Next Article in Journal
Trajectory Planning Method in Time-Variant Wind Considering Heterogeneity of Segment Flight Time Distribution
Next Article in Special Issue
The Effect of Resource Restructuring on Supply Chain Resilience in the Context of Digital Transformation
Previous Article in Journal
Balancing Economic Growth and Environmental Conservation: Assessing Supportive Policies in Resources-Based Cities in China
Previous Article in Special Issue
Evaluation Research on Resilience of Coal-to-Liquids Industrial Chain and Supply Chain
 
 
Font Type:
Arial Georgia Verdana
Font Size:
Aa Aa Aa
Line Spacing:
Column Width:
Background:
Article

Investment Decision and Coordination of Fresh Supply Chain Blockchain Technology Considering Consumer Preference

Institute of Logistics Science and Engineering, Shanghai Maritime University, Shanghai 201306, China
*
Author to whom correspondence should be addressed.
Systems 2024, 12(12), 522; https://doi.org/10.3390/systems12120522
Submission received: 28 September 2024 / Revised: 13 November 2024 / Accepted: 20 November 2024 / Published: 25 November 2024

Abstract

In this paper, we study the decision-making and coordination problem of a two-tier fresh food supply chain consisting of a supplier and a retailer. Considering the influencing factors of consumers’ information preference, freshness, and misrepresentation, we construct a centralized decision-making model and a decentralized decision-making Stackelberg game model. We also analyze the changes in the equilibrium solution of the supply chain before and after the input of blockchain technology, identify the conditions for the investment in blockchain technology, and design a “cost-sharing + benefit-sharing” combination contract for the coordination of the blockchain. The results are as follows: Firstly, under decentralized decision-making, if the fresh supplier misreports the freshness of the product, it will mislead the retailer to increase the order quantity, and its own profit will rise. Therefore, the fresh supplier has the motivation to misreport freshness. However, the backlog of fresh products will eventually damage the retailer’s profit, and the overall profit of the supply chain will also be damaged. Therefore, the increase in the profit of the fresh supplier is at the expense of the overall interests and stability of the supply chain. Second, when the investment cost of blockchain technology is within a certain threshold, it is feasible to invest in blockchain technology. Consumers’ preference for traceable fresh products will encourage the fresh supply chain to improve the level of information traceability and increase investment in blockchain technology. Finally, there are double marginal effects in the fresh supply chain under decentralized decision-making. The combined contract of “cost-sharing + revenue-sharing” can coordinate the overall revenue of the supply chain to the level of centralized decision-making. When the contract parameters meet certain conditions, Pareto improvement in revenue can be achieved for all parties involved in the fresh supply chain. The willingness of retailers to invest in blockchain technology will change with the change in contract parameters. When the proportion of retailers’ costs and the proportion of shared income are higher, the level of retailers’ investment in blockchain technology will decrease. Therefore, the interests of supply chain members need to be balanced in the process of contract coordination.

1. Introduction

In recent years, blockchain technology, as the underlying technical framework of Bitcoin, has attracted people’s attention and gradually developed into a mature technology. Gong [1] (2021) proposed that blockchain systems can truly realize distributed and decentralized data storage. All data information stored in the system is jointly maintained by active nodes throughout the network. The unified synchronization of ledger data can be achieved by simple data exchange between nodes. The data recorded in the entire blockchain ledger are completely open and transparent, and any node can be read and applied freely, greatly increasing the degree of data information sharing. Therefore, the application of blockchain technology in supply chain management has become a topic of close concern for scholars around the world in recent years. Hu et al. [2] (2024) believed that under the background of the development of blockchain technology and the growing fresh food market, it may become a trend for fresh food supply chain enterprises to invest in blockchain technology to promote the traceability and transparent management of fresh food supply chain information and achieve the traceability, transparency, and security of the fresh food supply chain.
Wang et al. [3] (2023) proposed that for relevant enterprises, blockchain technology reduces transaction costs, while the anti-counterfeiting and data service functions of blockchain technology make the transaction information and product information traceability of the fresh food supply chain transparent. This transparency helps to prevent the problem of misrepresenting the quality of fresh food products caused by knowledge asymmetry in the fresh food supply chain. Additionally, the total cost of inventory of the relevant retail enterprises is reduced, which ultimately achieves the purpose of enhancing revenue. However, the use of blockchain incurs certain costs, such as the total cost of construction, operation, and so on. These costs have, to a certain extent, prevented its use by companies in the fresh food supply chain, and most of them only use it for high-value-added fresh agricultural products.
However, blockchain investment decisions cannot be ignored. For investors, on the one hand, the improvement of fresh cold chain quality has a great effect on market demand and can obtain higher gross sales profits. On the other hand, it is necessary to consider that blockchain investment is indeed huge and a long-term process, so a first step would be to pay attention to input and output processes. Therefore, the basic idea of this paper is to formulate strategies from an input and output perspective. Specifically, the aim of this study is to establish a game model that incorporates cost, fresh cold chain profit, and fresh market scale to study the quality credibility improvement of fresh cold chain and blockchain technology to inform investment decision-making and carry out a contract governance strategy analysis. The application of blockchain faces certain costs, such as the total cost of blockchain construction (including overall deployment cost and node deployment cost), the running costs (information collection and information endorsement verification cost), and so on.
Following a general analysis of the role of investment decisions and coordination of fresh supply chain blockchain technology, three main research questions are addressed in this paper: (1) a quantitative analysis of how blockchain technology is used in the fresh supply chain for investment and decision-making, as well as how to encourage the input and use of blockchain through different contract means; (2) an analysis of the ways in which the value of the fresh supply chain can be improved in response to consumers’ preference for traceability information of fresh products; (3) considering the possible misreporting behavior in the fresh supply chain, this study explores how to mitigate misreporting behavior through blockchain technology.
The innovations of this paper are mainly in the following aspects: Firstly, it explores the impact of blockchain technology investment on the fresh supply chain. It further optimizes the operation decisions of suppliers and retailers from the perspective of supply chain coordination contracts, with the goal of improving the efficiency of the fresh supply chain and fostering cooperation and coordination among members. Second, this paper studies the influence of consumers’ information preferences on the decision-making of the fresh product supply chain. At the same time, it considers consumers’ preference for product freshness, combined price, and information traceability, which is more in line with the actual situation of the market and has certain practical significance. Finally, when making decisions, each member of the supply chain often only seeks to maximize their own interests, which is characteristic of decentralized decision-making; however, this may eventually lead to the double marginal effect of the supply chain. Therefore, this paper will design a “cost-sharing + revenue-sharing” contract to coordinate the supply of fresh food with the aim to achieve the goal of maximizing supply chain revenue and further achieving Pareto improvement.
The main contents of this paper include the following: firstly, it establishes the fresh food supply chain model under centralized and decentralized decision-making and analyzes the investment threshold of blockchain technology and the changes in equilibrium solutions in different scenarios; it designs and introduces the “cost-sharing + benefit-sharing” combination contract to coordinate the supply chain and analyzes the conditions for achieving supply chain coordination and Pareto improvement in the benefits of supply chain participants; finally, it verifies the effectiveness of the model through numerical analysis. In the following sections, the first part reviews the research literature on blockchain in the fresh food supply chain. The second part proposes the basic idea design of model construction and also gives the basic assumptions of the model. The third part establishes a centralized decision-making model for the blockchain investment problem in a fresh produce cold chain. The fourth part establishes a decentralized decision-making model for the blockchain investment problem of a fresh produce cold chain, and the fifth part proposes a blockchain investment model of a fresh produce cold chain with “cost-sharing + profit sharing”. The sixth part is the numerical simulation analysis of the previously proposed model, and the seventh part is the conclusion and outlook of this thesis.

