Simulation Analysis of Artificial Intelligence Technology Diffusion under Market Competition and Policy Incentives Based on Complex Network Evolutionary Game Models
Abstract
1. Introduction
2. Literature Review
3. Model Construction
3.1. Network Structure
3.2. Enterprise Game Model
3.2.1. Problem Description
3.2.2. Basic Assumptions and Parameterization
3.2.3. Game Modeling under Market Competition
The Game between Different Types of Enterprises under Market Competition
The Game between the Same Type of Enterprises under Market Competition
3.2.4. Game Modeling under Policy Incentives
The Game between Different Types of Enterprises under Policy Incentives
The Game between the Same Types of Enterprises under Policy Incentives
3.3. Evolutionary Rules
4. Numerical Simulation Analysis
4.1. Simulation Steps and Initial Value Setting
4.2. Simulation Analysis under Market Competition
4.2.1. The Impact of Network Average Degree on AI Technology Diffusion
4.2.2. The Impact of the Proportion of AI Technology Products in the Mainstream Market on AI Technology Diffusion
4.2.3. The Impact of the Cost of AI Technology on AI Technology Diffusion
4.3. Simulation Analysis under Policy Incentives
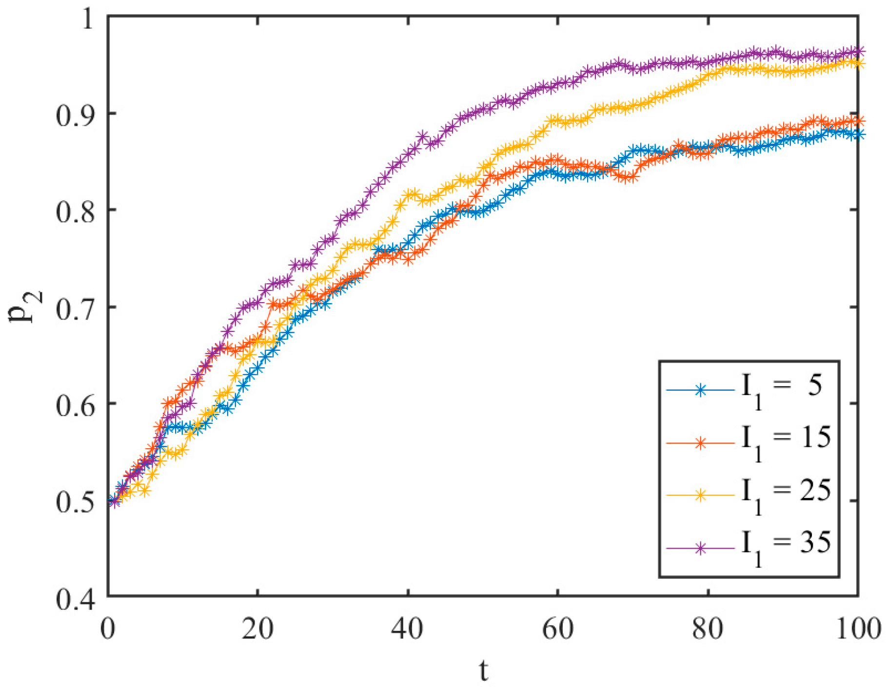
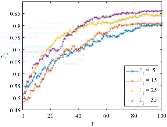
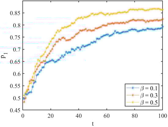
4.3.1. The Impact of AI Technology Subsidy on AI Technology Diffusion
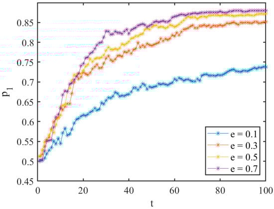
4.3.2. The Impact of Enterprise High-Tech Recognition on AI Technology Diffusion
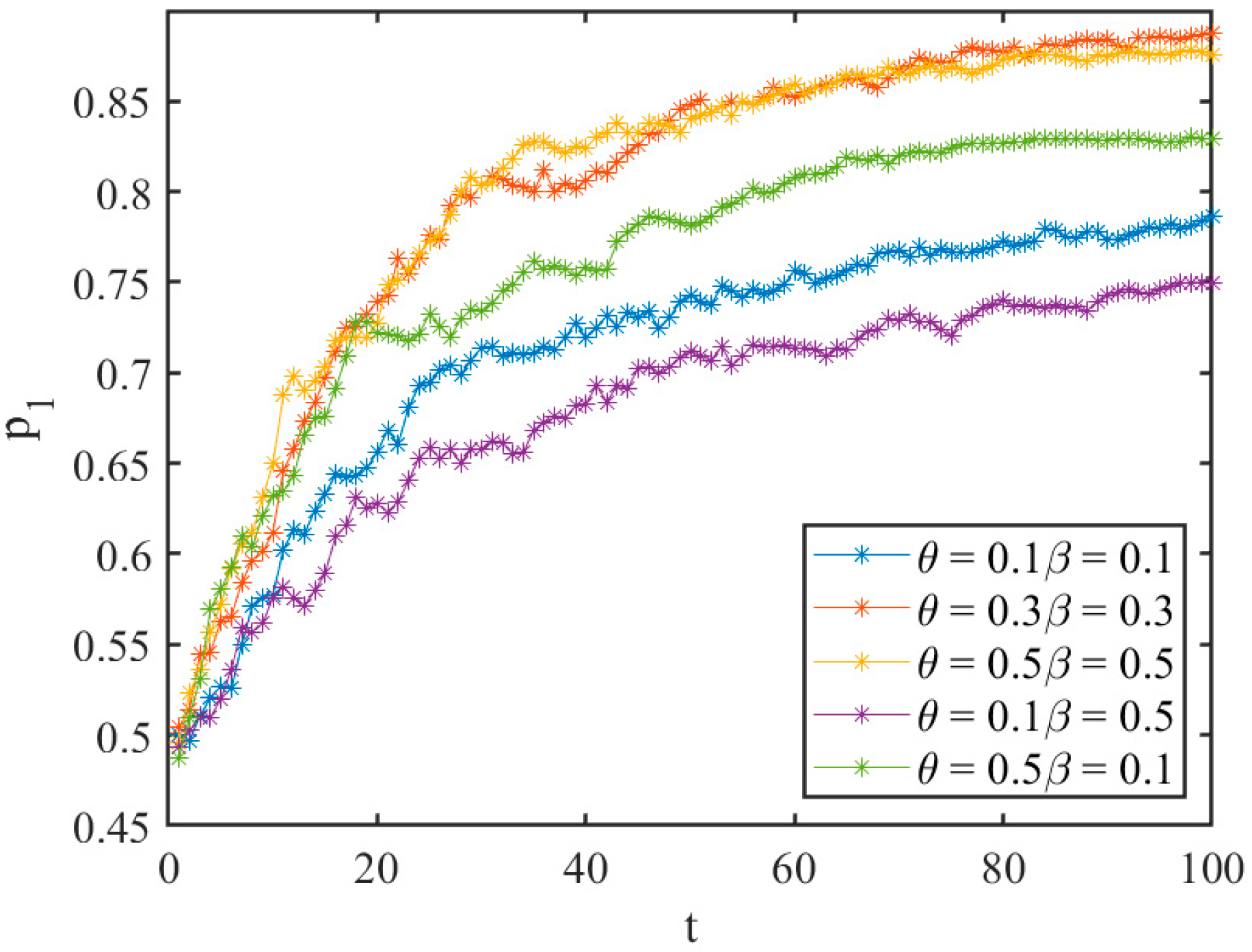
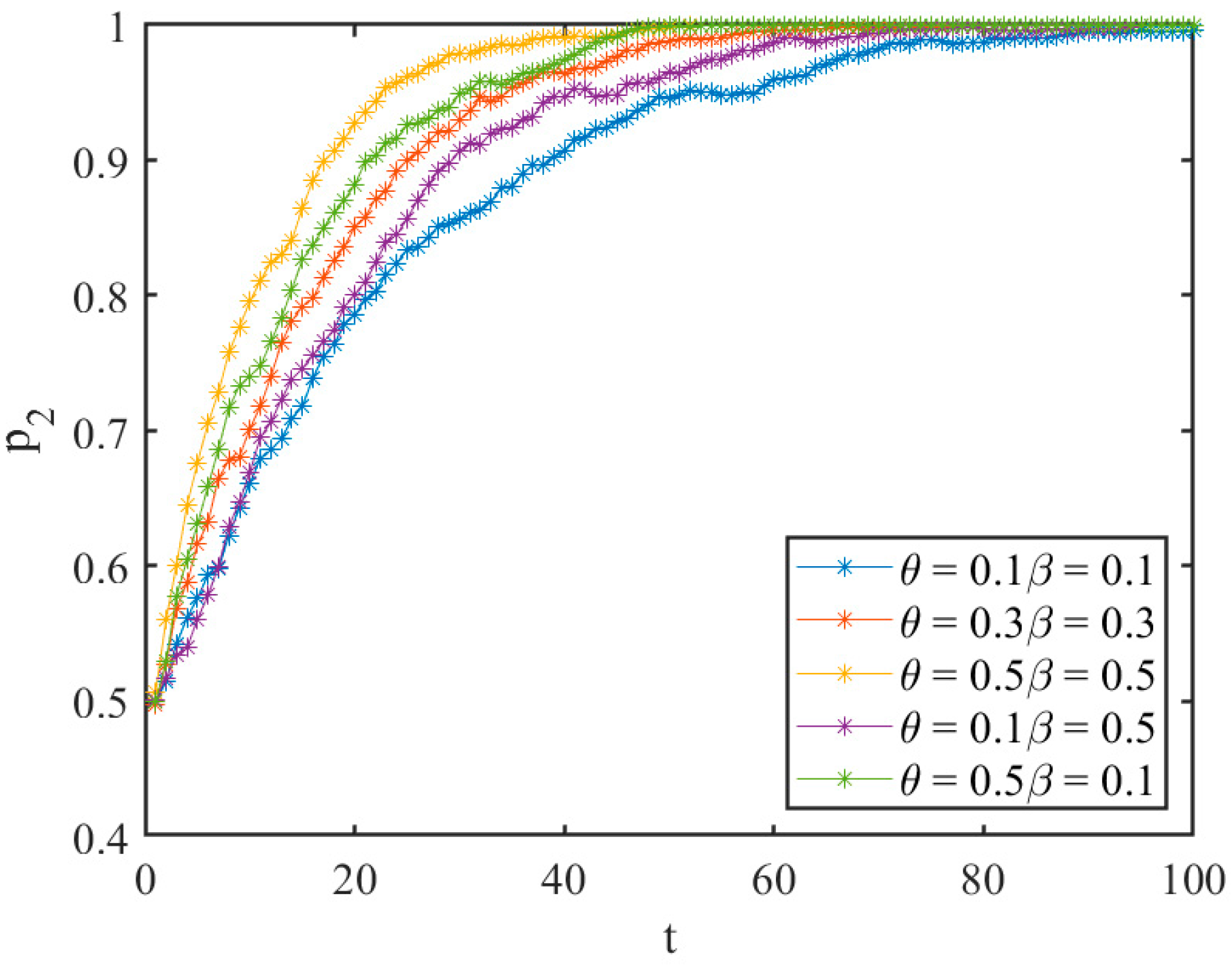
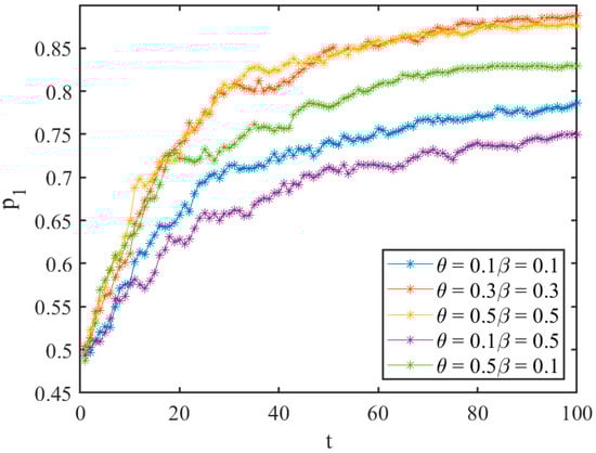
4.3.3. The Impact of the Policy Combination of Technology Subsidies and Enterprise High-Tech Identification on AI Technology Diffusion
5. Conclusions and Insights
5.1. Conclusions
5.2. Management Insights
5.3. Limitations and Future Research Directions
Author Contributions
Funding
Data Availability Statement
Conflicts of Interest
References
- Yang, C. How artificial intelligence technology affects productivity and employment: Firm-level evidence from Taiwan. Res. Policy 2022, 51, 104536. [Google Scholar] [CrossRef]
- Issa, H.; Jabbouri, R.; Palmer, M. An artificial intelligence (AI)-readiness and adoption framework for AgriTech firms. Technol. Forecast. Soc. Chang. 2022, 182, 121874. [Google Scholar] [CrossRef]
