0.083 * (0.047) | 0.117 *** (0.045) | 0.117 ** (0.047) |
| sigma2_e | 0.373 *** (0.007) | 0.324 *** (0.122) | 0.418 *** (0.010) | 0.306 *** (0.007) |
| SA | Coefficient | Direct | Indirect | Total | |
|---|---|---|---|---|---|
| Fin | −0.073 *** (0.013) | −0.768 *** (0.013) | −0.463 *** (0.084) | −0.540 *** (0.087) | |
| Age | −0.005 (0.011) | −0.005 (0.010) | −0.002 (0.004) | −0.007 (0.014) | |
| Boardsize | 0.011 (0.006) | 0.002 (0.005) | 0.001 (0.002) | 0.002 (0.007) | |
| Lerner | −0.029 *** (0.003) | −0.029 *** (0.003) | −0.012 *** (0.002) | −0.041 *** (0.005) | |
| TopTen | 0.056 *** (0.008) | 0.056 *** (0.008) | 0.022 *** (0.005) | 0.078 *** (0.011) | |
| Growth | −0.000 ** (0.000) | −0.000 ** (0.000) | −0.000 ** (0.000) | −0.000 ** (0.000) | |
| CapDen | −0.024 *** (0.008) | −0.024 *** (0.008) | −0.010 *** (0.004) | −0.033 *** (0.011) | |
| FinLever | 0.000 (0.000) | 0.000 (0.000) | 0.000 (0.000) | 0.000 (0.000) | |
| FinBack | −0.004 ** (0.002) | −0.003 ** (0.001) | −0.001 ** (0.001) | −0.005 ** (0.002) | |
| Quick | 0.018 *** (0.000) | 0.002 *** (0.000) | 0.001 *** (0.000) | 0.003 *** (0.000) | |
| Fin (Wx) | −0.311 *** (0.064) | ||||
| rho | 0.284 *** (0.033) | ||||
| Variance sigma2_e | 0.002 *** (0.000) | ||||
| Spatial FE | Yes | ||||
| Time FE | Yes | ||||
| Observations | 6670 | ||||
Disclaimer/Publisher’s Note: The statements, opinions and data contained in all publications are solely those of the individual author(s) and contributor(s) and not of MDPI and/or the editor(s). MDPI and/or the editor(s) disclaim responsibility for any injury to people or property resulting from any ideas, methods, instructions or products referred to in the content. |
© 2025 by the authors. Licensee MDPI, Basel, Switzerland. This article is an open access article distributed under the terms and conditions of the Creative Commons Attribution (CC BY) license (https://creativecommons.org/licenses/by/4.0/).
Share and Cite
Zhong, Z.; Wu, S.; Hu, J.; Fang, L.; Li, K. Does Financialization Alleviate the Funding Dilemma of Green Innovation in Heavily Polluting Firms?: Evidence from China’s A-Share Listed Companies. Systems 2025, 13, 192. https://doi.org/10.3390/systems13030192
Zhong Z, Wu S, Hu J, Fang L, Li K. Does Financialization Alleviate the Funding Dilemma of Green Innovation in Heavily Polluting Firms?: Evidence from China’s A-Share Listed Companies. Systems. 2025; 13(3):192. https://doi.org/10.3390/systems13030192
Chicago/Turabian StyleZhong, Zifeng, Shaoxiong Wu, Jieying Hu, Liting Fang, and Kunming Li. 2025. "Does Financialization Alleviate the Funding Dilemma of Green Innovation in Heavily Polluting Firms?: Evidence from China’s A-Share Listed Companies" Systems 13, no. 3: 192. https://doi.org/10.3390/systems13030192
APA StyleZhong, Z., Wu, S., Hu, J., Fang, L., & Li, K. (2025). Does Financialization Alleviate the Funding Dilemma of Green Innovation in Heavily Polluting Firms?: Evidence from China’s A-Share Listed Companies. Systems, 13(3), 192. https://doi.org/10.3390/systems13030192