2. Literature Review

In recent years, more and more scholars have begun to pay attention to research on fresh food supply chains, including consumer preference, misrepresentation under information asymmetry, and coordination problems. As for the research on consumer preference, Chang et al. [4] (2019) studied the relationship between the sales price of fresh products and consumers’ willingness to pay on the basis of analyzing the impact of agricultural multi-function identification on the price premium of environment-friendly agricultural products. Zhou et al. [5] (2019) considered consumers’ preference for organic fresh products in the decision-making model, solved the balance problem of the supply chain of fresh products, and believed that organic agricultural products could improve the revenue of suppliers and retailers. Yu et al. [6] (2017) built a three-tier fresh food supply chain system. Considering the impact of freshness on demand, they studied the optimal pricing strategy of fresh products and the cost input of the optimal freshness level. Wang et al. [7] (2015) proposed that consumers are willing to pay additional prices for traceable pork containing three levels of information: breeding, slaughtering, and transportation and sales. The higher the level of security information, the more willing consumers will be to pay. Yang et al. [8] (2014) believed that the production date, fertilizer (agricultural and veterinary drugs), processing information, sales location, and other agricultural product quality and safety information are the main factors affecting consumers’ purchase behavior when they purchase agricultural products. Cao et al. [9] (2020) believed that consumers’ demand for high-quality food and growing awareness of environmental protection led to an increasing preference for green agricultural food, and consumers’ demand for green agricultural food depends on the sales price and green degree of products. The above research shows that the factors affecting the market demand of a fresh food supply chain include price level, freshness, organic degree, green degree, traceability, etc. As for the research related to false reporting, Yang et al. [10] (2016) believed that the asymmetry of freshness information in the upstream and downstream supply chain of fresh agricultural products would aggravate the consumption of fresh products. Yan et al. [11] (2016) showed that when manufacturers have superior information, they will increase cost information, and their panic behavior will lead to adversity between retailers and the entire supply chain. Although manufacturers’ false alarm behavior is beneficial to some participants in the supply chain, it is unfavorable to the whole supply chain. Ma et al. [12] (2019) found that exaggerating demand in the downstream of the supply chain may lead to distortion of order quantity and sales price, which may seriously damage the interests of suppliers and ultimately lead to loss of supply chain profits. The above research shows that false reporting will damage the profits of all parties in the supply chain system and lead to the instability of the supply chain structure. It is necessary to increase the information transparency of the supply chain to reduce the damage. In the face of supply chain coordination problems, the behavior of design contracts is generally used to solve them. Liu et al. [13] (2020), in the context of technology investment, coordinated the supply chain through cost-sharing and revenue-sharing contracts to achieve optimal profits. Cai et al. [14] (2015) coordinated the supply chain by building a return contract, in which both suppliers and retailers can obtain more profits than wholesale price contracts and achieve Pareto improvement of the supply chain.
Due to the openness and transparency of blockchain technology, scholars have conducted many studies on its application in the supply chain. Strainer et al. [15] (2021) pointed out that the application of blockchain to agri-food supply chains can improve logistics efficiency, improve the security and transparency of the supply chain information flow, and improve the management ability of enterprises on the supply chain. Toyoda et al. [16] (2017) analyzed the characteristics of blockchain technology and, combining blockchain technology with Internet of Things technology, built a traceability and anti-counterfeiting model to meet the anti-counterfeiting requirements of the supply chain business. Tayal et al. [17] (2021) believe that a traceability system based on blockchain technology has many advantages and makes up for the shortcomings of a traceability system based on the Internet of Things, such as reducing the cost of data storage and management, realizing information transparency and data security, and increasing the trust between the various entities of the supply chain and the credibility of the traceability system. Obviously, blockchain technology can increase the information security and transparency of the supply chain, which is of positive significance. Therefore, some scholars hope to apply it to the food supply chain. Barela et al. [18] (2019) built a food data repository oriented to the blockchain platform and ensured the transparency of the food supply chain by taking advantage of the distribution and invariance of the blockchain. Yang et al. [19] (2021) designed an agricultural product supply chain product information storage and query traceability system based on blockchain technology, which improved the query efficiency and security of private information and ensured the authenticity and reliability of data in supply chain management. Caro et al. [20] (2018) put forward the AgriBlockIoT solution by integrating the Internet of Things and blockchain technology, established a fault-tolerant and tamper-proof food supply chain traceability system, and ensured the transparency of agricultural food supply chain data. Coco et al. [21] (2021) proposed a blockchain-based system for the supply chain management of specific Italian bread, allowing the final consumer to have a transparent view of the whole process from raw materials to purchasing final products and allowing regulators to conduct online inspection of product quality and good work practices. Feng et al. [22] (2020) believed that traceability played a crucial role in food quality and safety management. The traditional Internet of Things traceability system provided a feasible solution for quality monitoring and traceability of the food supply chain, and the benefits, challenges, and development methods of a blockchain-based food traceability system were studied and analyzed. In addition, some scholars also made a quantitative analysis of the conditions for blockchain investment and application. Fan et al. [23] (2022) studied and analyzed the conditions for manufacturers to implement blockchain on the basis of considering consumers’ traceability intentions and blockchain cost-sharing.
The research on the operation and management of the supply chain by blockchain technology is mainly reflected in three aspects: blockchain application, information disclosure, and service pricing. The first is the adoption strategy of blockchain technology in the supply chain, the analysis of influencing factors, and the study of the benefits of blockchain technology. Cole et al. [24] (2019) studied the potential applications of blockchain technology from the perspective of supply chain operations and management. They found that blockchain technology can improve quality management and reduce illegal counterfeiting. Wu et al. [25] (2023) analyzed strategies for adopting blockchain technology in a fresh produce supply chain between two competing supply chains, assuming that consumer awareness of traceability is a sensitivity to authentic traceability information. They found that when one supply chain adopts blockchain technology, the other may be free-riding. Zhou [5] (2019) and others showed that consumers’ organic preferences affect production and marketing decisions in fresh produce supply chains. Closely related is the blockchain introduction strategy of supply chains in competitive markets. Xu et al. [26] (2023) investigate the conditions for blockchain technology adoption by competitive platforms under the influence of network effects and find that the difference between the quality of services provided by different platforms has a key impact on blockchain technology adoption strategies. When the difference in service quality is greater, it is more favorable for high-service-quality-level platforms to adopt blockchain technology. Moving on to the impact of blockchain technology on strategies in terms of supply chain information disclosure, the human study of Min et al. [27] (2019) concluded that blockchain technology has considerable application value in supply chain information sharing. It is considered as a promising solution to increase supply chain resistance and reduce risk and uncertainty. Wang et al. [28] (2022) theoretically analyzed optimal information disclosure and blockchain adoption strategies for competing platforms. Choi et al. [29] (2019) analyzed the product disclosure strategy of blockchain-enabled rental service platforms in a duopoly market. Choi, L. Feng et al. [30] (2020) explored the product disclosure structure supported by blockchain technology in the rental service supply chain. The results show that two competing rental service platforms should disclose as much product information as possible when the cost of information auditing is small enough. Pun et al. [31] (2021) conduct authentic information disclosure through blockchain technology to combat counterfeit products. Finally, the strategic impact of blockchain technology on the service pricing aspect of the supply chain is considered. Tao et al. [32] (2023) analyzed the impact of blockchain technology on the optimal pricing and quality decisions of two competing platforms. Considering the quality sensitivity of consumers, the impact of blockchain technology on the optimal pricing and quality decisions in the platform supply chain was studied. Choi et al. [33] (2020) studied the optimal pricing strategy of blockchain on-demand service platforms and studied how consumers’ attitude towards risk affects the optimal service pricing decision, consumer surplus, platform expected profit, and profit risk of on-demand platforms. The results show that the platform can realize customized service pricing by identifying customers’ risk preferences through blockchain technology. Blockchain technology and consumers’ attitudes towards risk play a key role in optimal service pricing. Wu et al. [34] (2023) studied the coordinated pricing of investment in blockchain technology in the supply chain of fresh agricultural products. Their research found that whether to invest in blockchain technology is related to consumer acceptance, cost-sharing, and product corruption. Zhang et al. [35] (2022) studied the impact of blockchain technology on retailers’ pricing strategies.
As can be seen through the above literature review, existing studies mainly point out that there are problems in the existing fresh food cold chain, and there are also blockchain applications of decentralization and information tampering and other technologies for the fresh food cold chain to fresh food market enhancement; of course, the blockchain investment decision-making aspect of the content is also considered. This thesis differs from previous studies in the following three points: (1) This paper considers how to prevent misrepresentation, reduce the damage to the fresh food supply chain, and enhance the investment motivation and application of blockchain construction. The combination of blockchain and agricultural product traceability can ensure the security of upstream data and the transparency of information between participants in the process of agricultural product supply, increase the trust between participants, and study the reduction of supplier misrepresentation of freshness. (2) This paper considers consumer preferences for information on traceable fresh produce, analyzes the cost of investing in blockchain technology, and considers the enhancement of consumer trust through blockchain. Combining blockchain with traceability of agricultural products, this paper studies the inputs to incentivize blockchain construction by improving trust in the process of supply and marketing of agricultural products. (3) This paper comprehensively considers the impacts of blockchain technology under centralized decision-making and decentralized decision-making on the performance of suppliers and retailers under the adoption of the cost-sharing model and analyzes the selection of a reasonable mechanism for cost-sharing and benefit distribution by taking advantage of the moderating effects of cost-sharing and benefit distribution problems. The main purpose of this paper is to consider the introduction of blockchain technology in the fresh food supply chain from the perspective of contractual governance and to study the investment decision and coordination issues of blockchain technology in the fresh food supply chain.