- Liu, G.; Liu, C. Research on technology diffusion mechanism and implementation strategy of artificial intelligence technology industry. Econ. Rev. J. 2020, 9, 109–119. [Google Scholar] [CrossRef]
- Haefner, N.; Wincent, J.; Parida, V.; Gassmann, O. Artificial intelligence and innovation management: A review, framework, and research agenda. Technol. Forecast. Soc. Chang. 2021, 162, 120392. [Google Scholar] [CrossRef]
- He, Y.; Lin, X. Research on disruptive technology diffusion based on complex network evolutionary game. Soft Sci. 2023, 1–11. [Google Scholar] [CrossRef]
- Yu, X.; Cong, Y. Population aging, artificial intelligence and industrial structure transformation and upgrading. Guizhou Soc. Sci. 2023, 5, 136–144. [Google Scholar] [CrossRef]
- Yang, W.; Chen, P.; Gad, D. The study of technology diffusion and technology dynamic evolution in lithography industry: Implications for neck-jamming technologies. Forum Sci. Technol. China 2022, 9, 73–84. [Google Scholar] [CrossRef]
- Bianchini, S.; Mueller, M.; Pelletier, P. Artificial intelligence in science: An emerging general method of invention. Res. Policy 2022, 51, 104604. [Google Scholar] [CrossRef]
- Geng, Z.; Wang, W. Research on development trend and influencing factors of China’s artificial intelligence industry. Enterp. Econ. 2022, 41, 36–46. [Google Scholar] [CrossRef]
- Huang, X. Background of “machine for man” and the impact of government subsidy policy. Rev. Ind. Econ. 2022, 4, 81–101. [Google Scholar] [CrossRef]
- Dong, Z.; Miao, Y. High-tech enterprise recognition policy and enterprise performance: Also on the moderating role of high-tech zone construction. Macroeconomics 2022, 9, 141–160. [Google Scholar] [CrossRef]
- Zhang, H.; Wu, Z. How high-tech enterprise recognition affects enterprise innovation behavior empirical evidence from fuzzy regression discontinuity. Bus. Manag. J. 2022, 44, 63–81. [Google Scholar] [CrossRef]
- Zeng, Y.; Dong, P.; Shi, Y.; Wang, L.; Li, Y. Analyzing the co-evolution of green technology diffusion and consumers’ pro-environmental attitudes: An agent-based model. J. Clean. Prod. 2020, 256, 120384. [Google Scholar] [CrossRef]
- Losacker, S.; Horbach, J.; Liefner, I. Geography and the speed of green technology diffusion. Ind. Innov. 2022, 30, 531–555. [Google Scholar] [CrossRef]
- Chen, Y.; Lin, B. Slow diffusion of renewable energy technologies in China: An empirical analysis from the perspective of innovation system. J. Clean. Prod. 2020, 261, 121186. [Google Scholar] [CrossRef]
- Zeng, Y.; Dong, P.; Shi, Y.; Li, Y. On the Disruptive Innovation Strategy of Renewable Energy Technology Diffusion: An Agent-Based Model. Energies 2018, 11, 3217. [Google Scholar] [CrossRef]
- Boie, I.; Ragwitz, M.; Held, A. A composite indicator for short-term diffusion forecasts of renewable energy technologies—The case of Germany. Energy Environ. 2016, 27, 28–54. [Google Scholar] [CrossRef]
- Zhou, D.; Ding, H.; Zhou, P.; Wang, Q. Renewable energy technology diffusion model based on process division. Chin. J. Manag. Sci. 2022, 30, 217–225. [Google Scholar] [CrossRef]
- Zhang, Y.; Wang, X.; Sun, Q.; Dou, J.; Wang, Y.; Liu, Z. Simulation analysis of renewable energy technology diffusion based on complex network evolutionary game. Power Syst. Technol. 2023, 48, 1573–1586. [Google Scholar] [CrossRef]
- Zhao, D.; Ji, S.; Wang, H.; Jiang, L. How do government subsidies promote new energy vehicle diffusion in the complex network context? A three-stage evolutionary game model. Energy 2021, 230, 120899. [Google Scholar] [CrossRef]
- Du, H.; Zou, H.; Zhang, Y.; Zhao, Q. Technology adoption and diffusion of new energy vehicle (NEV) under heterogeneous behaviors. J. Manag. Sci. China 2021, 24, 62–76. [Google Scholar] [CrossRef]
- Wang, L.; Ma, Q.; Yang, J.; Zheng, J. Research on the influence of green consumers on the diffusion of new energy vehicles based on complex network evolutionary game. Chin. J. Manag. Sci. 2022, 30, 74–85. [Google Scholar] [CrossRef]
- Sneddon, J.; Soutar, G.; Mazzarol, T. Modelling the faddish, fashionable and efficient diffusion of agricultural technologies: A case study of the diffusion of wool testing technology in Australia. Technol. Forecast. Soc. Chang. 2011, 78, 468–480. [Google Scholar] [CrossRef]
- Wang, W.; Wang, J.; Liu, K.; Wu, Y. Overcoming Barriers to Agriculture Green Technology Diffusion through Stakeholders in China: A Social Network Analysis. Int. J. Environ. Res. Public Health 2020, 17, 6976. [Google Scholar] [CrossRef] [PubMed]
- Antonio, J.; Kanbach, D. Contextual factors of disruptive innovation: A systematic review and framework. Technol. Forecast. Soc. Chang. 2023, 188, 122274. [Google Scholar] [CrossRef]