3. Model Setting

3.1. Problem Description

This paper constructs a two-level fresh food supply chain consisting of a single supplier and a single retailer. Fresh food suppliers supply fresh products to retailers. Because fresh products are prone to corruption, suppliers may use the information asymmetry of the supply chain to falsely report the freshness of fresh products in order to gain more profits, thus deceiving retailers to increase the order volume, causing damage to the interests of retailers, At the same time, it will also damage the overall interests of the supply chain, which may lead to the damage of suppliers’ own interests. Therefore, we consider introducing blockchain technology into the fresh food supply chain, making use of the tamper-proof nature, transparency, and traceability of blockchain technology to increase the information transparency of the fresh food supply chain and the information traceability of fresh products. At the same time, the safety of fresh food is crucial, and consumers have a stronger willingness to pay for fresh products with traceability information. Figure 1 describes the supply chain structure; we summarize all notations in Table 1.

3.2. Relevant Assumptions

The market demand is affected not only by the change in supply and demand, but also by consumer preference. Based on the perspective of rational brokers of cost, profit, and quantity, this paper takes into account the change in consumers’ preference for fresh quality and the income of game players. In order to facilitate the research, this paper makes the following assumptions:
(1)
The supplier’s unit cost of producing fresh products is c, the product freshness is θ ( t ) , and the wholesale price to the retailer is w. The retailer orders q quantities of fresh products according to the predicted market demand and sells them to consumers at the sales price p.
(2)
The market demand for fresh products is affected by freshness θ ( t ) , retail price p, and product information traceability level g. The market demand function is D = a p k θ ( t ) g n , (p ≥ 1, k > 1, g ≥ 1, n > 1); a represents the original market size modulus, k represents the price sensitivity coefficient, consumers have a certain preference for the information traceability of fresh products, and n represents the consumer information preference coefficient.
(3)
The freshness function indicates that the fresh produce is freshest when it is picked from the field, and its freshness level can be set to 1. The freshness of the fresh produce decreases with the passage of time in a sales cycle T. In reference to Yang et al. [10] (2016), let the freshness function of fresh products be θ ( t ) = 1 t 2 / T 2 , where t is the time after production, T is the life cycle of fresh products, and 0 t < T . Under decentralized decision-making, fresh food suppliers will make false reports, and λ represents the false reporting coefficient ( 0 λ < 1 ); θ λ t = 1 ( λ t ) 2 T 2 is the accurate freshness expression of the product considering the false alarm coefficient. At this time, the retailer’s sales volume is q 0 .
(4)
Blockchain technology is used for information traceability, and g represents the information traceability level of fresh products ( g 1 ). When blockchain technology is not invested in, the initial information traceability level of the product is g 0 = 1 , the blockchain technology input cost per unit product is C x = 1 2 h g 2 , and h is the investment cost coefficient.
(5)
In the following, π represents the profits of each member of the supply chain, superscript T represents the situation of investing in blockchain technology, and subscripts S, R, C, D, and M represent the situation of suppliers, retailers, centralized decision-making, decentralized decision-making, and portfolio contracts.

4. Centralized Decision-Making Model

Under the centralized decision-making model, fresh food suppliers and retailers fully share information, and without considering the game between manufacturers and retailers, all members of the supply chain make unified decisions with the goal of maximizing the overall profits of the supply chain.
(1)
Non-investment in blockchain technology
In this case, the profit function of the supply chain is as follows:
π C = p c q
When blockchain technology is not invested in, the initial information traceability level of the product is g 0 = 1 ; from the demand function, p = q a θ ( t ) 1 k , and it is brought into Equation (1):
π C = q a θ ( t ) 1 k c q
Calculate the second derivative of Equation (2) for q. It is easy to find that when k > 1 and 2 π C q 2 < 0 , there is a maximum. If π C q = 0 , the optimal order quantity is as follows:
q C * = a θ ( t ) k c k 1 k
By substituting Equation (3) into the demand function and profit function, the optimal retail price and the optimal profit of the supply chain are obtained as follows:
p C * = k c k 1
π C * = a θ ( t ) 1 k k c k 1 k + 1
(2)
Investment in blockchain technology
In this case, the profit function of the supply chain is as follows:
π C T = p c C x q
From the demand function, p = q a θ ( t ) g n 1 k , and it is brought into Equation (6):
π C T = q a θ ( t ) g n 1 k c C x q
Find the second-order partial derivative of q and g in Equation (7), when 2 k n 2 > 0 , 2 π C q 2 < 0 , and the Hesse matrix is negative definite, and there is a maximum value. The optimal order quantity and the optimal information traceability level can be obtained as follows:
q C T * = a θ ( t ) 2 n c h 2 k n 2 n 2 2 k c 2 k n 2 k
g C T * = 2 n c h 2 k n 2 1 2
Optimal unit investment cost:
C C x * = n c 2 k n 2
Optimal retail price:
p C T * = 2 k c 2 k n 2
Optimal profit of supply chain:
π C T * = a θ ( t ) 1 k 2 n c h 2 k n 2 n 2 2 k c 2 k n 2 k + 1
Conclusion 1.
p C T * > p C * ; when   2 n c h 2 k n 2 n 2 2 k 2 2 k n 2 k > 1 ,   q C T * > q C * . There is a blockchain technology investment cost threshold   C c x * , when   C c x * > C c B = h 2 2 k 2 2 k n 2 2 k 2 n ,   π C T * > π C * .
It is proven that by comparing Formula (11) and Formula (4), we obtain P C T * P C * = 2 k c 2 k n 2 · k 1 k c = 2 k 2 2 k n 2 > 1 .
By comparing Formula (8) and Formula (3), we obtain q C T * q C * = 2 n c h ( 2 k n 2 ) n 2 2 k 2 2 k n 2 k .
By comparing Formula (12) and Formula (5), we obtain π C T * π C * = 2 n c h ( 2 k n 2 ) n 2 2 k 2 2 k n 2 k + 1 .
We substitute Formula (10) C c x * = n c 2 k n 2 into the available formula, we obtain π C T * π C * = 2 C c x * h n 2 2 k 2 2 k n 2 k + 1 . When 2 C c x * h n 2 2 k 2 2 k n 2 k + 1 > 1 ,   π C T * > π C * .
Conclusion 1 shows that under the centralized decision-making model, the optimal retail price in the case of fresh supply chain investment is higher than that without investment, which means that after investing in blockchain technology in the fresh supply chain, the supply chain can optimize the supply chain profit by increasing the retail price; in the case of meeting certain conditions,   2 n c h ( 2 k n 2 ) n 2 2 k 2 2 k n 2 k > 1 , the sales volume of the supply chain will increase compared with the uninvested blockchain technology; for the supply chain, investing in blockchain technology can increase market demand but also increase costs, so there is a threshold for the investment cost of blockchain technology. It is C c B = h 2 2 k 2 2 k n 2 2 k 2 n , only when the unit investment cost of blockchain technology is within the threshold range, and it satisfies the equation C c x * > h 2 2 k 2 2 k n 2 2 k 2 n . The total profit of the supply chain will increase compared with that without investment, which means that investing in blockchain technology can make the supply chain gain more benefits and is feasible.
Conclusion 2.
When P C * ,   P C T * , and   g C T * are negatively correlated with k,   P C T * , and   g C T * are positively correlated with n.
It is proven that by P C * k = c ( k 1 ) 2 < 0 , P C T * k = ( 2 n c 4 c ) ( 2 k n 2 ) 2 < 0 .
g C T * k = ( 2 n c h ) 1 2 ( 2 k n 2 ) 3 2 < 0 , P C T * n = 2 k c ( 2 k n 2 ) 2 > 0 .
g C T * n = ( 2 c h ) 1 2 1 2 2 k n n 2 2 n 1 2 + ( 1 h ) 1 2 2 k n 2 3 2 > 0 .
Conclusion 2 shows that under the centralized decision-making model, the optimal retail price under the two investment cases is inversely proportional to the consumer price sensitivity coefficient k; that is, when the consumer’s sensitivity to the commodity price increases, the supply chain needs to reduce the retail price to ensure the stability of the market demand in order to achieve the optimal profit; in the case of investment, the optimal retail price and the optimal information traceability level of the supply chain are proportional to the consumer information preference coefficient. That is, when the consumer’s preference for fresh products with traceable information increases, the supply chain needs to increase the retail price and the level of technology investment to achieve the optimal profit, which means that the consumer’s willingness to buy fresh products with traceable information will prompt the supply chain to invest more costs to improve the information traceability level to meet the market demand and increase the retail price to obtain more benefits.