- Sun, L.; Lin, J. Adoption time of a maturing disruptive technology in a duopoly market. RAIRO-Oper. Res. 2021, 55, 3817–3844. [Google Scholar] [CrossRef]
- Obal, M. What drives post-adoption usage? Investigating the negative and positive antecedents of disruptive technology continuous adoption intentions. Industrial Mark. Manag. 2017, 63, 42–52. [Google Scholar] [CrossRef]
- Mitra, T.; Kapoor, R.; Gupta, N. Studying key antecedents of disruptive technology adoption in the digital supply chain: An Indian perspective. Int. J. Emerg. Mark. 2023, 18, 4669–4689. [Google Scholar] [CrossRef]
- Qu, G.; Chen, K.; Chen, J. Disruptive technovation: Origins, integrated framework, and prospects. Sci. Res. Manag. 2023, 44, 1–9. [Google Scholar] [CrossRef]
- Zhang, X.; Chen, S.; Wang, X. How can technology leverage university teaching & learning innovation? A longitudinal case study of diffusion of technology innovation from the knowledge creation perspective. Educ. Inf. Technol. 2023, 28, 15543–15569. [Google Scholar] [CrossRef]
- Hashimoto, H.; Noguchi, H.; Heidenreich, P.; Saynina, O.; Moreland, A.; Miyazaki, S.; Ikeda, S.; Kaneko, Y.; Ikegami, N. The diffusion of medical technology, local conditions, and technology re-invention: A comparative case study on coronary stenting. Health Policy 2006, 79, 221–230. [Google Scholar] [CrossRef]
- Hou, J.; Tang, S.; Zhang, Y.; Song, H. Does prior knowledge affect patent technology diffusion? A semantic-based patent citation contribution analysis. J. Informetr. 2023, 17, 101393. [Google Scholar] [CrossRef]
- Xu, G.; Zhou, Y.; Ji, H. How Can Government Promote Technology Diffusion in Manufacturing Paradigm Shift? Evidence From China. IEEE Trans. Eng. Manag. 2023, 70, 1547–1559. [Google Scholar] [CrossRef]
- Bracci, E.; Tallaki, M.; Ievoli, R.; Diplotti, S. Knowledge, diffusion and interest in blockchain technology in SMEs. J. Knowl. Manag. 2021, 26, 1386–1407. [Google Scholar] [CrossRef]
- Fernández, A.; Ferrándiz, E.; Medina, J. The diffusion of energy technologies. Evidence from renewable, fossil, and nuclear energy patents. Technol. Forecast. Soc. Chang. 2022, 178, 121566. [Google Scholar] [CrossRef]
- Ouyang, Y. Market Structure and the proliferation of robot technology in China. Rev. Ind. Econ. 2022, 4, 62–80. [Google Scholar] [CrossRef]
- Wang, H.; Sun, B. New energy dominant technology diffusion mechanism based on cellular automation model-The case of the current market and policy environment. Int. J. Energy Res. 2022, 46, 10576–10589. [Google Scholar] [CrossRef]