5. Decentralized Decision-Making Model

In the case of decentralized decision-making, both upstream and downstream sides of the supply chain make decisions, in which the supplier is the leader and the retailer is the follower, and the goal of decision-making is to maximize their respective benefits. The process of the Stackelberg game is as follows: the supplier, as the leader, determines the wholesale price and provides freshness information, and then the retailer determines the retail price and order quantity on this basis. However, in this decentralized decision-making case, fresh food suppliers may lie about freshness for their own benefit.
(1)
Non-investment in blockchain technology
When blockchain technology is not invested in, producers will make false reports for their own interests, hide real information about the production of fresh agricultural products from retailers, and falsely report false information about the production time of fresh agricultural products, resulting in false high product freshness information, thus increasing retailers’ orders to producers. In this case, the profit functions of suppliers and retailers are as follows:
π S D = w c q
π R D = p q 0 w q
Substituting p = q a θ ( λ t ) 1 k into Equation (14),
π R D = q a θ ( λ t ) 1 k q θ ( t ) θ ( λ t ) w q
Calculate the second derivative of Equation (15) for q. It is easy to find that when k > 1, 2 π R D q 2 < 0 , there is a maximum. If π R D q = 0 , the optimal order quantity and retail price obtained are as follows:
q D * = a θ ( λ t ) k w k 1 θ ( λ t ) θ ( t ) k
p D * = k w k 1 θ ( λ t ) θ ( t )
Substitute Equations (16) and (17) into the supplier’s profit function and calculate the second derivative of w, when k > 1, 2 π S D w 2 < 0 , there is a maximum. If π S D w = 0 , the optimal wholesale price is as follows:
w D * = k c k 1
Optimal retail price:
p D * = k 2 c k 1 2 θ ( λ t ) θ ( t )
Optimal order quantity:
q D * = a θ ( λ t ) k 2 c k 1 2 θ ( λ t ) θ ( t ) k
Supplier’s optimal profit:
π S D * = a θ ( λ t ) c k 1 k 2 c k 1 2 θ ( λ t ) θ ( t ) k
Retailer’s optimal profit:
π R D * = a θ ( λ t ) k c k 1 2 k 2 c k 1 2 θ ( λ t ) θ ( t ) k
Optimal profit of supply chain:
π D * = a θ ( λ t ) 2 k c c k 1 2 k 2 c k 1 2 θ ( λ t ) θ ( t ) k
(2)
Investment in blockchain technology
After investing in blockchain technology, due to the openness and transparency of blockchain technology and the non-tampering of information, manufacturers will not lie about freshness information. In this case, the profit functions of suppliers and retailers are as follows:
π S D T = w c C x q
π R D T = p w q
Calculate the second derivative of Equation (24) for q. It is easy to find that when k > 1, 2 π R D T q 2 < 0 , there is a maximum. If π R D T q = 0 , the optimal order quantity and retail price obtained are as follows:
q D T * = a θ ( t ) g n k w k 1 k
p D T * = k w k 1
Substitute Equations (25) and (26) into the supplier’s profit function, and calculate the second order partial derivative of w and g. When 2 k n 2 > 0 , 2 π S D T w 2 < 0 , and the Hesse matrix is negative, there is a maximum; the optimal wholesale price and the optimal information traceability level can be obtained respectively as follows:
w D T * = 2 k c 2 k n 2
g D T * = 2 n c h 2 k n 2 1 2
Optimal unit investment cost:
C D x * = n c 2 k n 2
Optimal retail price:
p D T * = 2 k 2 c k 1 2 k n 2
Optimal order quantity:
q D T * = a θ ( t ) 2 n c h 2 k n 2 n 2 2 k 2 c k 1 2 k n 2 k
Supplier’s optimal profit:
π S D T * = a θ ( t ) 2 c 2 k n 2 2 n c h 2 k n 2 n 2 2 k 2 c k 1 2 k n 2 k
Retailer’s optimal profit:
π R D T * = a θ ( t ) 2 k c k 1 2 k n 2 2 n c h 2 k n 2 n 2 2 k 2 c k 1 2 k n 2 k
Optimal profit of supply chain:
π D T * = a θ ( t ) 4 k c 2 c k 1 2 k n 2 2 n c h 2 k n 2 n 2 2 k 2 c k 1 2 k n 2 k
Conclusion 3.
w D T * > w D * ; when 2 k 2 2 k n 2 θ ( t ) θ ( λ t ) > 1 , p D T * > p D * , and when 2 n c h 2 k n 2 n 2 2 k 2 2 k n 2 k θ ( t ) θ ( λ t ) k + 1 > 1 , q D T * > q D * .
It is proven that by comparing Equation (28) with Equation (18), w D T * w D * = 2 k 2 2 k n 2 > 1 ; comparing Equation (31) with Equation (19), p C T * p C * = 2 k 2 2 k n 2 θ ( t ) θ ( λ t ) ; comparing Equation (32) with Equation (20), q D T * q D * = 2 n c h 2 k n 2 n 2 2 k 2 2 k n 2 k θ ( t ) θ ( λ t ) k + 1 .
Conclusion 4.
π S D * , π R D * , π D * decrease with the increase in θ ( λ t ) ; when C D x * > h 2 2 k 2 2 k n 2 θ ( t ) θ ( λ t ) 2 k 2 n , π S D T * > π S D * , π R D T * > π R D * , π D T * > π D * .
Proof. 
Obviously, π S D * θ ( λ t ) < 0 , π R D * θ ( λ t ) < 0 ,   π D * θ ( λ t ) < 0 ; comparing Equation (35) with Equation (23), π D T * π D * = 2 n c h 2 k n 2 n 2 2 k 2 2 k n 2 θ ( t ) θ ( λ t ) k + 1 ; substituting C D x * = n c 2 k n 2 into the above equation, π D T * π D * = 2 C C x * h n 2 2 k 2 2 k n 2 θ ( t ) θ ( λ t ) k + 1 ; if π D T * π D * > 1 , C D x * > h 2 2 k 2 2 k n 2 θ ( t ) θ ( λ t ) 2 k 2 n .
It can be seen from Conclusions 3 and 4 that, under the decentralized decision, the wholesale price will inevitably increase after investment in blockchain technology; when θ ( t ) θ ( λ t ) 2 k 2 2 k n 2 > 1 , retail prices will also increase; when 2 n c h 2 k n 2 n 2 2 k 2 2 k n 2 k θ ( t ) θ ( λ t ) k + 1 > 1 , orders will increase.
As the degree of false reporting increases, the profits of all members in the supply chain will decrease. There is a threshold of blockchain technology investment cost C D B = h 2 2 k 2 2 k n 2 θ ( t ) θ ( λ t ) 2 k 2 n ; when the unit investment cost of blockchain technology meets C D x * > h 2 2 k 2 2 k n 2 θ ( t ) θ ( λ t ) 2 k 2 n , the profit of each member in the supply chain will increase. □