- Ding, S.; Hu, H.; Dai, L.; Wang, W. Blockchain Adoption among Multi-Stakeholders under Government Subsidy: From the Technology Diffusion Perspective. J. Constr. Eng. Manag. 2023, 149, 04023016. [Google Scholar] [CrossRef]
- Almaiah, M.A.; Alfaisal, R.; Salloum, S.A.; Hajjej, F.; Shishakly, R.; Lutfi, A.; Alrawad, M.; Al Mulhem, A.; Alkhdour, T.; Al-Maroof, R.S. Measuring Institutions’ Adoption of Artificial Intelligence Applications in Online Learning Environments: Integrating the Innovation Diffusion Theory with Technology Adoption Rate. Electronics 2022, 11, 3291. [Google Scholar] [CrossRef]
- Al-Dhaen, F.; Hou, J.; Salloum, S.A.; Rana, N.P.; Weerakkody, V. Advancing the Understanding of the Role of Responsible AI in the Continued Use of IoMT in Healthcare. Inf. Syst. Front. 2023, 25, 2159–2178. [Google Scholar] [CrossRef]
- Wang, Y.; Liu, D. Exposure and adoption: An innovation diffusion study based on early experiencers of AI. Mod. Commun. (J. Commun. Univ. China) 2023, 45, 78–87. [Google Scholar] [CrossRef]
- Zhang, X.; Liu, G. Research on integration innovation mechanism of artificial intelligence and traditional industry: Analysis of China’s intelligent security industry innovation network. Stud. Sci. Sci. 2022, 40, 1105–1116. [Google Scholar] [CrossRef]
- Li, P.; Zang, S. The construction of latecomer firms’ competitive advantage based on disruptive innovatior. Stud. Sci. Sci. 2015, 33, 295–303. [Google Scholar] [CrossRef]
















| Non-Core Enterprises | |||
|---|---|---|---|
| AI Technology | Conventional Technology | ||
| Core enterprises | AI technology | ||
| Conventional technology | |||
| Enterprise 2 | |||
|---|---|---|---|
| AI Technology | Conventional Technology | ||
| Enterprise 1 | AI technology | ||
| Conventional technology | |||
| Non-Core Enterprises | |||
|---|---|---|---|
| AI Technology | Conventional Technology | ||
| Core enterprises | AI technology | ||
| Conventional technology | |||
| Enterprise 2 | |||
|---|---|---|---|
| AI Technology | Conventional Technology | ||
| Enterprise 1 | AI technology | ||
| Conventional technology | |||
| Parameter | Numerical Value | Parameter | Numerical Value |
|---|---|---|---|
| number of enterprises | 200 | average demand from enterprises in the mainstream market | 2000/N |