6. Fresh Food Supply Chain Contract Coordination Based on Blockchain Technology Investment

In decentralized decision-making, the members of the supply chain take maximizing their benefits as their decision-making goal, which will aggravate the double marginalization effect of the supply chain, reduce the overall benefits of the supply chain system, and lead to the instability of the supply chain structure. Therefore, it is necessary to carry out the coordination design of the supply chain. This paper proposes the design of a combination contract of “cost-sharing + revenue-sharing” to achieve Pareto improvement of the benefits of all members in the fresh supply chain. The contract form is as follows: retailers share α proportion of unit investment cost, add 1 − β proportion of sales revenue shared with the manufacturer, and retain β proportion of sales revenue. In this case, the profit functions of retailers and manufacturers are as follows:
π S M T = 1 β p + w c ( 1 α ) C x q
π R M T = β p w α C x q
Substitute p = q a θ ( t ) g n 1 k into Equation (24) and calculate the second derivative of q, when 2 k n 2 > 0 , 2 π R M T q 2 < 0 , there is a maximum. If π R M T q = 0 , the optimal order quantity and retail price obtained are as follows:
q M T * = a θ ( t ) g n 2 k w β 2 k n 2 k
p M T * = 2 k w β 2 k n 2
Substitute Equations (38) and (39) into the supplier’s profit function, and calculate the second-order partial derivative of w and g. When 2 k α n β 2 α β > 0 , 2 π S M T w 2 < 0 , and the Hesse matrix is negative, there is a maximum, and the optimal wholesale price and the optimal information traceability level can be obtained respectively as follows:
w M T * = k α β 2 k n 2 c k 1 2 k α n β 2 α β
g M T * = 2 k n β c h k 1 2 k α n β 2 α β 1 2
Optimal unit investment cost:
C M x * = k n β c k 1 2 k α n β 2 α β
Optimal retail price:
p M T * = 2 k 2 α c k 1 2 k α n β 2 α β
Optimal order quantity:
q M T * = a θ ( t ) 2 k n β c h k 1 2 k α n β 2 α β n 2 2 k 2 α c k 1 2 k α n β 2 α β k
Supplier’s optimal profit:
π S M T * = a θ ( t ) c k 1 2 k n β c h k 1 2 k α n β 2 α β n 2 2 k 2 α c k 1 2 k α n β 2 α β k
Retailer’s optimal profit:
π R M T * = a θ ( t ) β k 2 k n β c h k 1 2 k α n β 2 α β n 2 2 k 2 α c k 1 2 k α n β 2 α β k + 1
Optimal profit of supply chain:
π M T * = a θ ( t ) 2 k α β + 2 k α n β 2 α β c k 1 2 k α n β 2 α β 2 k n β c h k 1 2 k α n β 2 α β n 2 2 k 2 α c k 1 2 k α n β 2 α β k
Conclusion 5.
When the contract parameters meet α = β = n 2 k 2 , the overall revenue of the supply chain reaches the level of centralized decision-making, and the coordination of the fresh food supply chain system is realized. When the contract parameters meet E = k β k ( k α α ) n 2 2 k n 2 2 k 2 k α β 2 k n 2 2 k α n β 2 α β n 2 k 2 1 , F = k β k ( k α α ) n 2 1 k k α β 2 k n 2 2 k α n β 2 α β n 2 k + 2 2 1 , all members of the supply chain realize Pareto improvement.
It is proven that if p M T * = p C T * ,   g M T * = g C T * , then k α β 2 k n 2 c k 1 2 k α n β 2 α β = 1 ,   k β 2 k n 2 c k 1 2 k α n β 2 α β = 1 , and with the solution of simultaneous equations, then α = β = n 2 k 2 ; if π S M T * π S D T * ,   π R M T * π R D T * , then E = k β k ( k α α ) n 2 2 k n 2 2 k 2 k α β 2 k n 2 2 k α n β 2 α β n 2 k 2 1 , F = k β k ( k α α ) n 2 1 k k α β 2 k n 2 2 k α n β 2 α β n 2 k + 2 2 1 .
It can be seen from Conclusion 5 that when retailers share a certain proportion of technology investment costs and a certain proportion of sales revenue, the overall revenue of the supply chain can reach the level of centralized decision-making. In practical applications, the combination contract of “cost-sharing + revenue-sharing” can be used to coordinate the fresh food supply chain. By negotiating and designing reasonable contract parameters, the benefits of each member of the supply chain can achieve Pareto improvement, that is, the benefits of each member of the supply chain under the contract conditions are not less than the benefits of their decentralized decisions

7. Numerical Analysis

In order to test the effectiveness of the model, under the condition that the relevant parameters meet the above constraints, the following numerical values are used for analysis. Assume that the original market size a = 1,000,000, the unit production cost of fresh products c = 2, the price sensitivity coefficient k = 2, the information sensitivity coefficient n = 1.5, the life cycle of fresh products T = 15, and the time after production t = 5.
It can be seen from Figure 2 and Figure 3 that under centralized and decentralized decision-making, after investing in blockchain technology, the optimal order quantity and the optimal profit of the supply chain are negatively related to the unit investment cost coefficient h. When the unit investment cost coefficient h is higher than a certain level, investing in blockchain technology will reduce the supply chain income. This also means that there is a threshold point for the unit investment cost of blockchain technology. Within the threshold range, supply chain investment in blockchain technology can generate more revenue.
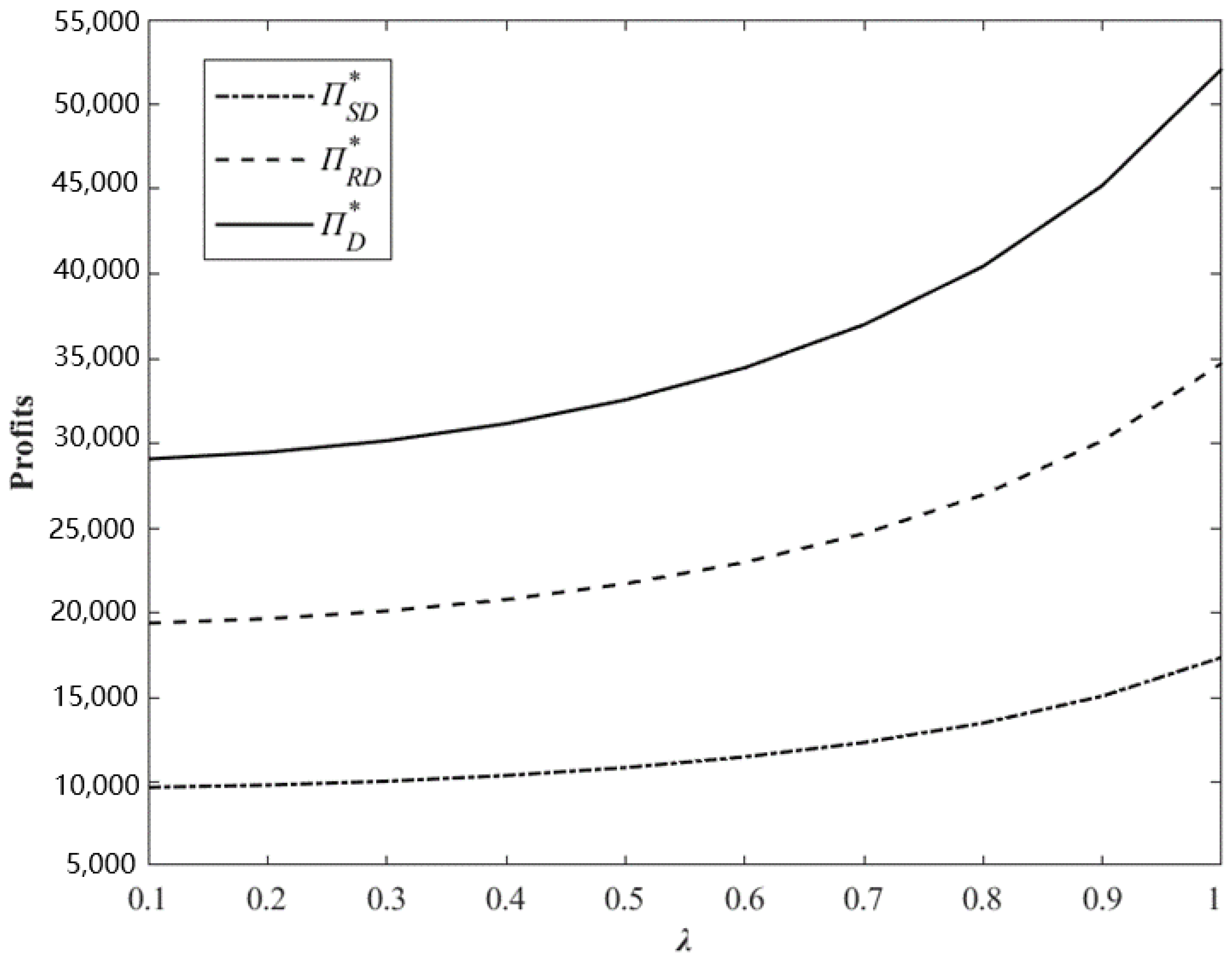
It can be seen from Figure 4 that with the increase in the degree of false reporting (the smaller the value of λ, the higher the degree of misrepresentation), the profits of all members in the fresh food supply chain will decline, because the misrepresentation cannot increase the actual market demand, but will lead retailers to increase sales prices to make up for profits, further reduce market demand, and the order quantity will eventually decline.
Assuming λ = 0.2 , it can be seen from Figure 5 that when the production time t of fresh products increases, the retail price will rise, and the unit investment cost threshold C D B for investing in blockchain technology will keep decreasing until it is less than the optimal unit investment cost C D x * . This shows that when the inventory of fresh suppliers reaches a certain level, the income from investing in blockchain technology under decentralized decision will be greater than that under non-investment, because although investing in blockchain technology will bring more costs, the market demand will also increase.
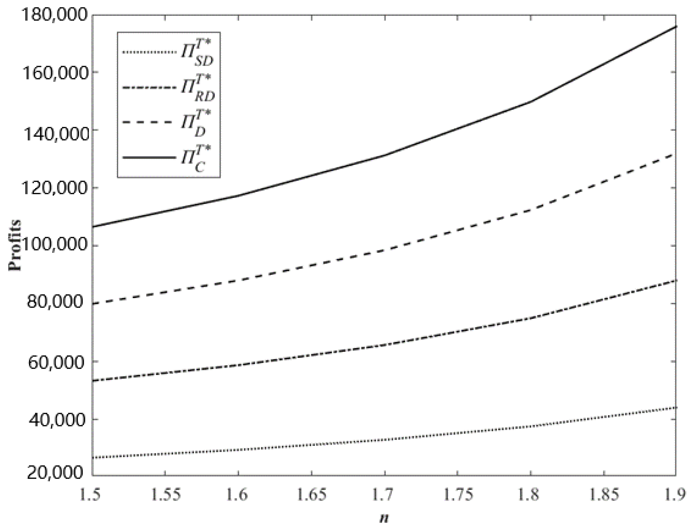
Increase the value of consumer information preference coefficient n, and observe the impact of information preference coefficient n on supply chain profits. It can be seen from Figure 6 that the profits of each member of the supply chain under different decision-making situations are positively correlated with n. This indicates that consumers’ preference for the degree of information traceability of fresh products will urge the supply chain to increase investment in blockchain technology, so as to improve the information traceability level of the supply chain and increase consumers’ demand for fresh products.
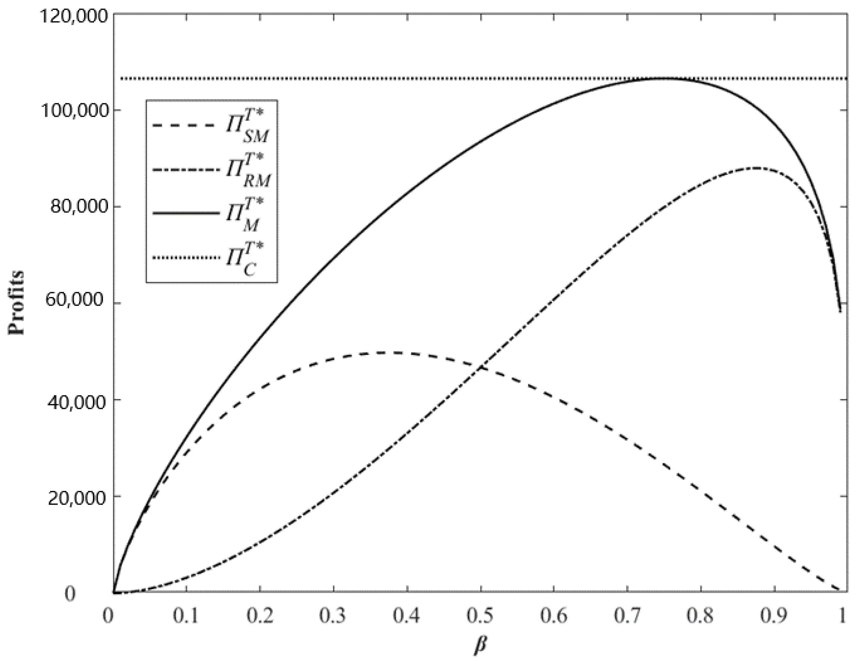
Assuming α = n 2 k 2 = 0.75 , contract parameter β’s impact on supply chain profits is studied. As shown in Figure 7, when α = β = 0.75 , the total profit of the supply chain under the combination contract reaches the level of centralized decision-making.
In order to further verify the conclusion, take different values for k and n, and calculate the supply chain profit under the combination contract. It can be seen from Table 2 that when α = β = n 2 k 2 , the overall income of the supply chain reaches the level of centralized decision-making, realizing the coordination of the fresh supply chain system.
Make k = 2 , n = 1.5 , and change α and β to calculate the profit of each member of the supply chain. It can be seen from Table 3 that only when E 1 , F 1 , the revenue of each member of the supply chain under the combination contract is not less than its revenue in the decentralized decision-making; that is, the revenue of all parties in the supply chain achieves Pareto improvement, and Conclusion 5 is verified.
The simulation results show that the misreporting behavior of fresh suppliers will result in profits for fresh suppliers, so fresh suppliers may have misreporting behavior, but the misreporting behavior will cause damage to the interests of retailers and the whole supply chain, which in turn will lead to the instability of the supply chain structure. Therefore, the supply chain has the need to invest in blockchain technology to eliminate information asymmetry. However, due to the double marginal effect of the supply chain in decentralized decision-making, there is a certain gap between the supply chain revenue under decentralized decision-making and centralized decision-making, which also means that there is room for coordination in the supply chain. In addition, it is found that the single contract model cannot coordinate the supply chain to achieve the centralized decision-making level, and there is no possibility of Pareto improvement. Only the combined contract of “cost-sharing + revenue-sharing” can realize the coordination and Pareto improvement of the supply chain under decentralized decision-making under certain conditions.

8. Conclusions

8.1. Summary of Findings

This paper comprehensively considers the impact of freshness and consumer preference on market demand, as well as the possibility of false reporting by fresh food suppliers. It studies and analyzes the investment and coordination of fresh food supply chain blockchain technology under the circumstances of centralized decision-making, decentralized decision-making, and a “cost-sharing + revenue-sharing” combination contract. The research results show the following:
(1)
The misrepresentation of fresh food suppliers under decentralized decision-making will damage the revenue of all members of the supply chain. The higher the degree of misrepresentation, the more the revenue of the supply chain will be damaged.
(2)
The investment cost of blockchain technology is the key to influencing decision-making. When the unit investment cost coefficient h is higher than a certain level, investing in blockchain technology will reduce the supply chain income. The smaller the unit investment cost coefficient h is, the greater the investment threshold range of blockchain technology. In addition, consumers’ preference for traceable fresh products will encourage the fresh supply chain to improve the information traceability level and increase the investment in blockchain technology.
(3)
The lower the freshness of fresh products under decentralized decision-making, the lower the investment cost threshold of blockchain technology. When the freshness is lower than a certain level, the income from investing in blockchain technology will be greater than the income under the non-investment situation, which means that when the inventory of fresh suppliers reaches a certain level, the traceability of products will be improved by investing in blockchain technology to increase market demand.
(4)
When the contract parameter satisfies α = β = n 2 k 2 , the “cost-sharing + revenue-sharing” combined contract can make the overall revenue of the supply chain reach the level of centralized decision-making, so as to achieve the coordination of the supply chain system; when the contract parameters meet certain conditions, the combined contract can make the fresh food supply chain benefit achieve Pareto improvement.

8.2. Managerial Insights

Suppliers and e-commerce giants have begun to pay attention to the issue of high quality and high efficiency of agricultural products, and the introduction of blockchain technology accelerates the development of the fresh food supply chain by providing a credible traceability pathway to improve consumer trust on the one hand and a secure data storage and transmission pathway to improve the circulation efficiency of fresh food products and reduce double losses on the other. The main body in the supply chain, who as a leader creates greater supply chain value, as well as traceability level hierarchy setting and reasonable cost-sharing strategy, becomes the key to limiting the decision-making of enterprises. In addition, in order to ensure that the fresh food e-commerce supply chain subjects share real information, to achieve the maximization of the role of blockchain, it is necessary to carry out factor analysis and strategy exploration.
For cost-sharing and benefit-sharing, when manufacturers and retailers cooperate to invest in blockchain technology, blockchain technology adopts the cost-sharing model that has an important impact on the performance of manufacturers and retailers, so the regulating role of cost-sharing in the distribution of benefits should be emphasized. Therefore, manufacturers and retailers should pay full attention to the decision of blockchain technology adoption, and choose a reasonable cost-sharing and benefit distribution mechanism according to the actual conditions.
For enhancing consumer trust through blockchain, the combination of blockchain and traceability of agricultural products can improve the trust problem in the process of supply and marketing of agricultural products, control the quality of agricultural products from the source, guarantee food safety, protect the legitimate rights and interests of consumers, and improve the enthusiasm of consumers. The combination of blockchain and agricultural product traceability can ensure the security of the uplinked data and the transparency of information between the participants in the process of agricultural product supply, increase the trust between the participants, and effectively reduce the problems of product counterfeiting and data misreporting by enterprises. Analyzing from the manufacturer’s perspective, efforts should be made to improve the input efficiency and traceability level of blockchain technology, as well as to improve the security level of blockchain, so as to bring into play the value of blockchain technology adoption for improving demand, and supply chain members will have the incentive to adopt blockchain technology only within a certain blockchain operation cost threshold.
For improving the efficiency of supply chain management, as blockchain technology realizes information sharing, smart contract technology automatically executes the contract, with few human intervention factors and real-time data updates, and the possibility of reneging and breaking the contract is low, so as to realize the dynamic management of each link of fresh food e-commerce and improve the efficiency. The application of blockchain technology in various segments of fresh food e-commerce has both opportunities and challenges, and it requires suppliers, consumers, farmers, and various sectoral organizations to establish a consensus mechanism, strengthen the coordination and cooperation of all the participating subjects, build a sustainable fresh food e-commerce ecosystem, and improve the operational efficiency and sustainable competitiveness of various segments of the fresh food supply chain.