| proportion of core enterprises | 0.2 | average demand from enterprises in the non-mainstream market | 500/N |
| proportion of non-core enterprises | 0.8 | coefficient of relative advantage of core enterprises | 2 |
| product unit price | 100 | proportion of AI technology products in the mainstream market | 0.25 |
| cost per unit of product produced using conventional technology | 40 | AI technology subsidy factor | 10% |
| opportunity cost | 20 | the influence of enterprise high-tech recognition, i.e., increase in market share of enterprises | 10% |
| cost of AI technology | 50 | network average degree | 6 |
| cost reduction factor | 0.1 | noise factor | 0.2 |
Disclaimer/Publisher’s Note: The statements, opinions and data contained in all publications are solely those of the individual author(s) and contributor(s) and not of MDPI and/or the editor(s). MDPI and/or the editor(s) disclaim responsibility for any injury to people or property resulting from any ideas, methods, instructions or products referred to in the content. |
© 2024 by the authors. Licensee MDPI, Basel, Switzerland. This article is an open access article distributed under the terms and conditions of the Creative Commons Attribution (CC BY) license (https://creativecommons.org/licenses/by/4.0/).
Share and Cite
Ma, X.; Wang, J. Simulation Analysis of Artificial Intelligence Technology Diffusion under Market Competition and Policy Incentives Based on Complex Network Evolutionary Game Models. Systems 2024, 12, 242. https://doi.org/10.3390/systems12070242
Ma X, Wang J. Simulation Analysis of Artificial Intelligence Technology Diffusion under Market Competition and Policy Incentives Based on Complex Network Evolutionary Game Models. Systems. 2024; 12(7):242. https://doi.org/10.3390/systems12070242
Chicago/Turabian StyleMa, Xiaofei, and Jia Wang. 2024. "Simulation Analysis of Artificial Intelligence Technology Diffusion under Market Competition and Policy Incentives Based on Complex Network Evolutionary Game Models" Systems 12, no. 7: 242. https://doi.org/10.3390/systems12070242
APA StyleMa, X., & Wang, J. (2024). Simulation Analysis of Artificial Intelligence Technology Diffusion under Market Competition and Policy Incentives Based on Complex Network Evolutionary Game Models. Systems, 12(7), 242. https://doi.org/10.3390/systems12070242