8.3. Research Prospects

In the context of the Internet of Things and blockchain technology, this paper comprehensively considers the blockchain technology investment decision-making and coordination of consumer preference graduate fresh supply chain and provides some supplements to the existing fresh supply chain research, which provides a certain reference for the blockchain technology investment decision-making of supply chain enterprises. However, there are still some deficiencies in the research of this paper, and there is room for further research and expansion.
(1)
In the hypothesis of the model, this paper considers that the market demand is stable, and the supply chain can accurately predict the market demand, without considering the possible situation of market demand fluctuations and inaccurate supply chain demand forecasting. However, in reality, the real market demand tends to fluctuate, and when the supply chain predicts demand, it is difficult to achieve a completely accurate prediction. The future research direction can consider the situation of uncertain demand.
(2)
In this paper, due to the possibility of misreporting of fresh suppliers, the retailer’s investment is considered, but the supplier’s investment is not considered. However, although the misreporting behavior of the fresh food supply chain will bring more benefits to itself, the misreporting behavior is only possible and does not necessarily occur, and the introduction of blockchain traceability technology in the fresh food supply chain will also bring more profits to the supply chain. Therefore, suppliers also have the possibility of leading investment in blockchain technology, and future research directions can consider the situation of supplier investment.
(3)
Through the study of previous literature, this paper considers that the input of blockchain technology will affect the market demand and can increase the transparency of the fresh supply chain to prevent the occurrence of information asymmetry and enhance consumers’ willingness to purchase fresh products. However, the advantages of blockchain technology in the supply chain may not be limited to this, so other effects of blockchain technology on the supply chain can be considered in future research.
Although the research content of this paper has certain theoretical significance for fresh food supply chain investment in blockchain technology and coordination, there are still some limitations. This paper only considers that investment in blockchain technology will affect market demand, but does not consider that it will also affect production costs and product freshness, which will be further discussed in future research.

Author Contributions

Conceptualization, X.X. and R.M.; methodology, X.X. and R.M.; software, R.M.; validation, X.X.; formal analysis, X.X.; investigation, X.X. and R.M.; writing—original draft preparation, R.M.; writing—review and editing, X.X.; visualization, R.M. All authors have read and agreed to the published version of the manuscript.

Funding

This research received no external funding.

Data Availability Statement

All relevant data are within the paper.

Conflicts of Interest

The authors declare no conflicts of interest.

References

  1. Gong, Q. Blockchain, Enterprise Digitalization, and Supply Chain Finance Innovation. Manag. World 2021, 37, 95–114. [Google Scholar]
  2. Hu, X.; Du, M.; Kong, X.; Zhu, S.; Zhang, Y. A Review of Blockchain-Based Traceability in the Agricultural Supply Chain. J. Manag. Sci. China 2024, 27, 1–12. [Google Scholar]
  3. Wang, M.; Li, B.; Wen, S.; Wu, S.; Xing, R.; Song, J. A Comprehensive Analysis of Blockchain Technology Empowering Food Supply Chain Traceability. J. Univ. Electron. Sci. Technol. China (Soc. Sci.) 2023, 25, 1–15. [Google Scholar]
  4. Chang, T.; Takahashi, D.; Shobayashi, M. Consumers’ Recognition of Multifunctionality in Agriculture and Price Premiums for Environmentally Friendly Agricultural Products: Evidence from a Survey Experiment. Food Ethics 2019, 2, 111–125. [Google Scholar] [CrossRef]
  5. Zhou, L.N.; Zhou, G.G.; Qi, F.Z.; Cao, J. Research on fresh agricultural supply chain network equilibrium with consumer’s preference for organic product. Syst. Eng. Theory Pract. 2019, 39, 360–371. [Google Scholar]
  6. Yu, Y.; Xiao, T. Pricing and cold-chain service level decisions in a fresh agri-products supply chain with logistics outsourcing. Comput. Ind. Eng. 2017, 111, 56–66. [Google Scholar] [CrossRef]
  7. Wu, L.; Wang, S.; Zhu, D.; Hu, W.; Wang, H. Chinese consumers’ preferences and willingness to pay for traceable food attributes: The case of pork. China Econ. Rev. 2015, 35, 121–136. [Google Scholar] [CrossRef]
  8. Yang, H.; Cao, B.; Chen, J.; Mao, Z.G. Variance Analysis on China’s Consumers’ Demand for Information of Food Quality and Safety—Empirical Test of data from 1573 Chinese Consumers. China Soft Sci. 2014, 2, 32–45. [Google Scholar]
  9. Cao, Y.; Tao, L.; Wu, K.; Wan, G. Coordinating joint greening efforts in an agri-food supply chain with environmentally sensitive demand. J. Clean. Prod. 2020, 277, 123883. [Google Scholar] [CrossRef]
  10. Yang, Y.; Fan, T.J.; Zhang, L. Coordination of Fresh Agricultural Supply Chain with Asymmetric Freshness Information. Chin. J. Manag. Sci. 2016, 24, 147–155. [Google Scholar]
  11. Yan, B.; Wang, T.; Liu, Y.-P. Decision analysis of retailer-dominated dual-channel supply chain considering cost misreporting. Int. J. Prod. Econ. 2016, 178, 34–41. [Google Scholar] [CrossRef]
  12. Ma, X.; Wang, S.; Islam, S.M.; Liu, X. Coordinating a three-echelon fresh agricultural products supply chain considering freshness-keeping effort with asymmetric information. Appl. Math. Model. 2019, 67, 337–356. [Google Scholar] [CrossRef]
  13. Liu, P.; Long, Y.; Song, H.-C.; He, Y.-D. Investment decision and coordination of green agri-food supply chain considering information service based on blockchain and big data. J. Clean. Prod. 2020, 277, 123646. [Google Scholar] [CrossRef]
  14. Cai, J.; Deng, S.; Hu, X.; Han, Y.; Cheng, H.; Huang, W. Supply chain coordination based on return contracts with a threshold ordering quantity. Int. Trans. Oper. Res. 2015, 22, 951–968. [Google Scholar] [CrossRef]
  15. Stranieri, S.; Riccardi, F.; Meuwissen, M.P.; Soregaroli, C. Exploring the impact of blockchain on the performance of agri-food supply chains. Food Control 2021, 119, 107495. [Google Scholar] [CrossRef]
  16. Toyoda, K.; Mathiopoulos, P.T.; Sasase, I.; Ohtsuki, T. A Novel Blockchain-Based Product Ownership Management System (POMS) for Anti-Counterfeits in the Post Supply Chain. IEEE Access 2017, 5, 17465–17477. [Google Scholar] [CrossRef]
  17. Tayal, A.; Solanki, A.; Kondal, R.; Nayyar, A.; Tanwar, S.; Kumar, N. Blockchain-based efficient communication for food supply chain industry: Transparency and traceability analysis for sustainable business. Int. J. Commun. Syst. 2021, 34, e4696. [Google Scholar] [CrossRef]
  18. Baralla, G.; Ibba, S.; Marchesi, M.; Tonelli, R.; Missineo, S. A Blockchain Based System to Ensure Transparency and Reliability in Food Supply Chain. In Euro-Par 2018: Parallel Processing Workshops; Springer International Publishing: Cham, Switzerland, 2019. [Google Scholar]
  19. Yang, X.; Li, M.; Yu, H.; Wang, M.; Xu, D.; Sun, C. A Trusted Blockchain-Based Traceability System for Fruit and Vegetable Agricultural Products. IEEE Access 2021, 9, 36282–36293. [Google Scholar] [CrossRef]
  20. Caro, M.P.; Ali, M.S.; Vecchio, M.; Giaffreda, R. Blockchain-based traceability in Agri-Food supply chain management: A practical implementation. In Proceedings of the 2018 IoT Vertical and Topical Summit on Agriculture—Tuscany (IOT Tuscany), Siena, Italy, 8–9 May 2018; pp. 1–4. [Google Scholar]
  21. Cocco, L.; Mannaro, K.; Tonelli, R.; Mariani, L.; Lodi, M.B.; Melis, A.; Simone, M.; Fanti, A. A Blockchain-Based Traceability System in Agri-Food SME: Case Study of a Traditional Bakery. IEEE Access 2021, 9, 62899–62915. [Google Scholar] [CrossRef]
  22. Feng, H.; Wang, X.; Duan, Y.; Zhang, J.; Zhang, X. Applying blockchain technology to improve agri-food traceability: A review of development methods, benefits and challenges. J. Clean. Prod. 2020, 260, 121031. [Google Scholar] [CrossRef]
  23. Fan, Z.P.; Wu, X.Y.; Cao, B.B. Considering the traceability awareness of consumers: Should the supply chain adopt the blockchain technology? Ann. Oper. Res. 2022, 309, 837–860. [Google Scholar] [CrossRef]
  24. Cole, R.; Stevenson, M.; Aitken, J. Blockchain technology: Implications for operations and supply chain management. Supply Chain Manag. Int. J. 2019, 24, 469–483. [Google Scholar] [CrossRef]
  25. Wu, X.-Y.; Fan, Z.-P.; Li, G. Strategic analysis for adopting blockchain technology under supply chain competition. Int. J. Logist. Res. Appl. 2023, 26, 1384–1407. [Google Scholar] [CrossRef]
  26. Xu, B.; Li, H.; Zhang, X.; Alejandro, T.B. Equilibrium blockchain adoption strategies for duopolistic competitive platforms with network effects. J. Bus. Res. 2023, 164, 113953. [Google Scholar] [CrossRef]
  27. Min, H. Blockchain technology for enhancing supply chain resilience. Bus. Horiz. 2019, 62, 35–45. [Google Scholar] [CrossRef]
  28. Wang, Y.-Y.; Tao, F.; Wang, J. Information disclosure and blockchain technology adoption strategy for competing platforms. Inf. Manag. 2022, 59, 103506. [Google Scholar] [CrossRef]
  29. Choi, T.-M. Blockchain-technology-supported platforms for diamond authentication and certification in luxury supply chains. Transp. Res. Part E Logist. Transp. Rev. 2019, 128, 17–29. [Google Scholar] [CrossRef]
  30. Choi, T.-M.; Feng, L.; Li, R. Information disclosure structure in supply chains with rental service platforms in the blockchain technology era. Int. J. Prod. Econ. 2020, 221, 107473. [Google Scholar] [CrossRef]
  31. Pun, H.; Swaminathan, J.M.; Hou, P. Blockchain Adoption for Combating Deceptive Counterfeits. Prod. Oper. Manag. 2021, 30, 864–882. [Google Scholar] [CrossRef]
  32. Tao, F.; Wang, Y.-Y.; Zhu, S.-H. Impact of blockchain technology on the optimal pricing and quality decisions of platform supply chains. Int. J. Prod. Res. 2023, 61, 3670–3684. [Google Scholar] [CrossRef]
  33. Choi, T.-M.; Guo, S.; Liu, N.; Shi, X. Optimal pricing in on-demand-service-platform-operations with hired agents and risk-sensitive customers in the blockchain era. Eur. J. Oper. Res. 2020, 284, 1031–1042. [Google Scholar] [CrossRef]
  34. Wu, X.-Y.; Fan, Z.-P.; Cao, B.-B. An analysis of strategies for adopting blockchain technology in the fresh product supply chain. Int. J. Prod. Res. 2023, 61, 3717–3734. [Google Scholar] [CrossRef]
  35. Zhang, Z.; Ren, D.; Lan, Y.; Yang, S. Price competition and blockchain adoption in retailing markets. Eur. J. Oper. Res. 2022, 300, 647–660. [Google Scholar] [CrossRef]
Figure 1. The structure of the fresh food supply chain.
Figure 1. The structure of the fresh food supply chain.
Systems 12 00522 g001
Figure 2. Impact of investment cost coefficient h on order quantity.
Figure 2. Impact of investment cost coefficient h on order quantity.
Systems 12 00522 g002
Figure 3. Impact of unit investment cost coefficient h on supply chain profits.
Figure 3. Impact of unit investment cost coefficient h on supply chain profits.
Systems 12 00522 g003
Figure 4. False reporting coefficient λ impact on the profits of each member of the supply chain.
Figure 4. False reporting coefficient λ impact on the profits of each member of the supply chain.
Systems 12 00522 g004
Figure 5. Effect of production time t on retail price and investment cost threshold.
Figure 5. Effect of production time t on retail price and investment cost threshold.
Systems 12 00522 g005
Figure 6. The impact of consumer information preference coefficient n on supply chain profits.
Figure 6. The impact of consumer information preference coefficient n on supply chain profits.
Systems 12 00522 g006
Figure 7. Contract parameter β’s impact on supply chain profits.
Figure 7. Contract parameter β’s impact on supply chain profits.
Systems 12 00522 g007
Table 1. List of notations.
Table 1. List of notations.
NotationDescription
Parameters
cUnit cost of suppliers producing fresh produce
aMarket size
θ ( t ) Product freshness function
TSales cycle, life cycle of fresh products
tPost-production time
gProduct information traceability level
DMarket demand function
kPrice sensitivity factor
nConsumer information preference coefficient
αCost-sharing coefficient
βProfit-sharing coefficient
hUnit investment cost factor
λDegree of misrepresentation
C x The cost of blockchain technology inputs to be paid per unit of product
Subscripts S, R, C, D, and M denote supplier, retailer, centralized decision-making, decentralized decision-making, and portfolio contract scenarios, respectively, and superscript T denotes investment in blockchain technology scenarios
Decision variables
pSales price from retailers to consumers
wWholesale prices from suppliers to retailers
qRetailer order quantities based on forecasted market demand
Profit function
π S Supplier benefits
π R Retailer gains
π C Supply chain benefits in the case of centralized decision-making
π D Supply chain benefits in decentralized decision-making scenarios
π M Supply chain benefits in portfolio contract decision scenarios
Table 2. Supply chain profit under combination contract model.
Table 2. Supply chain profit under combination contract model.
αβkn π S M T * π R M T * π M T * π C T *
0.750.7521.526,62279,868106,490106,490
0.8750.87521.7517,475122,332139,807139,807
0.60.62.251.523,10834,66257,77057,770
0.70.72.251.7520,42647,66168,08768,087
0.50.52.51.517,36917,36934,73834,738
Table 3. Profit comparison under different parameter combinations.
Table 3. Profit comparison under different parameter combinations.
αβEF π S D T * π S M T * π R D T * π R M T *
0.750.451.82650.747226,62248,62853,24539,787
0.750.51.75470.877326,62246,71653,24546,716
0.750.551.65221.009626,62243,98653,24553,761
0.250.41.07631.076326,62228,65553,24557,310
0.250.450.49431.112226,62213,16053,24559,223
Disclaimer/Publisher’s Note: The statements, opinions and data contained in all publications are solely those of the individual author(s) and contributor(s) and not of MDPI and/or the editor(s). MDPI and/or the editor(s) disclaim responsibility for any injury to people or property resulting from any ideas, methods, instructions or products referred to in the content.

Share and Cite

MDPI and ACS Style

Xing, X.; Miao, R. Investment Decision and Coordination of Fresh Supply Chain Blockchain Technology Considering Consumer Preference. Systems 2024, 12, 522. https://doi.org/10.3390/systems12120522

AMA Style

Xing X, Miao R. Investment Decision and Coordination of Fresh Supply Chain Blockchain Technology Considering Consumer Preference. Systems. 2024; 12(12):522. https://doi.org/10.3390/systems12120522

Chicago/Turabian Style

Xing, Xiaohu, and Renzhi Miao. 2024. "Investment Decision and Coordination of Fresh Supply Chain Blockchain Technology Considering Consumer Preference" Systems 12, no. 12: 522. https://doi.org/10.3390/systems12120522

APA Style

Xing, X., & Miao, R. (2024). Investment Decision and Coordination of Fresh Supply Chain Blockchain Technology Considering Consumer Preference. Systems, 12(12), 522. https://doi.org/10.3390/systems12120522

Note that from the first issue of 2016, this journal uses article numbers instead of page numbers. See further details here.

Article Metrics

Back to TopTop